Recent Progress of Non-Isocyanate Polyurethane Foam and Their Challenges
Abstract
1. Introduction
2. General Reaction of Polyurethane and Challenges in Non-Isocyanate Polyurethane

3. External Blowing Agent-Based NIPU Foams
4. Self-Blowing NIPU Foams
5. Biobased NIPU Foams
5.1. CO2
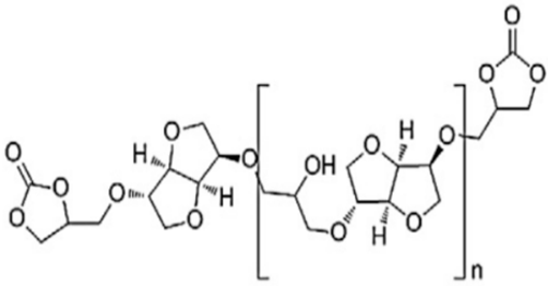
5.2. Cyclic Carbonates
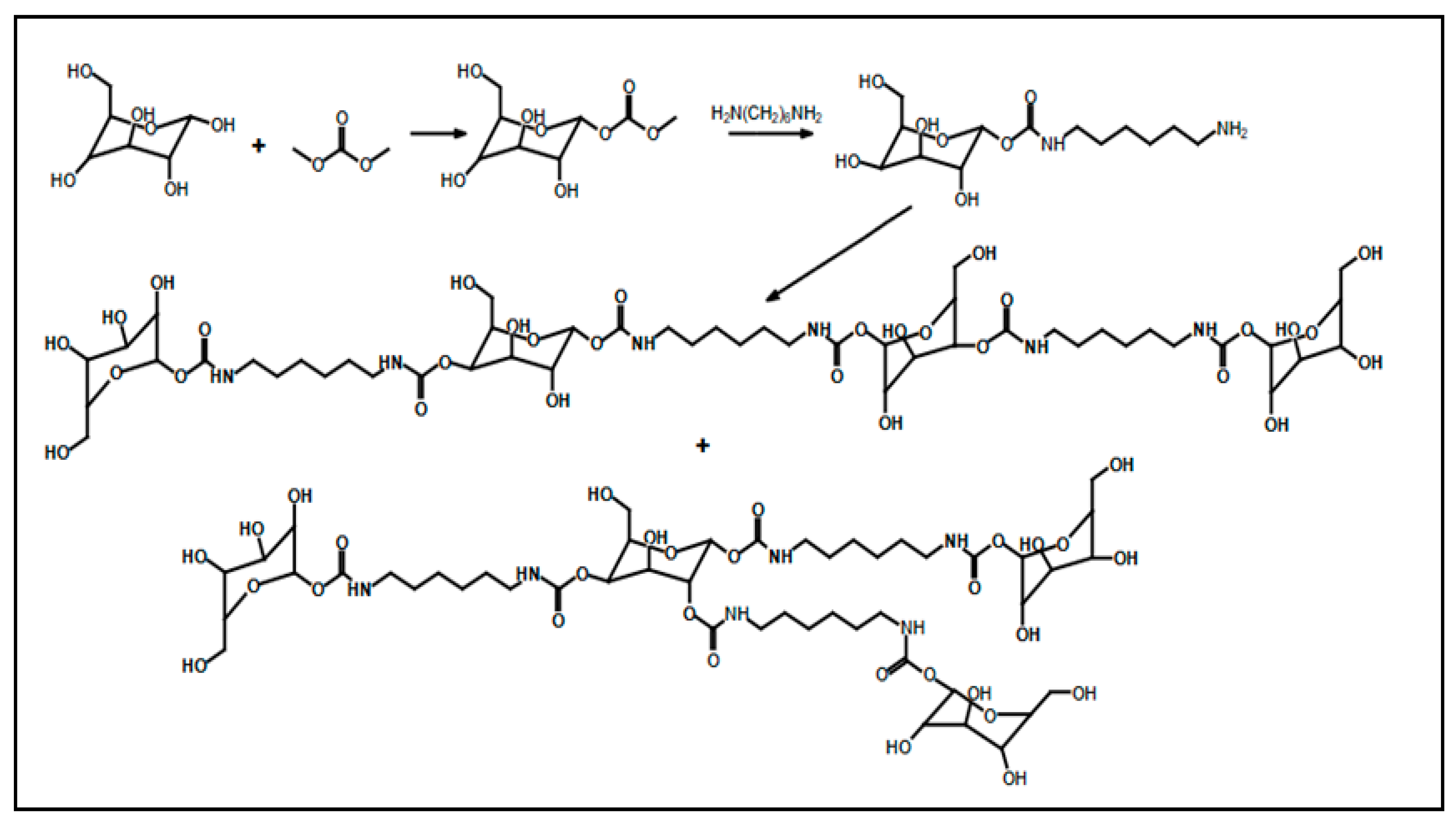
5.3. Poly and Diamines
5.4. Recent Studies of Biobased Non-Isocyanate Polyurethane Foams
6. Outlook and Prospects
Author Contributions
Funding
Institutional Review Board Statement
Informed Consent Statement
Data Availability Statement
Conflicts of Interest
Abbreviations
References
- Su, M.; Pan, Y.; Zheng, G.; Liu, C.; Shen, C.; Liu, X. An Ultra-Light, Superhydrophobic and Thermal Insulation Ultra-High Molecular Weight Polyethylene Foam. Polymer 2021, 218, 123528. [Google Scholar] [CrossRef]
- Hasanzadeh, R.; Azdast, T.; Doniavi, A.; Lee, R.E. Multi-Objective Optimization of Heat Transfer Mechanisms of Microcellular Polymeric Foams from Thermal-Insulation Point of View. Therm. Sci. Eng. Prog. 2019, 9, 21–29. [Google Scholar] [CrossRef]
- Zhao, J.; Wang, G.; Chen, Z.; Huang, Y.; Wang, C.; Zhang, A.; Park, C.B. Microcellular Injection Molded Outstanding Oleophilic and Sound-Insulating PP/PTFE Nanocomposite Foam. Compos. Part B Eng. 2021, 215, 108786. [Google Scholar] [CrossRef]
- Wang, G.; Zhao, G.; Dong, G.; Mu, Y.; Park, C.B.; Wang, G. Lightweight, Super-Elastic, and Thermal-Sound Insulation Bio-Based PEBA Foams Fabricated by High-Pressure Foam Injection Molding with Mold-Opening. Eur. Polym. J. 2018, 103, 68–79. [Google Scholar] [CrossRef]
- Akindoyo, J.O.; Beg, M.D.H.; Ghazali, S.; Islam, M.R.; Jeyaratnam, N.; Yuvaraj, A.R. Polyurethane Types, Synthesis and Applications—A Review. RSC Adv. 2016, 6, 114453–114482. [Google Scholar] [CrossRef]
- Pruvost, M. Polymeric Foams for Flexible and Highly Sensitive Low-Pressure Capacitive Sensors. npj Flex. Electron. 2019, 3, 7. [Google Scholar] [CrossRef]
- Somarathna, H.M.C.C.; Raman, S.N.; Mohotti, D.; Mutalib, A.A.; Badri, K.H. The Use of Polyurethane for Structural and Infrastructural Engineering Applications: A State-of-the-Art Review. Constr. Build. Mater. 2018, 190, 995–1014. [Google Scholar] [CrossRef]
- Gama, N.; Ferreira, A.; Barros-Timmons, A. Polyurethane Foams: Past, Present, and Future. Materials 2018, 11, 1841. [Google Scholar] [CrossRef]
- Das, A.; Mahanwar, P. A Brief Discussion on Advances in Polyurethane Applications. Adv. Ind. Eng. Polym. Res. 2020, 3, 93–101. [Google Scholar] [CrossRef]
- Lu, J.; Cheng, W.; Shi, Y.; Jia, P.; Liao, C.; Zhang, K.; Song, L.; Wang, B.; Hu, Y. A Facile Strategy for Lightweight, Anti-Dripping, Flexible Polyurethane Foam with Low Smoke Emission Tendency and Superior Electromagnetic Wave Blocking. J. Colloid Interface Sci. 2021, 603, 25–36. [Google Scholar] [CrossRef]
- Jeong, J.; Oh, D.; Goh, M. Synthesis, Antibacterial Activity, and Enzymatic Decomposition of Bio-Polyurethane Foams Containing Propolis. J. Ind. Eng. Chem. 2022, 109, 182–188. [Google Scholar] [CrossRef]
- Guan, J.; Song, Y.; Lin, Y.; Yin, X.; Zuo, M.; Zhao, Y.; Tao, X.; Zheng, Q. Progress in Study of Non-Isocyanate Polyurethane. Ind. Eng. Chem. Res. 2011, 50, 6517–6527. [Google Scholar] [CrossRef]
- Fiori, D.E. Two-Component Water Reducible Polyurethane Coatings. Prog. Org. Coat. 1997, 32, 65–71. [Google Scholar] [CrossRef]
- Tai, N.L.; Ghasemlou, M.; Adhikari, R.; Adhikari, B. Starch-Based Isocyanate- and Non-Isocyanate Polyurethane Hybrids: A Review on Synthesis, Performance and Biodegradation. Carbohydr. Polym. 2021, 265, 118029. [Google Scholar] [CrossRef]
- Khatoon, H.; Iqbal, S.; Irfan, M.; Darda, A.; Rawat, N.K. A Review on the Production, Properties and Applications of Non-Isocyanate Polyurethane: A Greener Perspective. Prog. Org. Coat. 2021, 154, 106124. [Google Scholar] [CrossRef]
- Chen, X.; Pizzi, A.; Essawy, H.; Fredon, E.; Gerardin, C.; Guigo, N.; Sbirrazzuoli, N. Non-Furanic Humins-Based Non-Isocyanate Polyurethane (NIPU) Thermoset Wood Adhesives. Polymers 2021, 13, 372. [Google Scholar] [CrossRef]
- Nakibuule, F.; Nyanzi, S.A.; Oshchapovsky, I.; Wendt, O.F.; Tebandeke, E. Synthesis of Cyclic Carbonates from Epoxides and Carbon Dioxide Catalyzed by Talc and Other Phyllosilicates. BMC Chem. 2020, 14, 1–14. [Google Scholar] [CrossRef]
- Xi, X.; Pizzi, A.; Gerardin, C.; Du, G. Glucose-Biobased Non-Isocyanate Polyurethane Rigid Foams. J. Renew. Mater. 2019, 7, 20–23. [Google Scholar] [CrossRef]
- Fache, M.; Darroman, E.; Besse, V.; Auvergne, R.; Caillol, S.; Boutevin, B. Vanillin, a Promising Biobased Building-Block for Monomer Synthesis. Green Chem. 2014, 16, 1987–1998. [Google Scholar] [CrossRef]
- Chen, X.; Xi, X.; Pizzi, A.; Fredon, E.; Zhou, X.; Li, J.; Gerardin, C.; Du, G. Preparation and Characterization of Condensed Tannin Non-Isocyanate Polyurethane (NIPU) Rigid Foams by Ambient Temperature Blowing. Polymers 2020, 12, 750. [Google Scholar] [CrossRef]
- Mhd. Haniffa, M.A.C.; Munawar, K.; Ching, Y.C.; Illias, H.A.; Chuah, C.H. Bio-based Poly(Hydroxy Urethane)s: Synthesis and Pre/Post-Functionalization. Chem. Asian J. 2021, 16, 1281–1297. [Google Scholar] [CrossRef] [PubMed]
- Gomez-Lopez, A.; Elizalde, F.; Calvo, I.; Sardon, H. Trends in Non-Isocyanate Polyurethane (NIPU) Development. Chem. Commun. 2021, 57, 12254–12265. [Google Scholar] [CrossRef] [PubMed]
- Noureddine, B.; Zitouni, S.; Achraf, B.; Houssém, C.; Jannick, D.-R.; Jean-François, G. Development and Characterization of Tailored Polyurethane Foams for Shock Absorption. Appl. Sci. 2022, 12, 2206. [Google Scholar] [CrossRef]
- Wang, S.; Liu, Z.; Zhang, L.; Guo, Y.; Song, J.; Lou, J.; Guan, Q.; He, C.; You, Z. Strong, Detachable, and Self-Healing Dynamic Crosslinked Hot Melt Polyurethane Adhesive. Mater. Chem. Front. 2019, 3, 1833–1839. [Google Scholar] [CrossRef]
- Manigandan, S.; Praveenkumar, T.R.; Al-Mohaimeed, A.M.; Brindhadevi, K.; Pugazhendhi, A. Characterization of Polyurethane Coating on High Performance Concrete Reinforced with Chemically Treated Ananas Erectifolius Fiber. Prog. Org. Coat. 2021, 150, 105977. [Google Scholar] [CrossRef]
- Kojio, K.; Nozaki, S.; Takahara, A.; Yamasaki, S. Influence of Chemical Structure of Hard Segments on Physical Properties of Polyurethane Elastomers: A Review. J. Polym. Res. 2020, 27, 64–67. [Google Scholar] [CrossRef]
- Available online: https://Www.Thebusinessresearchcompany.Com/Report/Polyurethane-Global-Market-Report#:~:Text=The%20global%20polyurethane%20market%20size,At%20a%20CAGR%20of%2015.0%25 (accessed on 10 December 2022).
- Van Gheluwe, P.; Leroux, J. Sequential Nature of the Exothermic Reactions Leading to the Formation of Flexible Polyurethane Foams. J. Appl. Polym. Sci. 1983, 28, 2053–2067. [Google Scholar] [CrossRef]
- Kathalewar, M.; Sabnis, A.; Waghoo, G. Effect of Incorporation of Surface Treated Zinc Oxide on Non-Isocyanate Polyurethane Based Nano-Composite Coatings. Prog. Org. Coat. 2013, 76, 1215–1229. [Google Scholar] [CrossRef]
- Pauluhn, J. Short-term inhalation toxicity of polyisocyanate aerosols in rats: Comparative assessment of irritant-threshold concentrations by bronchoalveolar lavage. Inhal. Toxicol. 2002, 14, 287–301. [Google Scholar] [CrossRef]
- Nielsen, J.; Sangö, C.; Winroth, G.; Hallberg, T.; Skerfving, S. Systemic Reactions Associated with Polyisocyanate Exposure. Scand. J. Work. Environ. Health 1985, 11, 51–54. [Google Scholar] [CrossRef]
- Elwell, M.J. An FT i.r. Study of Reaction Kinetics and Structure Development in Model Flexible Polyurethane Foam Systems. Polymer 1996, 37, 1353–1361. [Google Scholar] [CrossRef]
- Bernal, M.M.; Lopez-manchado, M.A.; Verdejo, R. In Situ Foaming Evolution of Flexible Polyurethane Foam Nanocomposites. Macromol. Chem. Phys. 2011, 212, 971–979. [Google Scholar] [CrossRef]
- Cornille, A.; Dworakowska, S.; Bogdal, D.; Boutevin, B.; Caillol, S. A New Way of Creating Cellular Polyurethane Materials: NIPU Foams. Eur. Polym. J. 2015, 66, 129–138. [Google Scholar] [CrossRef]
- Wang, L.; Que, S.; Ding, Z.; Vessally, E. Oxidative Carboxylation of Olefins with CO2: Environmentally Benign Access to Five-Membered Cyclic Carbonates. RSC Adv. 2020, 10, 9103–9115. [Google Scholar] [CrossRef]
- Lopes, E.; Ribeiro, A.; Martins, L. New Trends in the Conversion of CO2 to Cyclic Carbonates. Catalysts 2020, 10, 479. [Google Scholar] [CrossRef]
- Quienne, B.; Poli, R.; Pinaud, J.; Caillol, S. Enhanced Aminolysis of Cyclic Carbonates by β-Hydroxylamines for the Production of Fully Biobased Polyhydroxyurethanes. Green Chem. 2021, 23, 1678–1690. [Google Scholar] [CrossRef]
- Dong, W.; Yoshida, Y.; Endo, T. Synthesis of Poly(Hydroxyurethane) from 5-membered Cyclic Carbonate under Mild Conditions in the Presence of Bicyclic Guanidine and Their Reaction Process. J. Polym. Sci. 2021, 59, 502–509. [Google Scholar] [CrossRef]
- Martínez de Sarasa Buchaca, M.; de la Cruz-Martínez, F.; Francés-Poveda, E.; Fernández-Baeza, J.; Sánchez-Barba, L.F.; Garcés, A.; Castro-Osma, J.A.; Lara-Sánchez, A. Synthesis of Nonisocyanate Poly(Hydroxy)Urethanes from Bis(Cyclic Carbonates) and Polyamines. Polymers 2022, 14, 2719. [Google Scholar] [CrossRef]
- Zareanshahraki, F.; Asemani, H.R.; Skuza, J.; Mannari, V. Synthesis of Non-Isocyanate Polyurethanes and Their Application in Radiation-Curable Aerospace Coatings. Prog. Org. Coat. 2020, 138, 105394. [Google Scholar] [CrossRef]
- Grzęda, D.; Węgrzyk, G.; Leszczyńska, M.; Szczepkowski, L.; Gloc, M.; Ryszkowska, J. Viscoelastic Polyurethane Foams for Use as Auxiliary Materials in Orthopedics. Materials 2021, 15, 133. [Google Scholar] [CrossRef]
- Stachak, P.; Łukaszewska, I.; Hebda, E.; Pielichowski, K. Recent Advances in Fabrication of Non-Isocyanate Polyurethane-Based Composite Materials. Materials 2021, 14, 3497. [Google Scholar] [CrossRef] [PubMed]
- Blattmann, H.; Lauth, M.; Mülhaupt, R. Flexible and Bio-Based Nonisocyanate Polyurethane (NIPU) Foams. Macromol. Mater. Eng. 2016, 301, 944–952. [Google Scholar] [CrossRef]
- Stefani, P.M.; Barchi, A.T.; Sabugal, J.; Vazquez, A. Characterization of Epoxy Foams. J. Appl. Polym. Sci. 2003, 90, 2992–2996. [Google Scholar] [CrossRef]
- Valette, V.; Kébir, N.; Tiavarison, F.B.; Burel, F.; Lecamp, L. Preparation of Flexible Biobased Non-Isocyanate Polyurethane (NIPU) Foams Using the Transurethanization Approach. React. Funct. Polym. 2022, 181, 105416. [Google Scholar] [CrossRef]
- Smith, D.L.; Rodriguez-Melendez, D.; Cotton, S.M.; Quan, Y.; Wang, Q.; Grunlan, J.C. Non-Isocyanate Polyurethane Bio-Foam with Inherent Heat and Fire Resistance. Polymers 2022, 14, 5019. [Google Scholar] [CrossRef]
- Anitha, S. Self- Blowing Non-Isocyanate Polyurethane Foam: Synthesis, Characterization and Properties. Mater. Lett. 2022, 14, 100142. [Google Scholar] [CrossRef]
- Monie, F.; Grignard, B.; Thomassin, J.; Mereau, R.; Tassaing, T.; Jerome, C.; Detrembleur, C. Chemo- and Regioselective Additions of Nucleophiles to Cyclic Carbonates for the Preparation of Self-Blowing Non-Isocyanate Polyurethane Foams. Angew. Chem. 2020, 132, 17181–17189. [Google Scholar] [CrossRef]
- Lopp, J.M.; Schmidt, V.A. Intermolecular Phosphite-Mediated Radical Desulfurative Alkene Alkylation Using Thiols. Org. Lett. 2019, 21, 8031–8036. [Google Scholar] [CrossRef]
- King, O.; Constant, E.; Weems, A.C. Shape Memory Poly(β-Hydroxythioether) Foams for Oil Remediation in Aquatic Environments. ACS Appl. Mater. Interfaces 2021, 13, 20641–20652. [Google Scholar] [CrossRef]
- Yin, Q.; Xu, B.; Qin, Y.; Zhao, J.; Cheng, J.; Zhang, J. Biobased Linear and Crystallizable Polyhydroxy(Amide-Urethane)s from Diglycerol Bis(Cyclic Carbonate) and the Polyamides of Dimer Fatty Acids. ACS Appl. Polym. Mater. 2022, 4, 2116–2131. [Google Scholar] [CrossRef]
- Luo, R.; Liu, X.; Chen, M.; Liu, B.; Fang, Y. Recent Advances on Imidazolium-Functionalized Organic Cationic Polymers for CO2 Adsorption and Simultaneous Conversion into Cyclic Carbonates. ChemSusChem 2020, 13, 3945–3966. [Google Scholar] [CrossRef] [PubMed]
- Han, L.; Choi, H.-J.; Kim, D.-K.; Park, S.-W.; Liu, B.; Park, D.-W. Porous Polymer Bead-Supported Ionic Liquids for the Synthesis of Cyclic Carbonate from CO2 and Epoxide. J. Mol. Catal. A Chem. 2011, 338, 58–64. [Google Scholar] [CrossRef]
- Pescarmona, P.P. Cyclic Carbonates Synthesised from CO2: Applications, Challenges and Recent Research Trends. Curr. Opin. Green Sustain. Chem. 2021, 29, 100457. [Google Scholar] [CrossRef]
- Clark, J.H.; Farmer, T.J.; Ingram, I.D.V.; Lie, Y.; North, M. Renewable Self-Blowing Non-Isocyanate Polyurethane Foams from Lysine and Sorbitol: Renewable Self-Blowing Non-Isocyanate Polyurethane Foams from Lysine and Sorbitol. Eur. J. Org. Chem. 2018, 2018, 4265–4271. [Google Scholar] [CrossRef]
- Das, R.; Nagaraja, C.M. Highly Efficient Fixation of Carbon Dioxide at RT and Atmospheric Pressure Conditions: Influence of Polar Functionality on Selective Capture and Conversion of CO2. Inorg. Chem. 2020, 59, 9765–9773. [Google Scholar] [CrossRef]
- Camara, F.; Benyahya, S.; Besse, V.; Boutevin, G.; Auvergne, R.; Boutevin, B.; Caillol, S. Reactivity of Secondary Amines for the Synthesis of Non-Isocyanate Polyurethanes. Eur. Polym. J. 2014, 55, 17–26. [Google Scholar] [CrossRef]
- Fleischer, M.; Blattmann, H.; Mülhaupt, R. Glycerol-, Pentaerythritol- and Trimethylolpropane-Based Polyurethanes and Their Cellulose Carbonate Composites Prepared via the Non-Isocyanate Route with Catalytic Carbon Dioxide Fixation. Green Chem. 2013, 15, 934. [Google Scholar] [CrossRef]
- Schmidt, S.; Göppert, N.E.; Bruchmann, B.; Mülhaupt, R. Liquid Sorbitol Ether Carbonate as Intermediate for Rigid and Segmented Non-Isocyanate Polyhydroxyurethane Thermosets. Eur. Polym. J. 2017, 94, 136–142. [Google Scholar] [CrossRef]
- Besse, V.; Auvergne, R.; Carlotti, S.; Boutevin, G.; Otazaghine, B.; Caillol, S.; Pascault, J.P.; Boutevin, B. Synthesis of Isosorbide Based Polyurethanes: An Isocyanate Free Method. React. Funct. Polym. 2013, 73, 588–594. [Google Scholar] [CrossRef]
- Liu, G.; Wu, G.; Chen, J.; Huo, S.; Jin, C.; Kong, Z. Synthesis and Properties of POSS-Containing Gallic Acid-Based Non-Isocyanate Polyurethanes Coatings. Polym. Degrad. Stab. 2015, 121, 247–252. [Google Scholar] [CrossRef]
- Esmaeili, N.; Zohuriaan-Mehr, M.J.; Salimi, A.; Vafayan, M.; Meyer, W. Tannic Acid Derived Non-Isocyanate Polyurethane Networks: Synthesis, Curing Kinetics, Antioxidizing Activity and Cell Viability. Thermochim. Acta 2018, 664, 64–72. [Google Scholar] [CrossRef]
- Ramachandran, P.V.; Burghardt, T.E. Recent Developments in the Chiral Synthesis of Homoallylic Amines via Organoboranes. Pure Appl. Chem. 2006, 78, 1397–1406. [Google Scholar] [CrossRef]
- Tomita, H.; Sanda, F.; Endo, T. Reactivity Comparison of Five- and Six-Membered Cyclic Carbonates with Amines: Basic Evaluation for Synthesis of Poly(Hydroxyurethane). J. Polym. Sci. Part A Polym. Chem. 2001, 39, 162–168. [Google Scholar] [CrossRef]
- Mora, A.-S.; Tayouo, R.; Boutevin, B.; David, G.; Caillol, S. Synthesis of Biobased Reactive Hydroxyl Amines by Amination Reaction of Cardanol-Based Epoxy Monomers. Eur. Polym. J. 2019, 118, 429–436. [Google Scholar] [CrossRef]
- Wang, X.; Gao, S.; Wang, J.; Xu, S.; Li, H.; Chen, K.; Ouyang, P. The Production of Biobased Diamines from Renewable Carbon Sources: Current Advances and Perspectives. Chin. J. Chem. Eng. 2021, 30, 4–13. [Google Scholar] [CrossRef]
- Włoch, M.; Datta, J. Synthesis, Structure and Properties of Poly(Ester-Urethane-Urea)s Synthesized Using Biobased Diamine. J. Renew. Mater. 2016, 4, 72–77. [Google Scholar] [CrossRef]
- Khan, M.D.; Malik, M.A.; Revaprasadu, N. Progress in Selenium Based Metal-Organic Precursors for Main Group and Transition Metal Selenide Thin Films and Nanomaterials. Coord. Chem. Rev. 2019, 388, 24–47. [Google Scholar] [CrossRef]
- Sternberg, J.; Pilla, S. Materials for the Biorefinery: High Bio-Content, Shape Memory Kraft Lignin-Derived Non-Isocyanate Polyurethane Foams Using a Non-Toxic Protocol. Green Chem. 2020, 22, 6922–6935. [Google Scholar] [CrossRef]







| Starting Molecules | Cyclic Carbonates Prepared | Synthesis of Epoxide Conditions | Fixation of CO2 Conditions | References |
|---|---|---|---|---|
| 1,4-butanediol | ![]() | Commercial epoxy prepared by Butanediol (Butanediol diglycidyl ether) | LiBr as Catalyst DMF as solvent P = 10 bars in reactor 80 °C, 18 h | Camara et al. [57] |
| Glycerol | ![]() | TBAB as Catalyst Solvent-free P = 30 bars in reactor 120 °C, 10 h | Fleischer et al. [58] | |
| Sorbitol | ![]() | Epichlorohydrin NaOH TBAB | TBAB as Catalyst Solvent-free P = 30 bars in reactor 24 h | Schmidt et al. [59] |
| Isosorbide | ![]() | Epichlorohydrin NaOH Water | LiBr as Catalyst DMF as solvent P = 6 bars in reactor 80 °C, 12 h | Besse et al. [60] |
| Gallic acid | ![]() | LiBr as Catalyst Ethylene glycol as solvent N-methyl pyrrolidone P = 2 MPa bars in reactor 100 °C, 9 h | Guifeng et al. [61] | |
| Vanillin | ![]() | Epichlorohydrin NaOH TEBAC | LiBr as Catalyst Acetone as solvent P = 12 bars in Autoclave 80 °C, 12 h | Fache et al. [19] |
| Tannic acid | ![]() | Epichlorohydrin NaOH TBAB | TBAB as Catalyst DMF as solvent CO2 gently bubled 80 °C, 2 h | Esmaeili et al. [62] |
Disclaimer/Publisher’s Note: The statements, opinions and data contained in all publications are solely those of the individual author(s) and contributor(s) and not of MDPI and/or the editor(s). MDPI and/or the editor(s) disclaim responsibility for any injury to people or property resulting from any ideas, methods, instructions or products referred to in the content. |
© 2023 by the authors. Licensee MDPI, Basel, Switzerland. This article is an open access article distributed under the terms and conditions of the Creative Commons Attribution (CC BY) license (https://creativecommons.org/licenses/by/4.0/).
Share and Cite
El Khezraji, S.; Ben youcef, H.; Belachemi, L.; Lopez Manchado, M.A.; Verdejo, R.; Lahcini, M. Recent Progress of Non-Isocyanate Polyurethane Foam and Their Challenges. Polymers 2023, 15, 254. https://doi.org/10.3390/polym15020254
El Khezraji S, Ben youcef H, Belachemi L, Lopez Manchado MA, Verdejo R, Lahcini M. Recent Progress of Non-Isocyanate Polyurethane Foam and Their Challenges. Polymers. 2023; 15(2):254. https://doi.org/10.3390/polym15020254
Chicago/Turabian StyleEl Khezraji, Said, Hicham Ben youcef, Larbi Belachemi, Miguel A. Lopez Manchado, Raquel Verdejo, and Mohammed Lahcini. 2023. "Recent Progress of Non-Isocyanate Polyurethane Foam and Their Challenges" Polymers 15, no. 2: 254. https://doi.org/10.3390/polym15020254
APA StyleEl Khezraji, S., Ben youcef, H., Belachemi, L., Lopez Manchado, M. A., Verdejo, R., & Lahcini, M. (2023). Recent Progress of Non-Isocyanate Polyurethane Foam and Their Challenges. Polymers, 15(2), 254. https://doi.org/10.3390/polym15020254








