Bio-Based and Biodegradable Polymeric Materials for a Circular Economy
Abstract
1. Introduction
2. Polylactic Acid
3. Poly(Butylene Adipate-co-Terephthalate) (PBAT)
4. Polyhydroxyalkanoates
- −
- Natural biosynthesis
- −
- Direct synthesis pathway
- −
- β-Oxidation pathway
- −
- Fatty acid synthesis pathway
- −
- Bioengineering strategies
5. Starch
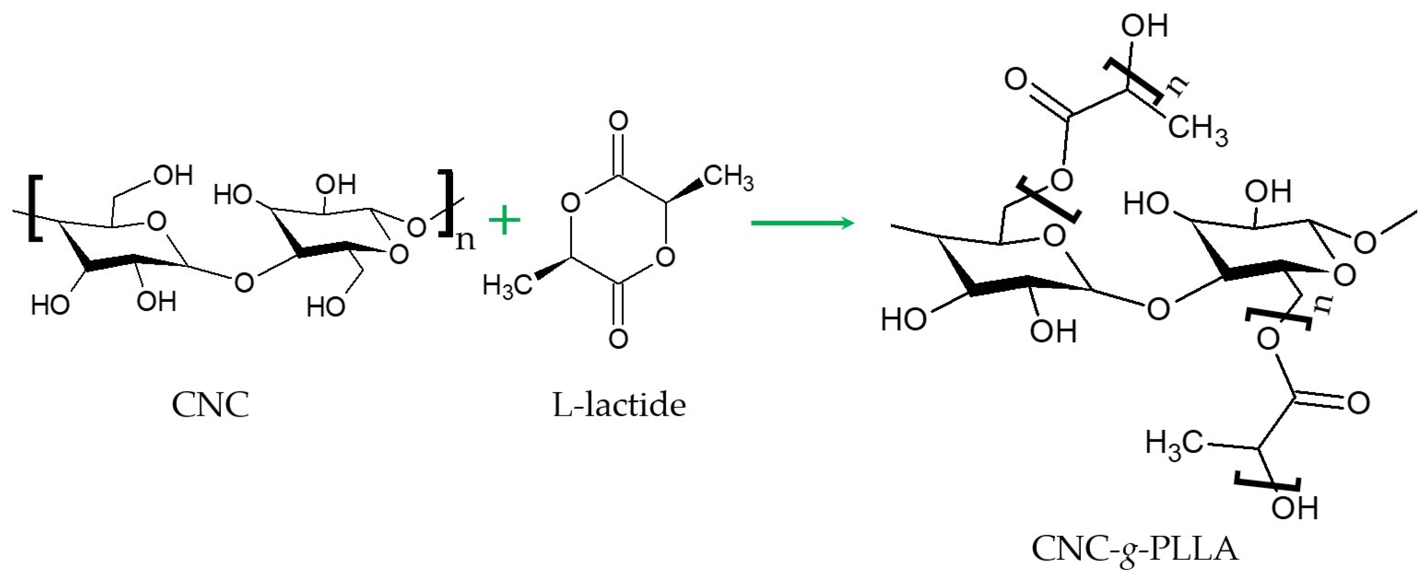
6. Cellulose
- −
- Nanofibrillated cellulose extraction
7. Lignin
- −
- Lignocelulosic nanoparticles extraction
- −
- Lignin nanoparticles extraction
- Structure: syringyl lignin melts easier compared to guanicyl lignin, this is due to the availability of guanicyl on the second one which can easily form condensed structures with C5-position of p-hydroxyphenyl. This forms β-5′ and 5-5’ linkages, which limits molecular rotation [444].
- Aryl-ether bonds (β-O-4′): It has been shown that a higher ratio of aryl-ether linkages, specifically β-O-4′, increases thermal mobility [445].
- Decomposition temperature: The greater its value, the more volatile the compound formed as a consequence of degradation during the extrusion process, which can compromise the final structure of the product [444].
- Glass transition temperature (Tg): Glass transition temperature is related to free polymer chain movements; for this reason, lower glass transition temperatures facilitate polymer chain movement in extrusion. In the case of lignin, a higher concentration of condensation products has, as a consequence, a reduction of free volume, increasing glass transition temperature [445].
- (a)
- Fragmentation of lignin. Due to the multiple low molecular weights in which lignin can be degraded, the use of lignin as raw material due to this fragmentation of this structure to obtain molecules with high added value like vanillin or quinines is an interesting approach for the valorization of lignin residues. Diverse techniques have been used in order to achieve this purpose, such as pyrolysis, which is based on the thermochemical decomposition of the lignin by heating biomass at 500 °C, oxidation which aims to obtain phenolic derivates using different oxidant molecules as can be metallic oxides, air, and oxygen which also permits to conserve the aromatic rings giving aldehydes as a result or gasification which is a process that converts lignin into gases, the gasification of lignin involves a series of reactions, including hydrolysis, polymerization, hydrogenation, water-gas shift, steam reforming, and methanation. These reactions are influenced by various factors such as temperature, reaction time, pressure, concentration, and catalysts [446].
- (b)
- Synthesis of new chemical active sites. The insertion of new reactive sites can solve some of the limitations and increase the range of applications of the material. Lignin is a complex biopolymer with a variety of functional groups. Due to this reason, different strategies have been implemented, such as sulfomethylation/sulfonation, amination, hydroxylation, alkylation/dealkylation, nitration, and halogenation [447]. These mechanisms are shown in Figure 29.
- (c)
- Functionalization of hydroxyl groups: Due to the high presence of hydroxyl groups, which are the most reactive functional groups and can affect the chemical reactivity of the newly formed material. Modifications on hydroxyl groups can lead to the formation of polyol derivatives of lignin; the most common modifications are shown in Figure 30 [446].
- −
- Fungal degradation
- −
- Microbial degradation
- −
- Enzymes involved in lignin degradation
8. Chitosan
- −
- Deproteinization
- −
- Demineralization
- −
- Decolorization
- −
- Deacetylation
9. Gelatin
- −
- Solvent casting
- −
- Electrospinning
10. Poly(Butylene Succinate)
11. Poly(Itaconic Acid)
- −
- Electrospinning
- −
- Solvent casting
12. Vegetable Oils as Plasticizers
13. Future Perspectives
Author Contributions
Funding
Institutional Review Board Statement
Data Availability Statement
Acknowledgments
Conflicts of Interest
References
- Balart, R.; Garcia-Garcia, D.; Fombuena, V.; Quiles-Carrillo, L.; Arrieta, M.P. Biopolymers from Natural Resources. Polymers 2021, 13, 2532. [Google Scholar] [CrossRef] [PubMed]
- Bachmann, M.; Zibunas, C.; Hartmann, J.; Tulus, V.; Suh, S.; Guillén-Gosálbez, G.; Bardow, A. Towards Circular Plastics within Planetary Boundaries. Nat. Sustain. 2023, 6, 599–610. [Google Scholar] [CrossRef]
- Nagel, B.; Dellweg, H.; Gierasch, L.M. Glossary for Chemists of Terms Used in Biotechnology (IUPAC Recommendations 1992). Pure Appl. Chem. 1992, 64, 143–168. [Google Scholar] [CrossRef]
- Vert, M.; Doi, Y.; Hellwich, K.-H.; Hess, M.; Hodge, P.; Kubisa, P.; Rinaudo, M.; Schué, F. Terminology for Biorelated Polymers and Applications (IUPAC Recommendations 2012). Pure Appl. Chem. 2012, 84, 377–410. [Google Scholar] [CrossRef]
- Biswas, M.C.; Jony, B.; Nandy, P.K.; Chowdhury, R.A.; Halder, S.; Kumar, D.; Ramakrishna, S.; Hassan, M.; Ahsan, M.A.; Hoque, M.E.; et al. Recent Advancement of Biopolymers and Their Potential Biomedical Applications. J. Polym. Environ. 2022, 30, 51–74. [Google Scholar] [CrossRef]
- Samir, A.; Ashour, F.H.; Hakim, A.A.A.; Bassyouni, M. Recent Advances in Biodegradable Polymers for Sustainable Applications. npj Mater. Degrad. 2022, 6, 68. [Google Scholar] [CrossRef]
- Udayakumar, G.P.; Muthusamy, S.; Selvaganesh, B.; Sivarajasekar, N.; Rambabu, K.; Banat, F.; Sivamani, S.; Sivakumar, N.; Hosseini-Bandegharaei, A.; Show, P.L. Biopolymers and Composites: Properties, Characterization and Their Applications in Food, Medical and Pharmaceutical Industries. J. Environ. Chem. Eng. 2021, 9, 105322. [Google Scholar] [CrossRef]
- Zhong, Y.; Godwin, P.; Jin, Y.; Xiao, H. Biodegradable Polymers and Green-Based Antimicrobial Packaging Materials: A Mini-Review. Adv. Ind. Eng. Polym. Res. 2020, 3, 27–35. [Google Scholar] [CrossRef]
- George, A.; Sanjay, M.R.; Srisuk, R.; Parameswaranpillai, J.; Siengchin, S. A Comprehensive Review on Chemical Properties and Applications of Biopolymers and Their Composites. Int. J. Biol. Macromol. 2020, 154, 329–338. [Google Scholar] [CrossRef]
- Sivakanthan, S.; Rajendran, S.; Gamage, A.; Madhujith, T.; Mani, S. Antioxidant and Antimicrobial Applications of Biopolymers: A Review. Food Res. Int. 2020, 136, 109327. [Google Scholar] [CrossRef]
- Biswal, T. Biopolymers for Tissue Engineering Applications: A Review. Mater. Today Proc. 2019, 41, 397–402. [Google Scholar] [CrossRef]
- Jaya, B.; Brajesh, B.; Antonella, F.; Giovanna, L.D.; Amit, K. Biopolymer: A Sustainable Material for Food and Medical Applications. Polymers 2022, 14, 983. [Google Scholar] [CrossRef] [PubMed]
- Udayakumar, G.P.; Muthusamy, S.; Selvaganesh, B.; Sivarajasekar, N.; Rambabu, K.; Sivamani, S.; Sivakumar, N.; Maran, J.P.; Hosseini-Bandegharaei, A. Ecofriendly Biopolymers and Composites: Preparation and Their Applications in Water-Treatment. Biotechnol. Adv. 2021, 52, 107815. [Google Scholar] [CrossRef] [PubMed]
- Díez-Pascual, A.M. Synthesis and Applications of Biopolymer Composites. Int. J. Mol. Sci. 2019, 20, 2321. [Google Scholar] [CrossRef]
- Aydemir, D.; Gardner, D.J. Biopolymer Blends of Polyhydroxybutyrate and Polylactic Acid Reinforced with Cellulose Nanofibrils. Carbohydr. Polym. 2020, 250, 116867. [Google Scholar] [CrossRef]
- Patel, R.; Trivedi, R.; Raj, M.; Raj, L. A Brief Review of Polymeric Blends Based on Natural Polymers and Synthetic Thermoplastics Polymers; Springer International Publishing: Berlin/Heidelberg, Germany, 2024; Volume 78, ISBN 0123456789. [Google Scholar]
- European-Bioplastics-Association. Bioplastics Market Development Update 2023; European Bioplastics e.V.: Berlin, Germany, 2023. [Google Scholar]
- Raquez, J.-M.; Habibi, Y.; Murariu, M.; Dubois, P. Polylactide (PLA)-Based Nanocomposites. Prog. Polym. Sci. 2013, 38, 1504–1542. [Google Scholar] [CrossRef]
- Kumar, A.P.; Depan, D.; Singh Tomer, N.; Singh, R.P. Nanoscale Particles for Polymer Degradation and Stabilization—Trends and Future Perspectives. Prog. Polym. Sci. 2009, 34, 479–515. [Google Scholar] [CrossRef]
- Peponi, L.; Puglia, D.; Torre, L.; Valentini, L.; Kenny, J.M. Processing of Nanostructured Polymers and Advanced Polymeric Based Nanocomposites. Mater. Sci. Eng. R Rep. 2014, 85, 1–46. [Google Scholar] [CrossRef]
- Carraher, C.E., Jr. Seymour/Carraher’s Polymer Chemistry; CRC Press: Boca Raton, FL, USA, 2003; ISBN 020391130X. [Google Scholar]
- Bartolome, M.J.; Bischof, S.; Pellis, A.; Konnerth, J.; Wimmer, R.; Weber, H.; Schwaiger, N.; Guebitz, G.M.; Nyanhongo, G.S. Enzymatic Synthesis and Tailoring Lignin Properties: A Systematic Study on the Effects of Plasticizers. Polymer 2020, 202, 122725. [Google Scholar] [CrossRef]
- Thakur, K.; Thakur, N.; Sharma, N.; Mahajan, K. A Comprehensive Review On Plasticizing Agent. J. Emerg. Technol. Innov. Res. 2021, 8, a79–a85. [Google Scholar]
- Vieira, M.G.A.; Da Silva, M.A.; Dos Santos, L.O.; Beppu, M.M. Natural-Based Plasticizers and Biopolymer Films: A Review. Eur. Polym. J. 2011, 47, 254–263. [Google Scholar] [CrossRef]
- Meeker, J.D.; Sathyanarayana, S.; Swan, S.H. Phthalates and Other Additives in Plastics: Human Exposure and Associated Health Outcomes. Philos. Trans. R. Soc. B Biol. Sci. 2009, 364, 2097–2113. [Google Scholar] [CrossRef] [PubMed]
- Jagadeeswaran, I.; Sriram, H. EU 1907/2006–Registration, Evaluation, Authorisation and Restriction of Chemicals. In Medical Device Guidelines and Regulations Handbook; Springer: Berlin/Heidelberg, Germany, 2022; pp. 237–260. [Google Scholar]
- Bilck, A.P.; Müller, C.M.O.; Olivato, J.B.; Mali, S.; Grossmann, M.V.E.; Yamashita, F. Using Glycerol Produced from Biodiesel as a Plasticiser in Extruded Biodegradable Films. Polímeros 2015, 25, 331–335. [Google Scholar] [CrossRef]
- Bocqué, M.; Voirin, C.; Lapinte, V.; Caillol, S.; Robin, J. Petro-based and Bio-based Plasticizers: Chemical Structures to Plasticizing Properties. J. Polym. Sci. A Polym. Chem. 2016, 54, 11–33. [Google Scholar] [CrossRef]
- Tian, H.; Liu, D.; Yao, Y.; Ma, S.; Zhang, X.; Xiang, A. Effect of Sorbitol Plasticizer on the Structure and Properties of Melt Processed Polyvinyl Alcohol Films. J. Food Sci. 2017, 82, 2926–2932. [Google Scholar] [CrossRef]
- Feng, G.; Hu, L.; Ma, Y.; Jia, P.; Hu, Y.; Zhang, M.; Liu, C.; Zhou, Y. An Efficient Bio-Based Plasticizer for Poly (Vinyl Chloride) from Waste Cooking Oil and Citric Acid: Synthesis and Evaluation in PVC Films. J. Clean. Prod. 2018, 189, 334–343. [Google Scholar] [CrossRef]
- Mitrus, M.; Wojtowicz, A.; Moscicki, L. Biodegradable Polymers and Their Practical Utility. In Thermoplastic Starch: A Green Material for Various Industries; Wiley: Hoboken, NJ, USA, 2009; pp. 1–33. [Google Scholar]
- Telis, V.R.N. Biopolymer Engineering in Food Processing; CRC Press: Boca Raton, FL, USA, 2012; ISBN 1439844941. [Google Scholar]
- Songtipya, L.; Kalkornsurapranee, E.; Songtipya, P.; Sengsuk, T.; Promsung, R.; Chuaybamrung, A.; Johns, J. Enhancing Thermo-Mechanical Properties of Thermoplastic Starch/Natural Rubber Blends Through the Synergistic Combination of PEG and Modified Natural Rubber. J. Polym. Environ. 2023, 32, 1868–1878. [Google Scholar] [CrossRef]
- Mukherjee, C.; Varghese, D.; Krishna, J.S.; Boominathan, T.; Rakeshkumar, R.; Dineshkumar, S.; Rao, C.V.S.B.; Sivaramakrishna, A. Recent Advances in Biodegradable Polymers–Properties, Applications and Future Prospects. Eur. Polym. J. 2023, 192, 112068. [Google Scholar] [CrossRef]
- Hamad, K.; Kaseem, M.; Yang, H.W.; Deri, F.; Ko, Y.G. Properties and Medical Applications of Polylactic Acid: A Review. Express Polym. Lett. 2015, 9, 435–455. [Google Scholar] [CrossRef]
- Ilyas, R.A.; Sapuan, S.M.; Harussani, M.M.; Hakimi, M.Y.A.Y.; Haziq, M.Z.M.; Atikah, M.S.N. Polylactic Acid (PLA) Biocomposite: Processing, Additive manufacturing and advanced applications. Polymers 2021, 13, 1326. [Google Scholar] [CrossRef]
- Zhao, X.; Liu, J.; Li, J.; Liang, X.; Zhou, W.; Peng, S. Strategies and Techniques for Improving Heat Resistance and Mechanical Performances of Poly(Lactic Acid) (PLA) Biodegradable Materials. Int. J. Biol. Macromol. 2022, 218, 115–134. [Google Scholar] [CrossRef] [PubMed]
- Jamshidi, K.; Hyon, S.H.; Ikada, Y. Thermal Characterization of Polylactides. Polymer 1988, 29, 2229–2234. [Google Scholar] [CrossRef]
- Kalish, J.P.; Aou, K.; Yang, X.; Hsu, S.L. Spectroscopic and Thermal Analyses of A′ and α Crystalline Forms of Poly(l-Lactic Acid). Polymer 2011, 52, 814–821. [Google Scholar] [CrossRef]
- Chen, X.; Kalish, J.; Hsu, S.L. Structure Evolution of A′-Phase Poly(Lactic Acid). J. Polym. Sci. B Polym. Phys. 2011, 49, 1446–1454. [Google Scholar] [CrossRef]
- Puchalski, M.; Kwolek, S.; Szparaga, G.; Chrzanowski, M.; Krucinska, I. Investigation of the Influence of PLA Molecular Structure on the Crystalline Forms (α’’ and α) and Mechanical Properties OfWet Spinning Fibres. Polymers 2017, 9, 18. [Google Scholar] [CrossRef]
- Colomines, G.; Ducruet, V.; Courgneau, Ć.; Guinault, A.; Domenek, S. Barrier Properties of Poly(Lactic Acid) and Its Morphological Changes Induced by Aroma Compound Sorption. Polym. Int. 2010, 59, 818–826. [Google Scholar] [CrossRef]
- Barkhad, M.S.; Abu-jdayil, B.; Mourad, A.H.I.; Iqbal, M.Z. Thermal Insulation and Mechanical Properties of Polylactic Acid (PLA) at Different Processing Conditions. Polymers 2020, 12, 2091. [Google Scholar] [CrossRef]
- Singha, S.; Hedenqvist, M.S. A Review on Barrier Properties of Poly(Lactic Acid)/Clay Nanocomposites. Polymers 2020, 12, 1095. [Google Scholar] [CrossRef]
- Sangeetha, V.H.; Deka, H.; Varghese, T.O.; Nayak, S.K. State of the Art and Future Prospectives of Poly(Lactic Acid) Based Blends and Composites. Polym. Compos. 2018, 39, 81–101. [Google Scholar] [CrossRef]
- Li, X.; Lin, Y.; Liu, M.; Meng, L.; Li, C. A Review of Research and Application of Polylactic Acid Composites. J. Appl. Polym. Sci. 2023, 140, e53477. [Google Scholar] [CrossRef]
- Bikiaris, N.D.; Koumentakou, I.; Samiotaki, C.; Meimaroglou, D.; Varytimidou, D.; Karatza, A.; Kalantzis, Z.; Roussou, M.; Bikiaris, R.D.; Papageorgiou, G.Z. Recent Advances in the Investigation of Poly(Lactic Acid) (PLA) Nanocomposites: Incorporation of Various Nanofillers and Their Properties and Applications. Polymers 2023, 15, 1196. [Google Scholar] [CrossRef] [PubMed]
- Mulla, M.Z.; Rahman, M.R.T.; Marcos, B.; Tiwari, B.; Pathania, S. Poly Lactic Acid (Pla) Nanocomposites: Effect of Inorganic Nanoparticles Reinforcement on Its Performance and Food Packaging Applications. Molecules 2021, 26, 1967. [Google Scholar] [CrossRef] [PubMed]
- Li, G.; Zhao, M.; Xu, F.; Yang, B.; Li, X.; Meng, X.; Teng, L. Synthesis and Biological Application of Polylactic Acid. Molecules 2020, 25, 5023. [Google Scholar] [CrossRef] [PubMed]
- de Albuquerque, T.L.; Marques Júnior, J.E.; de Queiroz, L.P.; Ricardo, A.D.S.; Rocha, M.V.P. Polylactic Acid Production from Biotechnological Routes: A Review. Int. J. Biol. Macromol. 2021, 186, 933–951. [Google Scholar] [CrossRef] [PubMed]
- Garlotta, D. A Literature Review of Poly (Lactic Acid). J. Polym. Environ. 2019, 9, 63–84. [Google Scholar] [CrossRef]
- Singhvi, M.S.; Zinjarde, S.S.; Gokhale, D.V. Polylactic Acid: Synthesis and Biomedical Applications. J. Appl. Microbiol. 2019, 127, 1612–1626. [Google Scholar] [CrossRef]
- Burgos, N.; Tolaguera, D.; Fiori, S.; Jiménez, A. Synthesis and Characterization of Lactic Acid Oligomers: Evaluation of Performance as Poly(Lactic Acid) Plasticizers. J. Polym. Environ. 2014, 22, 227–235. [Google Scholar] [CrossRef]
- Castro-Aguirre, E.; Iñiguez-Franco, F.; Samsudin, H.; Fang, X.; Auras, R. Poly(Lactic Acid)—Mass Production, Processing, Industrial Applications, and End of Life. Adv. Drug Deliv. Rev. 2016, 107, 333–366. [Google Scholar] [CrossRef]
- Martin, O.; Avérous, L. Poly(Lactic Acid): Plasticization and Properties of Biodegradable Multiphase Systems. Polymer 2001, 42, 6209–6219. [Google Scholar] [CrossRef]
- Courgneau, C.; Domenek, S.; Guinault, A.; Avérous, L.; Ducruet, V. Analysis of the Structure-Properties Relationships of Different Multiphase Systems Based on Plasticized Poly(Lactic Acid). J. Polym. Environ. 2011, 19, 362–371. [Google Scholar] [CrossRef]
- Burgos, N.; Martino, V.P.; Jiménez, A. Characterization and Ageing Study of Poly(Lactic Acid) Films Plasticized with Oligomeric Lactic Acid. Polym. Degrad. Stab. 2013, 98, 651–658. [Google Scholar] [CrossRef]
- Carbonell-Verdu, A.; Garcia-Garcia, D.; Dominici, F.; Torre, L.; Sanchez-Nacher, L.; Balart, R. PLA Films with Improved Flexibility Properties by Using Maleinized Cottonseed Oil. Eur. Polym. J. 2017, 91, 248–259. [Google Scholar] [CrossRef]
- Mai, F.; Habibi, Y.; Raquez, J.-M.; Dubois, P.; Feller, J.-F.; Peijs, T.; Bilotti, E. Poly(Lactic Acid)/Carbon Nanotube Nanocomposites with Integrated Degradation Sensing. Polymer 2013, 54, 6818–6823. [Google Scholar] [CrossRef]
- Fukushima, K.; Tabuani, D.; Dottori, M.; Armentano, I.; Kenny, J.M.; Camino, G. Effect of Temperature and Nanoparticle Type on Hydrolytic Degradation of Poly(Lactic Acid) Nanocomposites. Polym. Degrad. Stab. 2011, 96, 2120–2129. [Google Scholar] [CrossRef]
- Zaldua, N.; Mugica, A.; Zubitur, M.; Iturrospe, A.; Arbe, A.; Re, G.L.; Raquez, J.-M.; Dubois, P.; Müller, A.J. The Role of PLLA-g-Montmorillonite Nanohybrids in the Acceleration of the Crystallization Rate of a Commercial PLA. CrystEngComm 2016, 18, 9334–9344. [Google Scholar] [CrossRef]
- Fortunati, E.; Armentano, I.; Zhou, Q.; Iannoni, A.; Saino, E.; Visai, L.; Berglund, L.A.; Kenny, J.M. Multifunctional Bionanocomposite Films of Poly(Lactic Acid), Cellulose Nanocrystals and Silver Nanoparticles. Carbohydr. Polym. 2012, 87, 1596–1605. [Google Scholar] [CrossRef]
- Leonés, A.; Salaris, V.; Mujica-Garcia, A.; Arrieta, M.P.; Lopez, D.; Lieblich, M.; Kenny, J.M.; Peponi, L. PLA Electrospun Fibers Reinforced with Organic and Inorganic Nanoparticles: A Comparative Study. Molecules 2021, 26, 4925. [Google Scholar] [CrossRef]
- Lim, L.T.; Auras, R.; Rubino, M. Processing Technologies for Poly(Lactic Acid). Prog. Polym. Sci. 2008, 33, 820–852. [Google Scholar] [CrossRef]
- Bourbigot, S.; Fontaine, G.; Gallos, A.; Bellayer, S. Reactive Extrusion of PLA and of PLA/Carbon Nanotubes Nanocomposite: Processing, Characterization and Flame Retardancy. Polym. Adv. Technol. 2011, 22, 30–37. [Google Scholar] [CrossRef]
- Gálvez, J.; Correa Aguirre, J.P.; Hidalgo Salazar, M.A.; Mondragón, B.V.; Wagner, E.; Caicedo, C. Effect of Extrusion Screw Speed and Plasticizer Proportions on the Rheological, Thermal, Mechanical, Morphological and Superficial Properties of PLA. Polymers 2020, 12, 2111. [Google Scholar] [CrossRef]
- Kühnert, I.; Spörer, Y.; Brünig, H.; Tran, N.H.A.; Rudolph, N. Industrial Applications of Poly(Lactic Acid); Springer: Berlin/Heidelberg, Germany, 2018; Volume 282, ISBN 9783319754581. [Google Scholar]
- Aliotta, L.; Sciara, L.M.; Cinelli, P.; Canesi, I.; Lazzeri, A. Improvement of the PLA Crystallinity and Heat Distortion Temperature Optimizing the Content of Nucleating Agents and the Injection Molding Cycle Time. Polymers 2022, 14, 977. [Google Scholar] [CrossRef] [PubMed]
- Pawlak, F.; Aldas, M.; Parres, F.; López-Martínez, J.; Arrieta, M.P. Silane-Functionalized Sheep Wool Fibers from Dairy Industry Waste for the Development of Plasticized Pla Composites with Maleinized Linseed Oil for Injection-Molded Parts. Polymers 2020, 12, 2523. [Google Scholar] [CrossRef] [PubMed]
- Swetha, T.A.; Bora, A.; Mohanrasu, K.; Balaji, P.; Raja, R.; Ponnuchamy, K.; Muthusamy, G.; Arun, A. A Comprehensive Review on Polylactic Acid (PLA)—Synthesis, Processing and Application in Food Packaging. Int. J. Biol. Macromol. 2023, 234, 123715. [Google Scholar] [CrossRef] [PubMed]
- Barletta, M.; Puopolo, M. Thermoforming of Compostable PLA/PBS Blends Reinforced with Highly Hygroscopic Calcium Carbonate. J. Manuf. Process 2020, 56, 1185–1192. [Google Scholar] [CrossRef]
- Wang, G.; Zhao, J.; Wang, G.; Zhao, H.; Lin, J.; Zhao, G.; Park, C.B. Strong and Super Thermally Insulating In-Situ Nanofibrillar PLA/PET Composite Foam Fabricated by High-Pressure Microcellular Injection Molding. Chem. Eng. J. 2020, 390, 124520. [Google Scholar] [CrossRef]
- Jamshidian, M.; Tehrany, E.A.; Imran, M.; Jacquot, M.; Desobry, S. Poly-Lactic Acid: Production, Applications, Nanocomposites, and Release Studies. Compr. Rev. Food Sci. Food Saf. 2010, 9, 552–571. [Google Scholar] [CrossRef]
- Nofar, M.; Park, C.B. Poly (Lactic Acid) Foaming. Prog. Polym. Sci. 2014, 39, 1721–1741. [Google Scholar] [CrossRef]
- Volpe, V.; Pantani, R. Foam Injection Molding of Poly(Lactic) Acid: Effect of Back Pressure on Morphology and Mechanical Properties. J. Appl. Polym. Sci. 2015, 132, 42612. [Google Scholar] [CrossRef]
- Liu, Z.; Wang, Y.; Wu, B.; Cui, C.; Guo, Y.; Yan, C. A Critical Review of Fused Deposition Modeling 3D Printing Technology in Manufacturing Polylactic Acid Parts. Int. J. Adv. Manuf. Technol. 2019, 102, 2877–2889. [Google Scholar] [CrossRef]
- Valino, A.D.; Dizon, J.R.C.; Espera, A.H.; Chen, Q.; Messman, J.; Advincula, R.C. Advances in 3D Printing of Thermoplastic Polymer Composites and Nanocomposites. Prog. Polym. Sci. 2019, 98, 101162. [Google Scholar] [CrossRef]
- Tümer, E.H.; Erbil, H.Y. Extrusion-Based 3D Printing Applications of PLA Composites: A Review. Coatings 2021, 11, 390. [Google Scholar] [CrossRef]
- Hong, S.H.; Park, J.H.; Kim, O.Y.; Hwang, S.H. Preparation of Chemically Modified Lignin-Reinforced Pla Biocomposites and Their 3d Printing Performance. Polymers 2021, 13, 667. [Google Scholar] [CrossRef]
- Zoumaki, M.; Mansour, M.T.; Tsongas, K.; Tzetzis, D.; Mansour, G. Mechanical Characterization and Finite Element Analysis of Hierarchical Sandwich Structures with PLA 3D-Printed Core and Composite Maize Starch Biodegradable Skins. J. Compos. Sci. 2022, 6, 118. [Google Scholar] [CrossRef]
- Salaris, V.; Leonés, A.; Lopez, D.; Kenny, J.M.; Peponi, L. Shape-Memory Materials via Electrospinning: A Review. Polymers 2022, 14, 995. [Google Scholar] [CrossRef] [PubMed]
- Gao, X.; Han, S.; Zhang, R.; Liu, G.; Wu, J. Progress in Electrospun Composite Nanofibers: Composition, Performance and Applications for Tissue Engineering. J. Mater. Chem. B 2019, 7, 7075–7089. [Google Scholar] [CrossRef] [PubMed]
- Wu, J.H.; Hu, T.G.; Wang, H.; Zong, M.H.; Wu, H.; Wen, P. Electrospinning of PLA Nanofibers: Recent Advances and Its Potential Application for Food Packaging. J. Agric. Food Chem. 2022, 70, 8207–8221. [Google Scholar] [CrossRef]
- Ahmed, F.E.; Lalia, B.S.; Hashaikeh, R. A Review on Electrospinning for Membrane Fabrication: Challenges and Applications. Desalination 2015, 356, 15–30. [Google Scholar] [CrossRef]
- Duygulu, N.E.; Ciftci, F.; Ustundag, C.B. Electrospun Drug Blended Poly(Lactic Acid) (PLA) Nanofibers and Their Antimicrobial Activities. J. Polym. Res. 2020, 27, 12–16. [Google Scholar] [CrossRef]
- Zhu, Y.; Yang, D.; Li, J.; Yue, Z.; Zhou, J.; Wang, X. The Preparation of Ultrathin and Porous Electrospinning Membranes of HKUST-1/PLA with Good Antibacterial and Filtration Performances. J. Porous Mater. 2023, 30, 1011–1019. [Google Scholar] [CrossRef]
- Paolo, A.R.A.; Stefano, F. Method for the Plasticization of Lactic Acid Polymers. WO2009092825A1, 30 July 2009. [Google Scholar]
- Armentano, I.; Fortunati, E.; Burgos, N.; Dominici, F.; Luzi, F.; Fiori, S.; Jiménez, A.; Yoon, K.; Ahn, J.; Kang, S.; et al. Processing and Characterization of Plasticized PLA/PHB Blends for Biodegradable Multiphase Systems. Express Polym. Lett. 2015, 9, 583–596. [Google Scholar] [CrossRef]
- López-Rodríguez, N.; Sarasua, J.R. Plasticization of Poly-l-lactide with L-lactide, D-lactide, and d, L-lactide Monomers. Polym. Eng. Sci. 2013, 53, 2073–2080. [Google Scholar] [CrossRef]
- Srithep, Y.; Pholharn, D. Plasticizer Effect on Melt Blending of Polylactide Stereocomplex. e-Polymers 2017, 17, 409–416. [Google Scholar] [CrossRef]
- Xing, C.; Matuana, L.M. Epoxidized Soybean Oil-plasticized Poly (Lactic Acid) Films Performance as Impacted by Storage. J. Appl. Polym. Sci. 2016, 133, 43201. [Google Scholar] [CrossRef]
- Balart, J.F.; Fombuena, V.; Fenollar, O.; Boronat, T.; Sánchez-Nacher, L. Processing and Characterization of High Environmental Efficiency Composites Based on PLA and Hazelnut Shell Flour (HSF) with Biobased Plasticizers Derived from Epoxidized Linseed Oil (ELO). Compos. B Eng. 2016, 86, 168–177. [Google Scholar] [CrossRef]
- Ferri, J.M.; Garcia-Garcia, D.; Montanes, N.; Fenollar, O.; Balart, R. The Effect of Maleinized Linseed Oil as Biobased Plasticizer in Poly (Lactic Acid)-based Formulations. Polym. Int. 2017, 66, 882–891. [Google Scholar] [CrossRef]
- Chieng, B.W.; Ibrahim, N.A.; Then, Y.Y.; Loo, Y.Y. Epoxidized Jatropha Oil as a Sustainable Plasticizer to Poly (Lactic Acid). Polymers 2017, 9, 204. [Google Scholar] [CrossRef] [PubMed]
- Petchwattana, N.; Sanetuntikul, J.; Narupai, B. Plasticization of Biodegradable Poly (Lactic Acid) by Different Triglyceride Molecular Sizes: A Comparative Study with Glycerol. J. Polym. Environ. 2018, 26, 1160–1168. [Google Scholar] [CrossRef]
- Halloran, M.W.; Danielczak, L.; Nicell, J.A.; Leask, R.L.; Marić, M. Highly Flexible Polylactide Food Packaging Plasticized with Nontoxic, Biosourced Glycerol Plasticizers. ACS Appl. Polym. Mater. 2022, 4, 3608–3617. [Google Scholar] [CrossRef]
- Seo, H.J.; Seo, Y.H.; Park, S.U.; Lee, H.J.; Lee, M.R.; Park, J.H.; Cho, W.Y.; Lee, P.C.; Lee, B.Y. Glycerol-Derived Organic Carbonates: Environmentally Friendly Plasticizers for PLA. RSC Adv. 2024, 14, 4702–4716. [Google Scholar] [CrossRef]
- Wachirahuttapong, S.; Thongpin, C.; Sombatsompop, N. Effect of PCL and Compatibility Contents on the Morphology, Crystallization and Mechanical Properties of PLA/PCL Blends. Energy Procedia 2016, 89, 198–206. [Google Scholar] [CrossRef]
- Khankrua, R.; Pivsa-Art, S.; Hiroyuki, H.; Suttiruengwong, S. Effect of Chain Extenders on Thermal and Mechanical Properties of Poly (Lactic Acid) at High Processing Temperatures: Potential Application in PLA/Polyamide 6 Blend. Polym. Degrad. Stab. 2014, 108, 232–240. [Google Scholar] [CrossRef]
- Nam, B.; Son, Y. Enhanced Impact Strength of Compatibilized Poly (Lactic Acid)/Polyamide 11 Blends by a Crosslinking Agent. J. Appl. Polym. Sci. 2020, 137, 49011. [Google Scholar] [CrossRef]
- Chieng, B.W.; Ibrahim, N.A.; Yunus, W.M.Z.W.; Hussein, M.Z. Plasticized Poly (Lactic Acid) with Low Molecular Weight Poly (Ethylene Glycol): Mechanical, Thermal, and Morphology Properties. J. Appl. Polym. Sci. 2013, 130, 4576–4580. [Google Scholar] [CrossRef]
- Kodal, M.; Sirin, H.; Ozkoc, G. Long-and Short-Term Stability of Plasticized Poly (Lactic Acid): Effects of Plasticizers Type on Thermal, Mechanical and Morphological Properties. Polym. Bull. 2019, 76, 423–445. [Google Scholar] [CrossRef]
- Wang, B.; Hina, K.; Zou, H.; Zuo, D.; Yi, C. Thermal, Crystallization, Mechanical and Decomposition Properties of Poly (Lactic Acid) Plasticized with Poly (Ethylene Glycol). J. Vinyl Addit. Technol. 2018, 24, E154–E163. [Google Scholar] [CrossRef]
- Ferri, J.M.; Garcia-Garcia, D.; Carbonell-Verdu, A.; Fenollar, O.; Balart, R. Poly (Lactic Acid) Formulations with Improved Toughness by Physical Blending with Thermoplastic Starch. J. Appl. Polym. Sci. 2018, 135, 45751. [Google Scholar] [CrossRef]
- Müller, P.; Bere, J.; Fekete, E.; Móczó, J.; Nagy, B.; Kállay, M.; Gyarmati, B.; Pukánszky, B. Interactions, Structure and Properties in PLA/Plasticized Starch Blends. Polymer 2016, 103, 9–18. [Google Scholar] [CrossRef]
- Ferri, J.M.; Garcia-Garcia, D.; Sánchez-Nacher, L.; Fenollar, O.; Balart, R. The Effect of Maleinized Linseed Oil (MLO) on Mechanical Performance of Poly (Lactic Acid)-Thermoplastic Starch (PLA-TPS) Blends. Carbohydr. Polym. 2016, 147, 60–68. [Google Scholar] [CrossRef]
- Labrecque, L.V.; Kumar, R.A.; Dave, V.; Gross, R.A.; McCarthy, S.P. Citrate Esters as Plasticizers for Poly (Lactic Acid). J. Appl. Polym. Sci. 1997, 66, 1507–1513. [Google Scholar] [CrossRef]
- Barandiaran, A.; Gomez-Caturla, J.; Ivorra-Martinez, J.; Lascano, D.; Selles, M.A.; Moreno, V.; Fenollar, O. Esters of Cinnamic Acid as Green Plasticizers for Polylactide Formulations with Improved Ductility. Macromol. Mater. Eng. 2023, 308, 2300022. [Google Scholar] [CrossRef]
- Ordoñez, R.; Atarés, L.; Chiralt, A. Antibacterial Properties of Cinnamic and Ferulic Acids Incorporated to Starch and PLA Monolayer and Multilayer Films. Food Control 2022, 136, 108878. [Google Scholar] [CrossRef]
- Gomez-Caturla, J.; Dominguez-Candela, I.; Medina-Casas, M.P.; Ivorra-Martinez, J.; Moreno, V.; Balart, R.; Garcia-Garcia, D. Improvement of Poly (Lactide) Ductile Properties by Plasticization with Biobased Tartaric Acid Ester. Macromol. Mater. Eng. 2023, 308, 2200694. [Google Scholar] [CrossRef]
- Zawada, K.; Plichta, A.; Jańczewski, D.; Hajmowicz, H.; Florjanczyk, Z.; Stępień, M.; Sobiecka, A.; Synoradzki, L. Esters of Tartaric Acid, a New Class of Potential “Double Green” Plasticizers. ACS Sustain. Chem. Eng. 2017, 5, 5999–6007. [Google Scholar] [CrossRef]
- Zaaba, N.F.; Jaafar, M. A Review on Degradation Mechanisms of Polylactic Acid: Hydrolytic, Photodegradative, Microbial, and Enzymatic Degradation. Polym. Eng. Sci. 2020, 60, 2061–2075. [Google Scholar] [CrossRef]
- Martín-Alonso, M.D.; Salaris, V.; Leonés, A.; Hevilla, V.; Muñoz-Bonilla, A.; Echeverría, C.; Fernández-García, M.; Peponi, L.; López, D. Centrifugal Force-Spinning to Obtain Multifunctional Fibers of PLA Reinforced with Functionalized Silver Nanoparticles. Polymers 2023, 15, 1240. [Google Scholar] [CrossRef]
- Vaid, R.; Yildirim, E.; Pasquinelli, M.A.; King, M.W. Hydrolytic Degradation of Polylactic Acid Fibers as a Function of Ph and Exposure Time. Molecules 2021, 26, 7554. [Google Scholar] [CrossRef]
- Qu, M.; Tu, H.; Amarante, M.; Song, Y.Q.; Zhu, S.S. Zinc Oxide Nanoparticles Catalyze Rapid Hydrolysis of Poly(Lactic Acid) at Low Temperatures. J. Appl. Polym. Sci. 2014, 131, 1–7. [Google Scholar] [CrossRef]
- Zanella, G.S.; Becker, D.; dos Santos Schneider, A.L.; Pezzin, A.P.T.; Silva, D.A.K.; Nogueira, A.L. PLLA–Silver Nanoparticles Bionanocomposite Membranes: Preparation, Antibacterial Activity, and in Vitro Hydrolytic Degradation Assessment. J. Appl. Polym. Sci. 2019, 136, 47998. [Google Scholar] [CrossRef]
- Hegyesi, N.; Zhang, Y.; Kohári, A.; Polyák, P.; Sui, X.; Pukánszky, B. Enzymatic Degradation of PLA/Cellulose Nanocrystal Composites. Ind. Crops Prod. 2019, 141, 111799. [Google Scholar] [CrossRef]
- Donate, R.; Ortega, Z. Enzymatic Degradation Study of PLA-Based Composite Scaffolds. Rev. Adv. Mater. Sci. 2020, 59, 170–175. [Google Scholar] [CrossRef]
- Moon, J.; Kim, M.Y.; Kim, B.M.; Lee, J.C.; Choi, M.C.; Kim, J.R. Estimation of the Microbial Degradation of Biodegradable Polymer, Poly(Lactic Acid) (PLA) with a Specific Gas Production Rate. Macromol. Res. 2016, 24, 415–421. [Google Scholar] [CrossRef]
- Bubpachat, T.; Sombatsompop, N.; Prapagdee, B. Isolation and Role of Polylactic Acid-Degrading Bacteria on Degrading Enzymes Productions and PLA Biodegradability at Mesophilic Conditions. Polym. Degrad. Stab. 2018, 152, 75–85. [Google Scholar] [CrossRef]
- Karamanlioglu, M.; Preziosi, R.; Robson, G.D. Abiotic and Biotic Environmental Degradation of the Bioplastic Polymer Poly(Lactic Acid): A Review. Polym. Degrad. Stab. 2017, 137, 122–130. [Google Scholar] [CrossRef]
- Li, J.; Zheng, W.; Li, L.; Zheng, Y.; Lou, X. Thermal Degradation Kinetics of G-HA/PLA Composite. Thermochim. Acta 2009, 493, 90–95. [Google Scholar] [CrossRef]
- Santonja-Blasco, L.; Ribes-Greus, A.; Alamo, R.G. Comparative Thermal, Biological and Photodegradation Kinetics of Polylactide and Effect on Crystallization Rates. Polym. Degrad. Stab. 2013, 98, 771–784. [Google Scholar] [CrossRef]
- Li, M.; Jia, Y.; Shen, X.; Shen, T.; Tan, Z.; Zhuang, W.; Zhao, G.; Zhu, C.; Ying, H. Investigation into Lignin Modified PBAT/Thermoplastic Starch Composites: Thermal, Mechanical, Rheological and Water Absorption Properties. Ind. Crops Prod. 2021, 171, 113916. [Google Scholar] [CrossRef]
- Jiao, J.; Zeng, X.; Huang, X. An Overview on Synthesis, Properties and Applications of Poly(Butylene-Adipate-Co-Terephthalate)–PBAT. Adv. Ind. Eng. Polym. Res. 2020, 3, 19–26. [Google Scholar] [CrossRef]
- França, D.C.; Almeida, T.G.; Abels, G.; Canedo, E.L.; Carvalho, L.H.; Wellen, R.M.R.; Haag, K.; Koschek, K. Tailoring PBAT/PLA/Babassu Films for Suitability of Agriculture Mulch Application. J. Nat. Fibers 2019, 16, 933–943. [Google Scholar] [CrossRef]
- Ferreira, F.V.; Cividanes, L.S.; Gouveia, R.F.; Lona, L.M.F. An Overview on Properties and Applications of Poly(Butylene Adipate-Co-Terephthalate)–PBAT Based Composites. Polym. Eng. Sci. 2019, 59, E7–E15. [Google Scholar] [CrossRef]
- Roy, S.; Ghosh, T.; Zhang, W.; Rhim, J.W. Recent Progress in PBAT-Based Films and Food Packaging Applications: A Mini-Review. Food Chem. 2024, 437, 137822. [Google Scholar] [CrossRef]
- Lin, Q. Synthetic Biodegradable Polymers. In Introduction to Biomaterials; Tsinghua University Press: Beijing, China, 2005; pp. 187–196. ISBN 9783642271533. [Google Scholar]
- Kanwal, A.; Zhang, M.; Sharaf, F.; Li, C. Polymer Pollution and Its Solutions with Special Emphasis on Poly (Butylene Adipate Terephthalate (PBAT)). Polym. Bull. 2022, 79, 9303–9330. [Google Scholar] [CrossRef]
- Francisco, A.B.F.D.P.; Lorevice, M.V.; Claro, P.I.C.; Gouveia, R.F. Comprehensive Study of Cellulose Nanocrystals Acetylation Effects on Poly (Butylene Adipate-Co-Terephthalate) Nanocomposite Films Obtained by Solvent Casting and Heat Pressing. Ind. Crops Prod. 2022, 177, 114459. [Google Scholar] [CrossRef]
- Wu, D.; Xu, R.; Zhang, Y.; Shi, S. Influence of Branching on the Mechanical, Rheological and Crystallization Properties of Poly(Butylene Adipate-Co-Terephthalate). J. Therm. Anal. Calorim. 2022, 147, 9539–9557. [Google Scholar] [CrossRef]
- Huang, F.; Wu, L.; Li, B.G. Sulfonated Biodegradable PBAT Copolyesters with Improved Gas Barrier Properties and Excellent Water Dispersibility: From Synthesis to Structure-Property. Polym. Degrad. Stab. 2020, 182, 21–26. [Google Scholar] [CrossRef]
- Nifant’ev, I.E.; Bagrov, V.V.; Komarov, P.D.; Ilyin, S.O.; Ivchenko, P.V. The Use of Branching Agents in the Synthesis of PBAT. Polymers 2022, 14, 1720. [Google Scholar] [CrossRef]
- Aversa, C.; Barletta, M.; Cappiello, G.; Gisario, A. Compatibilization Strategies and Analysis of Morphological Features of Poly(Butylene Adipate-Co-Terephthalate) (PBAT)/Poly(Lactic Acid) PLA Blends: A State-of-Art Review. Eur. Polym. J. 2022, 173, 111304. [Google Scholar] [CrossRef]
- Mahata, D.; Karthikeyan, S.; Godse, R.; Gupta, V.K. Poly(Butylene Adipate-Co-Terephthalate) Polyester Synthesis Process and Product Development. Polym. Sci. Ser. C 2021, 63, 102–111. [Google Scholar] [CrossRef]
- Burford, T.; Rieg, W.; Madbouly, S. Biodegradable Poly(Butylene Adipate-Co-Terephthalate) (PBAT). Phys. Sci. Rev. 2023, 8, 1127–1156. [Google Scholar] [CrossRef]
- Hu, L.; Wu, L.; Song, F.; Li, B.G. Kinetics and Modeling of Melt Polycondensation for Synthesis of Poly[(Butylene Succinate)-Co-(Butylene Terephthalate)], 1–Esterification. Macromol. React. Eng. 2010, 4, 621–632. [Google Scholar] [CrossRef]
- Austin, H.P.; Allen, M.D.; Donohoe, B.S.; Rorrer, N.A.; Kearns, F.L.; Silveira, R.L.; Pollard, B.C.; Dominick, G.; Duman, R.; El Omari, K.; et al. Characterization and Engineering of a Plastic-Degrading Aromatic Polyesterase. Proc. Natl. Acad. Sci. USA 2018, 115, E4350–E4357. [Google Scholar] [CrossRef]
- Shankar, S.; Rhim, J.W. Tocopherol-Mediated Synthesis of Silver Nanoparticles and Preparation of Antimicrobial PBAT/Silver Nanoparticles Composite Films. LWT 2016, 72, 149–156. [Google Scholar] [CrossRef]
- Venkatesan, R.; Rajeswari, N. ZnO/PBAT Nanocomposite Films: Investigation on the Mechanical and Biological Activity for Food Packaging. Polym. Adv. Technol. 2017, 28, 20–27. [Google Scholar] [CrossRef]
- Thiyagu, T.T.; Sai Prasanna Kumar, J.V.; Gurusamy, P.; Sathiyamoorthy, V.; Maridurai, T.; Vr, A.P. Effect of Cashew Shell Biomass Synthesized Cardanol Oil Green Compatibilizer on Flexibility, Barrier, Thermal, and Wettability of PLA/PBAT Biocomposite Films. Biomass Convers. Biorefinery 2023, 13, 11841–11851. [Google Scholar] [CrossRef]
- Pulikkalparambil, H.; Phothisarattana, D.; Promhuad, K.; Harnkarnsujarit, N. Effect of Silicon Dioxide Nanoparticle on Microstructure, Mechanical and Barrier Properties of Biodegradable PBAT/PBS Food Packaging. Food Biosci. 2023, 55, 103023. [Google Scholar] [CrossRef]
- Gupta, V.; Biswas, D.; Roy, S. A Comprehensive Review of Biodegradable Polymer-Based Films and Coatings and Their Food Packaging Applications. Materials 2022, 15, 5899. [Google Scholar] [CrossRef]
- Azevedo, J.V.C.; Ramakers-Van Dorp, E.; Grimmig, R.; Hausnerova, B.; Möginger, B. Process-Induced Morphology of Poly(Butylene Adipate Terephthalate)/Poly(Lactic Acid) Blown Extrusion Films Modified with Chain-Extending Cross-Linkers. Polymers 2022, 14, 1939. [Google Scholar] [CrossRef]
- Bilck, A.P.; Grossmann, M.V.E.; Yamashita, F. Biodegradable Mulch Films for Strawberry Production. Polym. Test. 2010, 29, 471–476. [Google Scholar] [CrossRef]
- Lopes, A.C.; Barcia, M.K.; Veiga, T.B.; Yamashita, F.; Grossmann, M.V.E.; Olivato, J.B. Eco-Friendly Materials Produced by Blown-Film Extrusion as Potential Active Food Packaging. Polym. Adv. Technol. 2021, 32, 779–788. [Google Scholar] [CrossRef]
- Botta, L.; Titone, V.; Teresi, R.; Scarlata, M.C.; Lo Re, G.; La Mantia, F.P.; Lopresti, F. Biocomposite PBAT/Lignin Blown Films with Enhanced Photo-Stability. Int. J. Biol. Macromol. 2022, 217, 161–170. [Google Scholar] [CrossRef]
- Liu, W.; Yu, W.; Wang, J.; Gao, J.; Ding, Y.; Zhang, S.; Zheng, Q. Enhanced Mechanical and Long-Lasting Antibacterial Properties of Starch/PBAT Blown Films via Designing of Reactive Micro-Crosslinked Starch. Int. J. Biol. Macromol. 2024, 266, 131366. [Google Scholar] [CrossRef]
- Santana-Melo, G.F.; Rodrigues, B.V.M.; da Silva, E.; Ricci, R.; Marciano, F.R.; Webster, T.J.; Vasconcellos, L.M.R.; Lobo, A.O. Electrospun Ultrathin PBAT/NHAp Fibers Influenced the in Vitro and in Vivo Osteogenesis and Improved the Mechanical Properties of Neoformed Bone. Colloids Surf. B Biointerfaces 2017, 155, 544–552. [Google Scholar] [CrossRef] [PubMed]
- Liu, Y.; Yang, L.; Chen, G.; Liu, Z.; Lu, T.; Yang, Y.; Yu, J.; Kang, D.; Yan, W.; He, M.; et al. PBAT Hollow Porous Microfibers Prepared via Electrospinning and Their Functionalization for Potential Peptide Release. Mater. Des. 2021, 207, 109880. [Google Scholar] [CrossRef]
- Colucci, G.; Piano, M.; Lupone, F.; Badini, C.; Bondioli, F.; Messori, M. Preparation and 3D Printability Study of Bio-Based PBAT Powder for Selective Laser Sintering Additive Manufacturing. Mater. Today Chem. 2023, 33, 101687. [Google Scholar] [CrossRef]
- Akhir, M.A.M.; Mustapha, M. Formulation of Biodegradable Plastic Mulch Film for Agriculture Crop Protection: A Review. Polym. Rev. 2022, 62, 890–918. [Google Scholar] [CrossRef]
- Pietrosanto, A.; Scarfato, P.; Maio, L. Di Development of Eco-Sustainable PBAT-Based Blown Packaging Applications. Materials 2020, 13, 5395. [Google Scholar] [CrossRef]
- Liu, W.; Wang, Y.; Xiang, S.; Liu, H. Unveiling the Effect of Enhanced Interfacial Compatibility on the Mechanical Properties of PLA/PBAT Blends. Polymer 2024, 296, 126815. [Google Scholar] [CrossRef]
- Sui, X.; Zhao, X.; Wang, Z.; Sun, S. Super-Ductile and Stiff PBAT/PLA Biodegradable Composites Balanced with Random PMMA-Co-GMA Copolymer as Compatibilizer. Polym. Int. 2022, 72, 333–341. [Google Scholar] [CrossRef]
- Fourati, Y.; Tarrés, Q.; Delgado-Aguilar, M.; Mutjé, P.; Boufi, S. Cellulose Nanofibrils Reinforced PBAT/TPS Blends: Mechanical and Rheological Properties. Int. J. Biol. Macromol. 2021, 183, 267–275. [Google Scholar] [CrossRef]
- Brandelero, R.P.H.; Grossmann, M.V.; Yamashita, F. Films of Starch and Poly(Butylene Adipate Co-Terephthalate) Added of Soybean Oil (SO) and Tween 80. Carbohydr. Polym. 2012, 90, 1452–1460. [Google Scholar] [CrossRef]
- Nayak, S.K. Biodegradable PBAT/Starch Nanocomposites. Polym.-Plast. Technol. Eng. 2010, 49, 1406–1418. [Google Scholar] [CrossRef]
- Nabar, Y.; Raquez, J.M.; Dubois, P.; Narayan, R. Production of Starch Foams by Twin-Screw Extrusion: Effect of Maleated Poly(Butylene Adipate-Co-Terephthalate) as a Compatibilizer. Biomacromolecules 2005, 6, 807–817. [Google Scholar] [CrossRef] [PubMed]
- Garcia, P.S.; Grossmann, M.V.E.; Shirai, M.A.; Lazaretti, M.M.; Yamashita, F.; Muller, C.M.O.; Mali, S. Improving Action of Citric Acid as Compatibiliser in Starch/Polyester Blown Films. Ind. Crops Prod. 2014, 52, 305–312. [Google Scholar] [CrossRef]
- Dang, K.M.; Yoksan, R.; Pollet, E.; Avérous, L. Morphology and Properties of Thermoplastic Starch Blended with Biodegradable Polyester and Filled with Halloysite Nanoclay. Carbohydr. Polym. 2020, 242, 116392. [Google Scholar] [CrossRef] [PubMed]
- Olivato, J.B.; Marini, J.; Yamashita, F.; Pollet, E.; Grossmann, M.V.E.; Avérous, L. Sepiolite as a Promising Nanoclay for Nano-Biocomposites Based on Starch and Biodegradable Polyester. Mater. Sci. Eng. C 2017, 70, 296–302. [Google Scholar] [CrossRef]
- Lendvai, L.; Apostolov, A.; Karger-Kocsis, J. Characterization of Layered Silicate-Reinforced Blends of Thermoplastic Starch (TPS) and Poly(Butylene Adipate-Co-Terephthalate). Carbohydr. Polym. 2017, 173, 566–572. [Google Scholar] [CrossRef]
- Pinheiro, I.F.; Ferreira, F.V.; Souza, D.H.S.; Gouveia, R.F.; Lona, L.M.F.; Morales, A.R.; Mei, L.H.I. Mechanical, Rheological and Degradation Properties of PBAT Nanocomposites Reinforced by Functionalized Cellulose Nanocrystals. Eur. Polym. J. 2017, 97, 356–365. [Google Scholar] [CrossRef]
- Phothisarattana, D.; Wongphan, P.; Promhuad, K.; Promsorn, J.; Harnkarnsujarit, N. Biodegradable Poly(Butylene Adipate-Co-Terephthalate) and Thermoplastic Starch-Blended Tio2 Nanocomposite Blown Films as Functional Active Packaging of Fresh Fruit. Polymers 2021, 13, 4192. [Google Scholar] [CrossRef]
- Someya, Y.; Sugahara, Y.; Shibata, M. Nanocomposites Based on Poly(Butylene Adipate-Co-Terephthalate) and Montmorillonite. J. Appl. Polym. Sci. 2005, 95, 386–392. [Google Scholar] [CrossRef]
- Chen, J.H.; Chen, C.C.; Yang, M.C. Characterization of Nanocomposites of Poly(Butylene Adipate-Co- Terephthalate) Blending with Organoclay. J. Polym. Res. 2011, 18, 2151–2159. [Google Scholar] [CrossRef]
- Mohanty, S.; Nayak, S.K. Aromatic-aliphatic Poly(Butylene Adipate- Co -terephthalate) Bionanocomposite: Influence of Organic Modification on Structure and Properties. Polym. Compos. 2010, 31, 1194–1204. [Google Scholar] [CrossRef]
- Mondal, D.; Bhowmick, B.; Mollick, M.M.R.; Maity, D.; Ranjan Saha, N.; Rangarajan, V.; Rana, D.; Sen, R.; Chattopadhyay, D. Antimicrobial Activity and Biodegradation Behavior of Poly(Butylene Adipate-Co-Terephthalate)/Clay Nanocomposites. J. Appl. Polym. Sci. 2014, 131, 40079. [Google Scholar] [CrossRef]
- Han, J.G.; Park, S.J. Fabrication of PBAT/Polyethylene Blends Mulching Film via Blown Film Extrusion Process. Korea Aust. Rheol. J. 2020, 32, 79–86. [Google Scholar] [CrossRef]
- Kijchavengkul, T.; Auras, R.; Rubino, M.; Selke, S.; Ngouajio, M.; Fernandez, R.T. Biodegradation and Hydrolysis Rate of Aliphatic Aromatic Polyester. Polym. Degrad. Stab. 2010, 95, 2641–2647. [Google Scholar] [CrossRef]
- Ye, H.; Li, Q.; Li, J.; Li, D.; Ao, Z. Review on the Abiotic Degradation of Biodegradable Plastic Poly(Butylene Adipate-Terephthalate): Mechanisms and Main Factors of the Degradation. Chin. Chem. Lett. 2024, 113, 109861. [Google Scholar] [CrossRef]
- Zumstein, M.T.; Schintlmeister, A.; Nelson, T.F.; Baumgartner, R.; Woebken, D.; Wagner, M.; Kohler, H.P.E.; McNeill, K.; Sander, M. Biodegradation of Synthetic Polymers in Soils: Tracking Carbon into CO2 and Microbial Biomass. Sci. Adv. 2018, 4, eaas9024. [Google Scholar] [CrossRef]
- Soulenthone, P.; Tachibana, Y.; Muroi, F.; Suzuki, M.; Ishii, N.; Ohta, Y.; Kasuya, K. ichi Characterization of a Mesophilic Actinobacteria That Degrades Poly(Butylene Adipate-Co-Terephthalate). Polym. Degrad. Stab. 2020, 181, 109335. [Google Scholar] [CrossRef]
- Ma, J.; Cao, Y.; Fan, L.; Xie, Y.; Zhou, X.; Ren, Q.; Yang, X.; Gao, X.; Feng, Y. Degradation Characteristics of Polybutylene Adipate Terephthalic Acid (PBAT) and Its Effect on Soil Physicochemical Properties: A Comparative Study with Several Polyethylene (PE) Mulch Films. J. Hazard. Mater. 2023, 456, 131661. [Google Scholar] [CrossRef]
- Svoboda, P.; Dvorackova, M.; Svobodova, D. Influence of Biodegradation on Crystallization of Poly (Butylene Adipate-Co-Terephthalate). Polym. Adv. Technol. 2019, 30, 552–562. [Google Scholar] [CrossRef]
- Nomadolo, N.; Dada, O.E.; Swanepoel, A.; Mokhena, T.; Muniyasamy, S. A Comparative Study on the Aerobic Biodegradation of the Biopolymer Blends of Poly(Butylene Succinate), Poly(Butylene Adipate Terephthalate) and Poly(Lactic Acid). Polymers 2022, 14, 1894. [Google Scholar] [CrossRef]
- Dammak, M.; Fourati, Y.; Tarrés, Q.; Delgado-Aguilar, M.; Mutjé, P.; Boufi, S. Blends of PBAT with Plasticized Starch for Packaging Applications: Mechanical Properties, Rheological Behaviour and Biodegradability. Ind. Crops Prod. 2020, 144, 112061. [Google Scholar] [CrossRef]
- Morro, A.; Catalina, F.; Sanchez-León, E.; Abrusci, C. Photodegradation and Biodegradation Under Thermophile Conditions of Mulching Films Based on Poly(Butylene Adipate-Co-Terephthalate) and Its Blend with Poly(Lactic Acid). J. Polym. Environ. 2019, 27, 352–363. [Google Scholar] [CrossRef]
- Zhang, T.; Han, W.; Zhang, C.; Weng, Y. Effect of Chain Extender and Light Stabilizer on the Weathering Resistance of PBAT/PLA Blend Films Prepared by Extrusion Blowing. Polym. Degrad. Stab. 2021, 183, 109455. [Google Scholar] [CrossRef]
- Yang, Y.; Min, J.; Xue, T.; Jiang, P.; Liu, X.; Peng, R.; Huang, J.W.; Qu, Y.; Li, X.; Ma, N.; et al. Complete Bio-Degradation of Poly(Butylene Adipate-Co-Terephthalate) via Engineered Cutinases. Nat. Commun. 2023, 14, 1645. [Google Scholar] [CrossRef] [PubMed]
- Pang, W.; Li, B.; Wu, Y.; Zeng, Q.; Yang, J.; Zhang, Y.; Tian, S. Upgraded Recycling of Biodegradable PBAT Plastic: Efficient Hydrolysis and Electrocatalytic Conversion. Chem. Eng. J. 2024, 486, 150342. [Google Scholar] [CrossRef]
- Jo, J.; Kim, H.; Jeong, S.Y.; Park, C.; Hwang, H.S.; Koo, B. Changes in Mechanical Properties of Polyhydroxyalkanoate with Double Silanized Cellulose Nanocrystals Using Different Organosiloxanes. Nanomaterials 2021, 11, 1542. [Google Scholar] [CrossRef]
- Najah, M.I.; Aisyah, R.; Adzila, S.; Haq, R.H.A. Mechanical Properties of Calcium Phosphate Reinforced Polyhydroxyalkanoate (PHA) Biocomposite. J. Thermoplast. Compos. Mater. 2023, 36, 3294–3311. [Google Scholar] [CrossRef]
- Sharma, V.; Sehgal, R.; Gupta, R. Polyhydroxyalkanoate (PHA): Properties and Modifications. Polymer 2021, 212, 123161. [Google Scholar] [CrossRef]
- Prados, E.; Maicas, S. Bacterial Production of Hydroxyalkanoates (PHA). Univers. J. Microbiol. Res. 2016, 4, 23–30. [Google Scholar] [CrossRef]
- Tarrahi, R.; Fathi, Z.; Seydibeyoğlu, M.Ö.; Doustkhah, E.; Khataee, A. Polyhydroxyalkanoates (PHA): From Production to Nanoarchitecture. Int. J. Biol. Macromol. 2020, 146, 596–619. [Google Scholar] [CrossRef]
- Laycock, B.; Halley, P.; Pratt, S.; Werker, A.; Lant, P. The Chemomechanical Properties of Microbial Polyhydroxyalkanoates. Prog. Polym. Sci. 2013, 38, 536–583. [Google Scholar] [CrossRef]
- Nigmatullin, R.; Thomas, P.; Lukasiewicz, B.; Puthussery, H.; Roy, I. Polyhydroxyalkanoates, a Family of Natural Polymers, and Their Applications in Drug Delivery. J. Chem. Technol. Biotechnol. 2015, 90, 1209–1221. [Google Scholar] [CrossRef]
- Guo, W.; Yang, K.; Qin, X.; Luo, R.; Wang, H.; Huang, R. Polyhydroxyalkanoates in Tissue Repair and Regeneration. Eng. Regen. 2022, 3, 24–40. [Google Scholar] [CrossRef]
- Philip, S.; Keshavarz, T.; Roy, I. Polyhydroxyalkanoates: Biodegradable Polymers with a Range of Applications. J. Chem. Technol. Biotechnol. 2007, 82, 233–247. [Google Scholar] [CrossRef]
- Genovesi, A.; Aversa, C.; Barletta, M. Polyhydroxyalkanoates-Based Cast Film as Bio-Based Packaging for Fresh Fruit and Vegetables: Manufacturing and Characterization. J. Polym. Environ. 2023, 31, 4522–4532. [Google Scholar] [CrossRef]
- Kalia, V.C.; Patel, S.K.S.; Lee, J.-K. Exploiting Polyhydroxyalkanoates for Biomedical Applications. Polymers 2023, 15, 1937. [Google Scholar] [CrossRef]
- Ye, X.; Zhang, Y.; Liu, T.; Chen, Z.; Chen, W.; Wu, Z.; Wang, Y.; Li, J.; Li, C.; Jiang, T.; et al. Beta-Tricalcium Phosphate Enhanced Mechanical and Biological Properties of 3D-Printed Polyhydroxyalkanoates Scaffold for Bone Tissue Engineering. Int. J. Biol. Macromol. 2022, 209, 1553–1561. [Google Scholar] [CrossRef]
- Kumar, V.; Sehgal, R.; Gupta, R. Blends and Composites of Polyhydroxyalkanoates (PHAs) and Their Applications. Eur. Polym. J. 2021, 161, 110824. [Google Scholar] [CrossRef]
- McAdam, B.; Fournet, M.B.; McDonald, P.; Mojicevic, M. Production of Polyhydroxybutyrate (PHB) and Factors Impacting Its Chemical and Mechanical Characteristics. Polymers 2020, 12, 2908. [Google Scholar] [CrossRef]
- Weinmann, S.; Bonten, C. Thermal and Rheological Properties of Modified Polyhydroxybutyrate (PHB). Polym. Eng. Sci. 2019, 59, 1057–1064. [Google Scholar] [CrossRef]
- Yeo, J.C.C.; Muiruri, J.K.; Thitsartarn, W.; Li, Z.; He, C. Recent Advances in the Development of Biodegradable PHB-Based Toughening Materials: Approaches, Advantages and Applications. Mater. Sci. Eng. C 2018, 92, 1092–1116. [Google Scholar] [CrossRef]
- Sharma, N. Polyhydroxybutyrate (PHB) Production by Bacteria and Its Application as Biodegradable Plastic in Various Industries. Acad. J. Polym. Sci. 2019, 2, 6–9. [Google Scholar] [CrossRef]
- Markl, E. PHB-Bio Based and Biodegradable Replacement for PP: A Review. Nov. Tech. Nutr. Food Sci. 2018, 2, 206–209. [Google Scholar] [CrossRef]
- El-hadi, A.M.; Abd Elbary, A.M. Design of the Electrically Conductive PHB Blends for Biomedical Applications. J. Mater. Sci. Mater. Electron. 2018, 29, 16496–16506. [Google Scholar] [CrossRef]
- Movahedi, M.; Karbasi, S. A Core-Shell Electrospun Scaffold of Polyhydroxybutyrate-Starch/Halloysite Nanotubes Containing Extracellular Matrix and Chitosan for Articular Cartilage Tissue Engineering Application. J. Polym. Environ. 2023, 31, 3052–3069. [Google Scholar] [CrossRef]
- Fernandes, J.G.; Correia, D.M.; Botelho, G.; Padrão, J.; Dourado, F.; Ribeiro, C.; Lanceros-Méndez, S.; Sencadas, V. PHB-PEO Electrospun Fiber Membranes Containing Chlorhexidine for Drug Delivery Applications. Polym. Test. 2014, 34, 64–71. [Google Scholar] [CrossRef]
- Hong, S.G.; Hsu, H.W.; Ye, M.T. Thermal Properties and Applications of Low Molecular Weight Polyhydroxybutyrate. J. Therm. Anal. Calorim. 2013, 111, 1243–1250. [Google Scholar] [CrossRef]
- Moreira, J.B.; Kuntzler, S.G.; da Silva Vaz, B.; da Silva, C.K.; Costa, J.A.V.; de Morais, M.G. Polyhydroxybutyrate (PHB)-Based Blends and Composites. In Biodegradable Polymers, Blends and Composites; Elsevier Ltd.: Amsterdam, The Netherlands, 2021; ISBN 9780128237915. [Google Scholar]
- Briassoulis, D.; Tserotas, P.; Athanasoulia, I.G. Alternative Optimization Routes for Improving the Performance of Poly(3-Hydroxybutyrate) (PHB) Based Plastics. J. Clean. Prod. 2021, 318, 128555. [Google Scholar] [CrossRef]
- Policastro, G.; Panico, A.; Fabbricino, M. Improving Biological Production of Poly(3-Hydroxybutyrate-Co-3-Hydroxyvalerate) (PHBV) Co-Polymer: A Critical Review; Springer: Dordrecht, The Netherlands, 2021; Volume 20, ISBN 1115702109575. [Google Scholar]
- Rivera-Briso, A.L.; Serrano-Aroca, Á. Poly(3-Hydroxybutyrate-Co-3-Hydroxyvalerate): Enhancement Strategies for Advanced Applications. Polymers 2018, 10, 732. [Google Scholar] [CrossRef]
- Tebaldi, M.L.; Maia, A.L.C.; Poletto, F.; de Andrade, F.V.; Soares, D.C.F. Poly(-3-Hydroxybutyrate-Co-3-Hydroxyvalerate) (PHBV): Current Advances in Synthesis Methodologies, Antitumor Applications and Biocompatibility. J. Drug Deliv. Sci. Technol. 2019, 51, 115–126. [Google Scholar] [CrossRef]
- Ibrahim, M.I.; Alsafadi, D.; Alamry, K.A.; Hussein, M.A. Properties and Applications of Poly(3-Hydroxybutyrate-Co-3-Hydroxyvalerate) Biocomposites. J. Polym. Environ. 2021, 29, 1010–1030. [Google Scholar] [CrossRef]
- Kiruthika, A.V. PHBV Based Blends and Composites. In Biodegradable Polymers, Blends and Composites; Elsevier Ltd.: Amsterdam, The Netherlands, 2021; ISBN 9780128237915. [Google Scholar]
- Behera, S.; Priyadarshanee, M.; Vandana; Das, S. Polyhydroxyalkanoates, the Bioplastics of Microbial Origin: Properties, Biochemical Synthesis, and Their Applications. Chemosphere 2022, 294, 133723. [Google Scholar] [CrossRef] [PubMed]
- Che, L.; Jin, W.; Zhou, X.; Han, W.; Chen, Y.; Chen, C.; Jiang, G. Current Status and Future Perspectives on the Biological Production of Polyhydroxyalkanoates. Asia-Pac. J. Chem. Eng. 2023, 18, e2899. [Google Scholar] [CrossRef]
- Zhou, W.; Bergsma, S.; Colpa, D.I.; Euverink, G.J.W.; Krooneman, J. Polyhydroxyalkanoates (PHAs) Synthesis and Degradation by Microbes and Applications towards a Circular Economy. J. Environ. Manag. 2023, 341, 118033. [Google Scholar] [CrossRef] [PubMed]
- Liu, S.; Narancic, T.; Tham, J.L.; O’Connor, K.E. β-Oxidation–Polyhydroxyalkanoates Synthesis Relationship in Pseudomonas Putida KT2440 Revisited. Appl. Microbiol. Biotechnol. 2023, 107, 1863–1874. [Google Scholar] [CrossRef] [PubMed]
- Diniz, M.S.D.F.; Mourão, M.M.; Xavier, L.P.; Santos, A.V. Recent Biotechnological Applications of Polyhydroxyalkanoates (PHA) in the Biomedical Sector—A Review. Polymers 2023, 15, 4405. [Google Scholar] [CrossRef]
- Alves, A.A.; Siqueira, E.C.; Barros, M.P.S.; Silva, P.E.C.; Houllou, L.M. Polyhydroxyalkanoates: A Review of Microbial Production and Technology Application. Int. J. Environ. Sci. Technol. 2023, 20, 3409–3420. [Google Scholar] [CrossRef]
- Zhang, X.; Lin, Y.; Wu, Q.; Wang, Y.; Chen, G.Q. Synthetic Biology and Genome-Editing Tools for Improving PHA Metabolic Engineering. Trends Biotechnol. 2020, 38, 689–700. [Google Scholar] [CrossRef]
- Saravanan, K.; Umesh, M.; Kathirvel, P. Microbial Polyhydroxyalkanoates (PHAs): A Review on Biosynthesis, Properties, Fermentation Strategies and Its Prospective Applications for Sustainable Future; Springer: New York, NY, USA, 2022; Volume 30, ISBN 0123456789. [Google Scholar]
- Zou, H.; Shi, M.; Zhang, T.; Li, L.; Li, L.; Xian, M. Natural and Engineered Polyhydroxyalkanoate (PHA) Synthase: Key Enzyme in Biopolyester Production. Appl. Microbiol. Biotechnol. 2017, 101, 7417–7426. [Google Scholar] [CrossRef]
- Thomas, T.; Sudesh, K.; Bazire, A.; Elain, A.; Tan, H.T.; Lim, H.; Bruzaud, S. PHA Production and Pha Synthases of the Halophilic Bacterium halomonas sp. SF2003. Bioengineering 2020, 7, 29. [Google Scholar] [CrossRef]
- Cha, D.; Ha, H.S.; Lee, S.K. Metabolic Engineering of Pseudomonas Putida for the Production of Various Types of Short-Chain-Length Polyhydroxyalkanoates from Levulinic Acid. Bioresour. Technol. 2020, 309, 123332. [Google Scholar] [CrossRef]
- Inoue, D.; Fukuyama, A.; Ren, Y.; Ike, M. Optimization of Aerobic Dynamic Discharge Process for Very Rapid Enrichment of Polyhydroxyalkanoates-Accumulating Bacteria from Activated Sludge. Bioresour. Technol. 2021, 336, 125314. [Google Scholar] [CrossRef]
- Pei, R.; Vicente-Venegas, G.; Tomaszewska-Porada, A.; Van Loosdrecht, M.C.M.; Kleerebezem, R.; Werker, A. Visualization of Polyhydroxyalkanoate Accumulated in Waste Activated Sludge. Environ. Sci. Technol. 2023, 57, 11108–11121. [Google Scholar] [CrossRef] [PubMed]
- Estévez-Alonso, Á.; Arias-Buendía, M.; Pei, R.; van Veelen, H.P.J.; van Loosdrecht, M.C.M.; Kleerebezem, R.; Werker, A. Calcium Enhances Polyhydroxyalkanoate Production and Promotes Selective Growth of the Polyhydroxyalkanoate-Storing Biomass in Municipal Activated Sludge. Water Res. 2022, 226, 119259. [Google Scholar] [CrossRef] [PubMed]
- Zhang, Z.; Lin, Y.; Wu, S.; Li, X.; Cheng, J.J.; Yang, C. Effect of Composition of Volatile Fatty Acids on Yield of Polyhydroxyalkanoates and Mechanisms of Bioconversion from Activated Sludge. Bioresour. Technol. 2023, 385, 129445. [Google Scholar] [CrossRef]
- Vroman, I.; Tighzert, L. Biodegradable Polymers. Materials 2009, 2, 307–344. [Google Scholar] [CrossRef]
- Yang, L.; Zhang, Y.; Yang, G.; Xie, R.; Wu, G. Controlled Ring-Opening Polymerization of β-ButyrolactoneViaBifunctional Organoboron Catalysts. Macromolecules 2021, 54, 5509–5517. [Google Scholar] [CrossRef]
- Jiang, J.; Choi, J.; Yoon, S. Living Ring-Opening Polymerization of β-Butyrolactone Initiated by Mononuclear Zirconium Compounds Containing Sterically Hindered N,O-Chelate and Anionic Dimethylamide Ligands. RSC Adv. 2023, 13, 10379–10383. [Google Scholar] [CrossRef]
- Tsuda, H.; Shiraki, M.; Inoue, E.; Saito, T. Generation of Poly-β-Hydroxybutyrate from Acetate in Higher Plants: Detection of Acetoacetyl CoA Reductase- and PHB Synthase-Activities in Rice. J. Plant Physiol. 2016, 201, 9–16. [Google Scholar] [CrossRef]
- Snell, K.D.; Peoples, O.P. Polyhydroxyalkanoate Polymers and Their Production in Transgenic Plants. Metab. Eng. 2002, 4, 29–40. [Google Scholar] [CrossRef]
- Lössl, A.; Eibl, C.; Harloff, H.J.; Jung, C.; Koop, H.U. Polyester Synthesis in Transplastomic Tobacco (Nicotiana tabacum L.): Significant Contents of Polyhydroxybutyrate Are Associated with Growth Reduction. Plant Cell Rep. 2003, 21, 891–899. [Google Scholar] [CrossRef]
- Parveez, G.K.A.; Bahariah, B.; Ayub, N.H.; Masani, M.Y.A.; Rasid, O.A.; Tarmizi, A.H.; Ishak, Z. Production of Polyhydroxybutyrate in Oil Palm (Elaeis Guineensis Jacq.) Mediated by Microprojectile Bombardment of PHB Biosynthesis Genes into Embryogenic Calli. Front. Plant Sci. 2015, 6, 598. [Google Scholar] [CrossRef] [PubMed]
- Raju, N.N.; Sankaranarayanan, M. Enhancing the Production of Polyhydroxybutyrate, a Biodegradable Polymer by an Optimized Process Using a Novel Klebsiella Pneumonia Strain. Top. Catal. 2024, 67, 181–191. [Google Scholar] [CrossRef]
- Batista, M.B.; Teixeira, C.S.; Sfeir, M.Z.T.; Alves, L.P.S.; Valdameri, G.; Pedrosa, F.D.O.; Sassaki, G.L.; Steffens, M.B.R.; de Souza, E.M.; Dixon, R.; et al. PHB Biosynthesis Counteracts Redox Stress in Herbaspirillum Seropedicae. Front. Microbiol. 2018, 9, 472. [Google Scholar] [CrossRef]
- El-kadi, S.M.; Elbagory, M.; El-zawawy, H.A.H.; El-shaer, H.F.A. Biosynthesis of Poly-ß-Hydroxybutyrate (PHB) from Different Bacterial Strains Grown on Alternative Cheap Carbon Sources. Polymers 2021, 13, 3801. [Google Scholar] [CrossRef] [PubMed]
- Lambauer, V.; Kratzer, R. Lab-Scale Cultivation of Cupriavidus Necator on Explosive Gas Mixtures: Carbon Dioxide Fixation into Polyhydroxybutyrate. Bioengineering 2022, 9, 204. [Google Scholar] [CrossRef]
- Zhang, L.; Jiang, Z.; Tsui, T.H.; Loh, K.C.; Dai, Y.; Tong, Y.W. A Review on Enhancing Cupriavidus Necator Fermentation for Poly(3-Hydroxybutyrate) (PHB) Production From Low-Cost Carbon Sources. Front. Bioeng. Biotechnol. 2022, 10, 946085. [Google Scholar] [CrossRef]
- Jin, A.; del Valle, L.J.; Puiggalí, J. Copolymers and Blends Based on 3-Hydroxybutyrate and 3-Hydroxyvalerate Units. Int. J. Mol. Sci. 2023, 24, 17250. [Google Scholar] [CrossRef]
- Zhao, Y.; Rao, Z.; Xue, Y.; Gong, P.; Ji, Y.; Ma, Y. Biosynthesis, Property Comparison, and Hemocompatibility of Bacterial and Haloarchaeal Poly(3-Hydroxybutyrate-Co-3-Hydroxyvalerate). Sci. Bull. 2015, 60, 1901–1910. [Google Scholar] [CrossRef]
- Meng, D.; Miao, C.; Liu, Y.; Wang, F.; Chen, L.; Huang, Z.; Fan, X.; Gu, P.; Li, Q. Metabolic Engineering for Biosynthesis of Poly(3-Hydroxybutyrate-Co-3-Hydroxyvalerate) from Glucose and Propionic Acid in Recombinant Escherichia Coli. Bioresour. Technol. 2022, 348, 126786. [Google Scholar] [CrossRef]
- Altun, M.; Çelebi, M.; Şen, S.; Kökpınar, Ö.; Kaçoğlu, H.S. Characterization of Polyhydroxyalkanoate-Based Composites Derived from Waste Cooking Oil and Agricultural Surplus. Polym. Compos. 2023, 44, 4055–4068. [Google Scholar] [CrossRef]
- Suhazsini, P.; Keshav, R.; Narayanan, S.; Chaudhuri, A.; Radha, P. A Study on the Synthesis of Poly (3-Hydroxybutyrate-Co-3-Hydroxyvalerate) by Bacillus Megaterium Utilizing Cheese Whey Permeate. J. Polym. Environ. 2020, 28, 1390–1405. [Google Scholar] [CrossRef]
- Chen, Y.; Li, M.; Meng, F.; Yang, W.; Chen, L.; Huo, M. Optimal Poly (3-Hydroxybutyrate/3-Hydroxyvalerate) Biosynthesis by Fermentation Liquid from Primary and Waste Activated Sludge. Environ. Technol. 2014, 35, 1791–1801. [Google Scholar] [CrossRef] [PubMed]
- Chang, W.; Yoon, J.; Oh, M.K. Production of Polyhydroxyalkanoates with the Fermentation of Methylorubrum Extorquens Using Formate as a Carbon Substrate. Biotechnol. Bioprocess. Eng. 2022, 27, 268–275. [Google Scholar] [CrossRef]
- Hathi, Z.J.; Haque, M.A.; Priya, A.; Qin, Z.H.; Huang, S.; Lam, C.H.; Ladakis, D.; Pateraki, C.; Mettu, S.; Koutinas, A.; et al. Fermentative Bioconversion of Food Waste into Biopolymer Poly(3-Hydroxybutyrate-Co-3-Hydroxyvalerate) Using Cupriavidus Necator. Environ. Res. 2022, 215, 114323. [Google Scholar] [CrossRef] [PubMed]
- Koller, M.; Niebelschütz, H.; Braunegg, G. Strategies for Recovery and Purification of Poly[(R)-3-Hydroxyalkanoates] (PHA) Biopolyesters from Surrounding Biomass. Eng. Life Sci. 2013, 13, 549–562. [Google Scholar] [CrossRef]
- Puppi, D.; Pecorini, G.; Chiellini, F. Biomedical Processing of Polyhydroxyalkanoates. Bioengineering 2019, 6, 108. [Google Scholar] [CrossRef]
- Koller, M. Biodegradable and Biocompatible Polyhydroxy-Alkanoates (PHA): Auspicious Microbial Macromolecules for Pharmaceutical and Therapeutic Applications. Molecules 2018, 23, 362. [Google Scholar] [CrossRef]
- Mármol, G.; Sanivada, U.K.; Fangueiro, R. Effect of GNPs on the Piezoresistive, Electrical and Mechanical Properties of Pha and Pla Films. Fibers 2021, 9, 86. [Google Scholar] [CrossRef]
- Chen, S.; Gao, J.; Yan, E.; Wang, Y.; Li, Y.; Lu, H.; Fan, L.; Wang, D.; An, Q. A Novel Porous Composite Membrane of PHA/PVA via Coupling of Electrospinning and Spin Coating for Antibacterial Applications. Mater. Lett. 2021, 301, 130279. [Google Scholar] [CrossRef]
- Liu, Q.; Liu, G.; Liu, X.; Yang, M.; Xing, S.; Du, Y.; Xiong, X. Synthesis of an Electrospun PHA/RGO/Au Scaffold for Peripheral Nerve Regeneration: An in Vitro Study. Appl. Nanosci. 2020, 10, 687–694. [Google Scholar] [CrossRef]
- Ivorra-martinez, J.; Quiles-carrillo, L.; Boronat, T. Assessment of the Mechanical and Thermal Properties of Injection-Molded Poly(3-Hydroxybutyrate-Co-3-Hydroxyhexanoate)/Hydroxyapatite Nanoparticles Parts for Use in Bone Tissue Engineering. Polymers 2020, 12, 1389. [Google Scholar] [CrossRef] [PubMed]
- Chen, F.; Liu, X.; Ge, X.; Wang, Y.; Zhao, Z.; Zhang, X.; Chen, G.Q.; Sun, Y. Porous Polydroxyalkanoates (PHA) Scaffolds with Antibacterial Property for Oral Soft Tissue Regeneration. Chem. Eng. J. 2023, 451, 138899. [Google Scholar] [CrossRef]
- Zeinali, R.; Khorasani, M.T.; Behnamghader, A.; Atai, M.; Del Valle, L.; Puiggalí, J. Poly(Hydroxybutyrate-Co-Hydroxyvalerate) Porous Matrices from Thermally Induced Phase Separation. Polymers 2020, 12, 2787. [Google Scholar] [CrossRef] [PubMed]
- Lopresti, F.; Liga, A.; Capuana, E.; Gulfi, D.; Zanca, C.; Inguanta, R.; Brucato, V.; La Carrubba, V.; Carfì Pavia, F. Effect of Polyhydroxyalkanoate (PHA) Concentration on Polymeric Scaffolds Based on Blends of Poly-L-Lactic Acid (PLLA) and PHA Prepared via Thermally Induced Phase Separation (TIPS). Polymers 2022, 14, 2494. [Google Scholar] [CrossRef] [PubMed]
- Zhang, X.; Li, J.; Chen, J.; Peng, Z.X.; Chen, J.N.; Liu, X.; Wu, F.; Zhang, P.; Chen, G.Q. Enhanced Bone Regeneration via PHA Scaffolds Coated with Polydopamine-Captured BMP2. J. Mater. Chem. B 2022, 10, 6214–6227. [Google Scholar] [CrossRef] [PubMed]
- Raza, Z.A.; Abid, S.; Banat, I.M. Polyhydroxyalkanoates: Characteristics, Production, Recent Developments and Applications. Int. Biodeterior. Biodegrad. 2018, 126, 45–56. [Google Scholar] [CrossRef]
- Turco, R.; Santagata, G.; Corrado, I.; Pezzella, C.; Di Serio, M. In Vivo and Post-Synthesis Strategies to Enhance the Properties of PHB-Based Materials: A Review. Front. Bioeng. Biotechnol. 2021, 8, 619266. [Google Scholar] [CrossRef]
- Uzun, G.; Aydemir, D. Biocomposites from Polyhydroxybutyrate and Bio-Fillers by Solvent Casting Method. Bull. Mater. Sci. 2017, 40, 383–393. [Google Scholar] [CrossRef]
- Anbukarasu, P.; Sauvageau, D.; Elias, A. The Effects of Solvent Casting Temperature and Physical Aging on Polyhydroxybutyrate-Graphene Nanoplatelet Composites. Polym. Compos. 2021, 42, 1451–1461. [Google Scholar] [CrossRef]
- Hernandez, M.M.; Gupta, N.S.; Lee, K.S.; Dumont, J.H.; Pital, A.C.; Marrone, B.L.; Iverson, C.N. Characterization of Polyhydroxybutyrate-Based Composites Prepared by Injection Molding. Polymers 2021, 13, 4444. [Google Scholar] [CrossRef]
- Bucci, D.Z.; Tavares, L.B.B.; Sell, I. PHB Packaging for the Storage of Food Products. Polym. Test. 2005, 24, 564–571. [Google Scholar] [CrossRef]
- Olejnik, O.; Masek, A.; Zawadziłło, J. Processability and Mechanical Properties of Thermoplastic Polylactide/Polyhydroxybutyrate (PLA/PHB) Bioblends. Materials 2021, 14, 898. [Google Scholar] [CrossRef] [PubMed]
- Arrieta, M.P.; López, J.; López, D.; Kenny, J.M.; Peponi, L. Development of Flexible Materials Based on Plasticized Electrospun PLA-PHB Blends: Structural, Thermal, Mechanical and Disintegration Properties. Eur. Polym. J. 2015, 73, 433–446. [Google Scholar] [CrossRef]
- Kundrat, V.; Cernekova, N.; Kovalcik, A.; Enev, V.; Marova, I. Drug Release Kinetics of Electrospun PHB Meshes. Materials 2019, 12, 1924. [Google Scholar] [CrossRef]
- Sánchez-Safont, E.L.; Aldureid, A.; Lagarón, J.M.; Cabedo, L.; Gámez-Pérez, J. Study of the Compatibilization Effect of Different Reactive Agents in Phb/Natural Fiber-Based Composites. Polymers 2020, 12, 1967. [Google Scholar] [CrossRef]
- Wei, L.; McDonald, A.G. Peroxide Induced Cross-Linking by Reactive Melt Processing of Two Biopolyesters: Poly(3-Hydroxybutyrate) and Poly(l-Lactic Acid) to Improve Their Melting Processability. J. Appl. Polym. Sci. 2015, 132, 41724. [Google Scholar] [CrossRef]
- Bugnicourt, E.; Cinelli, P.; Lazzeri, A.; Alvarez, V. Polyhydroxyalkanoate (PHA): Review of Synthesis, Characteristics, Processing and Potential Applications in Packaging. Express Polym. Lett. 2014, 8, 791–808. [Google Scholar] [CrossRef]
- Erceg, T.; Rackov, S.; Terek, P.; Pilić, B. Preparation and Characterization of PHBV/PCL-Diol Blend Films. Polymers 2023, 15, 4694. [Google Scholar] [CrossRef]
- Perez-Martinez, V.; Bello-Rocha, L.; Rodríguez-Rodriguez, C.; Sierra, C.A.; Castellanos, D.A. Obtention and Characterization of PLA/PHBV Thin Sheets by Solvent Casting and Extrusion with Application in Food Packaging. Bull. Mater. Sci. 2024, 47, 47. [Google Scholar] [CrossRef]
- Samaniego-Aguilar, K.; Sánchez-Safont, E.; Arrillaga, A.; Anakabe, J.; Gamez-Perez, J.; Cabedo, L. In Service Performance of Toughened PHBV/TPU Blends Obtained by Reactive Extrusion for Injected Parts. Polymers 2022, 14, 2337. [Google Scholar] [CrossRef]
- Frącz, W.; Janowski, G.; Smusz, R.; Szumski, M. The Influence of Chosen Plant Fillers in PHBV Composites on the Processing Conditions, Mechanical Properties and Quality of Molded Pieces. Polymers 2021, 13, 3934. [Google Scholar] [CrossRef] [PubMed]
- Mallegni, N.; Signori, F.; Gigante, V.; Amato, G.; Navarini, L.; Seggiani, M.; Cinelli, P.; Lazzeri, A. Poly(3-Hydroxybutyrate-Co-3-Hydroxyvalerate) (PHBV) Based Biocomposites Containing Coffee Silverskin: Injection Moulding and Migration Performances Assessment. Chem. Eng. Trans. 2022, 92, 643–648. [Google Scholar] [CrossRef]
- Kaniuk, Ł.; Stachewicz, U. Development and Advantages of Biodegradable PHA Polymers Based on Electrospun PHBV Fibers for Tissue Engineering and Other Biomedical Applications. ACS Biomater. Sci. Eng. 2021, 7, 5339–5362. [Google Scholar] [CrossRef] [PubMed]
- Rabbani, S.; Jafari, R.; Momen, G. Superhydrophobic Micro-Nanofibers from PHBV-SiO2 Biopolymer Composites Produced by Electrospinning. Funct. Compos. Mater. 2022, 3, 1. [Google Scholar] [CrossRef]
- Karbowniczek, J.E.; Kaniuk, Ł.; Berniak, K.; Gruszczyński, A.; Stachewicz, U. Enhanced Cells Anchoring to Electrospun Hybrid Scaffolds With PHBV and HA Particles for Bone Tissue Regeneration. Front. Bioeng. Biotechnol. 2021, 9, 632029. [Google Scholar] [CrossRef]
- Kontogianni, G.I.; Bonatti, A.F.; De Maria, C.; Naseem, R.; Melo, P.; Coelho, C.; Vozzi, G.; Dalgarno, K.; Quadros, P.; Vitale-Brovarone, C.; et al. Promotion of In Vitro Osteogenic Activity by Melt Extrusion-Based PLLA/PCL/PHBV Scaffolds Enriched with Nano-Hydroxyapatite and Strontium Substituted Nano-Hydroxyapatite. Polymers 2023, 15, 1052. [Google Scholar] [CrossRef]
- de Carvalho, J.G.; Zanini, N.C.; Claro, A.M.; do Amaral, N.C.; Barud, H.S.; Mulinari, D.R. Composite Filaments OF PHBV Reinforced with ZrO2·nH2O Particles for 3D Printing. Polym. Bull. 2022, 79, 2113–2132. [Google Scholar] [CrossRef]
- Garcia-Campo, M.J.; Quiles-Carrillo, L.; Masia, J.; Reig-Pérez, M.J.; Montanes, N.; Balart, R. Environmentally Friendly Compatibilizers from Soybean Oil for Ternary Blends of Poly(Lactic Acid)-PLA, Poly(ε-Caprolactone)-PCL and Poly(3-Hydroxybutyrate)-PHB. Materials 2017, 10, 1339. [Google Scholar] [CrossRef]
- Sempere-Torregrosa, J.; Ferri, J.M.; de la Rosa-Ramírez, H.; Pavon, C.; Samper, M.D. Effect of Epoxidized and Maleinized Corn Oil on Properties of Polylactic Acid (PLA) and Polyhydroxybutyrate (PHB) Blend. Polymers 2022, 14, 4205. [Google Scholar] [CrossRef]
- Abdelwahab, M.A.; Flynn, A.; Chiou, B.-S.; Imam, S.; Orts, W.; Chiellini, E. Thermal, Mechanical and Morphological Characterization of Plasticized PLA-PHB Blends. Polym. Degrad. Stab. 2012, 97, 1822–1828. [Google Scholar] [CrossRef]
- Seoane, I.T.; Manfredi, L.B.; Cyras, V.P. Effect of Two Different Plasticizers on the Properties of Poly (3-hydroxybutyrate) Binary and Ternary Blends. J. Appl. Polym. Sci. 2018, 135, 46016. [Google Scholar] [CrossRef]
- Seydibeyoğlu, M.Ö.; Misra, M.; Mohanty, A. Synergistic Improvements in the Impact Strength And% Elongation of Polyhydroxybutyrate-Co-Valerate Copolymers with Functionalized Soybean Oils and POSS. Int. J. Plast. Technol. 2010, 14, 1–16. [Google Scholar] [CrossRef]
- Quispe, M.M.; Lopez, O.V.; Boina, D.A.; Stumbé, J.-F.; Villar, M.A. Glycerol-Based Additives of Poly (3-Hydroxybutyrate) Films. Polym. Test. 2021, 93, 107005. [Google Scholar] [CrossRef]
- Wang, L.; Zhu, W.; Wang, X.; Chen, X.; Chen, G.; Xu, K. Processability Modifications of Poly (3-hydroxybutyrate) by Plasticizing, Blending, and Stabilizing. J. Appl. Polym. Sci. 2008, 107, 166–173. [Google Scholar] [CrossRef]
- Parra, D.F.; Fusaro, J.; Gaboardi, F.; Rosa, D.S. Influence of Poly (Ethylene Glycol) on the Thermal, Mechanical, Morphological, Physical–Chemical and Biodegradation Properties of Poly (3-Hydroxybutyrate). Polym. Degrad. Stab. 2006, 91, 1954–1959. [Google Scholar] [CrossRef]
- Numata, K.; Abe, H.; Iwata, T. Biodegradability of Poly(Hydroxyalkanoate) Materials. Materials 2009, 2, 1104–1126. [Google Scholar] [CrossRef]
- White, E.M.; Horn, J.; Wang, S.; Crawford, B.; Ritchie, B.W.; Carraway, D.; Locklin, J. Comparative Study of the Biological Degradation of Poly(3-Hydroxybutyrate-Co-3-Hydroxyhexanoate) Microbeads in Municipal Wastewater in Environmental and Controlled Laboratory Conditions. Environ. Sci. Technol. 2021, 55, 11646–11656. [Google Scholar] [CrossRef]
- Boey, J.Y.; Mohamad, L.; Khok, Y.S.; Tay, G.S.; Baidurah, S. A Review of the Applications and Biodegradation of Polyhydroxyalkanoates and Poly(Lactic Acid) and Its Composites. Polymers 2021, 13, 1544. [Google Scholar] [CrossRef]
- Vodicka, J.; Wikarska, M.; Trudicova, M.; Juglova, Z.; Pospisilova, A.; Kalina, M.; Slaninova, E.; Obruca, S.; Sedlacek, P. Degradation of P(3HB-Co-4HB) Films in Simulated Body Fluids. Polymers 2022, 14, 1990. [Google Scholar] [CrossRef]
- Ansari, S.; Sami, N.; Yasin, D.; Ahmad, N.; Fatma, T. Biomedical Applications of Environmental Friendly Poly-Hydroxyalkanoates. Int. J. Biol. Macromol. 2021, 183, 549–563. [Google Scholar] [CrossRef]
- Ong, S.Y.; Sudesh, K. Effects of Polyhydroxyalkanoate Degradation on Soil Microbial Community. Polym. Degrad. Stab. 2016, 131, 9–19. [Google Scholar] [CrossRef]
- Borelbach, P.; Kopitzky, R.; Dahringer, J.; Gutmann, P. Degradation Behavior of Biodegradable Man-Made Fibers in Natural Soil and in Compost. Polymers 2023, 15, 2959. [Google Scholar] [CrossRef] [PubMed]
- Komiyama, K.; Omura, T.; Iwata, T. Effect of Morphology and Molecular Orientation on Environmental Water Biodegradability of Poly[(R)-3-Hydroxybutyrate-Co-(R)-3-Hydroxyvalerate]. Polym. Degrad. Stab. 2021, 193, 109719. [Google Scholar] [CrossRef]
- Kim, H.W.; Chung, C.W.; Kim, Y.B.; Rhee, Y.H. Preparation and Hydrolytic Degradation of Semi-Interpenetrating Networks of Poly(3-Hydroxyundecenoate) and Poly(Lactide-Co-Glycolide). Int. J. Biol. Macromol. 2005, 37, 221–226. [Google Scholar] [CrossRef] [PubMed]
- Roohi; Zaheer, M.R.; Kuddus, M. PHB (Poly-β-Hydroxybutyrate) and Its Enzymatic Degradation. Polym. Adv. Technol. 2018, 29, 30–40. [Google Scholar] [CrossRef]
- Kliem, S.; Kreutzbruck, M.; Bonten, C. Review on the Biological Degradation of Polymers in Various Environments. Materials 2020, 13, 4586. [Google Scholar] [CrossRef]
- Park, S.L.; Cho, J.Y.; Choi, T.R.; Song, H.S.; Bhatia, S.K.; Gurav, R.; Park, S.H.; Park, K.; Joo, J.C.; Hwang, S.Y.; et al. Improvement of Polyhydroxybutyrate (PHB) Plate-Based Screening Method for PHB Degrading Bacteria Using Cell-Grown Amorphous PHB and Recovered by Sodium Dodecyl Sulfate (SDS). Int. J. Biol. Macromol. 2021, 177, 413–421. [Google Scholar] [CrossRef]
- Balogová, A.F.; Trebuňová, M.; Ižaríková, G.; Kaščák, L.; Mitrík, L.; Klímová, J.; Feranc, J.; Modrák, M.; Hudák, R.; Živčák, J. In Vitro Degradation of Specimens Produced from Pla/Phb by Additive Manufacturing in Simulated Conditions. Polymers 2021, 13, 1542. [Google Scholar] [CrossRef]
- Kervran, M.; Vagner, C.; Cochez, M.; Ponçot, M.; Saeb, M.R.; Vahabi, H. Thermal Degradation of Polylactic Acid (PLA)/Polyhydroxybutyrate (PHB) Blends: A Systematic Review. Polym. Degrad. Stab. 2022, 201, 109995. [Google Scholar] [CrossRef]
- Sabapathy, P.C.; Devaraj, S.; Anburajan, P.; Parvez, A.; Kathirvel, P.; Qi, X. Active Polyhydroxybutyrate (PHB)/Sugarcane Bagasse Fiber-Based Anti-Microbial Green Composite: Material Characterization and Degradation Studies. Appl. Nanosci. 2023, 13, 1187–1199. [Google Scholar] [CrossRef]
- Rech, C.R.; da Silva Brabes, K.C.; Bagnara e Silva, B.E.; Bittencourt, P.R.S.; Koschevic, M.T.; da Silveira, T.F.S.; Martines, M.A.U.; Caon, T.; Martelli, S.M. Biodegradation of Eugenol-Loaded Polyhydroxybutyrate Films in Different Soil Types. Case Stud. Chem. Environ. Eng. 2020, 2, 100014. [Google Scholar] [CrossRef]
- Pei, R.; Tarek-Bahgat, N.; Van Loosdrecht, M.C.M.; Kleerebezem, R.; Werker, A.G. Influence of Environmental Conditions on Accumulated Polyhydroxybutyrate in Municipal Activated Sludge. Water Res. 2023, 232, 119653. [Google Scholar] [CrossRef] [PubMed]
- Swiontek Brzezinka, M.; Richert, A.; Kalwasińska, A.; Świątczak, J.; Deja-Sikora, E.; Walczak, M.; Michalska-Sionkowska, M.; Piekarska, K.; Kaczmarek-Szczepańska, B. Microbial Degradation of Polyhydroxybutyrate with Embedded Polyhexamethylene Guanidine Derivatives. Int. J. Biol. Macromol. 2021, 187, 309–318. [Google Scholar] [CrossRef] [PubMed]
- Cho, J.Y.; Lee Park, S.; Lee, H.J.; Kim, S.H.; Suh, M.J.; Ham, S.; Bhatia, S.K.; Gurav, R.; Park, S.H.; Park, K.; et al. Polyhydroxyalkanoates (PHAs) Degradation by the Newly Isolated marine Bacillus sp. JY14. Chemosphere 2021, 283, 131172. [Google Scholar] [CrossRef] [PubMed]
- Cho, J.Y.; Kim, S.H.; Jung, H.J.; Cho, D.H.; Kim, B.C.; Bhatia, S.K.; Ahn, J.; Jeon, J.M.; Yoon, J.J.; Lee, J.; et al. Finding a Benign Plasticizer to Enhance the Microbial Degradation of Polyhydroxybutyrate (PHB) Evaluated by PHB Degrader Microbulbifer sp. SOL66. Polymers 2022, 14, 3625. [Google Scholar] [CrossRef]
- Mosnáčková, K.; Šišková, A.O.; Kleinová, A.; Danko, M.; Mosnáček, J. Properties and Degradation of Novel Fully Biodegradable Pla/Phb Blends Filled with Keratin. Int. J. Mol. Sci. 2020, 21, 9678. [Google Scholar] [CrossRef]
- Zhou, Y.; Li, Y.; Li, D.; Yin, Y.; Zhou, F.L. Electrospun PHB/Chitosan Composite Fibrous Membrane and Its Degradation Behaviours in Different PH Conditions. J. Funct. Biomater. 2022, 13, 58. [Google Scholar] [CrossRef]
- Râpǎ, M.; Zaharia, C.; Stǎnescu, P.O.; Cǎǎricǎ, A.; Matei, E.; Predescu, A.M.; Pantilimon, M.C.; Vidu, R.; Predescu, C.; Cioflan, H. In Vitro Degradation of PHB/Bacterial Cellulose Biocomposite Scaffolds. Int. J. Polym. Sci. 2021, 2021, 3820364. [Google Scholar] [CrossRef]
- Lyshtva, P.; Voronova, V.; Barbir, J.; Leal Filho, W.; Kröger, S.D.; Witt, G.; Miksch, L.; Sabowski, R.; Gutow, L.; Frank, C.; et al. Degradation of a Poly(3-Hydroxybutyrate-Co-3-Hydroxyvalerate) (PHBV) Compound in Different Environments. Heliyon 2024, 10, e24770. [Google Scholar] [CrossRef]
- Kim, J.; Gupta, N.S.; Bezek, L.B.; Linn, J.; Bejagam, K.K.; Banerjee, S.; Dumont, J.H.; Nam, S.Y.; Kang, H.W.; Park, C.H.; et al. Biodegradation Studies of Polyhydroxybutyrate and Polyhydroxybutyrate-Co-Polyhydroxyvalerate Films in Soil. Int. J. Mol. Sci. 2023, 24, 7638. [Google Scholar] [CrossRef]
- Furgier, V.; Root, A.; Heinmaa, I.; Zamani, A.; Åkesson, D. Development and Characterisation of Composites Prepared from PHBV Compounded with Organic Waste Reinforcements, and Their Soil Biodegradation. Materials 2024, 17, 768. [Google Scholar] [CrossRef] [PubMed]
- Hernández-García, E.; Vargas, M.; Chiralt, A.; González-Martínez, C. Biodegradation of PLA-PHBV Blend Films as Affected by the Incorporation of Different Phenolic Acids. Foods 2022, 11, 243. [Google Scholar] [CrossRef] [PubMed]
- Bonnenfant, C.; Chatellard, L.; Gontard, N.; Aouf, C. Effect of Quercetin and Gallic Acid on the Microbial Degradation of Poly(3-Hydroxybutyrate-Co-3-Hydroxyvalerate) (PHBV) Materials. J. Polym. Environ. 2023, 31, 1478–1488. [Google Scholar] [CrossRef]
- NF T 51-800:2015; Plastics—Specifications for Plastics Suitable for Home Composting. Association Française de Normalisation: La Plaine Saint-Denis, France, 2015.
- Meereboer, K.W.; Pal, A.K.; Cisneros-López, E.O.; Misra, M.; Mohanty, A.K. The Effect of Natural Fillers on the Marine Biodegradation Behaviour of Poly(3-Hydroxybutyrate-Co-3-Hydroxyvalerate) (PHBV). Sci. Rep. 2021, 11, 911. [Google Scholar] [CrossRef]
- ASTM D7991-15; Standard Test Method for Determining Aerobic Biodegradation of Plastics Buried in Sandy Marine Sediment under Controlled Laboratory Conditions. American Society for Testing and Materials: Philadelphia, PA, USA, 2015. [CrossRef]
- Hammiche, D.; Boukerrou, A.; Grohens, Y.; Guermazi, N.; Arrakhiz, F.E. Mechanical Properties and Biodegradation of Biocomposites Based on Poly (Hydroxybutyrate-Co-Valerate) and Alfa Fibers. J. Polym. Res. 2020, 27, 308. [Google Scholar] [CrossRef]
- Patel, R.; Monticone, D.; Lu, M.; Grøndahl, L.; Huang, H. Hydrolytic Degradation of Porous Poly(Hydroxybutyrate-Co-Hydroxyvalerate) Scaffolds Manufactured Using Selective Laser Sintering. Polym. Degrad. Stab. 2021, 187, 109545. [Google Scholar] [CrossRef]
- Zhu, J.; Chen, Y.; Yu, H.Y.; Guan, Y.; Zhou, Y.; Yang, X.; Zou, Z.Y.; Tam, K.C. Comprehensive Insight into Degradation Mechanism of Green Biopolyester Nanocomposites Using Functionalized Cellulose Nanocrystals. ACS Sustain. Chem. Eng. 2019, 7, 15537–15547. [Google Scholar] [CrossRef]
- Kovalcik, A.; Obruca, S.; Kalina, M.; Machovsky, M.; Enev, V.; Jakesova, M.; Sobkova, M.; Marova, I. Enzymatic Hydrolysis of Poly(3-Hydroxybutyrate-Co-3-Hydroxyvalerate) Scaffolds. Materials 2020, 13, 2992. [Google Scholar] [CrossRef]
- Henning, F.G.; Ito, V.C.; Demiate, I.M.; Lacerda, L.G. Non-Conventional Starches for Biodegradable Films: A Review Focussing on Characterisation and Recent Applications in Food Packaging. Carbohydr. Polym. Technol. Appl. 2022, 4, 100157. [Google Scholar]
- Zhu, X.; Dai, Q.; Silveira Hornung, P.; Lopes Teixeira, G.; Nkhata Malunga, L.; Ames, N.; Beta, T. Valorizing Canadian Oat Cultivars to Obtain Non-Conventional Starch: Pasting, Physicochemical, and Morphological Properties. Starch-Stärke 2023, 75, 2200142. [Google Scholar] [CrossRef]
- González-Mendoza, M.; Martínez-Bustos, F.; Castaño-Tostado, E.; Amaya-Llano, S.L. Effect of Microwave Irradiation on Acid Hydrolysis of Faba Bean Starch: Physicochemical Changes of the Starch Granules. Molecules 2022, 27, 3528. [Google Scholar] [CrossRef] [PubMed]
- Niranjana Prabhu, T.; Prashantha, K. A Review on Present Status and Future Challenges of Starch Based Polymer Films and Their Composites in Food Packaging Applications. Polym. Compos. 2018, 39, 2499–2522. [Google Scholar] [CrossRef]
- Fredrikssona, H.; Silveriob, J.; Andemon’, R.; Eliassonb, A.-C.; Amanta, P. The Influence of Amylose and Amylopectin Characteristics on Gelatinization and Retrogradation Properties of Different Starches. Carbohydr. Polym. 1998, 35, 119–134. [Google Scholar]
- Jane, J.; Chen, Y.Y.; Lee, L.F.; McPherson, A.E.; Wong, K.S.; Radosavljevic, M.; Kasemsuwan, T. Effects of Amylopectin Branch Chain Length and Amylose Content on the Gelatinization and Pasting Properties of Starch. Cereal Chem. 1999, 76, 629–637. [Google Scholar] [CrossRef]
- Singh Sandhu, K.; Singh, N. Relationships between Selected Properties of Starches from Different Corn Lines. Int. J. Food Prop. 2005, 8, 481–491. [Google Scholar] [CrossRef]
- Muñoz-Gimena, P.F.; Oliver-Cuenca, V.; Peponi, L.; López, D. A Review on Reinforcements and Additives in Starch-Based Composites for Food Packaging. Polymers 2023, 15, 2972. [Google Scholar] [CrossRef]
- Cataño, F.A.; Moreno-Serna, V.; Cament, A.; Loyo, C.; Yáñez-S, M.; Ortiz, J.A.; Zapata, P.A. Green Composites Based on Thermoplastic Starch Reinforced with Micro- and Nano-Cellulose by Melt Blending—A Review. Int. J. Biol. Macromol. 2023, 248, 125939. [Google Scholar]
- García, N.L.; Ribba, L.; Dufresne, A.; Aranguren, M.; Goyanes, S. Effect of Glycerol on the Morphology of Nanocomposites Made from Thermoplastic Starch and Starch Nanocrystals. Carbohydr. Polym. 2011, 84, 203–210. [Google Scholar] [CrossRef]
- Surendren, A.; Mohanty, A.K.; Liu, Q.; Misra, M. A Review of Biodegradable Thermoplastic Starches, Their Blends and Composites: Recent Developments and Opportunities for Single-Use Plastic Packaging Alternatives. Green. Chem. 2022, 19, 8606–8636. [Google Scholar]
- Abdullah, Z.W.; Dong, Y. Recent Advances and Perspectives on Starch Nanocomposites for Packaging Applications. J. Mater. Sci. 2018, 53, 15319–15339. [Google Scholar] [CrossRef]
- Sessini, V.; Arrieta, M.P.; Kenny, J.M.; Peponi, L. Processing of Edible Films Based on Nanoreinforced Gelatinized Starch. Polym. Degrad. Stab. 2016, 132, 157–168. [Google Scholar] [CrossRef]
- Borbolla-Jiménez, F.V.; Peña-Corona, S.I.; Farah, S.J.; Jiménez-Valdés, M.T.; Pineda-Pérez, E.; Romero-Montero, A.; Del Prado-Audelo, M.L.; Bernal-Chávez, S.A.; Magaña, J.J.; Leyva-Gómez, G. Films for Wound Healing Fabricated Using a Solvent Casting Technique. Pharmaceutics 2023, 15, 1914. [Google Scholar] [CrossRef] [PubMed]
- Singh, B.; Sharma, C.; Sharma, S. Fundamentals of extrusion processing. In Novel Food Processing Technologies; New India Publishing Agency: New Delhi, India, 2017. [Google Scholar]
- Combrzyński, M.; Wójtowicz, A.; Mitrus, M.; Oniszczuk, T.; Matwijczuk, A.; Pawelczyk, P.; Mościcki, L. Effect of Starch Type and Screw Speed on Mechanical Properties of Extrusion-Cooked Starch-Based Foams. Int. Agrophys. 2019, 33, 233–240. [Google Scholar] [CrossRef]
- Ye, J.; Hu, X.; Luo, S.; Liu, W.; Chen, J.; Zeng, Z.; Liu, C. Properties of Starch after Extrusion: A Review. Starch-Stärke 2018, 70, 1700110. [Google Scholar] [CrossRef]
- González-Seligra, P.; Guz, L.; Ochoa-Yepes, O.; Goyanes, S.; Famá, L. Influence of Extrusion Process Conditions on Starch Film Morphology. LWT 2017, 84, 520–528. [Google Scholar] [CrossRef]
- Pushpadass, H.A.; Marx, D.B.; Hanna, M.A. Effects of Extrusion Temperature and Plasticizers on the Physical and Functional Properties of Starch Films. Starch-Stärke 2008, 60, 527–538. [Google Scholar] [CrossRef]
- Logié, N.; Della Valle, G.; Rolland-Sabaté, A.; Descamps, N.; Soulestin, J. How Does Temperature Govern Mechanisms of Starch Changes during Extrusion? Carbohydr. Polym. 2018, 184, 57–65. [Google Scholar] [CrossRef] [PubMed]
- Adewale, P.; Yancheshmeh, M.S.; Lam, E. Starch Modification for Non-Food, Industrial Applications: Market Intelligence and Critical Review. Carbohydr. Polym. 2022, 291, 119590. [Google Scholar] [CrossRef]
- Cheng, H.; Chen, L.; McClements, D.J.; Yang, T.; Zhang, Z.; Ren, F.; Miao, M.; Tian, Y.; Jin, Z. Starch-Based Biodegradable Packaging Materials: A Review of Their Preparation, Characterization and Diverse Applications in the Food Industry. Trends Food Sci. Technol. 2021, 114, 70–82. [Google Scholar] [CrossRef]
- Liu, G.; Gu, Z.; Hong, Y.; Cheng, L.; Li, C. Electrospun Starch Nanofibers: Recent Advances, Challenges, and Strategies for Potential Pharmaceutical Applications. J. Control. Release 2017, 252, 95–107. [Google Scholar] [CrossRef]
- Hanaa, J.; Abd Alradha, R.; Alzubaidy, A. Preparation and Characterization of Polyvinyl Alcohol/Starch/Bio Oil Extraction Blends Coating for Food Packaging Using Electrospinning Technique. Egypt. J. Chem. 2022, 66, 141–149. [Google Scholar] [CrossRef]
- Malafatti, J.O.D.; de Oliveira Ruellas, T.M.; Sciena, C.R.; Paris, E.C. PLA/Starch Biodegradable Fibers Obtained by the Electrospinning Method for Micronutrient Mineral Release. AIMS Mater. Sci. 2023, 10, 200–212. [Google Scholar] [CrossRef]
- Asl, M.A.; Karbasi, S.; Beigi-Boroujeni, S.; Zamanlui Benisi, S.; Saeed, M. Evaluation of the Effects of Starch on Polyhydroxybutyrate Electrospun Scaffolds for Bone Tissue Engineering Applications. Int. J. Biol. Macromol. 2021, 191, 500–513. [Google Scholar] [CrossRef] [PubMed]
- Wang, N.; Yu, J.; Chang, P.R.; Ma, X. Influence of Formamide and Water on the Properties of Thermoplastic Starch/Poly(Lactic Acid) Blends. Carbohydr. Polym. 2008, 71, 109–118. [Google Scholar] [CrossRef]
- Li, H.; Huneault, M.A. Comparison of Sorbitol and Glycerol as Plasticizers for Thermoplastic Starch in TPS/PLA Blends. J. Appl. Polym. Sci. 2011, 119, 2439–2448. [Google Scholar] [CrossRef]
- Lauer, M.K.; Smith, R.C. Recent Advances in Starch-based Films toward Food Packaging Applications: Physicochemical, Mechanical, and Functional Properties. Compr. Rev. Food Sci. Food Saf. 2020, 19, 3031–3083. [Google Scholar] [CrossRef]
- Angellier, H.; Molina-Boisseau, S.; Dole, P.; Dufresne, A. Thermoplastic Starch− Waxy Maize Starch Nanocrystals Nanocomposites. Biomacromolecules 2006, 7, 531–539. [Google Scholar] [CrossRef]
- Jiugao, Y.; Ning, W.; Xiaofei, M. The Effects of Citric Acid on the Properties of Thermoplastic Starch Plasticized by Glycerol. Starch-Stärke 2005, 57, 494–504. [Google Scholar] [CrossRef]
- Jia, P.; Xia, H.; Tang, K.; Zhou, Y. Plasticizers Derived from Biomass Resources: A Short Review. Polymers 2018, 10, 1303. [Google Scholar] [CrossRef]
- Zdanowicz, M.; Johansson, C. Mechanical and Barrier Properties of Starch-Based Films Plasticized with Two-or Three Component Deep Eutectic Solvents. Carbohydr. Polym. 2016, 151, 103–112. [Google Scholar] [CrossRef]
- Montilla-Buitrago, C.E.; Gómez-López, R.A.; Solanilla-Duque, J.F.; Serna-Cock, L.; Villada-Castillo, H.S. Effect of Plasticizers on Properties, Retrogradation, and Processing of Extrusion-obtained Thermoplastic Starch: A Review. Starch-Stärke 2021, 73, 2100060. [Google Scholar] [CrossRef]
- Yang, J.-H.; Yu, J.-G.; Ma, X.-F. Study on the Properties of Ethylenebisformamide and Sorbitol Plasticized Corn Starch (ESPTPS). Carbohydr. Polym. 2006, 66, 110–116. [Google Scholar] [CrossRef]
- Esmaeili, M.; Pircheraghi, G.; Bagheri, R. Optimizing the Mechanical and Physical Properties of Thermoplastic Starch via Tuning the Molecular Microstructure through Co-plasticization by Sorbitol and Glycerol. Polym. Int. 2017, 66, 809–819. [Google Scholar] [CrossRef]
- Krogars, K.; Heinämäki, J.; Karjalainen, M.; Niskanen, A.; Leskelä, M.; Yliruusi, J. Enhanced Stability of Rubbery Amylose-Rich Maize Starch Films Plasticized with a Combination of Sorbitol and Glycerol. Int. J. Pharm. 2003, 251, 205–208. [Google Scholar] [CrossRef]
- Battegazzore, D.; Bocchini, S.; Nicola, G.; Martini, E.; Frache, A. Isosorbide, a Green Plasticizer for Thermoplastic Starch That Does Not Retrogradate. Carbohydr. Polym. 2015, 119, 78–84. [Google Scholar] [CrossRef]
- Zuo, Y.; Gu, J.; Tan, H.; Zhang, Y. Thermoplastic Starch Prepared with Different Plasticizers: Relation between Degree of Plasticization and Properties. J. Wuhan Univ. Technol. Mater. Sci. Ed. 2015, 30, 423–428. [Google Scholar] [CrossRef]
- Thomas, M.S.; Richard, V.G. Amino Acids as Plasticizers for Starch-Based Plastics. Starch-Stärke 1997, 49, 245–249. [Google Scholar]
- Ma, X.F.; Yu, J.G.; Wan, J.J. Urea and Ethanolamine as a Mixed Plasticizer for Thermoplastic Starch. Carbohydr. Polym. 2006, 64, 267–273. [Google Scholar] [CrossRef]
- Edhirej, A.; Sapuan, S.M.; Jawaid, M.; Zahari, N.I. Effect of Various Plasticizers and Concentration on the Physical, Thermal, Mechanical, and Structural Properties of Cassava-Starch-Based Films. Starch-Stärke 2017, 69, 1500366. [Google Scholar] [CrossRef]
- Lin, N.; Huang, J.; Chang, P.R.; Anderson, D.P.; Yu, J. Preparation, Modification, and Application of Starch Nanocrystals in Nanomaterials: A Review. J. Nanomater. 2011, 2011, 573687. [Google Scholar] [CrossRef]
- Dufresne, A. Polysaccharide Nano Crystal Reinforced Nanocomposites. Can. J. Chem. 2008, 86, 484–494. [Google Scholar] [CrossRef]
- Zhang, G.; Wu, D.; Xie, W.; Wang, Z.; Xu, C. Green Poly(β-Hydroxybutyrate)/Starch Nanocrystal Composites: Tuning the Nucleation and Spherulite Morphology through Surface Acetylation of Starch Nanocrystal. Carbohydr. Polym. 2018, 195, 79–88. [Google Scholar] [CrossRef] [PubMed]
- Sharafi Zamir, S.; Fathi, B.; Ajji, A.; Robert, M.; Elkoun, S. Crystallinity and Gas Permeability of Poly (Lactic Acid)/Starch Nanocrystal Nanocomposite. Polymers 2022, 14, 2802. [Google Scholar] [CrossRef] [PubMed]
- Nakamura, Y. (Ed.) Starch; Springer: Tokyo, Japan, 2015; ISBN 978-4-431-55494-3. [Google Scholar]
- Smith, A.M.; Zeeman, S.C.; Smith, S.M. STARCH DEGRADATION. Annu. Rev. Plant Biol. 2005, 56, 73–98. [Google Scholar] [CrossRef]
- Sanyang, M.L.; Sapuan, S.M.; Jawaid, M.; Ishak, M.R.; Sahari, J. Development and Characterization of Sugar Palm Starch and Poly(Lactic Acid) Bilayer Films. Carbohydr. Polym. 2016, 146, 36–45. [Google Scholar] [CrossRef]
- Thoorens, G.; Krier, F.; Leclercq, B.; Carlin, B.; Evrard, B. Microcrystalline Cellulose, a Direct Compression Binder in a Quality by Design Environment—A Review. Int. J. Pharm. 2014, 473, 64–72. [Google Scholar] [CrossRef]
- Habibi, Y. Key Advances in the Chemical Modification of Nanocelluloses. Chem. Soc. Rev. 2014, 43, 1519–1542. [Google Scholar] [CrossRef]
- Wang, J.; Tavakoli, J.; Tang, Y. Bacterial Cellulose Production, Properties and Applications with Different Culture Methods—A Review. Carbohydr. Polym. 2019, 219, 63–76. [Google Scholar] [CrossRef]
- Siqueira, G.; Bras, J.; Dufresne, A. Cellulosic Bionanocomposites: A Review of Preparation, Properties and Applications. Polymers 2010, 2, 728–765. [Google Scholar] [CrossRef]
- Brinchi, L.; Cotana, F.; Fortunati, E.; Kenny, J.M. Production of Nanocrystalline Cellulose from Lignocellulosic Biomass: Technology and Applications. Carbohydr. Polym. 2013, 94, 154–169. [Google Scholar] [CrossRef]
- Arrieta, M.P.; Peltzer, M.A.; López, J.; Peponi, L. PLA-Based Nanocomposites Reinforced with CNC for Food Packaging Applications: From Synthesis to Biodegradation. In Industrial Applications of Renewable Biomass Products; Springer International Publishing: Cham, Switzerland, 2017; pp. 265–300. [Google Scholar]
- Lavoine, N.; Desloges, I.; Bras, J. Microfibrillated Cellulose Coatings as New Release Systems for Active Packaging. Carbohydr. Polym. 2014, 103, 528–537. [Google Scholar] [CrossRef] [PubMed]
- Ramírez Tapias, Y.A.; Di Monte, M.V.; Peltzer, M.A.; Salvay, A.G. Bacterial Cellulose Films Production by Kombucha Symbiotic Community Cultured on Different Herbal Infusions. Food Chem. 2022, 372, 131346. [Google Scholar] [CrossRef] [PubMed]
- Machado, B.; Costa, S.M.; Costa, I.; Fangueiro, R.; Ferreira, D.P. The Potential of Algae as a Source of Cellulose and Its Derivatives for Biomedical Applications. Cellulose 2024, 31, 3353–3376. [Google Scholar] [CrossRef]
- Liu, Z.; Wang, Y.; Guo, S.; Liu, J.; Zhu, P. Preparation and Characterization of Bacterial Cellulose Synthesized by Kombucha from Vinegar Residue. Int. J. Biol. Macromol. 2024, 258, 128939. [Google Scholar] [CrossRef]
- Agüero, A.; Lascano, D.; Ivorra-Martinez, J.; Gómez-Caturla, J.; Arrieta, M.P.; Balart, R. Use of Bacterial Cellulose Obtained from Kombucha Fermentation in Spent Coffee Grounds for Active Composites Based on PLA and Maleinized Linseed Oil. Ind. Crops Prod. 2023, 202, 116971. [Google Scholar] [CrossRef]
- Agüero, Á.; Corral Perianes, E.; Abarca de las Muelas, S.S.; Lascano, D.; de la Fuente García-Soto, M.D.M.; Peltzer, M.A.; Balart, R.; Arrieta, M.P. Plasticized Mechanical Recycled PLA Films Reinforced with Microbial Cellulose Particles Obtained from Kombucha Fermented in Yerba Mate Waste. Polymers 2023, 15, 285. [Google Scholar] [CrossRef]
- Siqueira, G.; Bras, J.; Dufresne, A. Cellulose Whiskers versus Microfibrils: Influence of the Nature of the Nanoparticle and Its Surface Functionalization on the Thermal and Mechanical Properties of Nanocomposites. Biomacromolecules 2009, 10, 425–432. [Google Scholar] [CrossRef]
- Jonoobi, M.; Oladi, R.; Davoudpour, Y.; Oksman, K.; Dufresne, A.; Hamzeh, Y.; Davoodi, R. Different Preparation Methods and Properties of Nanostructured Cellulose from Various Natural Resources and Residues: A Review. Cellulose 2015, 22, 935–969. [Google Scholar] [CrossRef]
- Missoum, K.; Belgacem, M.N.; Bras, J. Nanofibrillated Cellulose Surface Modification: A Review. Materials 2013, 6, 1745–1766. [Google Scholar] [CrossRef]
- Miao, C.; Hamad, W.Y. Cellulose Reinforced Polymer Composites and Nanocomposites: A Critical Review. Cellulose 2013, 20, 2221–2262. [Google Scholar] [CrossRef]
- Abdul Khalil, H.P.S.; Bhat, A.H.; Ireana Yusra, A.F. Green Composites from Sustainable Cellulose Nanofibrils: A Review. Carbohydr. Polym. 2012, 87, 963–979. [Google Scholar] [CrossRef]
- Pei, A.; Zhou, Q.; Berglund, L.A. Functionalized Cellulose Nanocrystals as Biobased Nucleation Agents in Poly(l-Lactide) (PLLA)—Crystallization and Mechanical Property Effects. Compos. Sci. Technol. 2010, 70, 815–821. [Google Scholar] [CrossRef]
- Bondeson, D.; Mathew, A.; Oksman, K. Optimization of the Isolation of Nanocrystals from Microcrystalline Cellulose by Acid Hydrolysis. Cellulose 2006, 13, 171–180. [Google Scholar] [CrossRef]
- Fortunati, E.; Peltzer, M.; Armentano, I.; Torre, L.; Jiménez, A.; Kenny, J.M. Effects of Modified Cellulose Nanocrystals on the Barrier and Migration Properties of PLA Nano-Biocomposites. Carbohydr. Polym. 2012, 90, 948–956. [Google Scholar] [CrossRef] [PubMed]
- Arrieta, M.P.; Fortunati, E.; Burgos, N.; Peltzer, M.A.; López, J.; Peponi, L. Nanocellulose-Based Polymeric Blends for Food Packaging Applications. In Multifunctional Polymeric Nanocomposites Based on Cellulosic Reinforcements; William Andrew Publishing: Norwich, NY, USA, 2016; pp. 205–252. [Google Scholar]
- Bondeson, D.; Oksman, K. Dispersion and Characteristics of Surfactant Modified Cellulose Whiskers Nanocomposites. Compos. Interfaces 2007, 14, 617–630. [Google Scholar] [CrossRef]
- Mariano, M.; El Kissi, N.; Dufresne, A. Cellulose Nanocrystals and Related Nanocomposites: Review of Some Properties and Challenges. J. Polym. Sci. B Polym. Phys. 2014, 52, 791–806. [Google Scholar] [CrossRef]
- Shah, N.; Ul-Islam, M.; Khattak, W.A.; Park, J.K. Overview of Bacterial Cellulose Composites: A Multipurpose Advanced Material. Carbohydr. Polym. 2013, 98, 1585–1598. [Google Scholar] [CrossRef]
- Tapias, Y.A.R.; Di Monte, M.V.; Peltzer, M.A.; Salvay, A.G. Kombucha Fermentation in Yerba Mate: Cellulose Production, Films Formulation and Its Characterisation. Carbohydr. Polym. Technol. Appl. 2023, 5, 100310. [Google Scholar] [CrossRef]
- Blanco Parte, F.G.; Santoso, S.P.; Chou, C.-C.; Verma, V.; Wang, H.-T.; Ismadji, S.; Cheng, K.-C. Current Progress on the Production, Modification, and Applications of Bacterial Cellulose. Crit. Rev. Biotechnol. 2020, 40, 397–414. [Google Scholar] [CrossRef]
- Gullo, M.; La China, S.; Falcone, P.M.; Giudici, P. Biotechnological Production of Cellulose by Acetic Acid Bacteria: Current State and Perspectives. Appl. Microbiol. Biotechnol. 2018, 102, 6885–6898. [Google Scholar] [CrossRef]
- Spinella, S.; Lo Re, G.; Liu, B.; Dorgan, J.; Habibi, Y.; Leclère, P.; Raquez, J.-M.; Dubois, P.; Gross, R.A. Polylactide/Cellulose Nanocrystal Nanocomposites: Efficient Routes for Nanofiber Modification and Effects of Nanofiber Chemistry on PLA Reinforcement. Polymer 2015, 65, 9–17. [Google Scholar] [CrossRef]
- Auras, R.; Harte, B.; Selke, S. An Overview of Polylactides as Packaging Materials. Macromol. Biosci. 2004, 4, 835–864. [Google Scholar] [CrossRef] [PubMed]
- Garcia-Garcia, D.; Quiles-Carrillo, L.; Balart, R.; Torres-Giner, S.; Arrieta, M.P. Innovative Solutions and Challenges to Increase the Use of Poly(3-Hydroxybutyrate) in Food Packaging and Disposables. Eur. Polym. J. 2022, 178, 111505. [Google Scholar] [CrossRef]
- Oksman, K.; Mathew, A.P.; Bondeson, D.; Kvien, I. Manufacturing Process of Cellulose Whiskers/Polylactic Acid Nanocomposites. Compos. Sci. Technol. 2006, 66, 2776–2784. [Google Scholar] [CrossRef]
- S. de O. Patrício, P.; Pereira, F.V.; dos Santos, M.C.; de Souza, P.P.; Roa, J.P.; Orefice, R.L. Increasing the Elongation at Break of Polyhydroxybutyrate Biopolymer: Effect of Cellulose Nanowhiskers on Mechanical and Thermal Properties. J. Appl. Polym. Sci. 2013, 127, 3613–3621. [Google Scholar] [CrossRef]
- Chen, J.; Deng, L.; Chen, Q. Influence of Different Dimensional Nanoparticles on the Properties of Poly(β-Hydroxybutyrate-Co-Valerate) Nanocomposites. J. Polym. Eng. 2024, 44, 162–172. [Google Scholar] [CrossRef]
- Arrieta, M.P.; Fortunati, E.; Dominici, F.; López, J.; Kenny, J.M. Bionanocomposite Films Based on Plasticized PLA-PHB/Cellulose Nanocrystal Blends. Carbohydr. Polym. 2015, 121, 265–275. [Google Scholar] [CrossRef]
- Arrieta, M.P.; López, J.; López, D.; Kenny, J.M.; Peponi, L. Biodegradable Electrospun Bionanocomposite Fibers Based on Plasticized PLA–PHB Blends Reinforced with Cellulose Nanocrystals. Ind. Crops Prod. 2016, 93, 290–301. [Google Scholar] [CrossRef]
- Arrieta, M.P.; Fortunati, E.; Dominici, F.; Rayón, E.; López, J.; Kenny, J.M. PLA-PHB/Cellulose Based Films: Mechanical, Barrier and Disintegration Properties. Polym. Degrad. Stab. 2014, 107, 139–149. [Google Scholar] [CrossRef]
- Xie, F.; Pollet, E.; Halley, P.J.; Avérous, L. Starch-Based Nano-Biocomposites. Prog. Polym. Sci. 2013, 38, 1590–1628. [Google Scholar] [CrossRef]
- González, K.; Iturriaga, L.; González, A.; Eceiza, A.; Gabilondo, N. Improving Mechanical and Barrier Properties of Thermoplastic Starch and Polysaccharide Nanocrystals Nanocomposites. Eur. Polym. J. 2020, 123, 109415. [Google Scholar] [CrossRef]
- McCormick, C.L.; Callais, P.A.; Hutchinson, B.H., Jr. Solution Studies of Cellulose in Lithium Chloride and N,N-Dimethylacetamide. Macromolecules 1985, 18, 2394–2401. [Google Scholar] [CrossRef]
- Jeong, M.J.; Lee, S.; Yang, B.S.; Potthast, A.; Kang, K.Y. Cellulose Degradation by Calcium Thiocyanate. Polymers 2019, 11, 1494. [Google Scholar] [CrossRef] [PubMed]
- Cai, J.; Zhang, L. Rapid Dissolution of Cellulose in LiOH/Urea and NaOH/Urea Aqueous Solutions. Macromol. Biosci. 2005, 5, 539–548. [Google Scholar] [CrossRef] [PubMed]
- Benini, K.C.; Cioffi, M.O.H.; Voorwald, H.J.C. PHBV/Cellulose Nanofibrils Composites Obtained by Solution Casting and Electrospinning Process. Matéria 2017, 22, e11837. [Google Scholar] [CrossRef]
- Paquet, O.; Krouit, M.; Bras, J.; Thielemans, W.; Belgacem, M.N. Surface Modification of Cellulose by PCL Grafts. Acta Mater. 2010, 58, 792–801. [Google Scholar] [CrossRef]
- Navarro-Baena, I.; Kenny, J.M.; Peponi, L. Thermally-Activated Shape Memory Behaviour of Bionanocomposites Reinforced with Cellulose Nanocrystals. Cellulose 2014, 21, 4231–4246. [Google Scholar] [CrossRef][Green Version]
- Peltzer, M.; Pei, A.; Zhou, Q.; Berglund, L.; Jiménez, A. Surface Modification of Cellulose Nanocrystals by Grafting with Poly(Lactic Acid). Polym. Int. 2014, 63, 1056–1062. [Google Scholar] [CrossRef]
- Sessini, V.; Navarro-Baena, I.; Arrieta, M.P.; Dominici, F.; López, D.; Torre, L.; Kenny, J.M.; Dubois, P.; Raquez, J.-M.; Peponi, L. Effect of the Addition of Polyester-Grafted-Cellulose Nanocrystals on the Shape Memory Properties of Biodegradable PLA/PCL Nanocomposites. Polym. Degrad. Stab. 2018, 152, 126–138. [Google Scholar] [CrossRef]
- Mujica-Garcia, A.; Hooshmand, S.; Skrifvars, M.; Kenny, J.M.; Oksman, K.; Peponi, L. Poly(Lactic Acid) Melt-Spun Fibers Reinforced with Functionalized Cellulose Nanocrystals. RSC Adv. 2016, 6, 9221–9231. [Google Scholar] [CrossRef]
- Peponi, L.; Barrera-Rivera, K.A.; Kenny, J.M.; Marcos-Fernandez, Á.; Martinez-Richa, A.; López, D. Bio-Catalysis for the Functionalization of Cellulose Nanocrystals. Nanomaterials 2022, 12, 4064. [Google Scholar] [CrossRef] [PubMed]
- Bovi, J.; Delgado, J.F.; de la Osa, O.; Peltzer, M.A.; Bernal, C.R.; Foresti, M.L. Biobased Composites of Poly(Lactic Acid) Melt Compounded with Bacterial and Vegetal Nanocelluloses Incorporated through Different Strategies. Polymers 2024, 16, 898. [Google Scholar] [CrossRef] [PubMed]
- He, Z.-W.; Yang, J.; Lü, Q.-F.; Lin, Q. Effect of Structure on the Electrochemical Performance of Nitrogen- and Oxygen-Containing Carbon Micro/Nanospheres Prepared from Lignin-Based Composites. ACS Sustain. Chem. Eng. 2013, 1, 334–340. [Google Scholar] [CrossRef]
- He, Z.; Wang, M.; Ma, S. Porous Lignin-Based Composites for Oil/Water Separation: A Review. Int. J. Biol. Macromol. 2024, 260, 129569. [Google Scholar] [CrossRef] [PubMed]
- Das, A.K.; Mitra, K.; Conte, A.J.; Sarker, A.; Chowdhury, A.; Ragauskas, A.J. Lignin-A Green Material for Antibacterial Application—A Review. Int. J. Biol. Macromol. 2024, 261, 129753. [Google Scholar] [CrossRef]
- Bujanovic, B.; Ralph, S.; Reiner, R.; Hirth, K.; Atalla, R. Polyoxometalates in Oxidative Delignification of Chemical Pulps: Effect on Lignin. Materials 2010, 3, 1888–1903. [Google Scholar] [CrossRef]
- Wang, Y.; Chantreau, M.; Sibout, R.; Hawkins, S. Plant Cell Wall Lignification and Monolignol Metabolism. Front. Plant Sci. 2013, 4, 220. [Google Scholar] [CrossRef]
- Dixon, R.A.; Chen, F.; Guo, D.; Parvathi, K. The Biosynthesis of Monolignols: A “Metabolic Grid”, or Independent Pathways to Guaiacyl and Syringyl Units? Phytochemistry 2001, 57, 1069–1084. [Google Scholar] [CrossRef]
- Vasile, C.; Baican, M. Lignins as Promising Renewable Biopolymers and Bioactive Compounds for High-Performance Materials. Polymers 2023, 15, 3177. [Google Scholar] [CrossRef]
- Tanis, M.H.; Wallberg, O.; Galbe, M.; Al-Rudainy, B. Lignin Extraction by Using Two-Step Fractionation: A Review. Molecules 2023, 29, 98. [Google Scholar] [CrossRef]
- Moreno, A.; Sipponen, M.H. Lignin-Based Smart Materials: A Roadmap to Processing and Synthesis for Current and Future Applications. Mater. Horiz. 2020, 7, 2237–2257. [Google Scholar] [CrossRef]
- Nunes da Silva, V.F.; Farias de Menezes, F.; Gonçalves, A.R.; Martín, C.; de Moraes Rocha, G.J. Modulating the Properties and Structure of Lignins Produced by Alkaline Delignification of Sugarcane Bagasse Pretreated with Two Different Mineral Acids at Pilot-Scale. Int. J. Biol. Macromol. 2024, 263, 130111. [Google Scholar] [CrossRef]
- Liu, W.; Li, Z.; Ren, Q.; Jiang, C.; Feng, J.; Hou, Q. Upgrading Lignin Macromolecular by Green and Recyclable Ternary Deep Eutectic Solvents. Bioresour. Technol. 2024, 394, 130230. [Google Scholar] [CrossRef] [PubMed]
- Arrieta, M.P.; Peponi, L.; López, D.; Fernández-García, M. Recovery of Yerba Mate (Ilex Paraguariensis) Residue for the Development of PLA-Based Bionanocomposite Films. Ind. Crops Prod. 2018, 111, 317–328. [Google Scholar] [CrossRef]
- Fortunati, E.; Yang, W.; Luzi, F.; Kenny, J.; Torre, L.; Puglia, D. Lignocellulosic Nanostructures as Reinforcement in Extruded and Solvent Casted Polymeric Nanocomposites: An Overview. Eur. Polym. J. 2016, 80, 295–316. [Google Scholar] [CrossRef]
- Gupta, A.K.; Mohanty, S.; Nayak, S.K. Synthesis, Characterization and Application of Lignin Nanoparticles (LNPs). Mater. Focus. 2014, 3, 444–454. [Google Scholar] [CrossRef]
- Frangville, C.; Rutkevičius, M.; Richter, A.P.; Velev, O.D.; Stoyanov, S.D.; Paunov, V.N. Fabrication of Environmentally Biodegradable Lignin Nanoparticles. ChemPhysChem 2012, 13, 4235–4243. [Google Scholar] [CrossRef]
- Yang, W.; Fortunati, E.; Dominici, F.; Kenny, J.M.; Puglia, D. Effect of Processing Conditions and Lignin Content on Thermal, Mechanical and Degradative Behavior of Lignin Nanoparticles/Polylactic (Acid) Bionanocomposites Prepared by Melt Extrusion and Solvent Casting. Eur. Polym. J. 2015, 71, 126–139. [Google Scholar] [CrossRef]
- Lugoloobi, I.; Li, X.; Zhang, Y.; Mao, Z.; Wang, B.; Sui, X.; Feng, X. Fabrication of Lignin/Poly(3-Hydroxybutyrate) Nanocomposites with Enhanced Properties via a Pickering Emulsion Approach. Int. J. Biol. Macromol. 2020, 165, 3078–3087. [Google Scholar] [CrossRef]
- Wan, Z.; Zhang, H.; Guo, Y.; Li, H. Advances in Catalytic Depolymerization of Lignin. ChemistrySelect 2022, 7, e202202582. [Google Scholar] [CrossRef]
- Nisha, S.S.; Nikzad, M.; Al Kobaisi, M.; Truong, V.K.; Sbarski, I. The Role of Ionic-Liquid Extracted Lignin Micro/Nanoparticles for Functionalisation of an Epoxy-Based Composite Matrix. Compos. Sci. Technol. 2019, 174, 11–19. [Google Scholar] [CrossRef]
- Prakash, V.R.A.; Bourchak, M.; Alshahrani, H.; Juhany, K.A. Development of Cashew Nut Shell Lignin-Acrylonitrile Butadiene Styrene 3D Printed Core and Industrial Hemp/Aluminized Glass Fiber Epoxy Biocomposite for Morphing Wing and Unmanned Aerial Vehicle Applications. Int. J. Biol. Macromol. 2023, 253, 127068. [Google Scholar] [CrossRef] [PubMed]
- Nguyen, N.A.; Barnes, S.H.; Bowland, C.C.; Meek, K.M.; Littrell, K.C.; Keum, J.K.; Naskar, A.K. A Path for Lignin Valorization via Additive Manufacturing of High-Performance Sustainable Composites with Enhanced 3D Printability. Sci. Adv. 2018, 4, eaat4967. [Google Scholar] [CrossRef] [PubMed]
- Tanase-Opedal, M.; Espinosa, E.; Rodríguez, A.; Chinga-Carrasco, G. Lignin: A Biopolymer from Forestry Biomass for Biocomposites and 3D Printing. Materials 2019, 12, 3006. [Google Scholar] [CrossRef] [PubMed]
- Souto, F.; Calado, V.; Pereira, N. Lignin-Based Carbon Fiber: A Current Overview. Mater. Res. Express 2018, 5, 072001. [Google Scholar] [CrossRef]
- Balakshin, M.Y.; Capanema, E.A. Comprehensive Structural Analysis of Biorefinery Lignins with a Quantitative 13C NMR Approach. RSC Adv. 2015, 5, 87187–87199. [Google Scholar] [CrossRef]
- Figueiredo, P.; Lintinen, K.; Hirvonen, J.T.; Kostiainen, M.A.; Santos, H.A. Properties and Chemical Modifications of Lignin: Towards Lignin-Based Nanomaterials for Biomedical Applications. Prog. Mater. Sci. 2018, 93, 233–269. [Google Scholar] [CrossRef]
- Laurichesse, S.; Avérous, L. Chemical Modification of Lignins: Towards Biobased Polymers. Prog. Polym. Sci. 2014, 39, 1266–1290. [Google Scholar] [CrossRef]
- Datta, R.; Kelkar, A.; Baraniya, D.; Molaei, A.; Moulick, A.; Meena, R.; Formanek, P. Enzymatic Degradation of Lignin in Soil: A Review. Sustainability 2017, 9, 1163. [Google Scholar] [CrossRef]
- Martínez, A.T.; Speranza, M.; Ruiz-Dueñas, F.J.; Ferreira, P.; Camarero, S.; Guillén, F.; Martínez, M.J.; Gutiérrez, A.; del Río, J.C. Biodegradation of Lignocellulosics: Microbial, Chemical, and Enzymatic Aspects of the Fungal Attack of Lignin. Int. Microbiol. 2005, 8, 195–204. [Google Scholar]
- Bumpus, J.A.; Aust, S.D. Biodegradation of Environmental Pollutants by the White Rot Fungus Phanerochaete Chrysosporium: Involvement of the Lignin Degrading System. BioEssays 1987, 6, 166–170. [Google Scholar] [CrossRef]
- Bugg, T.D.H.; Ahmad, M.; Hardiman, E.M.; Rahmanpour, R. Pathways for Degradation of Lignin in Bacteria and Fungi. Nat. Prod. Rep. 2011, 28, 1883. [Google Scholar] [CrossRef] [PubMed]
- Atiwesh, G.; Parrish, C.C.; Banoub, J.; Le, T.T. Lignin Degradation by Microorganisms: A Review. Biotechnol. Prog. 2022, 38, e3226. [Google Scholar] [CrossRef] [PubMed]
- Ramachandra, M.; Crawford, D.L.; Hertel, G. Characterization of an Extracellular Lignin Peroxidase of the Lignocellulolytic Actinomycete Streptomyces Viridosporus. Appl. Environ. Microbiol. 1988, 54, 3057–3063. [Google Scholar] [CrossRef]
- Ahmad, M.; Roberts, J.N.; Hardiman, E.M.; Singh, R.; Eltis, L.D.; Bugg, T.D.H. Identification of DypB from Rhodococcus Jostii RHA1 as a Lignin Peroxidase. Biochemistry 2011, 50, 5096–5107. [Google Scholar] [CrossRef]
- Brown, M.E.; Barros, T.; Chang, M.C.Y. Identification and Characterization of a Multifunctional Dye Peroxidase from a Lignin-Reactive Bacterium. ACS Chem. Biol. 2012, 7, 2074–2081. [Google Scholar] [CrossRef]
- Rahmanpour, R.; Bugg, T.D.H. Characterisation of Dyp-Type Peroxidases from Pseudomonas Fluorescens Pf-5: Oxidation of Mn(II) and Polymeric Lignin by Dyp1B. Arch. Biochem. Biophys. 2015, 574, 93–98. [Google Scholar] [CrossRef]
- Rahmanpour, R.; Rea, D.; Jamshidi, S.; Fülöp, V.; Bugg, T.D.H. Structure of Thermobifida Fusca DyP-Type Peroxidase and Activity towards Kraft Lignin and Lignin Model Compounds. Arch. Biochem. Biophys. 2016, 594, 54–60. [Google Scholar] [CrossRef]
- DeAngelis, K.M.; Allgaier, M.; Chavarria, Y.; Fortney, J.L.; Hugenholtz, P.; Simmons, B.; Sublette, K.; Silver, W.L.; Hazen, T.C. Characterization of Trapped Lignin-Degrading Microbes in Tropical Forest Soil. PLoS ONE 2011, 6, e19306. [Google Scholar] [CrossRef]
- Duan, J.; Liang, J.; Wang, Y.; Du, W.; Wang, D. Kraft Lignin Biodegradation by Dysgonomonas sp. WJDL-Y1, a New Anaerobic Bacterial Strain Isolated from Sludge of a Pulp and Paper Mill. J. Microbiol. Biotechnol. 2016, 26, 1765–1773. [Google Scholar] [CrossRef]
- Rashid, G.M.M.; Durán-Peña, M.J.; Rahmanpour, R.; Sapsford, D.; Bugg, T.D.H. Delignification and Enhanced Gas Release from Soil Containing Lignocellulose by Treatment with Bacterial Lignin Degraders. J. Appl. Microbiol. 2017, 123, 159–171. [Google Scholar] [CrossRef] [PubMed]
- Kim, S.J.; Shoda, M. Purification and Characterization of a Novel Peroxidase from Geotrichum candidum Dec 1 Involved in Decolorization of Dyes. Appl. Environ. Microbiol. 1999, 65, 1029–1035. [Google Scholar] [CrossRef] [PubMed]
- Yoshida, T.; Sugano, Y. A Structural and Functional Perspective of DyP-Type Peroxidase Family. Arch. Biochem. Biophys. 2015, 574, 49–55. [Google Scholar] [CrossRef] [PubMed]
- Brebu, M.; Vasile, C. Thermal degradation of lignin—A review. Cellul. Chem. Technol. 2010, 44, 353. [Google Scholar]
- Chu, S.; Subrahmanyam, A.V.; Huber, G.W. The Pyrolysis Chemistry of a β-O-4 Type Oligomeric Lignin Model Compound. Green. Chem. 2013, 15, 125–136. [Google Scholar] [CrossRef]
- Kim, J.-Y.; Shin, E.-J.; Eom, I.-Y.; Won, K.; Kim, Y.H.; Choi, D.; Choi, I.-G.; Choi, J.W. Structural Features of Lignin Macromolecules Extracted with Ionic Liquid from Poplar Wood. Bioresour. Technol. 2011, 102, 9020–9025. [Google Scholar] [CrossRef]
- El Moustaqim, M.; El Kaihal, A.; El Marouani, M.; Men-La-Yakhaf, S.; Taibi, M.; Sebbahi, S.; El Hajjaji, S.; Kifani-Sahban, F. Thermal and Thermomechanical Analyses of Lignin. Sustain. Chem. Pharm. 2018, 9, 63–68. [Google Scholar] [CrossRef]
- Issahaku, I.; Tetteh, I.K.; Tetteh, A.Y. Chitosan and Chitosan Derivatives: Recent Advancements in Production and Applications in Environmental Remediation. Environ. Adv. 2023, 11, 100351. [Google Scholar] [CrossRef]
- Mikušová, V.; Mikuš, P.; Piozzi, A. Advances in Chitosan-Based Nanoparticles for Drug Delivery. Int. J. Mol. Sci. 2021, 22, 9652. [Google Scholar] [CrossRef]
- Haider, A.; Khan, S.; Iqbal, D.N.; Shrahili, M.; Haider, S.; Mohammad, K.; Mohammad, A.; Rizwan, M.; Kanwal, Q.; Mustafa, G. Advances in Chitosan-Based Drug Delivery Systems: A Comprehensive Review for Therapeutic Applications. Eur. Polym. J. 2024, 210, 112983. [Google Scholar] [CrossRef]
- Lv, Y.; Zhai, C.; Sun, G.; He, Y. Chitosan as a Promising Materials for the Construction of Nanocarriers for Diabetic Retinopathy: An Updated Review. J. Biol. Eng. 2024, 18, 18. [Google Scholar] [CrossRef] [PubMed]
- Dohendou, M.; Pakzad, K.; Nezafat, Z.; Nasrollahzadeh, M.; Dekamin, M.G. Progresses in Chitin, Chitosan, Starch, Cellulose, Pectin, Alginate, Gelatin and Gum Based (Nano)Catalysts for the Heck Coupling Reactions: A Review. Int. J. Biol. Macromol. 2021, 192, 771–819. [Google Scholar] [CrossRef] [PubMed]
- Pérez-Álvarez, L.; Ruiz-Rubio, L.; Vilas-Vilela, J.L. Determining the Deacetylation Degree of Chitosan: Opportunities To Learn Instrumental Techniques. J. Chem. Educ. 2018, 95, 1022–1028. [Google Scholar] [CrossRef]
- Pellis, A.; Guebitz, G.M.; Nyanhongo, G.S. Chitosan: Sources, Processing and Modification Techniques. Gels 2022, 8, 393. [Google Scholar] [CrossRef] [PubMed]
- Foster, L.J.R.; Ho, S.; Hook, J.; Basuki, M.; Marçal, H. Chitosan as a Biomaterial: Influence of Degree of Deacetylation on Its Physiochemical, Material and Biological Properties. PLoS ONE 2015, 10, e0135153. [Google Scholar] [CrossRef] [PubMed]
- Yu, M.; Zhang, K.; Guo, X.; Qian, L. Effects of the Degree of Deacetylation on the Single-Molecule Mechanics of Chitosans. J. Phys. Chem. B 2023, 127, 4261–4267. [Google Scholar] [CrossRef]
- Kono, H.; Kato, T. Elucidation of Substituent Distribution States for Carboxymethyl Chitosan by Detailed NMR Analysis. Carbohydr. Polym. Technol. Appl. 2021, 2, 100175. [Google Scholar] [CrossRef]
- Khan, A.; Alamry, K.A. Recent Advances of Emerging Green Chitosan-Based Biomaterials with Potential Biomedical Applications: A Review. Carbohydr. Res. 2021, 506, 108368. [Google Scholar] [CrossRef]
- El-Araby, A.; Janati, W.; Ullah, R.; Ercisli, S.; Errachidi, F. Chitosan, Chitosan Derivatives, and Chitosan-Based Nanocomposites: Eco-Friendly Materials for Advanced Applications (a Review). Front. Chem. 2023, 11, 1327426. [Google Scholar] [CrossRef]
- Lingait, D.; Rahagude, R.; Gaharwar, S.S.; Das, R.S.; Verma, M.G.; Srivastava, N.; Kumar, A.; Mandavgane, S. A Review on Versatile Applications of Biomaterial/Polycationic Chitosan: An Insight into the Structure-Property Relationship. Int. J. Biol. Macromol. 2024, 257, 128676. [Google Scholar] [CrossRef]
- Mahmoud, M.G.; El Kady, E.M.; Asker, M.S. Chitosan and Glucan, Properties and Applications. World J. Agric. Soil. Sci. 2019, 3, 1–19. [Google Scholar] [CrossRef]
- Kandile, N.G.; Zaky, H.T.; Mohamed, M.I.; Nasr, A.S.; Ali, Y.G. Extraction and Characterization of Chitosan from Shrimp Shells. Open J. Org. Polym. Mater. 2018, 8, 33–42. [Google Scholar] [CrossRef]
- Ali, M.; Shakeel, M.; Mehmood, K. Extraction and Characterization of High Purity Chitosan by Rapid and Simple Techniques from Mud Crabs Taken from Abbottabad. Pak. J. Pharm. Sci. 2019, 32, 171–175. [Google Scholar] [PubMed]
- Zuorro, A.; Moreno-Sader, K.A.; González-Delgad, Á.D. Inherent Safety Analysis and Sustainability Evaluation of Chitosan Production from Shrimp Exoskeleton in Colombia. Water 2021, 13, 553. [Google Scholar] [CrossRef]
- Hosney, A.; Ullah, S.; Barčauskaitė, K. A Review of the Chemical Extraction of Chitosan from Shrimp Wastes and Prediction of Factors Affecting Chitosan Yield by Using an Artificial Neural Network. Mar. Drugs 2022, 20, 675. [Google Scholar] [CrossRef]
- Bonfante-Alvarez, H.; De Avila-Montiel, G.; Herrera-Barros, A.; Torrenegra-Alarcón, M.; González-Delgado, Á.D. Evaluation of Five Chitosan Production Routes with Astaxanthin Recovery from Shrimp Exoskeletons. Chem. Eng. Trans. 2018, 70, 1969–1974. [Google Scholar] [CrossRef]
- Hajji, S.; Ghorbel-Bellaaj, O.; Younes, I.; Jellouli, K.; Nasri, M. Chitin Extraction from Crab Shells by Bacillus Bacteria. Biological Activities of Fermented Crab Supernatants. Int. J. Biol. Macromol. 2015, 79, 167–173. [Google Scholar] [CrossRef]
- Pakizeh, M.; Moradi, A.; Ghassemi, T. Chemical Extraction and Modification of Chitin and Chitosan from Shrimp Shells. Eur. Polym. J. 2021, 159, 110709. [Google Scholar] [CrossRef]
- Giraldo, J.D.; García, Y.; Vera, M.; Garrido-Miranda, K.A.; Andrade-Acuña, D.; Marrugo, K.P.; Rivas, B.L.; Schoebitz, M. Alternative Processes to Produce Chitin, Chitosan, and Their Oligomers. Carbohydr. Polym. 2024, 332, 121924. [Google Scholar] [CrossRef]
- Kozma, M.; Acharya, B.; Bissessur, R. Chitin, Chitosan, and Nanochitin: Extraction, Synthesis, and Applications. Polymers 2022, 14, 3989. [Google Scholar] [CrossRef]
- Kou, S.G.; Peters, L.M.; Mucalo, M.R. Chitosan: A Review of Sources and Preparation Methods. Int. J. Biol. Macromol. 2021, 169, 85–94. [Google Scholar] [CrossRef] [PubMed]
- El Knidri, H.; Belaabed, R.; Addaou, A.; Laajeb, A.; Lahsini, A. Extraction, Chemical Modification and Characterization of Chitin and Chitosan. Int. J. Biol. Macromol. 2018, 120, 1181–1189. [Google Scholar] [CrossRef] [PubMed]
- Said Al Hoqani, H.A.; AL-Shaqsi, N.; Hossain, M.A.; Al Sibani, M.A. Isolation and Optimization of the Method for Industrial Production of Chitin and Chitosan from Omani Shrimp Shell. Carbohydr. Res. 2020, 492, 108001. [Google Scholar] [CrossRef] [PubMed]
- Agarwal, M.; Agarwal, M.K.; Shrivastav, N.; Pandey, S.; Gaur, P. A Simple and Effective Method for Preparation of Chitosan from Chitin. Int. J. Life-Sci. Sci. Res. 2018, 4, 1721–1728. [Google Scholar] [CrossRef]
- Serri, C.; Cruz-Maya, I.; Bonadies, I.; Rassu, G.; Giunchedi, P.; Gavini, E.; Guarino, V. Green Routes for Bio-Fabrication in Biomedical and Pharmaceutical Applications. Pharmaceutics 2023, 15, 1744. [Google Scholar] [CrossRef]
- Yavir, K.; Konieczna, K.; Marcinkowski, Ł.; Kloskowski, A. Ionic Liquids in the Microextraction Techniques: The Influence of ILs Structure and Properties. TrAC Trends Anal. Chem. 2020, 130, 115994. [Google Scholar] [CrossRef]
- Morais, E.S.; Da Costa Lopes, A.M.; Freire, M.G.; Freire, C.S.R.; Coutinho, J.A.P.; Silvestre, A.J.D. Use of Ionic Liquids and Deep Eutectic Solvents in Polysaccharides Dissolution and Extraction Processes towards Sustainable Biomass Valorization. Molecules 2020, 25, 3652. [Google Scholar] [CrossRef]
- Sun, Y.; Jing, X.; Ma, X.; Feng, Y.; Hu, H. Versatile Types of Polysaccharide-Based Drug Delivery Systems: From Strategic Design to Cancer Therapy. Int. J. Mol. Sci. 2020, 21, 9159. [Google Scholar] [CrossRef]
- Khajavian, M.; Vatanpour, V.; Castro-Muñoz, R.; Boczkaj, G. Chitin and Derivative Chitosan-Based Structures—Preparation Strategies Aided by Deep Eutectic Solvents: A Review. Carbohydr. Polym. 2022, 275, 118702. [Google Scholar] [CrossRef]
- Bisht, M.; Macário, I.P.E.; Neves, M.C.; Pereira, J.L.; Pandey, S.; Rogers, R.D.; Coutinho, J.A.P.; Ventura, S.P.M. Enhanced Dissolution of Chitin Using Acidic Deep Eutectic Solvents: A Sustainable and Simple Approach to Extract Chitin from Crayfish Shell Wastes as Alternative Feedstocks. ACS Sustain. Chem. Eng. 2021, 9, 16073–16081. [Google Scholar] [CrossRef]
- Rodrigues, L.A.; Radojčić Redovniković, I.; Duarte, A.R.C.; Matias, A.A.; Paiva, A. Low-Phytotoxic Deep Eutectic Systems as Alternative Extraction Media for the Recovery of Chitin from Brown Crab Shells. ACS Omega 2021, 6, 28729–28741. [Google Scholar] [CrossRef] [PubMed]
- Liu, Y.; Yuan, Y.; Duan, S.; Li, C.; Hu, B.; Liu, A.; Wu, D.; Cui, H.; Lin, L.; He, J.; et al. Preparation and Characterization of Chitosan Films with Three Kinds of Molecular Weight for Food Packaging. Int. J. Biol. Macromol. 2020, 155, 249–259. [Google Scholar] [CrossRef] [PubMed]
- Kulka, K.; Sionkowska, A. Chitosan Based Materials in Cosmetic Applications: A Review. Molecules 2023, 28, 1817. [Google Scholar] [CrossRef] [PubMed]
- Rezaei, F.S.; Sharifianjazi, F.; Esmaeilkhanian, A.; Salehi, E. Chitosan Films and Scaffolds for Regenerative Medicine Applications: A Review. Carbohydr. Polym. 2021, 273, 118631. [Google Scholar] [CrossRef] [PubMed]
- Ali, M.; Cybulska, J.; Frąc, M.; Zdunek, A. Application of Polysaccharides for the Encapsulation of Beneficial Microorganisms for Agricultural Purposes: A Review. Int. J. Biol. Macromol. 2023, 244, 125366. [Google Scholar] [CrossRef]
- Ambaye, T.G.; Vaccari, M.; Prasad, S.; van Hullebusch, E.D.; Rtimi, S. Preparation and Applications of Chitosan and Cellulose Composite Materials. J. Environ. Manag. 2022, 301, 113850. [Google Scholar] [CrossRef]
- Abd El-Hack, M.E.; El-Saadony, M.T.; Shafi, M.E.; Zabermawi, N.M.; Arif, M.; Batiha, G.E.; Khafaga, A.F.; Abd El-Hakim, Y.M.; Al-Sagheer, A.A. Antimicrobial and Antioxidant Properties of Chitosan and Its Derivatives and Their Applications: A Review. Int. J. Biol. Macromol. 2020, 164, 2726–2744. [Google Scholar] [CrossRef]
- Zena, Y.; Periyasamy, S.; Tesfaye, M.; Tumsa, Z.; Jayakumar, M.; Mohamed, B.A.; Asaithambi, P.; Aminabhavi, T.M. Essential Characteristics Improvement of Metallic Nanoparticles Loaded Carbohydrate Polymeric Films—A Review. Int. J. Biol. Macromol. 2023, 242, 124803. [Google Scholar] [CrossRef]
- Vargas, M.; Albors, A.; Chiralt, A.; González-Martínez, C. Quality of Cold-Stored Strawberries as Affected by Chitosan–Oleic Acid Edible Coatings. Postharvest Biol. Technol. 2006, 41, 164–171. [Google Scholar] [CrossRef]
- Dutta, P.K.; Tripathi, S.; Mehrotra, G.K.; Dutta, J. Perspectives for Chitosan Based Antimicrobial Films in Food Applications. Food Chem. 2009, 114, 1173–1182. [Google Scholar] [CrossRef]
- Perdones, A.; Sánchez-González, L.; Chiralt, A.; Vargas, M. Effect of Chitosan–Lemon Essential Oil Coatings on Storage-Keeping Quality of Strawberry. Postharvest Biol. Technol. 2012, 70, 32–41. [Google Scholar] [CrossRef]
- Bonilla, J.; Fortunati, E.; Vargas, M.; Chiralt, A.; Kenny, J.M. Effects of Chitosan on the Physicochemical and Antimicrobial Properties of PLA Films. J. Food Eng. 2013, 119, 236–243. [Google Scholar] [CrossRef]
- Arrieta, M.P.; López, J.; López, D.; Kenny, J.M.; Peponi, L. Effect of Chitosan and Catechin Addition on the Structural, Thermal, Mechanical and Disintegration Properties of Plasticized Electrospun PLA-PHB Biocomposites. Polym. Degrad. Stab. 2016, 132, 145–156. [Google Scholar] [CrossRef]
- Zhang, W.; Hedayati, S.; Tarahi, M.; Can Karaca, A.; Hadidi, M.; Assadpour, E.; Jafari, S.M. Advances in Transglutaminase Cross-Linked Protein-Based Food Packaging Films; a Review. Int. J. Biol. Macromol. 2023, 253, 127399. [Google Scholar] [CrossRef] [PubMed]
- Alipal, J.; Mohd Pu’ad, N.A.S.; Lee, T.C.; Nayan, N.H.M.; Sahari, N.; Basri, H.; Idris, M.I.; Abdullah, H.Z. A Review of Gelatin: Properties, Sources, Process, Applications, and Commercialisation. Mater. Today Proc. 2021, 42, 240–250. [Google Scholar] [CrossRef]
- Rather, J.A.; Akhter, N.; Ashraf, Q.S.; Mir, S.A.; Makroo, H.A.; Majid, D.; Barba, F.J.; Khaneghah, A.M.; Dar, B.N. A Comprehensive Review on Gelatin: Understanding Impact of the Sources, Extraction Methods, and Modifications on Potential Packaging Applications. Food Packag. Shelf Life 2022, 34, 100945. [Google Scholar] [CrossRef]
- Valcarcel, J.; Fraguas, J.; Hermida-Merino, C.; Hermida-Merino, D.; Piñeiro, M.M.; Vázquez, J.A. Production and Physicochemical Characterization of Gelatin and Collagen Hydrolysates from Turbot Skin Waste Generated by Aquaculture Activities. Mar. Drugs 2021, 19, 491. [Google Scholar] [CrossRef]
- Abedinia, A.; Mohammadi Nafchi, A.; Sharifi, M.; Ghalambor, P.; Oladzadabbasabadi, N.; Ariffin, F.; Huda, N. Poultry Gelatin: Characteristics, Developments, Challenges, and Future Outlooks as a Sustainable Alternative for Mammalian Gelatin. Trends Food Sci. Technol. 2020, 104, 14–26. [Google Scholar] [CrossRef]
- Luo, Q.; Hossen, M.A.; Zeng, Y.; Dai, J.; Li, S.; Qin, W.; Liu, Y. Gelatin-Based Composite Films and Their Application in Food Packaging: A Review. J. Food Eng. 2022, 313, 110762. [Google Scholar] [CrossRef]
- Andreuccetti, C.; Galicia-García, T.; González-Nuñez, R.; Martínez-Bustos, F.; Grosso, C.R.F. Native and Modified Gelatin Films Produced by Casting, Extrusion, and Blowing Extrusion Processes. Polym. Renew. Resour. 2017, 8, 11–26. [Google Scholar] [CrossRef]
- Hosseini, S.F.; Javidi, Z.; Rezaei, M. Efficient Gas Barrier Properties of Multi-Layer Films Based on Poly(Lactic Acid) and Fish Gelatin. Int. J. Biol. Macromol. 2016, 92, 1205–1214. [Google Scholar] [CrossRef] [PubMed]
- Kurek, M.; Descours, E.; Poldan, P.; Julou, A.; Pitois, A.; Klepac, D.; Vallet, N.; Galić, K. Possibility of Storing Olive Oil in Antioxidant Biobased Pouches Made of Chitosan and Gelatin. Food Hydrocoll. 2024, 151, 109835. [Google Scholar] [CrossRef]
- Zong, Z.; Liu, M.; Chen, H.; Farag, M.A.; Wu, W.; Fang, X.; Niu, B.; Gao, H. Preparation and Characterization of a Novel Intelligent Starch/Gelatin Binary Film Containing Purple Sweet Potato Anthocyanins for Flammulina Velutipes Mushroom Freshness Monitoring. Food Chem. 2023, 405, 134839. [Google Scholar] [CrossRef] [PubMed]
- Duan, M.; Sun, J.; Huang, Y.; Jiang, H.; Hu, Y.; Pang, J.; Wu, C. Electrospun Gelatin/Chitosan Nanofibers Containing Curcumin for Multifunctional Food Packaging. Food Sci. Hum. Wellness 2023, 12, 614–621. [Google Scholar] [CrossRef]
- Qi, J.; Zhang, W.; Feng, X.; Yu, J.; Han, M.; Deng, S.; Zhou, G.; Wang, H.; Xu, X. Thermal Degradation of Gelatin Enhances Its Ability to Bind Aroma Compounds: Investigation of Underlying Mechanisms. Food Hydrocoll. 2018, 83, 497–510. [Google Scholar] [CrossRef]
- Bertoldo, M.; Bronco, S.; Gragnoli, T.; Ciardelli, F. Modification of Gelatin by Reaction with 1,6-Diisocyanatohexane. Macromol. Biosci. 2007, 7, 328–338. [Google Scholar] [CrossRef]
- Puchalski, M.; Szparaga, G.; Biela, T.; Gutowska, A.; Sztajnowski, S.; Krucińska, I. Molecular and Supramolecular Changes in Polybutylene Succinate (PBS) and Polybutylene Succinate Adipate (PBSA) Copolymer during Degradation in Various Environmental Conditions. Polymers 2018, 10, 251. [Google Scholar] [CrossRef]
- Aliotta, L.; Seggiani, M.; Lazzeri, A.; Gigante, V.; Cinelli, P. A Brief Review of Poly (Butylene Succinate) (PBS) and Its Main and Applications. Polymer 2022, 14, 844. [Google Scholar] [CrossRef]
- Platnieks, O.; Gaidukovs, S.; Kumar Thakur, V.; Barkane, A.; Beluns, S. Bio-Based Poly (Butylene Succinate): Recent Progress, Challenges and Future Opportunities. Eur. Polym. J. 2021, 161, 110855. [Google Scholar] [CrossRef]
- Barletta, M.; Aversa, C.; Ayyoob, M.; Gisario, A.; Hamad, K.; Mehrpouya, M.; Vahabi, H. Poly(Butylene Succinate) (PBS): Materials, Processing, and Industrial Applications. Prog. Polym. Sci. 2022, 132, 101579. [Google Scholar] [CrossRef]
- Mao, H.; Liu, H.; Gao, Z.; Su, T.; Wang, Z. Biodegradation of Poly(Butylene Succinate) by Fusarium sp. FS1301 and Purification and Characterization of Poly(Butylene Succinate) Depolymerase. Polym. Degrad. Stab. 2015, 114, 1–7. [Google Scholar] [CrossRef]
- Nelson, T.F.; Baumgartner, R.; Jaggi, M.; Bernasconi, S.M.; Battagliarin, G.; Sinkel, C.; Künkel, A.; Kohler, H.P.E.; McNeill, K.; Sander, M. Biodegradation of Poly(Butylene Succinate) in Soil Laboratory Incubations Assessed by Stable Carbon Isotope Labelling. Nat. Commun. 2022, 13, 5691. [Google Scholar] [CrossRef] [PubMed]
- Lyyra, I.; Sandberg, N.; Parihar, V.S.; Hannula, M.; Huhtala, H.; Hyttinen, J.; Massera, J.; Kellomäki, M. Hydrolytic Degradation of Polylactide/Polybutylene Succinate Blends with Bioactive Glass. Mater. Today Commun. 2023, 37, 107242. [Google Scholar] [CrossRef]
- Łopusiewicz, Ł.; Zdanowicz, M.; Macieja, S.; Kowalczyk, K.; Bartkowiak, A. Development and Characterization of Bioactive Poly(Butylene-Succinate) Films Modified with Quercetin for Food Packaging Applications. Polymers 2021, 13, 1798. [Google Scholar] [CrossRef]
- Domínguez-Robles, J.; Larrañeta, E.; Fong, M.L.; Martin, N.K.; Irwin, N.J.; Mutjé, P.; Tarrés, Q.; Delgado-Aguilar, M. Lignin/Poly(Butylene Succinate) Composites with Antioxidant and Antibacterial Properties for Potential Biomedical Applications. Int. J. Biol. Macromol. 2020, 145, 92–99. [Google Scholar] [CrossRef]
- Guidotti, G.; Soccio, M.; Bondi, E.; Posati, T.; Sotgiu, G.; Zamboni, R.; Torreggiani, A.; Corticelli, F.; Lotti, N.; Aluigi, A. Effects of the Blending Ratio on the Design of Keratin/Poly (Butylene Succinate) Nanofibers for Drug Delivery Applications. Biomolecules 2021, 11, 1194. [Google Scholar] [CrossRef]
- Hsieh, H.C.; Wu, N.; Chuang, T.H.; Lee, W.Y.; Chen, J.Y.; Chen, W.C. Eco-Friendly Polyfluorene/Poly(Butylene Succinate) Blends and Their Electronic Device Application on Biodegradable Substrates. ACS Appl. Polym. Mater. 2020, 2, 2469–2476. [Google Scholar] [CrossRef]
- Ostheller, M.E.; Balakrishnan, N.K.; Groten, R.; Seide, G. Detailed Process Analysis of Biobased Polybutylene Succinate Microfibers Produced by Laboratory-Scale Melt Electrospinning. Polymers 2021, 13, 1024. [Google Scholar] [CrossRef]
- Xu, J.; Manepalli, P.H.; Zhu, L.; Narayan-Sarathy, S.; Alavi, S. Morphological, Barrier and Mechanical Properties of Films from Poly (Butylene Succinate) Reinforced with Nanocrystalline Cellulose and Chitin Whiskers Using Melt Extrusion. J. Polym. Res. 2019, 26, 188. [Google Scholar] [CrossRef]
- Rennert, M.; Hiller, B.T. Influence of Coffee Variety and Processing on the Properties of Parchments as Functional Bioadditives for Biobased Poly(Butylene Succinate) Composites. Polymers 2023, 15, 2985. [Google Scholar] [CrossRef]
- Jariyasakoolroj, P.; Chongcharoenyanon, B.; Wadaugsorn, K. Kinetic Migration of PBS and PBSA Biopolymers Prepared by Cast Film Extrusion and Biaxial Stretching: A Combined Experimental and Modeling Approach. J. Appl. Polym. Sci. 2024, 141, e55323. [Google Scholar] [CrossRef]
- Altieri, R.; Seggiani, M.; Esposito, A.; Cinelli, P.; Stanzione, V. Thermoplastic Blends Based on Poly(Butylene Succinate-Co-Adipate) and Different Collagen Hydrolysates from Tanning Industry—II: Aerobic Biodegradation in Composting Medium. J. Polym. Environ. 2021, 29, 3375–3388. [Google Scholar] [CrossRef]
- Puekpoonpoal, N.; Phattarateera, S.; Kerddonfag, N.; Aht-Ong, D. Morphology Development of PLAs with Different Stereo-Regularities in Ternary Blend PBSA/PBS/PLA Films. Polym.-Plast. Technol. Mater. 2021, 60, 1672–1685. [Google Scholar] [CrossRef]
- Yang, C.; Tang, H.; Wang, Y.; Liu, Y.; Wang, J.; Shi, W.; Li, L. Development of PLA-PBSA Based Biodegradable Active Film and Its Application to Salmon Slices. Food Packag. Shelf Life 2019, 22, 100393. [Google Scholar] [CrossRef]
- Jiang, G.; Yu, L. High Strength and Barrier Properties of Biodegradable PPC/PBSA Blends Prepared by Reaction Compatibilization for Promising Application in Packaging. Macromol. Mater. Eng. 2021, 306, 2000723. [Google Scholar] [CrossRef]
- Delorme, A.E.; Radusin, T.; Myllytie, P.; Verney, V.; Askanian, H. Enhancement of Gas Barrier Properties and Durability of Poly(Butylene Succinate-Co-Butylene Adipate)-Based Nanocomposites for Food Packaging Applications. Nanomaterials 2022, 12, 978. [Google Scholar] [CrossRef]
- Okabe, M.; Lies, D.; Kanamasa, S.; Park, E.Y. Biotechnological Production of Itaconic Acid and Its Biosynthesis in Aspergillus Terreus. Appl. Microbiol. Biotechnol. 2009, 84, 597–606. [Google Scholar] [CrossRef]
- Bentley, R.; Thiessen, C.P. Biosynthesis of itaconic acid in aspergillus terreus. J. Biol. Chem. 1957, 226, 673–687. [Google Scholar] [CrossRef]
- Zhang, R.; Liu, H.; Ning, Y.; Yu, Y.; Deng, L.; Wang, F. Recent Advances on the Production of Itaconic Acid via the Fermentation and Metabolic Engineering. Fermentation 2023, 9, 71. [Google Scholar] [CrossRef]
- MARVEL, C.S.; SHEPHERD, T.H. Polymerization Reactions of Itaconic Acid and Some of Its Derivatives. J. Org. Chem. 1959, 24, 599–605. [Google Scholar] [CrossRef]
- Nakamoto, H.; Ogo, Y.; Imoto, T. Polymerization of Itaconic Acid under High Pressure. Die Makromol. Chem. 1968, 111, 104–114. [Google Scholar] [CrossRef]
- Osman, S.M.; El-Newehy, M.H.; Al-Deyab, S.S.; El-Faham, A. Microwave Synthesis and Thermal Properties of Polyacrylate Derivatives Containing Itaconic Anhydride Moieties. Chem. Cent. J. 2012, 6, 85. [Google Scholar] [CrossRef] [PubMed]
- Katsikas, L.; Milovanović, M.; Popović, I.G. Hindered, 1,1-Disubstituted Monomers. Chain Transfer to Benzene in the Radical Polymerisation of Di-n-Butyl Itaconate. Eur. Polym. J. 2008, 44, 3028–3031. [Google Scholar] [CrossRef]
- Schneider-Chaabane, A.; Bleicher, V.; Rau, S.; Al-Ahmad, A.; Lienkamp, K. Stimulus-Responsive Polyzwitterionic Surfaces Made from Itaconic Acid: Self-Triggered Antimicrobial Activity, Protein Repellency, and Cell Compatibility. ACS Appl. Mater. Interfaces 2020, 12, 21242–21253. [Google Scholar] [CrossRef] [PubMed]
- Sollka, L.; Lienkamp, K. Progress in the Free and Controlled Radical Homo- and Co-Polymerization of Itaconic Acid Derivatives: Toward Functional Polymers with Controlled Molar Mass Distribution and Architecture. Macromol. Rapid Commun. 2021, 42, 2000546. [Google Scholar] [CrossRef]
- Chiloeches, A.; Funes, A.; Cuervo-Rodríguez, R.; López-Fabal, F.; Fernández-García, M.; Echeverría, C.; Muñoz-Bonilla, A. Biobased Polymers Derived from Itaconic Acid Bearing Clickable Groups with Potent Antibacterial Activity and Negligible Hemolytic Activity. Polym. Chem. 2021, 12, 3190–3200. [Google Scholar] [CrossRef]
- Baskan, H.; Esentürk, I.; Dösler, S.; Sarac, A.S.; Karakas, H. Electrospun Nanofibers of Poly (Acrylonitrile-Co-Itaconic Acid)/Silver and Polyacrylonitrile/Silver: In Situ Preparation, Characterization, and Antimicrobial Activity. J. Ind. Text. 2021, 50, 1594–1624. [Google Scholar] [CrossRef]
- Rzayev, Z.M.O.; Şimşek, M.; Bunyatova, U.; Salamov, B. Novel Colloidal Nanofiber Semiconductor Electrolytes from Solution Blends of PVA/ODA–MMT, Poly (Itaconic Anhydride- Alt -2-Vinyl-1,3-Dioxalan) and Its Ag-Carrying Polymer Complex by Reactive Electrospinning. Colloids Surf. A Physicochem. Eng. Asp. 2016, 492, 26–37. [Google Scholar] [CrossRef]
- Wilke, P.; Coger, V.; Nachev, M.; Schachschal, S.; Million, N.; Barcikowski, S.; Sures, B.; Reimers, K.; Vogt, P.M.; Pich, A. Biocompatible Microgel-Modified Electrospun Fibers for Zinc Ion Release. Polymer 2015, 61, 163–173. [Google Scholar] [CrossRef]
- Nesic, A.R.; Onjia, A.; Ostojic, S.B.; Micic, D.M.; Velickovic, S.J.; Antonovic, D.G. Novel Biosensor Films Based on Chitosan. Mater. Lett. 2016, 167, 47–49. [Google Scholar] [CrossRef]
- Chiloeches, A.; Cuervo-Rodríguez, R.; López-Fabal, F.; Fernández-García, M.; Echeverría, C.; Muñoz-Bonilla, A. Antibacterial and Compostable Polymers Derived from Biobased Itaconic Acid as Environmentally Friendly Additives for Biopolymers. Polym. Test. 2022, 109, 107541. [Google Scholar] [CrossRef]
- Huerta-Ángeles, G.; Kanizsová, L.; Mielczarek, K.; Konefał, M.; Konefał, R.; Hodan, J.; Kočková, O.; Bednarz, S.; Beneš, H. Sustainable Aerogels Based on Biobased Poly (Itaconic Acid) for Adsorption of Cationic Dyes. Int. J. Biol. Macromol. 2024, 259, 129727. [Google Scholar] [CrossRef] [PubMed]
- Khot, S.N.; Lascala, J.J.; Can, E.; Morye, S.S.; Williams, G.I.; Palmese, G.R.; Kusefoglu, S.H.; Wool, R.P. Development and Application of Triglyceride-Based Polymers and Composites. J. Appl. Polym. Sci. 2001, 82, 703–723. [Google Scholar] [CrossRef]
- Satriana; Arpi, N.; Lubis, Y.M.; Adisalamun; Supardan, M.D.; Mustapha, W.A.W. Diacylglycerol-Enriched Oil Production Using Chemical Glycerolysis. Eur. J. Lipid Sci. Technol. 2016, 118, 1880–1890. [Google Scholar] [CrossRef]
- Xu, Y.-Q.; Qu, J.-P. Mechanical and Rheological Properties of Epoxidized Soybean Oil Plasticized Poly(Lactic Acid). J. Appl. Polym. Sci. 2009, 112, 3185–3191. [Google Scholar] [CrossRef]
- Zych, A.; Perotto, G.; Trojanowska, D.; Tedeschi, G.; Bertolacci, L.; Francini, N.; Athanassiou, A. Super Tough Polylactic Acid Plasticized with Epoxidized Soybean Oil Methyl Ester for Flexible Food Packaging. ACS Appl. Polym. Mater. 2021, 3, 5087–5095. [Google Scholar] [CrossRef]
- Zhao, Y.; Qu, J.; Feng, Y.; Wu, Z.; Chen, F.; Tang, H. Mechanical and Thermal Properties of Epoxidized Soybean Oil Plasticized Polybutylene Succinate Blends. Polym. Adv. Technol. 2012, 23, 632–638. [Google Scholar] [CrossRef]
- Yang, D.; Peng, X.; Zhong, L.; Cao, X.; Chen, W.; Zhang, X.; Liu, S.; Sun, R. Green Films from Renewable Resources: Properties of Epoxidized Soybean Oil Plasticized Ethyl Cellulose Films. Carbohydr. Polym. 2014, 103, 198–206. [Google Scholar] [CrossRef]
- Han, Y.; Shi, J.; Mao, L.; Wang, Z.; Zhang, L. Improvement of Compatibility and Mechanical Performances of PLA/PBAT Composites with Epoxidized Soybean Oil as Compatibilizer. Ind. Eng. Chem. Res. 2020, 59, 21779–21790. [Google Scholar] [CrossRef]
- Quiles-Carrillo, L.; Duart, S.; Montanes, N.; Torres-Giner, S.; Balart, R. Enhancement of the Mechanical and Thermal Properties of Injection-Molded Polylactide Parts by the Addition of Acrylated Epoxidized Soybean Oil. Mater. Des. 2018, 140, 54–63. [Google Scholar] [CrossRef]
- Quiles-Carrillo, L.; Montanes, N.; Lagaron, J.M.; Balart, R.; Torres-Giner, S. On the Use of Acrylated Epoxidized Soybean Oil as a Reactive Compatibilizer in Injection-molded Compostable Pieces Consisting of Polylactide Filled with Orange Peel Flour. Polym. Int. 2018, 67, 1341–1351. [Google Scholar] [CrossRef]
- Chaochanchaikul, K.; Pongmuksuwan, P. Influence of Ozonized Soybean Oil as a Biobased Plasticizer on the Toughness of Polylactic Acid. J. Polym. Environ. 2021, 30, 1095–1105. [Google Scholar] [CrossRef]
- Orue, A.; Eceiza, A.; Arbelaiz, A. Preparation and Characterization of Poly (Lactic Acid) Plasticized with Vegetable Oils and Reinforced with Sisal Fibers. Ind. Crops Prod. 2018, 112, 170–180. [Google Scholar] [CrossRef]
- Paunonen, S.; Berthold, F.; Immonen, K. Poly (Lactic Acid)/Pulp Fiber Composites: The Effect of Fiber Surface Modification and Hydrothermal Aging on Viscoelastic and Strength Properties. J. Appl. Polym. Sci. 2020, 137, 49617. [Google Scholar] [CrossRef]
- Valente, B.F.A.; Karamysheva, A.; Silvestre, A.J.D.; Neto, C.P.; Vilela, C.; Freire, C.S.R. Epoxidized Linseed Oil as a Plasticizer for All-Cellulose Composites Based on Cellulose Acetate Butyrate and Micronized Pulp Fibers. Ind. Crops Prod. 2023, 202, 116980. [Google Scholar] [CrossRef]
- Dominici, F.; Samper, M.D.; Carbonell-Verdu, A.; Luzi, F.; López-Martínez, J.; Torre, L.; Puglia, D. Improved Toughness in Lignin/Natural Fiber Composites Plasticized with Epoxidized and Maleinized Linseed Oils. Materials 2020, 13, 600. [Google Scholar] [CrossRef]
- Dolores, M. Plasticization Effect of Epoxidized Cottonseed Oil (ECSO) on Poly (Lactic Acid). Ind. Crops Prod. 2017, 104, 278–286. [Google Scholar]
- Bouti, M.; Irinislimane, R.; Belhaneche-Bensemra, N. Properties Investigation of Epoxidized Sunflower Oil as Bioplasticizer for Poly (Lactic Acid). J. Polym. Environ. 2022, 30, 232–245. [Google Scholar] [CrossRef]
- Dominguez-Candela, I.; Ferri, J.M.; Cardona, S.C.; Lora, J.; Fombuena, V. Dual Plasticizer/Thermal Stabilizer Effect of Epoxidized Chia Seed Oil (Salvia hispanica L.) to Improve Ductility and Thermal Properties of Poly (Lactic Acid). Polymers 2021, 13, 1283. [Google Scholar] [CrossRef]
- Perez-Nakai, A.; Lerma-Canto, A.; Domingez-Candela, I.; Garcia-Garcia, D.; Ferri, J.M.; Fombuena, V. Comparative Study of the Properties of Plasticized Polylactic Acid with Maleinized Hemp Seed Oil and a Novel Maleinized Brazil Nut Seed Oil. Polymers 2021, 13, 2376. [Google Scholar] [CrossRef]
- Garcia-Garcia, D.; Carbonell-Verdu, A.; Arrieta, M.P.; López-Martínez, J.; Samper, M.D. Improvement of PLA Film Ductility by Plasticization with Epoxidized Karanja Oil. Polym. Degrad. Stab. 2020, 179, 109259. [Google Scholar] [CrossRef]
- The Circular Economy for Plastics, A European Analysis, Plastics Europe, MARCH 2024. Available online: https://plasticseurope.org/wp-content/uploads/2024/05/Circular_Economy_report_Digital_EXEC_light_FINAL.pdf (accessed on 28 August 2024).







































| Corn (Maize) Starch | ||
|---|---|---|
| Content | Amount | Units |
| Density | 1.356–1.4029 | g/cm3 |
| Amylose | 24.64–29.4 | g/100 g |
| Amylopectin | 72–75.36 | g/100 g |
| Crude fats | 0.32–7.13 | g/100 g |
| Crude proteins | 0.38–7.70 | g/100 g |
| Moisture content | 10.45–12.7 | % |
| Potato Starch | ||
| Content | Amount | Units |
| Amylose | 17–38.8 | g/100 g |
| Amylopectin | 73.42 | g/100 g |
| Crude fats | 0.06–0.20 | g/100 g |
| Crude proteins | 0.01–0.09 | g/100 g |
| Moisture content | 9–11 | % |
| Rice Starch | ||
| Content | Amount | Units |
| Amylose | 32–4.1 | g/100 g |
| Amylopectin | 74.56 | g/100 g |
| Crude fats | 1.9–28.1 | g/100 g |
| Crude proteins | 0–3.0 | g/100 g |
| Moisture content | 13 | % |
| Plant Source | Size (µm) | Shape |
|---|---|---|
| Maize | 2–30 | Round and polyhedral |
| Waxy maize | 2–30 | Round and polyhedral |
| Wheat | 10 and 10–30 | Discs |
| Waxy wheat | >10 | Spherical and lenticular |
| Rice | <20 and 2–8 | Polygonal and angular |
| Tapioca | 5–45 | Spherical/lenticular |
| Cassava | 30 | Kettle-drum truncated |
| Potato | <110 | Oval and irregular |
| Sweet potato | 1–100 | Oval, spherical, round |
| Pea | 2–40 | Oval, spherical, round |
| Lotus | 14–31 | Oblong |
| Fatty Acid | C:DB (a) | Canola | Corn | Cottonseed | Linseed | Olive | Palm | Rapeseed | Soybean | High Oleic (b) |
|---|---|---|---|---|---|---|---|---|---|---|
| Myristic | 14:0 | 0.1 | 0.1 | 0.7 | 0.0 | 0.0 | 1.0 | 0.1 | 0.1 | 0.0 |
| Myristoleic | 14:1 | 0.0 | 0.0 | 0.0 | 0.0 | 0.0 | 0.0 | 0.0 | 0.0 | 0.0 |
| Palmitic | 16:0 | 4.1 | 10.9 | 21.6 | 5.5 | 13.7 | 44.4 | 3.0 | 11.0 | 6.4 |
| Palmitoleic | 16:1 | 0.3 | 0.2 | 0.6 | 0.0 | 1.2 | 0.2 | 0.2 | 0.1 | 0.1 |
| Margaric | 17:0 | 0.1 | 0.1 | 0.1 | 0.0 | 0.0 | 0.1 | 0.0 | 0.0 | 0.0 |
| Margaroleic | 17:1 | 0.0 | 0.0 | 0.1 | 0.0 | 0.0 | 0.0 | 0.0 | 0.0 | 0.0 |
| Stearic | 18:0 | 1.8 | 2.0 | 2.6 | 3.5 | 2.5 | 4.1 | 1.0 | 4.0 | 3.1 |
| Oleic | 18:1 | 60.9 | 25.4 | 18.6 | 19.1 | 71.1 | 39.3 | 13.2 | 23.4 | 82.6 |
| Linoleic | 18:2 | 21.0 | 59.6 | 54.4 | 15.3 | 10.0 | 10.0 | 13.2 | 53.2 | 2.3 |
| Linolenic | 18:3 | 8.8 | 1.2 | 0.7 | 56.6 | 0.6 | 0.4 | 9.0 | 7.8 | 3.7 |
| Arachidic | 20:0 | 0.7 | 0.4 | 0.3 | 0.0 | 0.9 | 0.3 | 0.5 | 0.3 | 0.2 |
| Gadoleic | 20:1 | 1.0 | 0.0 | 0.0 | 0.0 | 0.0 | 0.0 | 9.0 | 0.0 | 0.4 |
| Eicosadienoic | 20:0 | 0.0 | 0.0 | 0.0 | 0.0 | 0.0 | 0.0 | 0.7 | 0.0 | 0.0 |
| Behenic | 22:0 | 0.3 | 0.1 | 0.2 | 0.0 | 0.0 | 0.1 | 0.5 | 0.1 | 0.3 |
| Erucic | 22:1 | 0.7 | 0.0 | 0.0 | 0.0 | 0.0 | 0.0 | 49.2 | 0.0 | 0.1 |
| Lignoceric | 24:0 | 0.2 | 0.0 | 0.0 | 0.0 | 0.0 | 0.0 | 1.2 | 0.0 | 0.0 |
| Average DB/triglyceride | 3.9 | 4.5 | 3.9 | 6.6 | 2.8 | 1.8 | 3.8 | 4.6 | 3.0 |
| MVO | Blending Ratio | Properties | Ref. | ||||
|---|---|---|---|---|---|---|---|
| PLA Grade | Plasticizer (wt%) | Tensile Strength (MPa) | Elongation at Break (%) | Impact Energy (kJ/m2) | Tg (°C) | ||
| ESBO | N.I. | - | 42.0 | 4.0 | - | - | [564] |
| 9 | 57.7 | 6.5 | - | - | |||
| ESBO | 2003D | - | ≈66 | ≈7.5 | 16 | 55.5 | [572] |
| 10 | ≈49 | ≈20 | ≈32 | 51.6 | |||
| ESBO | 2002D | - | 13 | 5 | - | 64 | [577] |
| 20 | 10 | 34 | - | 59 | |||
| ESOME | 2003D | - | 51 | 2 | - | 71.3 | [565] |
| 10 | 29 | 368 | - | 51.2 | |||
| AESO | 6201D | - | 66 | 4.1 | 19.5 | 62.8 | [569] |
| 10 | 60 | 10.6 | 35.1 | 59.4 | |||
| OSBO | 4043D | - | ≈55 | ≈5 | ≈2 | 59.8 | [571] |
| 10 | ≈40 | ≈10 | ≈2.2 | 50.1 | |||
| ELO | 2003D | - | ≈66 | ≈7.5 | ≈16 | 55.5 | [572] |
| 10 | ≈51 | ≈15 | ≈35 | 49.0 | |||
| MLO | 6201D | - | ≈64 | ≈8 | 30.9 | 65.4 | [93] |
| 13 | ≈40 | ≈74 | 50.3 | 60.8 | |||
| ECSO | 6201D | - | 63.7 | 9 | 30.8 | 66.7 | [576] |
| 10 | 49.5 | 110 | 38.4 | 60.7 | |||
| MCSO | 6210D | - | ≈47 | ≈4 | - | 63.0 | [58] |
| 7.5 | ≈38 | ≈16 | - | 61.6 | |||
| ESO | 2002D | - | 13 | 5 | - | 64 | [577] |
| 20 | 11 | 16 | - | 60 | |||
| ECO | 2003D | - | 45 | 8.0 | 37.1 | 62 | [578] |
| 10 | ≈34 | 64.5 | 68.3 | 56.8 | |||
| MBNO | N.I. | - | 35.8 | 7.4 | 35.5 | 61 | [579] |
| 7 | ≈48 | 52 | ≈46 | 58.7 | |||
| MHO | N.I. | - | 35.8 | 7.4 | 35.5 | 61 | [579] |
| 9 | ≈48 | 61 | ≈49 | 56.9 | |||
| EKO | 6201D | - | 46.5 | 8.3 | 36.6 | 61.2 | [580] |
| 5 | 43.3 | 14.7 | 51.9 | 58.3 | |||
| EJO | 4042D | - | 58 | 5.4 | - | 62.8 | [94] |
| 3 | ≈42 | 388 | - | 59.9 | |||
Disclaimer/Publisher’s Note: The statements, opinions and data contained in all publications are solely those of the individual author(s) and contributor(s) and not of MDPI and/or the editor(s). MDPI and/or the editor(s) disclaim responsibility for any injury to people or property resulting from any ideas, methods, instructions or products referred to in the content. |
© 2024 by the authors. Licensee MDPI, Basel, Switzerland. This article is an open access article distributed under the terms and conditions of the Creative Commons Attribution (CC BY) license (https://creativecommons.org/licenses/by/4.0/).
Share and Cite
Oliver-Cuenca, V.; Salaris, V.; Muñoz-Gimena, P.F.; Agüero, Á.; Peltzer, M.A.; Montero, V.A.; Arrieta, M.P.; Sempere-Torregrosa, J.; Pavon, C.; Samper, M.D.; et al. Bio-Based and Biodegradable Polymeric Materials for a Circular Economy. Polymers 2024, 16, 3015. https://doi.org/10.3390/polym16213015
Oliver-Cuenca V, Salaris V, Muñoz-Gimena PF, Agüero Á, Peltzer MA, Montero VA, Arrieta MP, Sempere-Torregrosa J, Pavon C, Samper MD, et al. Bio-Based and Biodegradable Polymeric Materials for a Circular Economy. Polymers. 2024; 16(21):3015. https://doi.org/10.3390/polym16213015
Chicago/Turabian StyleOliver-Cuenca, Víctor, Valentina Salaris, Pedro Francisco Muñoz-Gimena, Ángel Agüero, Mercedes A. Peltzer, Victoria Alcázar Montero, Marina P. Arrieta, Jaume Sempere-Torregrosa, Cristina Pavon, Maria Dolores Samper, and et al. 2024. "Bio-Based and Biodegradable Polymeric Materials for a Circular Economy" Polymers 16, no. 21: 3015. https://doi.org/10.3390/polym16213015
APA StyleOliver-Cuenca, V., Salaris, V., Muñoz-Gimena, P. F., Agüero, Á., Peltzer, M. A., Montero, V. A., Arrieta, M. P., Sempere-Torregrosa, J., Pavon, C., Samper, M. D., Crespo, G. R., Kenny, J. M., López, D., & Peponi, L. (2024). Bio-Based and Biodegradable Polymeric Materials for a Circular Economy. Polymers, 16(21), 3015. https://doi.org/10.3390/polym16213015

