Gamma Radiation Shielding Efficiency of Cross-Linked Polystyrene-b-Polyethyleneglycol Block Copolymer Nanocomposites Doped Arsenic (III) Oxide and Boron Nitride Nanoparticles
Abstract
1. Introduction
2. Materials and Methods
2.1. Synthesis and Characterization
2.2. Characterization of Polymer-Nanostructured-Particle-Based Nanocomposites
2.2.1. Thermogravimetric Analysis (TGA)
2.2.2. Scanning Electron Microscopy (SEM) with Energy Dispersive X-Ray Analysis (EDX) Examinations
2.2.3. Transmission Electron Microscope (TEM) Analyses
2.2.4. X-Ray Diffraction (XRD) Analysis
2.3. Preparation of the Nanocomposites
2.4. The Gamma Radiation Investigations of the Naonocomposites
Determination of Radiation Shielding Effectiveness
| Formula Name | Equations | Equation Numbers | Symbol Descriptions | Ref. |
|---|---|---|---|---|
| Lambert–Beer | (1) | I0, the incident gamma intensity; I, Lineer attenuation coefficient , the attenuation shielding capabilities; the thickness of the nanocomposite | [8] | |
| The mass attenuation coefficient (MAC) | (2) | = Lineer attenuation coefficient (LAC), ρ = the material density | [8] | |
| Lambert–Beer | (3) | m: The mass of the pellet, A: the surface area | [8] | |
| The half-value layer (HVL) and Tenth-value layer (TVL) | (cm) | (4) | HVL: half-value layer TVL = tenth-value layer | [8] |
| Mean free path (MFP) | (5) | MFP = The mean free path | [8] | |
| Radiation shielding efficiency (RPE) | (6) | RPE: Radiation shielding efficiency | [8] |
3. Results
3.1. The Thermal Gravimetry (TG)/Differential Thermogravimetric (DTG)/Differential Thermal (DTA) Analysis
3.2. SEM, TEM, and EDX Characterization
3.3. Gamma Radiation Research Results of the Nanocomposites
3.3.1. Investigation of Experimental MAC (µm) and LAC (µL) Values of the Nanocomposites
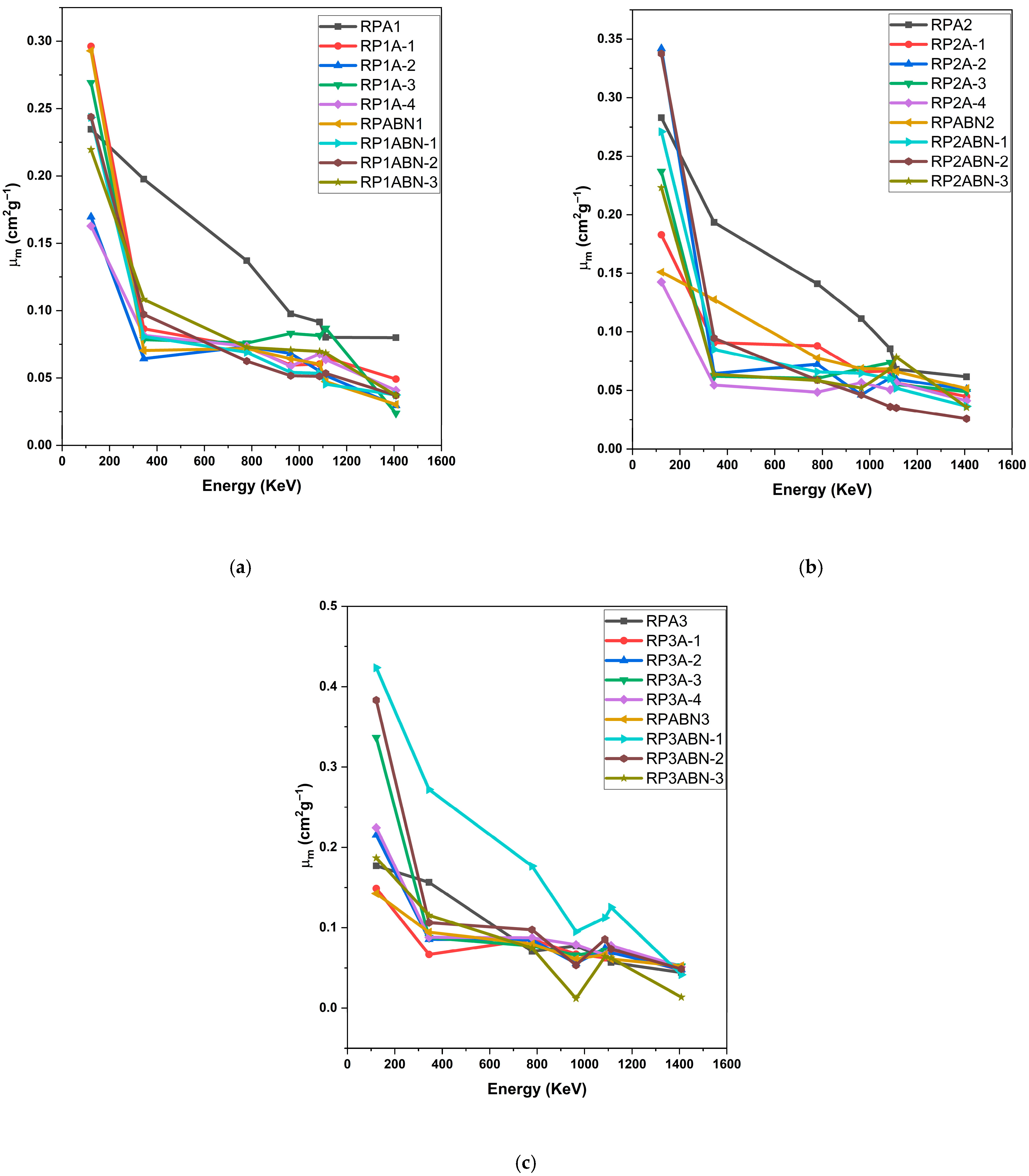
Investigation of Experimental MAC (µm) Values of the Nanocomposites
- The Statistical Analysis of Multiple Samples
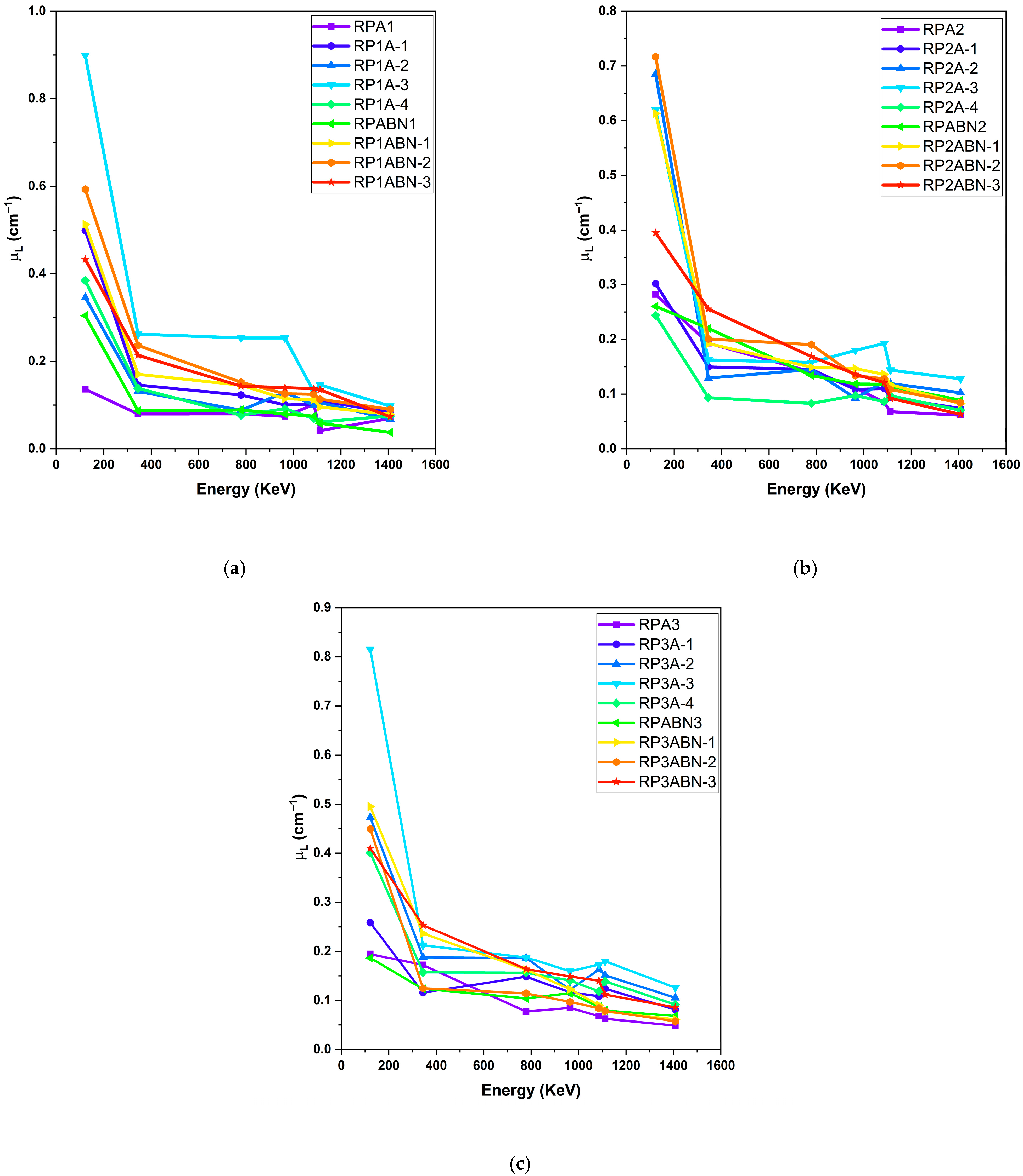
Investigation of Experimental LAC (μL) Values of the Nanocomposites
3.3.2. The Calculating of HVL, TVL, MFP, and RPE (%) Values of the Nanocomposites
The Calculation of Half-Value Layer (HVL) Values of the Nanocomposites
| Material Type | Density (g/cm3) | HVL (cm) | Toxicity/Environmental Impact | Mechanical and Structural Properties | Comments/Limitations | References |
|---|---|---|---|---|---|---|
| Lead (Pb) | 11.34 | 1.1–1.3 | Highly toxic; strict handling and disposal controls required | Soft/ductile; needs mechanical support or cladding | Highest attenuation/volume; toxicity and weight are major drawbacks | [31,46,47] |
| Tungsten (W) | 19.3 | 0.9–1.1 | Generally lower acute toxicity than Pb; very dense; machining energy-intensive | Very hard/brittle; expensive; high melting point | Outstanding attenuation; cost/weight and brittleness limit large structures | [31,46] |
| Ordinary Concrete | 2.3–2.4 (mix-dependent) | 6–7 | Non-toxic; easy to source; CO2 footprint depends on cement content | Brittle; requires thickness for high-energy photons | Low cost and constructible; bulky for mobile/wearable uses | [31,48,49] |
| Polymer Nanocomposites (e.g., polymer + WO3/Bi2O3, BaSO4, WC, W/Bi) | 1.8–3.5 (loading-dependent) | 1.2–3.0 | Lead-free options; polymer matrices generally low toxicity | Lightweight, flexible, corrosion-resistant; properties tunable by filler type/size/volume | Excellent specific (per-weight) shielding; absolute attenuation limited at very high E if loading is low | [50,51,52,53] |
| MOF-Containing Composites (MOF/polymer, MOF/textile, etc.) | 0.8–2.5 (system-dependent) | 2–4 (reported, system-dependent) | Typically low toxicity; potential for multifunctionality (EMI adsorption, sorption) | Porous/engineerable; enables multifunctional designs | Evidence base emerging; scale-up and radiation tolerance vary by MOF | [51,54] |
| RP1A-2 (70 wt% As2O3 + 30 wt% PS-b-PEG (1000)) | 2.04 | 4.64 cm at 778.9 KeV | Non-toxic, recyclable | Porous, multifunctional (EMI + radiation) Easy to shape and fabricate | have lower absolute shielding at high energies | This study |
| RP1A-3 (90 wt% As2O3 + 10 wt% PS-b-PEG (1000)) | 3.34 | 2.73 | “ | “ | “ | This study |
| RP2A-3 (90 wt% As2O3 + 10 wt% PS-b-PEG (1500)) | 2.61 | 4.39 | “ | “ | “ | This study |
| RP3A-3 (90 wt% As2O3 + 10 wt% PS-b-PEG (10,000)) | 2.42 | 3.70 | “ | “ | “ | This study |
| RP2ABN-1 (70 wt% As2O3 + 15 wt% BN + 15 wt% PS-b-PEG (1500)) | 2.26 | 4.65 | “ | “ | “ | This study |
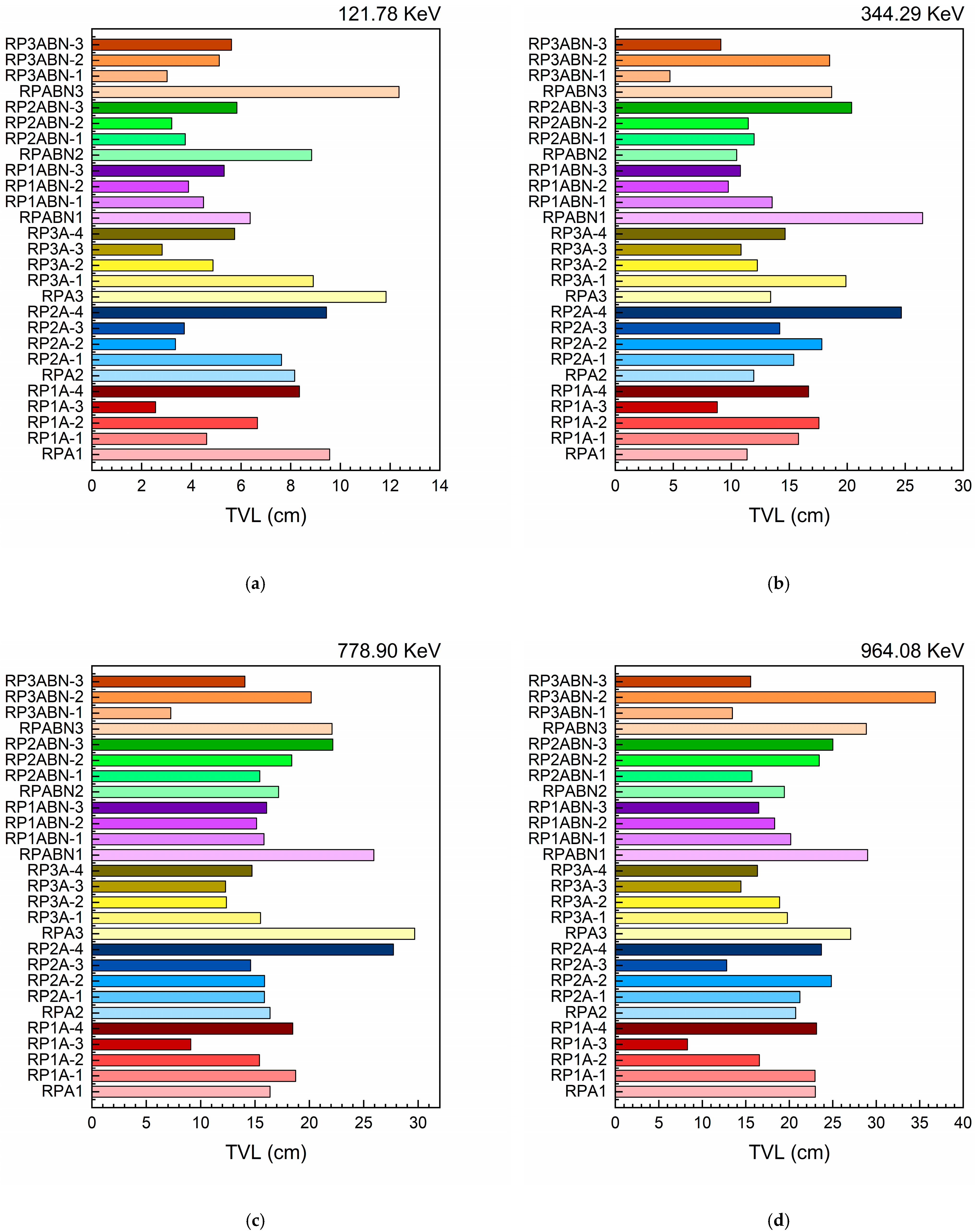
The Calculating of TVL Values of the Nanocomposites
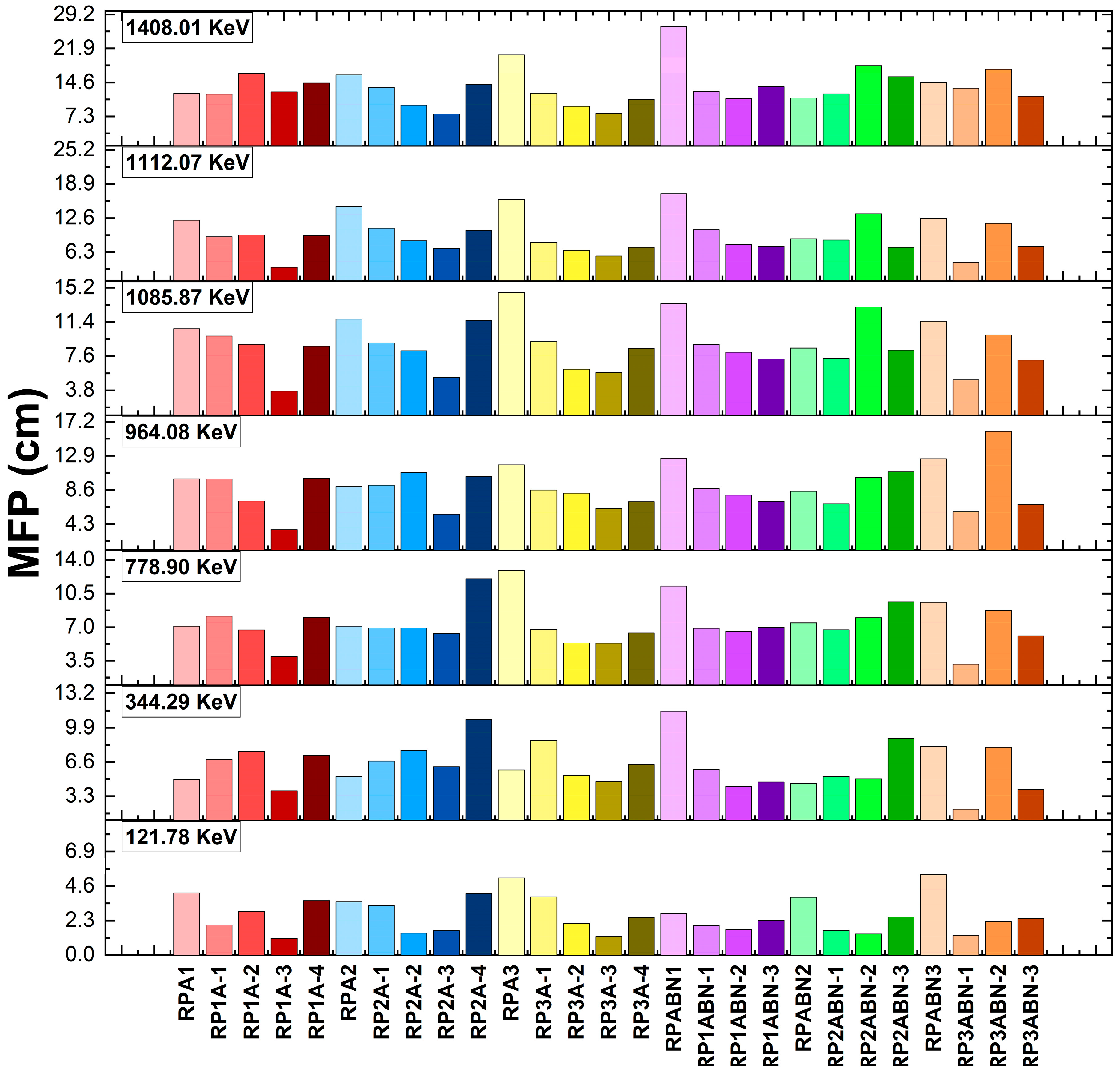
The Calculating of MFP Values of the Nanocomposites
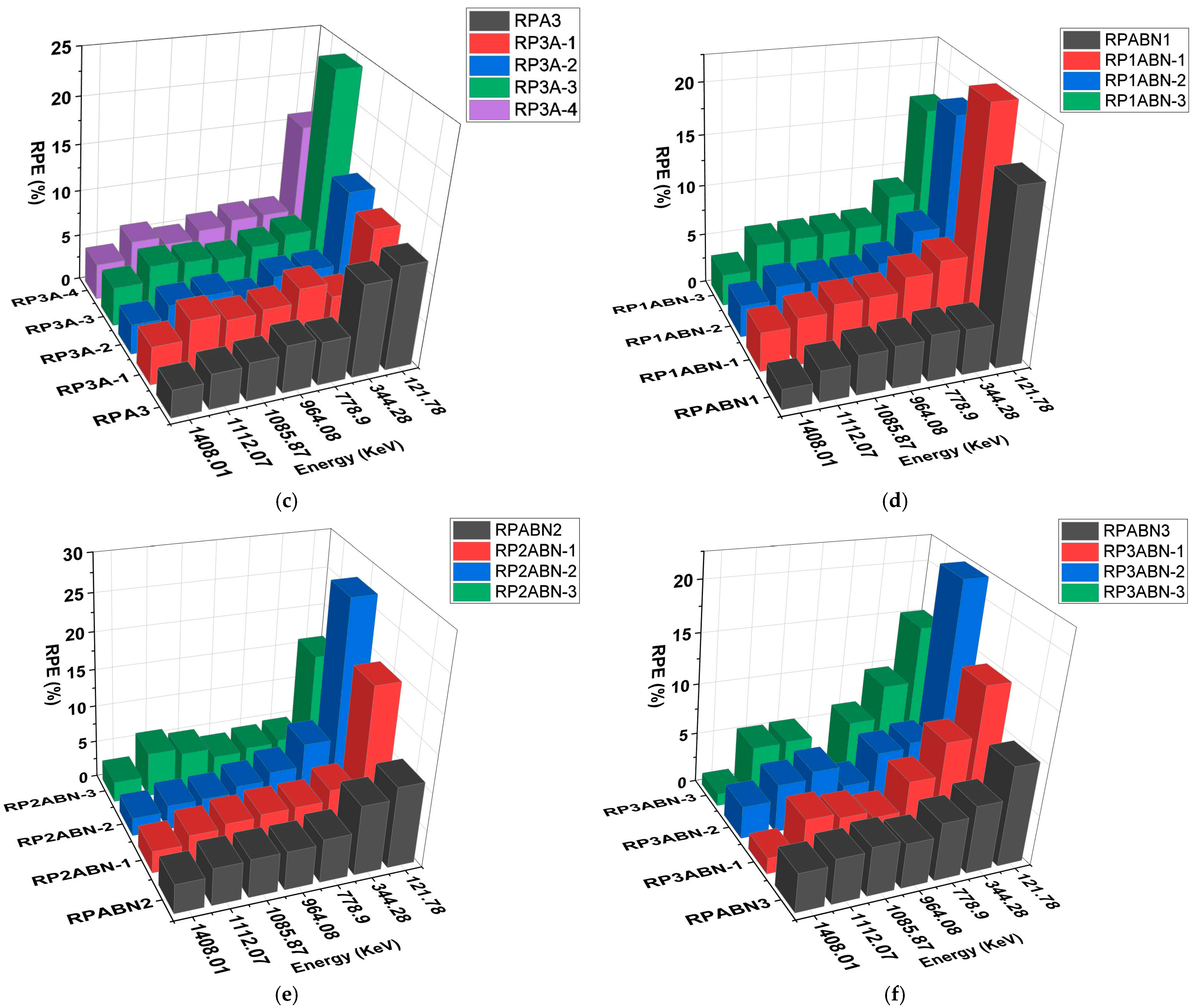
The Calculating of RPE Values of the Nanocomposites
4. Conclusions
Supplementary Materials
Author Contributions
Funding
Institutional Review Board Statement
Data Availability Statement
Conflicts of Interest
References
- Abouhaswa, A.S.; Rammah, Y.S.; Sayyed, M.I.; Tekin, H.O. Synthesis, Structure, Optical and Gamma Radiation Shielding Properties of B2O3-PbO2-Bi2O3 Glasses. Compos. B Eng. 2019, 172, 218–225. [Google Scholar] [CrossRef]
- Alavian, H.; Tavakoli-Anbaran, H. Study on Gamma Shielding Polymer Composites Reinforced with Different Sizes and Proportions of Tungsten Particles Using MCNP Code. Prog. Nucl. Energy 2019, 115, 91–98. [Google Scholar] [CrossRef]
- Xu, Q.; Shao, W.; Li, Y.; Zhang, H.; Ouyang, X.; Zhang, X.; Nie, J.; Ouyang, X.; Liu, B. Visual Clarity Methylammonium Lead Trichloride Perovskite Single Crystals for X and Gamma Rays Protection. J. Alloys Compd. 2019, 810, 151896. [Google Scholar] [CrossRef]
- Tekin, H.O.; Kaçal, M.R.; Issa, S.A.M.; Polat, H.; Susoy, G.; Akman, F.; Kilicoglu, O.; Gillette, V.H. Sodium Dodecatungstophosphate Hydrate-Filled Polymer Composites for Nuclear Radiation Shielding. Mater. Chem. Phys. 2020, 256, 123667. [Google Scholar] [CrossRef]
- Mahmoud, K.A.; Lacomme, E.; Sayyed, M.I.; Özpolat, F.; Tashlykov, O.L. Investigation of the Gamma Ray Shielding Properties for Polyvinyl Chloride Reinforced with Chalcocite and Hematite Minerals. Heliyon 2020, 6, e03560. [Google Scholar] [CrossRef]
- Kaika, Y.K.; Umaru, I.; Idris, M.M.; Rilwan, U.; Guto, J.A.; Sayyed, M.I.; Maisalatee, A.U.; Mundi, A.A.; Mahmoud, K.A. Microstructural, Thermal Analysis, and Gamma-Ray Shielding Properties of Bricks Made of Various Local Natural Materials. Radiat. Phys. Chem. 2025, 236, 112742. [Google Scholar] [CrossRef]
- Waida, J.; Rilwan, U. A Comparative Analysis of Radon-222 Concentration in Water Sources and Its Potential Stomach and Lungs Doses: A Case Study of Borno State University Campus and Its Environs. Nexus Future Mater. 2024, 1, 584047. [Google Scholar]
- Cinan, Z.M.; Erol, B.; Baskan, T.; Mutlu, S.; Ortaç, B.; Savaskan Yilmaz, S.; Yilmaz, A.H. Radiation Shielding Tests of Crosslinked Polystyrene-b-Polyethyleneglycol Block Copolymers Blended with Nanostructured Selenium Dioxide and Boron Nitride Particles. Nanomaterials 2022, 12, 297. [Google Scholar] [CrossRef]
- Saberi Rise, M.; Hosseini Ranjbar, A.; Noori, H.; Saheb, V. Bi-PMMA Composite Materials and Their Shielding Capability for Low Energy Gamma Rays. Radiat. Phys. Chem. 2023, 212, 111201. [Google Scholar] [CrossRef]
- AbuAlRoos, N.J.; Baharul Amin, N.A.; Zainon, R. Conventional and New Lead-Free Radiation Shielding Materials for Radiation Protection in Nuclear Medicine: A Review. Radiat. Phys. Chem. 2019, 165, 108439. [Google Scholar] [CrossRef]
- Gilys, L.; Griškonis, E.; Griškevičius, P.; Adlienė, D. Lead Free Multilayered Polymer Composites for Radiation Shielding. Polymers 2022, 14, 1696. [Google Scholar] [CrossRef] [PubMed]
- Gaikwad, D.K.; Sayyed, M.I.; Obaid, S.S.; Issa, S.A.M.; Pawar, P.P. Gamma Ray Shielding Properties of TeO2-ZnF2-As2O3-Sm2O3 Glasses. J. Alloys Compd. 2018, 765, 451–458. [Google Scholar] [CrossRef]
- Gaikwad, D.K.; Sayyed, M.I.; Botewad, S.N.; Obaid, S.S.; Khattari, Z.Y.; Gawai, U.P.; Afaneh, F.; Shirshat, M.D.; Pawar, P.P. Physical, Structural, Optical Investigation and Shielding Features of Tungsten Bismuth Tellurite Based Glasses. J. Non-Cryst. Solids 2019, 503–504, 158–168. [Google Scholar] [CrossRef]
- Obaid, S.S.; Gaikwad, D.K.; Pawar, P.P. Determination of Gamma Ray Shielding Parameters of Rocks and Concrete. Radiat. Phys. Chem. 2018, 144, 356–360. [Google Scholar] [CrossRef]
- Obaid, S.S.; Sayyed, M.I.; Gaikwad, D.K.; Pawar, P.P. Attenuation Coefficients and Exposure Buildup Factor of Some Rocks for Gamma Ray Shielding Applications. Radiat. Phys. Chem. 2018, 148, 86–94. [Google Scholar] [CrossRef]
- Obaid, S.S.; Sayyed, M.I.; Gaikwad, D.K.; Tekin, H.O.; Elmahroug, Y.; Pawar, P.P. Photon Attenuation Coefficients of Different Rock Samples Using MCNPX, Geant4 Simulation Codes and Experimental Results: A Comparison Study. Radiat. Eff. Defects Solids 2018, 173, 900–914. [Google Scholar] [CrossRef]
- Alavian, H.; Tavakoli-Anbaran, H. Comparative Study of Mass Attenuation Coefficients for LDPE/Metal Oxide Composites by Monte Carlo Simulations. Eur. Phys. J. Plus 2020, 135, 82. [Google Scholar] [CrossRef]
- Yilmaz, S.S.; Yildirim, N.; Misir, M.; Misirlioglu, Y.; Celik, E. Synthesis, Characterization of a New Polyacrylic Acid Superabsorbent, Some Heavy Metal Ion Sorption, the Adsorption Isotherms, and Quantum Chemical Investigation. Materials 2020, 13, 4390. [Google Scholar] [CrossRef]
- Yilmaz, S.S.; Kul, D.; Erdöl, M.; Özdemir, M.; Abbasoǧlu, R. Synthesis of a Novel Crosslinked Superabsorbent Copolymer with Diazacyclooctadecane Crown Ether and Its Sorption Capability. Eur. Polym. J. 2007, 43, 1923–1932. [Google Scholar] [CrossRef]
- Çelikbilek Ersundu, M.; Ersundu, A.E.; Sayyed, M.I.; Lakshminarayana, G.; Aydin, S. Evaluation of Physical, Structural Properties and Shielding Parameters for K2O–WO3–TeO2 Glasses for Gamma Ray Shielding Applications. J. Alloys Compd. 2017, 714, 278–286. [Google Scholar] [CrossRef]
- Tekin, H.O.; Kilicoglu, O.; Kavaz, E.; Altunsoy, E.E.; Almatari, M.; Agar, O.; Sayyed, M.I. The Investigation of Gamma-Ray and Neutron Shielding Parameters of Na2O-CaO-P2O5-SiO2 Bioactive Glasses Using MCNPX Code. Results Phys. 2019, 12, 1797–1804. [Google Scholar] [CrossRef]
- Ortaç, B.; Mutlu, S.; Baskan, T.; Savaskan Yilmaz, S.; Yilmaz, A.H.; Erol, B. Thermal Conductivity and Phase-Change Properties of Boron Nitride–Lead Oxide Nanoparticle-Doped Polymer Nanocomposites. Polymers 2023, 15, 2326. [Google Scholar] [CrossRef] [PubMed]
- Savaskan, S. Synthesis and Investigation of Ion Exchange Properties of New Ion Exchangers; Karadeniz Technical University Graduate School of Natural and Applied Sciences Institute: Trabzon, Turkey, 1994. [Google Scholar]
- Savaşkan, S.; Besşirli, N.; Hazer, B. Synthesis of Some New Cation-Exchanger Resins. J. Appl. Polym. Sci. 1996, 59, 1515–1524. [Google Scholar] [CrossRef]
- Gouda, M.M.; Osman, A.F.; Awad, R.; Badawi, M.S. Enhanced Radiation Shielding Efficiency of Polystyrene Nanocomposites with Tailored Lead Oxide Nanoparticles. Sci. Rep. 2024, 14, 19970. [Google Scholar] [CrossRef] [PubMed]
- Chitti Babu, A.; Krishna Reddy, D.V.; Sambasivarao, T.; Rami Reddy, M. The Role of Vanadium Ions in PbO-As2O3 Glasses. Mater. Today Proc. 2018, 5, 26223–26231. [Google Scholar] [CrossRef]
- Babeer, A.M.; Amin, H.Y.; Sayyed, M.I.; Mahmoud, A.E.; Sadeq, M.S. Impact of the As2O3/B2O3 Ratio on the Structure and Optical Features of As2O3–NiO–Na2O–B2O3 Glass. Ceram. Int. 2024, 50, 8409–8420. [Google Scholar] [CrossRef]
- Aghabaklooei, S.; Funamizu, H.; Fuchita, Y.; Yasuda, H. Shielding Performance of a New Coating Material Composed of Polyurea Resin and Tungsten Carbide against X-Rays. Adv. Eng. Mater. 2025, 27, 2401816. [Google Scholar] [CrossRef]
- Gear, J.I.; Taprogge, J.; White, O.; Flux, G.D. Characterisation of the Attenuation Properties of 3D-Printed Tungsten for Use in Gamma Camera Collimation. EJNMMI Phys. 2019, 6, 1. [Google Scholar] [CrossRef]
- Alzahrani, S.M.; Al Doghaither, H.A.; Al-Ghafar, A.B. General Insight into Cancer: An Overview of Colorectal Cancer (Review). Mol. Clin. Oncol. 2021, 15, 271. [Google Scholar] [CrossRef]
- NIST XCOM: Photon Cross Sections Database (Attenuation Data and HVL Derivations). Available online: https://www.nist.gov/pml/xcom-photon-cross-sections-database (accessed on 1 October 2025).
- Jamal AbuAlRoos, N.; Azman, M.N.; Baharul Amin, N.A.; Zainon, R. Tungsten-Based Material as Promising New Lead-Free Gamma Radiation Shielding Material in Nuclear Medicine. Phys. Medica 2020, 78, 48–57. [Google Scholar] [CrossRef]
- Dahinde, P.S.; Dapke, G.P.; Raut, S.D.; Bhosale, R.R.; Pawar, P.P. Analysis OF Half Value Layer (HVL), Tenth Value Layer (TVL) and Mean Free Path (MFP) of Some Oxides in The Energy Range of 122 keV to 1330 keV. Indian J. Sci. Res. 2019, 9, 79–84. [Google Scholar] [CrossRef]
- Cinan, Z.M.; Erol, B.; Baskan, T.; Mutlu, S.; Yilmaz, S.S.; Yilmaz, A.H. Gamma Irradiation and the Radiation Shielding Characteristics: For the Lead Oxide Doped the Crosslinked Polystyrene-b-Polyethyleneglycol Block Copolymers and the Polystyrene-b-Polyethyleneglycol-Boron Nitride Nanocomposites. Polymers 2021, 13, 3246. [Google Scholar] [CrossRef] [PubMed]
- Cinan, Z.M.; Baskan, T.; Erol, B.; Mutlu, S.; Misirlioglu, Y.; Yilmaz, S.S.; Yilmaz, A.H. Gamma Irradiation, Thermal Conductivity, and Phase Change Tests of the Cement-Hyperbranched Poly Amino-Ester-Block-Poly Cabrolactone-Polyurathane Plaster-Lead Oxide and Arsenic Oxide Composite for Development of Radiation Shielding Material. Int. J. Energy Res. 2021, 45, 20729–20762. [Google Scholar] [CrossRef]
- Chang, Q.; Guo, S.; Zhang, X. Radiation Shielding Polymer Composites: Ray-Interaction Mechanism, Structural Design, Manufacture and Biomedical Applications. Mater. Des. 2023, 233, 112253. [Google Scholar] [CrossRef]
- Sharma, A.; Sayyed, M.I.; Agar, O.; Kaçal, M.R.; Polat, H.; Akman, F. Photon-Shielding Performance of Bismuth Oxychloride-Filled Polyester Concretes. Mater. Chem. Phys. 2020, 241, 122330. [Google Scholar] [CrossRef]
- El-Mesady, I.; El-Agawany, F.I.; El-Samman, H.; Hussein, A.; Rammah, Y.S.; Elsad, R.A. Synthesis, Optical Characteristics, and Gamma-Ray Protection Competence Evaluation of Polyvinyl Chloride Reinforced Basalt Nanocomposites. Radiat. Phys. Chem. 2023, 212, 111122. [Google Scholar] [CrossRef]
- El-Khatib, A.M.; Zard, K.; Abbas, M.I.; Gouda, M.M. Novel Composite Based on Silicone Rubber and a Nano Mixture of SnO2, Bi2O3, and CdO for Gamma Radiation Protection. Sci. Rep. 2024, 14, 1578. [Google Scholar] [CrossRef] [PubMed]
- Aldhuhaibat, M.J.R.; Amana, M.S.; Aboud, H.; Salim, A.A. Radiation Attenuation Capacity Improvement of Various Oxides via High Density Polyethylene Composite Reinforcement. Ceram. Int. 2022, 48, 25011–25019. [Google Scholar] [CrossRef]
- Alsayed, Z.; Badawi, M.S.; Awad, R.; El-Khatib, A.M.; Thabet, A.A. Investigation of γ-Ray Attenuation Coefficients, Effective Atomic Number and Electron Density for ZnO/HDPE Composite. Phys. Scr. 2020, 95, 085301. [Google Scholar] [CrossRef]
- Kelkar, A.D.; Tian, Q.; Yu, D.; Zhang, L. Boron Nitride Nanoparticle Enhanced Prepregs: A Novel Route for Manufacturing Aerospace Structural Composite Laminate. Mater. Chem. Phys. 2016, 176, 136–142. [Google Scholar] [CrossRef]
- Sato, K.; Horibe, H.; Shirai, T.; Hotta, Y.; Nakano, H.; Nagai, H.; Mitsuishi, K.; Watari, K. Thermally Conductive Composite Films of Hexagonal Boron Nitride and Polyimide with Affinity-Enhanced Interfaces. J. Mater. Chem. 2010, 20, 2749–2752. [Google Scholar] [CrossRef]
- Shin, J.W.; Lee, J.W.; Yu, S.; Baek, B.K.; Hong, J.P.; Seo, Y.; Kim, W.N.; Hong, S.M.; Koo, C.M. Polyethylene/Boron-Containing Composites for Radiation Shielding. Thermochim. Acta 2014, 585, 5–9. [Google Scholar] [CrossRef]
- Shang, Y.; Yang, G.; Su, F.; Feng, Y.; Ji, Y.; Liu, D.; Yin, R.; Liu, C.; Shen, C. Multilayer Polyethylene/Hexagonal Boron Nitride Composites Showing High Neutron Shielding Efficiency and Thermal Conductivity. Compos. Commun. 2020, 19, 147–153. [Google Scholar] [CrossRef]
- Hubbell, J.H.; Seltzer, S.M. X-Ray Mass Attenuation Coefficients: NIST Standard Reference Database 126. 2004. Available online: https://www.nist.gov/pml/x-ray-mass-attenuation-coefficients (accessed on 1 October 2025).
- Khan, F.M.; Gibbons, J.P. Khan’s the Physics of Radiation Therapy; Lippincott Williams & Wilkins: Philadelphia, PA, USA, 2014. [Google Scholar]
- Akkurt, I.; Basyigit, C.; Kilincarslan, S.; Mavi, B.; Akkurt, A. Radiation Shielding of Concretes Containing Different Aggregates. Cem. Concr. Compos. 2006, 28, 153–157. [Google Scholar] [CrossRef]
- Bashter, I.I. Calculation of Radiation Attenuation Coefficients for Shielding Concretes. Ann. Nucl. Energy 1997, 24, 1389–1401. [Google Scholar] [CrossRef]
- More, C.V.; Alsayed, Z.; Badawi, M.S.; Thabet, A.A.; Pawar, P.P. Polymeric Composite Materials for Radiation Shielding: A Review. Environ. Chem. Lett. 2021, 19, 2057–2090. [Google Scholar] [CrossRef]
- Abu Saleem, R.A.; Abdelal, N.; Alsabbagh, A.; Al-Jarrah, M.; Al-Jawarneh, F. Radiation Shielding of Fiber Reinforced Polymer Composites Incorporating Lead Nanoparticles—An Empirical Approach. Polymers 2021, 13, 3699. [Google Scholar] [CrossRef]
- Sayyed, M.I.; Almuqrin, A.H.; Al-Balawi, S.M.; Hedaya, A.; Elsafi, M. Efficiency of Flexible Shielding Materials against Gamma Rays: Silicon Rubber with Different Sizes of Bi2O3 and SnO. E-Polymer 2025, 25, 20250031. [Google Scholar] [CrossRef]
- Atia, G.A.; Abdal Dayem, A.; Taher, E.S.; Alghonemy, W.Y.; Cho, S.G.; Aldarmahi, A.A.; Haque, M.A.; Alshambky, A.; Taymour, N.; Ibrahim, A.M.; et al. Urine-Derived Stem Cells: A Sustainable Resource for Advancing Personalized Medicine and Dental Regeneration. Front. Bioeng. Biotechnol. 2025, 13, 1571066. [Google Scholar] [CrossRef]
- Panahi-Sarmad, M.; Samsami, S.; Ghaffarkhah, A.; Hashemi, S.A.; Ghasemi, S.; Amini, M.; Wuttke, S.; Rojas, O.; Tam, K.C.; Jiang, F.; et al. MOF-Based Electromagnetic Shields Multiscale Design: Nanoscale Chemistry, Microscale Assembly, and Macroscale Manufacturing. Adv. Funct. Mater. 2024, 34, 2304473. [Google Scholar] [CrossRef]
- Papagiannis, P.; Baltas, D.; Granero, D.; Prez-Calatayud, J.; Gimeno, J.; Ballester, F.; Venselaar, J.L.M. Radiation Transmission Data for Radionuclides and Materials Relevant to Brachytherapy Facility Shielding. Med. Phys. 2008, 35, 4898–4906. [Google Scholar] [CrossRef] [PubMed]


















| Nanocomposite ID | PS-b-PEG Type | PS-b-PEG (wt%) | BN (wt%) | As2O3 (wt%) | Pellet Thickness d (cm) | Density (gr/cm3) | |
|---|---|---|---|---|---|---|---|
| 1 | RPA1 | 1000 | 100 | 0 | 0 | 0.448 | 1.03 |
| 2 | RP1A-1 | 1000 | 50 | 0 | 50 | 0.437 | 1.68 |
| 3 | RP1A-2 | 1000 | 30 | 0 | 70 | 0.401 | 2.04 |
| 4 | RP1A-3 | 1000 | 10 | 0 | 90 | 0.165 | 3.34 |
| 5 | RP1A-4 | 1000 | 46.2 | 0 | 53.8 | 0.512 | 1.69 |
| 6 | RPA2 | 1500 | 100 | 0 | 0 | 0.492 | 1.00 |
| 7 | RP2A-1 | 1500 | 50 | 0 | 50 | 0.477 | 1.65 |
| 8 | RP2A-2 | 1500 | 30 | 0 | 70 | 0.373 | 2.00 |
| 9 | RP2A-3 | 1500 | 10 | 0 | 90 | 0.277 | 2.61 |
| 10 | RP2A-4 | 1500 | 46.2 | 0 | 53.8 | 0.593 | 1.71 |
| 11 | RPA3 | 10,000 | 100 | 0 | 0 | 0.613 | 1.10 |
| 12 | RP3A-1 | 10,000 | 50 | 0 | 50 | 0.509 | 1.74 |
| 13 | RP3A-2 | 10,000 | 30 | 0 | 70 | 0.31 | 2.20 |
| 14 | RP3A-3 | 10,000 | 10 | 0 | 90 | 0.339 | 2.42 |
| 15 | RP3A-4 | 10,000 | 46.2 | 0 | 53.8 | 0.433 | 1.79 |
| 16 | RPABN1 | 1000 | 50 | 50 | 0 | 0.525 | 1.23 |
| 17 | RP1ABN-1 | 1000 | 15 | 15 | 70 | 0.49 | 2.11 |
| 18 | RP1ABN-2 | 1000 | 5 | 5 | 90 | 0.353 | 2.43 |
| 19 | RP1ABN-3 | 1000 | 26.1 | 13 | 60.9 | 0.435 | 1.97 |
| 20 | RPABN2 | 1500 | 50 | 50 | 0 | 0.443 | 1.72 |
| 21 | RP2ABN-1 | 1500 | 15 | 15 | 70 | 0.358 | 2.26 |
| 22 | RP2ABN-2 | 1500 | 5 | 5 | 90 | 0.443 | 2.12 |
| 23 | RP2ABN-3 | 1500 | 26.1 | 13 | 60.9 | 0.443 | 1.77 |
| 24 | RPABN3 | 10,000 | 50 | 50 | 0 | 0.559 | 1.31 |
| 25 | RP3ABN-1 | 10,000 | 15 | 15 | 70 | 0.209 | 1.80 |
| 26 | RP3ABN-2 | 10,000 | 5 | 5 | 90 | 0.559 | 1.17 |
| 27 | RP3ABN-3 | 10,000 | 26.1 | 13 | 60.9 | 0.405 | 2.19 |
| Best Performers (Low Energy) | Trend | Notable Insight |
|---|---|---|
| RPABN1, RPA2 | peaks at 121.78 keV | RPABN1 composites enhance attenuation marginally |
| RP2A-3, RP3ABN-3 | Moderate to high | Enhanced shielding from RP1ABN-3 |
| RP3ABN-1 | Highest overall | Most efficient shielding copolymers in the study |
Disclaimer/Publisher’s Note: The statements, opinions and data contained in all publications are solely those of the individual author(s) and contributor(s) and not of MDPI and/or the editor(s). MDPI and/or the editor(s) disclaim responsibility for any injury to people or property resulting from any ideas, methods, instructions or products referred to in the content. |
© 2025 by the authors. Licensee MDPI, Basel, Switzerland. This article is an open access article distributed under the terms and conditions of the Creative Commons Attribution (CC BY) license (https://creativecommons.org/licenses/by/4.0/).
Share and Cite
Ortaç, B.; Baskan, T.; Mutlu, S.; Yilmaz, S.S.; Yilmaz, A.H. Gamma Radiation Shielding Efficiency of Cross-Linked Polystyrene-b-Polyethyleneglycol Block Copolymer Nanocomposites Doped Arsenic (III) Oxide and Boron Nitride Nanoparticles. Polymers 2025, 17, 3330. https://doi.org/10.3390/polym17243330
Ortaç B, Baskan T, Mutlu S, Yilmaz SS, Yilmaz AH. Gamma Radiation Shielding Efficiency of Cross-Linked Polystyrene-b-Polyethyleneglycol Block Copolymer Nanocomposites Doped Arsenic (III) Oxide and Boron Nitride Nanoparticles. Polymers. 2025; 17(24):3330. https://doi.org/10.3390/polym17243330
Chicago/Turabian StyleOrtaç, Bülend, Taylan Baskan, Saliha Mutlu, Sevil Savaskan Yilmaz, and Ahmet Hakan Yilmaz. 2025. "Gamma Radiation Shielding Efficiency of Cross-Linked Polystyrene-b-Polyethyleneglycol Block Copolymer Nanocomposites Doped Arsenic (III) Oxide and Boron Nitride Nanoparticles" Polymers 17, no. 24: 3330. https://doi.org/10.3390/polym17243330
APA StyleOrtaç, B., Baskan, T., Mutlu, S., Yilmaz, S. S., & Yilmaz, A. H. (2025). Gamma Radiation Shielding Efficiency of Cross-Linked Polystyrene-b-Polyethyleneglycol Block Copolymer Nanocomposites Doped Arsenic (III) Oxide and Boron Nitride Nanoparticles. Polymers, 17(24), 3330. https://doi.org/10.3390/polym17243330

