The Electric–Thermal Effect of a Carbon-Fibre-Reinforced Epoxy Composite and Its Corresponding Mechanical Properties
Abstract
1. Introduction
2. Experimental Materials and Instruments
2.1. Experimental Materials
2.2. Test Instrument and Method
3. Results and Discussion
3.1. Electrothermal Behavior of CFRE
3.2. Influence of Electrothermal Treatment on Flexural Performance of CFRE Plate
3.3. Fracture Surface Morphology of CFRE Plate
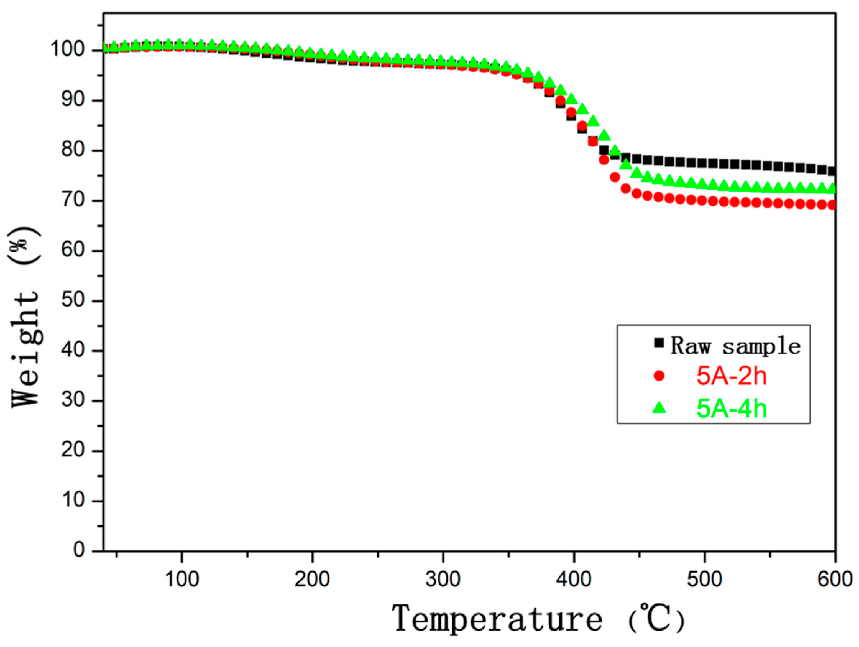
3.4. Thermal Stability Analysis
3.5. Electrothermal Response of Saturated Hygroscopic CFRE Plates
4. Conclusions
- Under the electrothermal effect, the higher the current, the higher the steady-state equilibrium temperature of CFRE samples. The CFRE sample could approach the steady-state equilibrium temperature within 2 min under 5A current.
- The flexural performance of the CFRE composite was clearly affected by both the conducted current and time. The optimum electrothermal treatment conditions for improving material mechanical properties of the CFRE composite included a current loading of 5A for 2 h.
- It was found that the appropriate electrothermal treatment could improve the carbon fibre/polymer interface in the CFRE sample.
- Thermogravimetric analysis demonstrated that the thermal stability of CFRE composites decreased clearly after the electrothermal treatment.
- Under the same electrothermal action, the achieved steady-state equilibrium temperature of the CFRE plate decreased significantly with the saturated hygroscopicity.
Author Contributions
Funding
Institutional Review Board Statement
Informed Consent Statement
Data Availability Statement
Acknowledgments
Conflicts of Interest
References
- Duo, Y.; Liu, X.; Liu, Y.; Tafsirojjaman, T.; Sabbrojjaman, M. Environmental impact on the durability of FRP reinforcing bars. J. Build. Eng. 2021, 43, 102909. [Google Scholar] [CrossRef]
- Friedrich, K.; Almajid, A.A. Manufacturing aspects of advanced polymer composites for automotive applications. Appl. Compos. Mater. 2013, 20, 107–128. [Google Scholar] [CrossRef]
- Tafsirojjaman, T.; Ur Rahman Dogar, A.; Liu, Y.; Manalo, A.; Thambiratnam, D.P. Performance and design of steel structures reinforced with FRP composites: A state-of-the-art review. Eng. Fail. Anal. 2022, 138, 106371. [Google Scholar] [CrossRef]
- Hung, C.-C.; Dillehay, M.E.; Stahl, M. A heater made from graphite composite material for potential deicing application. J. Aircr. 1987, 24, 725–730. [Google Scholar] [CrossRef]
- Ma, H.; Zhang, D.; Meng, F.; Chen, W. Experiment of electro-thermal anti-icing on a composite assembly. J. Aviat. 2013, 34, 1846–1853. [Google Scholar]
- Vertuccio, L.; Foglia, F.; Pantani, R.; Romero-Sánchez, M.; Calderón, B.; Guadagno, L. Carbon nanotubes and expanded graphite based bulk nanocomposites for de-icing applications. Compos. B Eng. 2021, 207, 108583. [Google Scholar] [CrossRef]
- Falzon, B.G.; Robinson, P.; Frenz, S.; Gilbert, B. Development and evaluation of a novel integrated anti-icing/de-icing technology for carbon fibre composite aerostructures using an electro-conductive textile. Compos. Part A Appl. Sci. Manuf. 2015, 68, 323–335. [Google Scholar] [CrossRef]
- Raji, A.-R.O.; Varadhachary, T.; Nan, K.; Wang, T.; Lin, J.; Ji, Y.; Genorio, B.; Zhu, Y.; Kittrell, C.; Tour, J.M. Composites of Graphene Nanoribbon Stacks and Epoxy for Joule Heating and Deicing of Surfaces. ACS Appl. Mater. Interfaces 2016, 8, 3551–3556. [Google Scholar] [CrossRef] [PubMed]
- Amaro, A.M.; Reis, P.N.B.; Neto, M.A.; Santos, M.; Santos, J.B. Effect of the electric current on the stress relaxation behaviour of CFRP composites. Thin-Walled Struct. 2020, 149, 106659. [Google Scholar] [CrossRef]
- Hirano, Y.; Katsumata, S.; Iwahori, Y.; Todoroki, A. Artificial lightning testing on graphite/epoxy composite laminate. Compos. Part A Appl. Sci. Manuf. 2010, 41, 1461–1470. [Google Scholar] [CrossRef]
- Lu, P.; Bi, Y.; Wang, Z.; Zhang, J.; Zhang, G. Effects of electric thermal effect on mechanical properties of carbon fiber reinforced polymer. Acta Mater. Compos. Sin. 2016, 33, 2223–2229. [Google Scholar]
- Zhupanska, O.I.; Sierakowski, R.L. Electro-thermo-mechanical coupling in carbon fiber polymer matrix composites. Acta Mech. 2011, 21, 319–332. [Google Scholar] [CrossRef]
- Sierakowski, R.L.; Telitchev, I.Y.; Zhupanska, O.I. On the impact response of electrified carbon fiber polymer matrix composites: Effects of electric current intensity and duration. Compos. Sci. Technol. 2008, 68, 639–649. [Google Scholar] [CrossRef]
- Lin, Y.; Gigliotti, M.; Lafarie-Frenot, M.C.; Bai, J. Thermoelectrical coupling effect on tensile and fatigue strength of composite materials for aeronautical application. Acta Aeronaut. Astronaut. Sin. 2014, 35, 3315–3323. [Google Scholar]
- Amaro, A.; Reis, P.; Santos, J.; Santos, M.; Neto, M. Effect of the electric current on the impact fatigue strength of CFRP composites. Compos. Struct. 2017, 182, 191–198. [Google Scholar] [CrossRef]
- Kotikalapudi, S.T.; Akula, R.; Singh, R.P. Degradation mechanisms in carbon fiber–epoxy laminates subjected to constant low-density direct current. Compos. Part B 2022, 233, 109516. [Google Scholar] [CrossRef]
- Xu, F.; Du, X.-S.; Liu, H.-Y.; Guo, W.-G.; Mai, Y.-W. Temperature effect on nano-rubber toughening in epoxy and epoxy/carbon fiber laminated composites. Compos. Part B Eng. 2016, 95, 423–432. [Google Scholar] [CrossRef]
- Wang, Z.; Ye, L.; Liu, Y. Electro-thermal damage of carbon fiber/epoxy composite laminate. J. Reinf. Plast. Compos. 2018, 37, 166–180. [Google Scholar] [CrossRef]
- Zantout, A.E.; Zhupanska, O.I. On the electrical resistance of carbon fiber polymer matrix composites. Compos. Part A Appl. Sci. Manuf. 2010, 41, 1719–1727. [Google Scholar] [CrossRef]
- Du, X.; Zhou, H.; Sun, W.; Liu, H.-Y.; Zhou, G.; Zhou, H.; Mai, Y.-W. Graphene/epoxy interleaves for delamination toughening and monitoring of crack damage in carbon fibre/epoxy composite laminates. Compos. Sci. Technol. 2017, 140, 123–133. [Google Scholar] [CrossRef]
- Zhou, H.; Du, X.; Liu, H.-Y.; Zhou, H.; Zhang, Y.; Mai, Y.-W. Delamination toughening of carbon fiber/epoxy laminates by hierarchical carbon nanotube-short carbon fiber interleaves. Compos. Sci. Technol. 2017, 140, 46–53. [Google Scholar] [CrossRef]
- Xue, Y.; Gu, B.; Sun, B. Effect of direct current direction on electro-thermal damage of carbon fiber/epoxy plain woven laminates. Compos. Struct. 2022, 300, 116197. [Google Scholar] [CrossRef]
- Liu, Y.; Xie, J.; Tafsirojjaman, T.; Yue, Q.; Tan, C.; Che, G. CFRP lamella stay-cable and its force measurement based on microwave radar. Case Stud. Constr. Mater. 2022, 16, e00824. [Google Scholar] [CrossRef]
- Liu, Y.; Gu, M.; Liu, X.; Tafsirojjaman, T. Life-Cycle Cost Analysis of Long-Span CFRP Cable-Stayed Bridges. Polymers 2022, 14, 1740. [Google Scholar] [CrossRef] [PubMed]
- Liu, Y.; Tafsirojjaman, T.; Dogar, A.U.R.; Hückler, A. Bond behaviour improvement between infra-lightweight and high strength concretes using FRP grid reinforcements and development of bond strength prediction models. Constr. Build. Mater. 2021, 270, 121426. [Google Scholar] [CrossRef]
- Liu, Y.; Tafsirojjaman, T.; Dogar, A.U.R.; Hückler, A. Shrinkage behavior enhancement of infra-lightweight concrete through FRP grid reinforcement and development of their shrinkage prediction models. Constr. Build. Mater. 2020, 258, 119649. [Google Scholar] [CrossRef]
- Deng, S.Q.; Ye, L.; Mai, Y.-W. Measurement of interfacial shear strength of carbon fibre/epoxy composites using a single fibre pull-out test. Adv. Compos. Mater. 1998, 7, 169–182. [Google Scholar] [CrossRef]
- HB7401-1996; Test Method for Moisture Absorption of Resin Matrix Composite Laminates in Humid and Hot Environment. China National Aviation Industry Corporation: Beijing, China, 1997.










Publisher’s Note: MDPI stays neutral with regard to jurisdictional claims in published maps and institutional affiliations. |
© 2022 by the authors. Licensee MDPI, Basel, Switzerland. This article is an open access article distributed under the terms and conditions of the Creative Commons Attribution (CC BY) license (https://creativecommons.org/licenses/by/4.0/).
Share and Cite
Zhu, R.; Wang, G.; Lin, Y.; Long, J.; Du, L.; Du, X.; Abousnina, R.; Tafsirojjaman, T. The Electric–Thermal Effect of a Carbon-Fibre-Reinforced Epoxy Composite and Its Corresponding Mechanical Properties. Polymers 2022, 14, 4489. https://doi.org/10.3390/polym14214489
Zhu R, Wang G, Lin Y, Long J, Du L, Du X, Abousnina R, Tafsirojjaman T. The Electric–Thermal Effect of a Carbon-Fibre-Reinforced Epoxy Composite and Its Corresponding Mechanical Properties. Polymers. 2022; 14(21):4489. https://doi.org/10.3390/polym14214489
Chicago/Turabian StyleZhu, Runtian, Guoxian Wang, Yuebin Lin, Jinxi Long, Longji Du, Xusheng Du, Rajab Abousnina, and T. Tafsirojjaman. 2022. "The Electric–Thermal Effect of a Carbon-Fibre-Reinforced Epoxy Composite and Its Corresponding Mechanical Properties" Polymers 14, no. 21: 4489. https://doi.org/10.3390/polym14214489
APA StyleZhu, R., Wang, G., Lin, Y., Long, J., Du, L., Du, X., Abousnina, R., & Tafsirojjaman, T. (2022). The Electric–Thermal Effect of a Carbon-Fibre-Reinforced Epoxy Composite and Its Corresponding Mechanical Properties. Polymers, 14(21), 4489. https://doi.org/10.3390/polym14214489

