Sustainable 3D Scaffolds Based on β-Chitin and Collagen I for Wound Dressing Applications
Abstract
1. Introduction
- Highly concentrated (2–5 M) NaOH (or KOH) and urea (≈0.6 M) mixtures [60,61]. These highly alkaline mixtures are applied for long reaction times (days) and likely induce the degradation of the polymer (i.e., deacetylation or chain shortening), which is generally not tested. In addition, energy- and time-consuming repeated freeze/thawing cycles are required to obtain a proper chitin dispersion.
2. Materials and Methods
2.1. Materials
2.2. β-Chitin Purification from the Squid Pen
2.3. Preparation of the Chitin/Collagen Scaffolds
- C00: 100% collagen dispersion;
- C25: 25% chitin and 75% collagen;
- C50: 50% chitin and 50% collagen;
- C75: 75% chitin and 25% collagen;
- C100: 100% chitin dispersion.
2.4. Infrared Spectroscopy
2.5. Exposed Surface Measurement
2.6. Water Absorption (WA) and Total Pore Volume (TPV) Percentage Measurements
2.7. Scanning Electron Microscopy (SEM)
2.8. Mechanical Compression Tests
2.9. Cell Cultures
2.10. Cell Viability Test Using a Resazurin Reduction Assay
2.11. Fluorescence Microscopy on Osteoblasts
3. Results
3.1. Preparation of the Scaffolds
3.2. Exposed Surface, Water Absorption, and Total Pore Volume
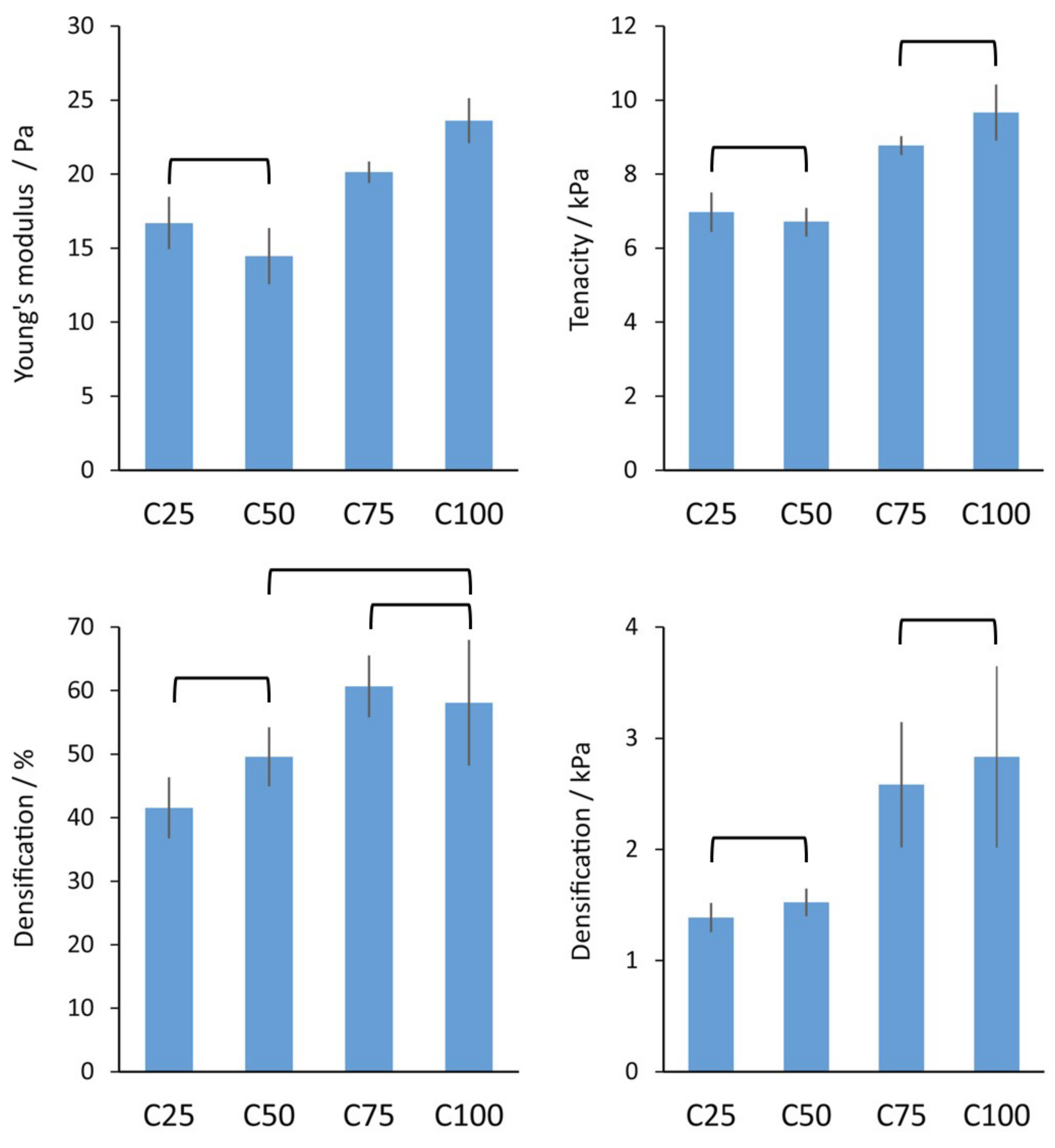
3.3. Morphology and Mechanical Tests
3.4. Cell Viability of Keratinocytes, Fibroblasts, and Osteoblasts
4. Discussion
4.1. Scaffold Preparation
4.2. Material Characterization
4.3. In Vitro Cell Tests
5. Conclusions
Supplementary Materials
Author Contributions
Funding
Institutional Review Board Statement
Data Availability Statement
Conflicts of Interest
References
- Ghersin, Z.J.; Flaherty, M.R.; Yager, P.; Cummings, B.M. Going Green: Decreasing Medical Waste in a Paediatric Intensive Care Unit in the United States. New Bioeth. 2020, 26, 98–110. [Google Scholar] [CrossRef] [PubMed]
- Conrardy, J.; Hillanbrand, M.; Myers, S.; Nussbaum, G.F. Reducing Medical Waste. AORN J. 2010, 91, 711–721. [Google Scholar] [CrossRef]
- Guest, J.F.; Ayoub, N.; McIlwraith, T.; Uchegbu, I.; Gerrish, A.; Weidlich, D.; Vowden, K.; Vowden, P. Health Economic Burden That Different Wound Types Impose on the UK’s National Health Service. Int. Wound J. 2017, 14, 322–330. [Google Scholar] [CrossRef]
- Guest, J.F.; Fuller, G.W.; Vowden, P. Venous Leg Ulcer Management in Clinical Practice in the UK: Costs and Outcomes. Int. Wound J. 2018, 15, 29–37. [Google Scholar] [CrossRef]
- Guest, J.F.; Fuller, G.W.; Vowden, P. Diabetic Foot Ulcer Management in Clinical Practice in the UK: Costs and Outcomes. Int. Wound J. 2018, 15, 43–52. [Google Scholar] [CrossRef]
- Guest, J.F.; Fuller, G.W.; Vowden, P.; Vowden, K.R. Cohort Study Evaluating Pressure Ulcer Management in Clinical Practice in the UK Following Initial Presentation in the Community: Costs and Outcomes. BMJ Open 2018, 8, e021769. [Google Scholar] [CrossRef]
- Guest, J.F.; Fuller, G.W.; Vowden, P. Costs and Outcomes in Evaluating Management of Unhealed Surgical Wounds in the Community in Clinical Practice in the UK: A Cohort Study. BMJ Open 2018, 8, e022591. [Google Scholar] [CrossRef]
- Agarwal, A.; McAnulty, J.F.; Schurr, M.J.; Murphy, C.J.; Abbott, N.L. Polymeric Materials for Chronic Wound and Burn Dressings. In Advanced Wound Repair Therapies; Elsevier Inc.: Amsterdam, The Netherlands, 2011; pp. 186–208. ISBN 9781845697006. [Google Scholar]
- Kirwan, H.; Pignataro, R. The Skin and Wound Healing. In Pathology and Intervention in Musculoskeletal Rehabilitation, 2nd ed.; Elsevier Inc.: Amsterdam, The Netherlands, 2016. [Google Scholar]
- Nudelman, F.; Pieterse, K.; George, A.; Bomans, P.H.H.; Friedrich, H.; Brylka, L.J.; Hilbers, P.A.J.; De With, G.; Sommerdijk, N.A.J.M. The Role of Collagen in Bone Apatite Formation in the Presence of Hydroxyapatite Nucleation Inhibitors. Nat. Mater. 2010, 9, 1004–1009. [Google Scholar] [CrossRef]
- Alam, P.; Amini, S.; Tadayon, M.; Miserez, A.; Chinsamy, A. Properties and Architecture of the Sperm Whale Skull Amphitheatre. Zoology 2016, 119, 42–51. [Google Scholar] [CrossRef] [PubMed]
- Seidel, R.; Jayasankar, A.K.; Dean, M.N. The Multiscale Architecture of Tessellated Cartilage and Its Relation to Function. J. Fish Biol. 2020, 98, 942–955. [Google Scholar] [CrossRef]
- Wenger, M.P.E.; Bozec, L.; Horton, M.A.; Mesquidaz, P. Mechanical Properties of Collagen Fibrils. Biophys. J. 2007, 93, 1255–1263. [Google Scholar] [CrossRef] [PubMed]
- Gentleman, E.; Lay, A.N.; Dickerson, D.A.; Nauman, E.A.; Livesay, G.A.; Dee, K.C. Mechanical Characterization of Collagen Fibers and Scaffolds for Tissue Engineering. Biomaterials 2003, 24, 3805–3813. [Google Scholar] [CrossRef] [PubMed]
- Montroni, D.; Piccinetti, C.; Fermani, S.; Calvaresi, M.; Harrington, M.J.; Falini, G. Exploitation of Mussel Byssus Mariculture Waste as a Water Remediation Material. RSC Adv. 2017, 7, 36605–36611. [Google Scholar] [CrossRef]
- Nudelman, F.; Lausch, A.J.; Sommerdijk, N.A.J.M.; Sone, E.D. In Vitro Models of Collagen Biomineralization. J. Struct. Biol. 2013, 183, 258–269. [Google Scholar] [CrossRef]
- Montroni, D.; Valle, F.; Rapino, S.; Fermani, S.; Calvaresi, M.; Harrington, M.J.; Falini, G. Functional Biocompatible Matrices from Mussel Byssus Waste. ACS Biomater. Sci. Eng. 2018, 4, 57–65. [Google Scholar] [CrossRef]
- Montroni, D.; Giusti, G.; Simoni, A.; Cau, G.; Ciavatta, C.; Marzadori, C.; Falini, G. Metal Ion Removal Using Waste Byssus from Aquaculture. Sci. Rep. 2020, 10, 22222. [Google Scholar] [CrossRef]
- Davison-Kotler, E.; Marshall, W.S.; García-Gareta, E. Sources of Collagen for Biomaterials in Skin Wound Healing. Bioengineering 2019, 6, 56. [Google Scholar] [CrossRef]
- Zhang, G.; Young, B.B.; Ezura, Y.; Favata, M.; Soslowsky, L.J.; Chakravarti, S.; Birk, D.E. Development of Tendon Structure and Function: Regulation of Collagen Fibrillogenesis. J. Musculoskelet. Neuronal Interact. 2005, 5, 5–21. [Google Scholar]
- Thorpe, C.T.; Screen, H.R.C. Tendon Structure and Composition. In Metabolic Influences on Risk for Tendon Disorders; Springer: Cham, Switzerland, 2016; pp. 3–10. ISBN 9783319339436. [Google Scholar]
- Sell, S.A.; McClure, M.J.; Garg, K.; Wolfe, P.S.; Bowlin, G.L. Electrospinning of Collagen/Biopolymers for Regenerative Medicine and Cardiovascular Tissue Engineering. Adv. Drug Deliv. Rev. 2009, 61, 1007–1019. [Google Scholar] [CrossRef]
- Lin, K.; Zhang, D.; Macedo, M.H.; Cui, W.; Sarmento, B.; Shen, G. Advanced Collagen-Based Biomaterials for Regenerative Biomedicine. Adv. Funct. Mater. 2019, 29, 1804943. [Google Scholar] [CrossRef]
- Barbalinardo, M.; Biagetti, M.; Valle, F.; Cavallini, M.; Falini, G.; Montroni, D. Green Biocompatible Method for the Synthesis of Collagen/Chitin Composites to Study Their Composition and Assembly Influence on Fibroblasts Growth. Biomacromolecules 2021, 22, 3357–3365. [Google Scholar] [CrossRef] [PubMed]
- Afifah, A.; Suparno, O.; Haditjaroko, L.; Tarman, K. Utilisation of Fish Skin Waste as a Collagen Wound Dressing on Burn Injuries: A Mini Review. IOP Conf. Ser. Earth Environ. Sci. 2019, 335, 012031. [Google Scholar] [CrossRef]
- Tian, Z.; Wang, Y.; Wang, H.; Zhang, K. Regeneration of Native Collagen from Hazardous Waste: Chrome-Tanned Leather Shavings by Acid Method. Environ. Sci. Pollut. Res. 2020, 27, 31300–31310. [Google Scholar] [CrossRef] [PubMed]
- Matinong, A.M.E.; Chisti, Y.; Pickering, K.L.; Haverkamp, R.G. Collagen Extraction from Animal Skin. Biology 2022, 11, 905. [Google Scholar] [CrossRef]
- Jafari, H.; Lista, A.; Siekapen, M.M.; Ghaffari-Bohlouli, P.; Nie, L.; Alimoradi, H.; Shavandi, A. Fish Collagen: Extraction, Characterization, and Applications for Biomaterials Engineering. Polymers 2020, 12, 2230. [Google Scholar] [CrossRef]
- Montroni, D.; Fermani, S.; Morellato, K.; Torri, G.; Naggi, A.; Cristofolini, L.; Falini, G. β-Chitin Samples with Similar Microfibril Arrangement Change Mechanical Properties Varying the Degree of Acetylation. Carbohydr. Polym. 2019, 207, 26–33. [Google Scholar] [CrossRef]
- Ogawa, Y.; Hori, R.; Kim, U.J.; Wada, M. Elastic Modulus in the Crystalline Region and the Thermal Expansion Coefficients of α-Chitin Determined Using Synchrotron Radiated X-Ray Diffraction. Carbohydr. Polym. 2011, 83, 1213–1217. [Google Scholar] [CrossRef]
- Vincent, J.F.V.; Wegst, U.G.K. Design and Mechanical Properties of Insect Cuticle. Arthropod Struct. Dev. 2004, 33, 187–199. [Google Scholar] [CrossRef]
- Montroni, D.; Palanca, M.; Morellato, K.; Fermani, S.; Cristofolini, L.; Falini, G. Hierarchical Chitinous Matrices Byssus-Inspired with Mechanical Properties Tunable by Fe (III) and Oxidation. Carbohydr. Polym. 2021, 251, 116984. [Google Scholar] [CrossRef]
- Montroni, D.; Sparla, F.; Fermani, S.; Falini, G. Influence of Proteins on Mechanical Properties of a Natural Chitin-Protein Composite. Acta Biomater. 2021, 120, 81–90. [Google Scholar] [CrossRef]
- Montroni, D.; Zhang, X.; Leonard, J.; Kaya, M.; Amemiya, C.; Falini, G.; Rolandi, M. Structural Characterization of the Buccal Mass of Ariolimax californicus (Gastropoda; Stylommatophora). PLoS ONE 2019, 14, e0212249. [Google Scholar] [CrossRef] [PubMed]
- Montroni, D.; Leonard, J.; Rolandi, M.; Falini, G. Morphology and Organization of the Internal Shell of Ariolimax californicus (Gastropoda; Stylommatophora), an Asymmetric Two-Face Biomineralized Matrix. J. Struct. Biol. 2021, 2013, 107764. [Google Scholar] [CrossRef] [PubMed]
- Huang, W.; Montroni, D.; Wang, T.; Murata, S.; Arakaki, A.; Nemoto, M.; Kisailus, D. Nanoarchitected Tough Biological Composites from Assembled Chitinous Scaffolds. Acc. Chem. Res. 2022, 55, 1360–1371. [Google Scholar] [CrossRef] [PubMed]
- Lee, J.E.; Connolloy, J.; Yang, W.; Freychet, G.; Wang, T.; Herrera, S.A.; Murata, S.; Dasika, P.S.; Montroni, D.; Pohl, A.; et al. Fibrous Anisotropy and Mineral Gradients Within the Radula Stylus of Chiton: Controlled Stiffness and Damage Tolerance in a Flexible Biological Composite. J. Compos. Mater. 2023, 57, 565–574. [Google Scholar] [CrossRef]
- Montroni, D.; Sarmiento, E.; Zhao, R.; Dasika, P.S.; Connolly, J.M.; Wuhrer, R.; Zhang, Y.; Zhernenkov, M.; Wang, T.; Ramirez-Santana, B.P.; et al. The Multiphasic Teeth of Chiton Articulatus, an Abrasion-Resistant and Self-Sharpening Tool for Hard Algae Collection. Adv. Funct. Mater. 2024, 34, 2401658. [Google Scholar] [CrossRef]
- Montroni, D.; Marzec, B.; Valle, F.; Nudelman, F.; Falini, G. β-Chitin Nanofibril Self-Assembly in Aqueous Environments. Biomacromolecules 2019, 20, 2421–2429. [Google Scholar] [CrossRef]
- Montroni, D.; Di Giosia, M.; Calvaresi, M.; Falini, G. Supramolecular Binding with Lectins: A New Route for Non-Covalent Functionalization of Polysaccharide Matrices. Molecules 2022, 27, 5633. [Google Scholar] [CrossRef]
- Wan, A.C.A.; Tai, B.C.U. Chitin—A Promising Biomaterial for Tissue Engineering and Stem Cell Technologies. Biotechnol. Adv. 2013, 31, 1776–1785. [Google Scholar] [CrossRef]
- Abe, M.; Takahashi, M.; Tokura, S.; Tamura, H.; Nagano, A. Cartilage—Scaffold Composites Produced by Bioresorbable b -Chitin Sponge with Cultured Rabbit Chondrocytes. Tissue Eng. 2004, 10, 585–594. [Google Scholar] [CrossRef]
- Ge, Z.; Baguenard, S.; Yong, L.; Wee, A.; Khor, E. Hydroxyapatite—Chitin Materials as Potential Tissue Engineered Bone Substitutes. Biomaterials 2004, 25, 1049–1058. [Google Scholar] [CrossRef]
- Magnabosco, G.; Ianiro, A.; Stefani, D.; Soldà, A.; Rapino, S.; Falini, G.; Calvaresi, M. Doxorubicin-Loaded Squid Pen Plaster: A Natural Drug Delivery System for Cancer Cells. ACS Appl. Bio Mater. 2020, 3, 1514–1519. [Google Scholar] [CrossRef] [PubMed]
- Jayakumar, R.; Nair, A.; Rejinold, N.S.; Maya, S.; Nair, S.V. Doxorubicin-Loaded PH-Responsive Chitin Nanogels for Drug Delivery to Cancer Cells. Carbohydr. Polym. 2012, 87, 2352–2356. [Google Scholar] [CrossRef]
- Montroni, D.; Kobayashi, T.; Hao, T.; Lublin, D.; Yoshino, T.; Kisailus, D. Direct Ink Write Printing of Chitin-Based Gel Fibers with Customizable Fibril Alignment, Porosity, and Mechanical Properties for Biomedical Applications. J. Funct. Biomater. 2022, 13, 83. [Google Scholar] [CrossRef]
- Okamoto, Y.; Watanabea, M.; Miyatakea, K.; Morimoto, M.; Shigemasa, Y.; Minami, S. Effects of Chitin/Chitosan and Their Oligomers/Monomers on Migrations of Fibroblasts and Vascular Endothelium. Biomaterials 2002, 23, 1975–1979. [Google Scholar] [CrossRef]
- Mori, T.; Okumura, M.; Matsuura, M.; Ueno, K.; Tokura, S.; Okamoto, Y.; Minami, S.; Fujinaga, T. Effects of Chitin and Its Derivatives on the Proliferation and Cytokine Production of Fibroblasts in Vitro. Biomaterials 1997, 18, 947–951. [Google Scholar] [CrossRef]
- Li, X.; Feng, Q.; Liu, X.; Dong, W.; Cui, F. Collagen-Based Implants Reinforced by Chitin Fibres in a Goat Shank Bone Defect Model. Biomaterials 2006, 27, 1917–1923. [Google Scholar] [CrossRef]
- Lee, S.B.; Kim, Y.H.; Chong, M.S.; Lee, Y.M. Preparation and Characteristics of Hybrid Scaffolds Composed of β-Chitin and Collagen. Biomaterials 2004, 25, 2309–2317. [Google Scholar] [CrossRef]
- Jin, J.; Hassanzadeh, P.; Perotto, G.; Sun, W.; Brenckle, M.A.; Kaplan, D.; Omenetto, F.G.; Rolandi, M. A Biomimetic Composite from Solution Self-Assembly of Chitin Nanofibers in a Silk Fibroin Matrix. Adv. Mater. 2013, 25, 4482–4487. [Google Scholar] [CrossRef]
- Arun Kumar, R.; Sivashanmugam, A.; Deepthi, S.; Iseki, S.; Chennazhi, K.P.; Nair, S.V.; Jayakumar, R. Injectable Chitin-Poly(ε-Caprolactone)/Nanohydroxyapatite Composite Microgels Prepared by Simple Regeneration Technique for Bone Tissue Engineering. ACS Appl. Mater. Interfaces 2015, 7, 9399–9409. [Google Scholar] [CrossRef]
- Peter, M.; Sudheesh Kumar, P.T.; Binulal, N.S.; Nair, S.V.; Tamura, H.; Jayakumar, R. Development of Novel α-Chitin/Nanobioactive Glass Ceramic Composite Scaffolds for Tissue Engineering Applications. Carbohydr. Polym. 2009, 78, 926–931. [Google Scholar] [CrossRef]
- Li, X.; Feng, Q.; Wang, W.; Cui, F. Chemical Characteristics and Cytocompatibility of Collagen-Based Scaffold Reinforced by Chitin Fibers for Bone Tissue Engineering. J. Biomed. Mater. Res. B Appl. Biomater. 2006, 77, 219–226. [Google Scholar] [CrossRef] [PubMed]
- Noh, H.K.; Lee, S.W.; Kim, J.M.; Oh, J.E.; Kim, K.H.; Chung, C.P.; Choi, S.C.; Park, W.H.; Min, B.M. Electrospinning of Chitin Nanofibers: Degradation Behavior and Cellular Response to Normal Human Keratinocytes and Fibroblasts. Biomaterials 2006, 27, 3934–3944. [Google Scholar] [CrossRef] [PubMed]
- Moon, H.; Choy, S.; Park, Y.; Jung, Y.M.; Koo, J.M.; Hwang, D.S. Different Molecular Interaction between Collagen and α- or β-Chitin in Mechanically Improved Electrospun Composite. Mar. Drugs 2019, 17, 318. [Google Scholar] [CrossRef]
- Madhumathi, K.; Sudheesh Kumar, P.T.; Abhilash, S.; Sreeja, V.; Tamura, H.; Manzoor, K.; Nair, S.V.; Jayakumar, R. Development of Novel Chitin/Nanosilver Composite Scaffolds for Wound Dressing Applications. J. Mater. Sci. Mater. Med. 2010, 21, 807–813. [Google Scholar] [CrossRef] [PubMed]
- Sudheesh Kumar, P.T.; Srinivasan, S.; Lakshmanan, V.K.; Tamura, H.; Nair, S.V.; Jayakumar, R. β-Chitin Hydrogel/Nano Hydroxyapatite Composite Scaffolds for Tissue Engineering Applications. Carbohydr. Polym. 2011, 85, 584–591. [Google Scholar] [CrossRef]
- Kumar, P.T.S.; Abhilash, S.; Manzoor, K.; Nair, S.V.; Tamura, H.; Jayakumar, R. Preparation and Characterization of Novel β-Chitin/Nanosilver Composite Scaffolds for Wound Dressing Applications. Carbohydr. Polym. 2010, 80, 761–767. [Google Scholar] [CrossRef]
- Xing, F.; Chi, Z.; Yang, R.; Xu, D.; Cui, J.; Huang, Y.; Zhou, C.; Liu, C. Chitin-Hydroxyapatite-Collagen Composite Scaffolds for Bone Regeneration. Int. J. Biol. Macromol. 2021, 184, 170–180. [Google Scholar] [CrossRef]
- Chang, C.; Peng, N.; He, M.; Teramoto, Y.; Nishio, Y.; Zhang, L. Fabrication and Properties of Chitin/Hydroxyapatite Hybrid Hydrogels as Scaffold Nano-Materials. Carbohydr. Polym. 2013, 91, 7–13. [Google Scholar] [CrossRef]
- Rolandi, M.; Rolandi, R. Self-Assembled Chitin Nano Fibers and Applications. Adv. Colloid Interface Sci. 2014, 207, 216–222. [Google Scholar] [CrossRef]
- Li, X.; Feng, Q.; Cui, F. In Vitro Degradation of Porous Nano-Hydroxyapatite/Collagen/PLLA Scaffold Reinforced by Chitin Fibres. Mater. Sci. Eng. C 2006, 26, 716–720. [Google Scholar] [CrossRef]
- Huang, Y.; Wang, Y.; Chen, L.; Zhang, L. Facile Construction of Mechanically Tough Collagen Fibers Reinforced by Chitin Nanofibers as Cell Alignment Templates. J. Mater. Chem. B 2018, 6, 918–929. [Google Scholar] [CrossRef] [PubMed]
- Mincea, M.; Negrulescu, A.; Ostafe, V. Preparation, Modification, and Applications of Chitin Nanowhiskers: A Review. Rev. Adv. Mater. Sci. 2012, 30, 225–242. [Google Scholar]
- Muñoz-Núñez, C.; Fernández-García, M.; Muñoz-Bonilla, A. Chitin Nanocrystals: Environmentally Friendly Materials for the Development of Bioactive Films. Coatings 2022, 12, 144. [Google Scholar] [CrossRef]
- Fan, Y.; Saito, T.; Isogai, A. Chitin Nanocrystals Prepared by TEMPO-Mediated Oxidation of α-Chitin. Biomacromolecules 2008, 9, 192–198. [Google Scholar] [CrossRef]
- Youn, D.K.; No, H.K.; Prinyawiwatkul, W. Preparation and Characteristics of Squid Pen β-Chitin Prepared under Optimal Deproteinisation and Demineralisation Condition. Int. J. Food Sci. Technol. 2013, 48, 571–577. [Google Scholar] [CrossRef]
- Bogdanova, O.I.; Polyakov, D.K.; Streltsov, D.R.; Bakirov, A.V.; Blackwell, J.; Chvalun, S.N. Structure of β-Chitin from Berryteuthis Magister and Its Transformation during Whisker Preparation and Polymerization Filling. Carbohydr. Polym. 2016, 137, 678–684. [Google Scholar] [CrossRef]
- Yang, F.C.; Peters, R.D.; Dies, H.; Rheinstädter, M.C. Hierarchical, Self-Similar Structure in Native Squid Pen. Soft Matter 2014, 10, 5541–5549. [Google Scholar] [CrossRef]
- Ianiro, A.; Giosia, M.; Fermani, S.; Samorì, C.; Barbalinardo, M.; Valle, F.; Pellegrini, G.; Biscarini, F.; Zerbetto, F.; Calvaresi, M.; et al. Customizing Properties of β-Chitin in Squid Pen (Gladius) by Chemical Treatments. Mar. Drugs 2014, 12, 5979–5992. [Google Scholar] [CrossRef]
- Donnadio, A.; Paul, G.; Barbalinardo, M.; Ambrogi, V.; Pettinacci, G.; Posati, T.; Bisio, C.; Vivani, R.; Nocchetti, M. Immobilization of Alendronate on Zirconium Phosphate Nanoplatelets. Nanomaterials 2023, 13, 742. [Google Scholar] [CrossRef]
- Präbst, K.; Engelhardt, H.; Ringgeler, S.; Hübner, H. Basic Colorimetric Proliferation Assays: MTT, WST, and Resazurin. In Cell Viability Assays: Methods and Protocols; Humana Press: New York, NY, USA, 2017; Volume 1601, pp. 1–17. ISBN 9781493969609. [Google Scholar]
- Barbalinardo, M.; Bertacchini, J.; Bergamini, L.; Magarò, M.S.; Ortolani, L.; Sanson, A.; Palumbo, C.; Cavallini, M.; Gentili, D. Surface Properties Modulate Protein Corona Formation and Determine Cellular Uptake and Cytotoxicity of Silver Nanoparticles. Nanoscale 2021, 13, 14119–14129. [Google Scholar] [CrossRef]
- Huang, J.; Zhong, Y.; Zhang, L.; Cai, J. Extremely Strong and Transparent Chitin Films: A High-Efficiency, Energy-Saving, and “Green” Route Using an Aqueous KOH/Urea Solution. Adv. Funct. Mater. 2017, 27, 1701100. [Google Scholar] [CrossRef]
- Huang, Y.; Yao, M.; Zheng, X.; Liang, X.; Su, X.; Zhang, Y.; Lu, A.; Zhang, L. Effects of Chitin Whiskers on Physical Properties and Osteoblast Culture of Alginate Based Nanocomposite Hydrogels. Biomacromolecules 2015, 16, 3499–3507. [Google Scholar] [CrossRef] [PubMed]
- El Harmoudi, H.; El Gaini, L.; Daoudi, E.; Rhazi, M.; Boughaleb, Y.; El Mhammedi, M.; Migalska-Zalas, A.; Bakasse, M. Removal of 2,4-D from Aqueous Solutions by Adsorption Processes Using Two Biopolymers: Chitin and Chitosan and Their Optical Properties. Opt. Mater. 2014, 36, 1471–1477. [Google Scholar] [CrossRef]
- Li, J.; Revol, J.-F.; Marchessault, R. Rheological Properties of Aqueous Suspensions of Chitin Crystallites. J. Colloid Interface Sci. 1996, 183, 365–373. [Google Scholar] [CrossRef]
- Prefecture, S. Dyeing Chitin/Cellulose Composite Fibers with Reactive Dyes. Text. Res. J. 2004, 74, 34–38. [Google Scholar]
- Tanabe, T.; Okitsu, N.; Tachibana, A.; Yamauchi, K. Preparation and Characterization of Keratin—Chitosan Composite Film. Biomaterials 2002, 23, 817–825. [Google Scholar] [CrossRef]
- Wang, X.H.; Li, D.P.; Wang, W.J.; Feng, Q.L.; Cui, F.Z.; Xu, Y.X.; Song, X.H.; Van Der Werf, M. Crosslinked Collagen/Chitosan Matrix for Artificial Livers. Biomaterials 2003, 24, 3213–3220. [Google Scholar] [CrossRef]
- Fan, Y.; Saito, T.; Isogai, A. Preparation of Chitin Nanofibers from Squid Pen β-Chitin by Simple Mechanical Treatment under Acid Conditions. Biomacromolecules 2008, 9, 1919–1923. [Google Scholar] [CrossRef]
- Montroni, D. Hierarchically Organized Chitin-Based Matrices. Ph.D Thesis, University of Bologna, Bologna, Italy, 2020. [Google Scholar]
- Vu, R.; Jin, S.; Sun, P.; Haensel, D.; Nguyen, Q.H.; Dragan, M.; Kessenbrock, K.; Nie, Q.; Dai, X. Wound Healing in Aged Skin Exhibits Systems-Level Alterations in Cellular Composition and Cell-Cell Communication. Cell Rep. 2022, 40, 111155. [Google Scholar] [CrossRef]
- Chambers, E.S.; Vukmanovic-Stejic, M. Skin Barrier Immunity and Ageing. Immunology 2019, 160, 116–125. [Google Scholar] [CrossRef]






Disclaimer/Publisher’s Note: The statements, opinions and data contained in all publications are solely those of the individual author(s) and contributor(s) and not of MDPI and/or the editor(s). MDPI and/or the editor(s) disclaim responsibility for any injury to people or property resulting from any ideas, methods, instructions or products referred to in the content. |
© 2025 by the authors. Licensee MDPI, Basel, Switzerland. This article is an open access article distributed under the terms and conditions of the Creative Commons Attribution (CC BY) license (https://creativecommons.org/licenses/by/4.0/).
Share and Cite
Barbalinardo, M.; Falini, G.; Montroni, D. Sustainable 3D Scaffolds Based on β-Chitin and Collagen I for Wound Dressing Applications. Polymers 2025, 17, 140. https://doi.org/10.3390/polym17020140
Barbalinardo M, Falini G, Montroni D. Sustainable 3D Scaffolds Based on β-Chitin and Collagen I for Wound Dressing Applications. Polymers. 2025; 17(2):140. https://doi.org/10.3390/polym17020140
Chicago/Turabian StyleBarbalinardo, Marianna, Giuseppe Falini, and Devis Montroni. 2025. "Sustainable 3D Scaffolds Based on β-Chitin and Collagen I for Wound Dressing Applications" Polymers 17, no. 2: 140. https://doi.org/10.3390/polym17020140
APA StyleBarbalinardo, M., Falini, G., & Montroni, D. (2025). Sustainable 3D Scaffolds Based on β-Chitin and Collagen I for Wound Dressing Applications. Polymers, 17(2), 140. https://doi.org/10.3390/polym17020140

