Morphological, Mechanical and Gas Penetration Properties of Elastomer Composites with Hybrid Fillers
Abstract
:1. Introduction
2. Materials and Methods
2.1. Materials
2.2. Preparation of Nanocomposites
2.3. Characterization
3. Results and Discussion
3.1. X-ray Photoelectron Spectroscopy Analysis of Carbon-Based Materials
3.2. Morphology Analysis
3.2.1. Morphology Analysis of Materials
3.2.2. Morphology Analysis of EPDM/GnPs Composites
3.2.3. Morphology Analysis of Hybrid Composites
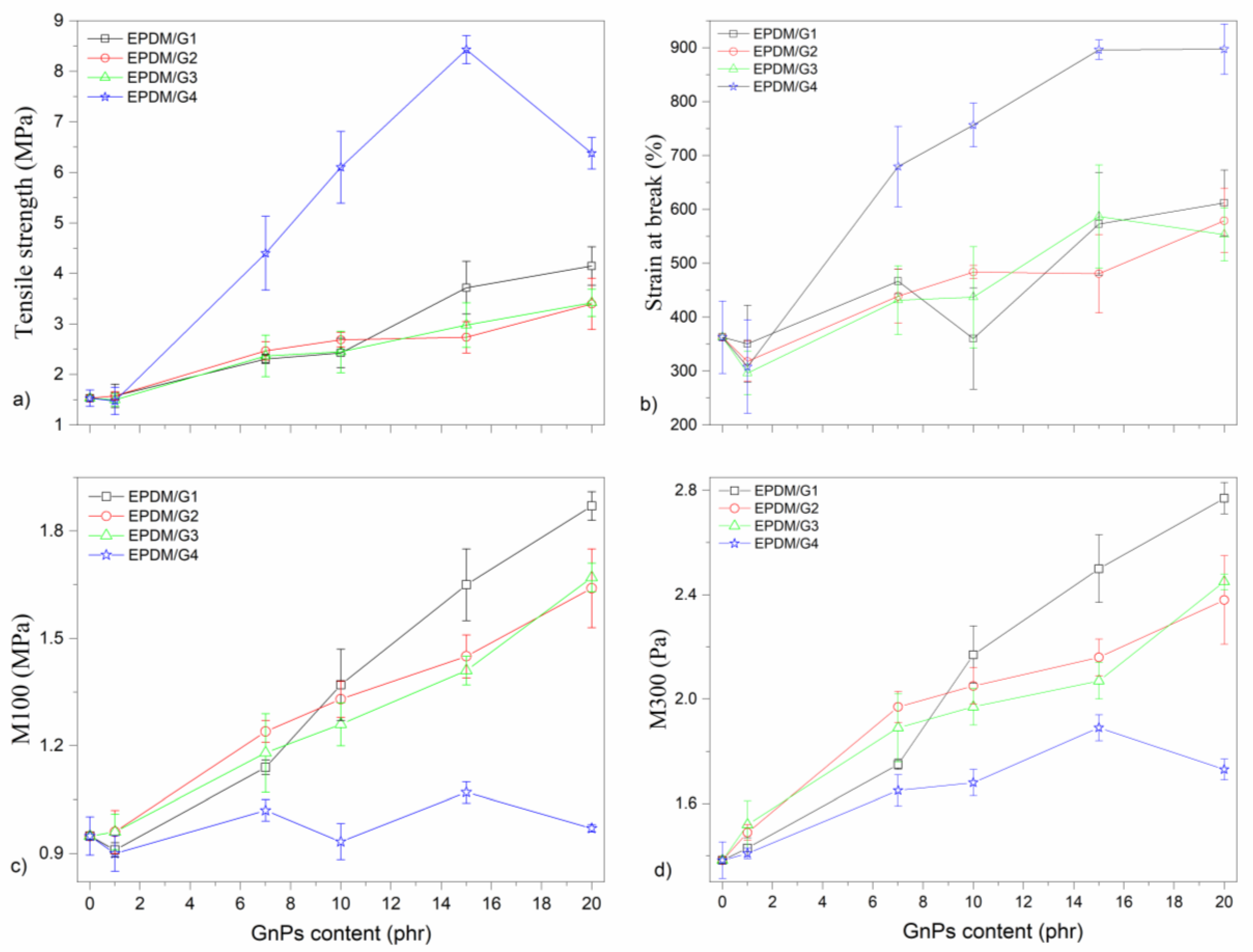
3.3. Mechanical Testing Results
3.3.1. Mechanical Testing Results of EPDM/GnPs Composites
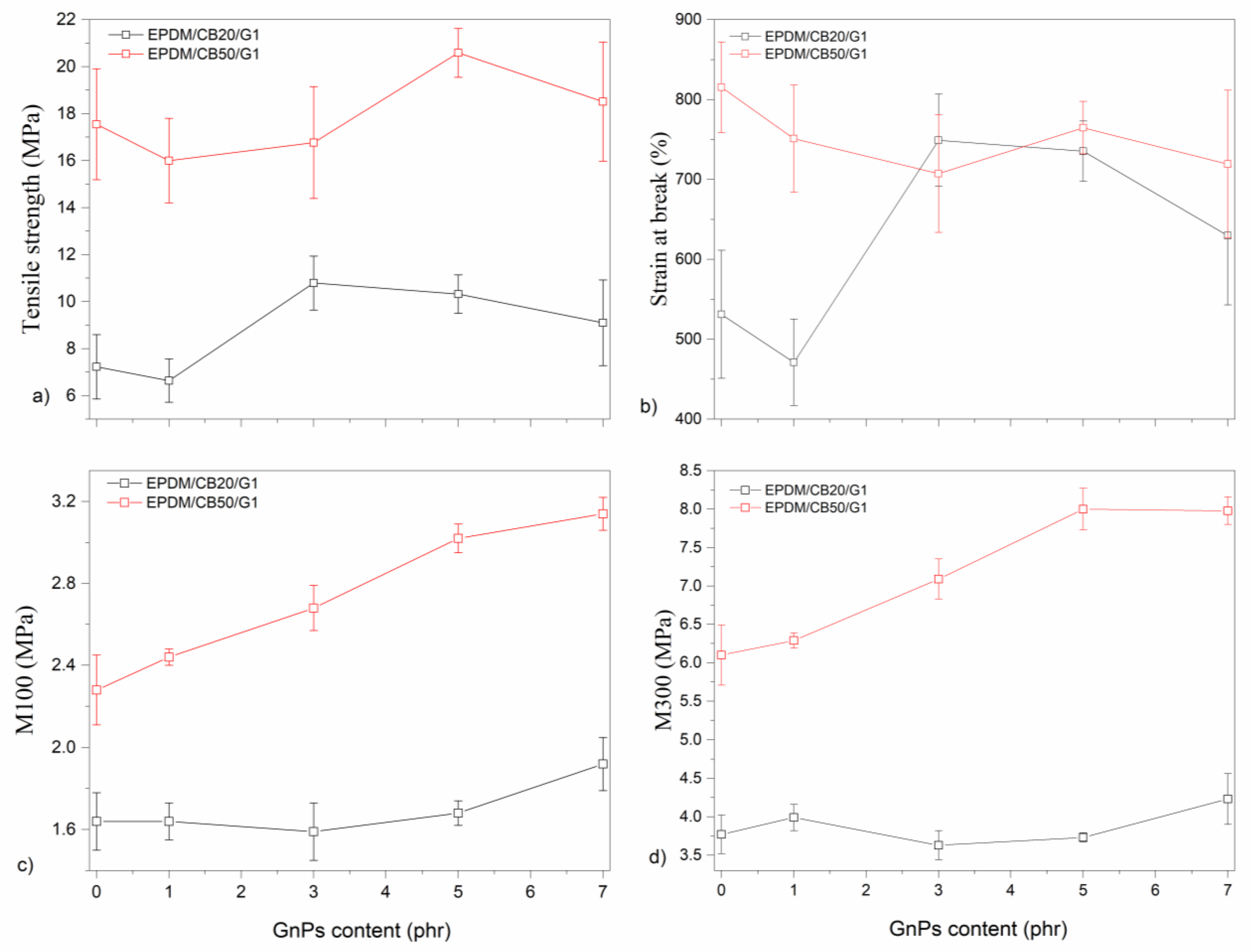
3.3.2. Mechanical Testing Results of Hybrid Composites
3.4. Dynamic Mechanical Analysis
3.4.1. Dynamic Mechanical Analysis of EPDM/GnPs Composites
3.4.2. Dynamic Mechanical Analysis of Hybrid Composites
3.5. Crosslink Density
3.5.1. Crosslink Density of EPDM/GnPs Composites
3.5.2. Crosslink Density of Hybrid Composites
3.6. Oxygen Permeability
4. Conclusions
- Based on SEM results, the GnPs with low specific surface area show separate dispersion through the EPDM matrix, the one with the high surface area exhibits aggregated dispersal in the polymer matrix because of its high surface energy and small dimension. The addition of GnPs into the EPDM/CB composites results in better dispersion of the filler as compared to the composites with only CB.
- Concerning the reinforcing effect, the specific surface area is the ruling parameter, while the differences in the lateral size have only a marginal effect, if any. For GnPs with a specific surface area of 170 m2/g, the lateral size effect of GnPs does not have a pronounced impact on tan δ and Tg of the EPDM/GnPs composites. GnPs with 800 m2/g show almost the same value as the unfilled EPDM.
- Usually, for all series of EPDM-based composites, the crosslink density increases with increasing filler loading due to the formation of physical crosslinks. Only the composites including GnPs with a higher surface area (800 m2/g) exhibit the opposite of this behavior. For a given specific surface area of GnPs, 170 m2/g, the optimum lateral size for the swelling ratio and crosslinking density is nearly 30 µm over 18 µm and 7 µm. In the case of hybrid composites, the optimum GnPs loading is needed to obtain the lowest swelling ratio and the highest crosslinking density.
- The size of GnPs has no considerable influence on the oxygen permeability in EPDM/GnPs composites, but a synergistic effect of CB and GnPs presence in the EPDM matrix is observed. Materials based on vulcanized elastomers with specific 2D fillers with gas permeability decreasing have interesting application potential.
Supplementary Materials
Author Contributions
Funding
Data Availability Statement
Acknowledgments
Conflicts of Interest
References
- Mohd Zaini, N.A.; Ismail, H.; Rusli, A. Sepiolite Hybridized Commercial Fillers, and Their Effects on Curing Process, Mechanical Properties, Thermal Stability, and Flammability of Ethylene Propylene Diene Monomer Rubber Composites. Iran. Polym. J. (Engl. Ed.) 2018, 27, 663–675. [Google Scholar] [CrossRef]
- Valentini, L.; Bittolo Bon, S.; Lopez-Manchado, M.A.; Verdejo, R.; Pappalardo, L.; Bolognini, A.; Alvino, A.; Borsini, S.; Berardo, A.; Pugno, N.M. Synergistic Effect of Graphene Nanoplatelets and Carbon Black in Multifunctional EPDM Nanocomposites. Compos. Sci. Technol. 2016, 128, 123–130. [Google Scholar] [CrossRef]
- Mensah, B.; Kim, S.; Arepalli, S.; Nah, C. A Study of Graphene Oxide-Reinforced Rubber Nanocomposite. J. Appl. Polym. Sci. 2014, 131, 40640. [Google Scholar] [CrossRef]
- Araby, S.; Su, X.; Meng, Q.; Kuan, H.C.; Wang, C.H.; Mouritz, A.; Maged, A.; Ma, J. Graphene Platelets versus Phosphorus Compounds for Elastomeric Composites: Flame Retardancy, Mechanical Performance and Mechanisms. Nanotechnology 2019, 30, 385703. [Google Scholar] [CrossRef]
- Wang, Z.; Liu, J.; Wu, S.; Wang, W.; Zhang, L. Novel Percolation Phenomena and Mechanism of Strengthening Elastomers by Nanofillers. Phys. Chem. Chem. Phys. 2010, 12, 3014–3030. [Google Scholar] [CrossRef]
- Lei, Y.; He, J.; Zhao, Q.; Liu, T. A Nitrile Functionalized Graphene Filled Ethylene Propylene Diene Terpolymer Rubber Composites with Improved Heat Resistance. Compos. Part B Eng. 2018, 134, 81–90. [Google Scholar] [CrossRef]
- Yuan, Z.; Yang, Z.; Ding, Y.; Li, C.; Ye, L. Synergistic Reinforcing and Stabilizing Effect of Carbon Black-Zinc Dimethacrylate on the Ethylene Propylene Diene Monomer and Improving Mechanism of Sealing Resilience. Ind. Eng. Chem. Res. 2019, 58, 19937–19945. [Google Scholar] [CrossRef]
- Dash, B.K.; Achary, P.G.R.; Nayak, N.C.; Choudhary, R.N.P. Dielectric Relaxation Behavior of Exfoliated Graphite Nanoplatelet-Filled EPDM Vulcanizates. J. Electron. Mater. 2017, 46, 563–572. [Google Scholar] [CrossRef]
- Mahapatra, S.P.; Sridhar, V.; Chaudhary, R.N.P.; Tripathy, D.K. AC Conductivity and Positive Temperature Coefficient Effect in Microcellular EPDM Vulcanizates. Polym. Compos. 2008, 29, 1125–1136. [Google Scholar] [CrossRef]
- Domenech, S.C.; Bendo, L.; Mattos, D.J.S.; Borges, N.G.; Zucolotto, V.; Mattoso, L.H.C.; Soldi, V. Elastomeric Composites Based on Ethylene-Propylene-Diene Monomer Rubber and Conducting Polymer-Modified Carbon Black. Polym. Compos. 2009, 30, 897–906. [Google Scholar] [CrossRef]
- Malas, A.; Hatui, G.; Pal, P.; Das, C.K. Synergistic Effect of Expanded Graphite/Carbon Black on the Physical and Thermo-Mechanical Properties of Ethylene Propylene Diene Terpolymer. Polym.-Plast. Technol. Eng. 2014, 53, 716–724. [Google Scholar] [CrossRef]
- Lee, C.H.; Kim, S.W. Effects of Carbon Blacks on Electrical Properties of EPDM Compounds. J. Appl. Polym. Sci. 2000, 78, 2540–2546. [Google Scholar] [CrossRef]
- Khaled, M.A.; Hassan, E.A.; Elwy, A.; Metwally, E.E. Effect of Carbon Black on the Electrical and Creep Characteristics of EPDM Rubber. Mater. Lett. 1994, 19, 325–328. [Google Scholar] [CrossRef]
- Hamza, S.S. Effect of Aging and Carbon Black on the Mechanical Properties of EPDM Rubber. Polym. Test. 1998, 17, 131–137. [Google Scholar] [CrossRef]
- Hu, X.; Gao, H.; Zhou, X.; Cui, Y.; Ge, H. A New Approach to Rubber Reinforcement. RSC Adv. 2014, 4, 13662–13668. [Google Scholar] [CrossRef]
- Dijkhuis, K.A.J.; Noordermeer, J.W.M.; Dierkes, W.K. The Relationship between Crosslink System, Network Structure and Material Properties of Carbon Black Reinforced EPDM. Eur. Polym. J. 2009, 45, 3302–3312. [Google Scholar] [CrossRef]
- Valentini, L.; Bolognini, A.; Alvino, A.; Bittolo Bon, S.; Martin-Gallego, M.; Lopez-Manchado, M.A. Pyroshock Testing on Graphene Based EPDM Nanocomposites. Compos. Part B Eng. 2014, 60, 479–484. [Google Scholar] [CrossRef]
- Rybiński, P.; Syrek, B.; Marzec, A.; Szadkowski, B.; Kuśmierek, M.; Śliwka-Kaszyńska, M.; Mirkhodjaev, U.Z. Effects of Basalt and Carbon Fillers on Fire Hazard, Thermal, and Mechanical Properties of Epdm Rubber Composites. Materials 2021, 14, 5245. [Google Scholar] [CrossRef]
- Lu, S.; Bai, Y.; Wang, J.; Chen, D.; Ma, K.; Meng, Q.; Liu, X. Flexible GnPs/EPDM with Excellent Thermal Conductivity and Electromagnetic Interference Shielding Properties. Nano 2019, 14, 1950075. [Google Scholar] [CrossRef]
- Beutier, C.; David, L.; Sudre, G.; Cassagnau, P.; Heuillet, P.; Cantaloube, B.; Serghei, A. In-Situ Coupled Mechanical/Electrical Investigations of EPDM/CB Composite Materials: The Electrical Signature of the Mechanical Mullins Effect. Compos. Sci. Technol. 2022, 218, 109144. [Google Scholar] [CrossRef]
- Jha, N.; Sarkhel, G.; Mahapatra, S.P. Morphology, Barrier and Electrical Properties of Oil-Extended EPDM/Nanographite Nanocomposites. Mater. Today Proc. 2019, 45, 3850–3856. [Google Scholar] [CrossRef]
- Araby, S.; Zaman, I.; Meng, Q.; Kawashima, N.; Michelmore, A.; Kuan, H.C.; Majewski, P.; Ma, J.; Zhang, L. Melt Compounding with Graphene to Develop Functional, High-Performance Elastomers. Nanotechnology 2013, 24, 165601. [Google Scholar] [CrossRef] [PubMed]
- Valentín, J.L.; Mora-Barrantes, I.; Carretero-González, J.; López-Manchado, M.A.; Sotta, P.; Long, D.R.; Saalwächter, K. Novel Experimental Approach to Evaluate Filler-Elastomer Interactions. Macromolecules 2010, 43, 334–346. [Google Scholar] [CrossRef]
- Papageorgiou, D.G.; Kinloch, I.A.; Young, R.J. Graphene/Elastomer Nanocomposites. Carbon N. Y. 2015, 95, 460–484. [Google Scholar] [CrossRef]
- Watt, M.R.; Gerhardt, R.A. Factors That Affect Network Formation in Carbon Nanotube Composites and Their Resultant Electrical Properties. J. Compos. Sci. 2020, 4, 100. [Google Scholar] [CrossRef]
- Paszkiewicz, S.; Pypeć, K.; Irska, I.; Piesowicz, E. Functional Polymer Hybrid Nanocomposites Based on Polyolefins: A Review. Processes 2020, 8, 1475. [Google Scholar] [CrossRef]
- Babel, V.; Hiran, B.L. A Review on Polyaniline Composites: Synthesis, Characterization, and Applications. Polym. Compos. 2021, 42, 3142–3157. [Google Scholar] [CrossRef]
- Niyobuhungiro, D.; Hong, L. Graphene Polymer Composites: Review on Fabrication Method, Properties and Future Perspectives. Adv. Sci. Technol. Res. J. 2021, 15, 37–49. [Google Scholar] [CrossRef]
- Mensah, B.; Gupta, K.C.; Kang, G.; Lee, H.; Nah, C. A Comparative Study on Vulcanization Behavior of Acrylonitrile-Butadiene Rubber Reinforced with Graphene Oxide and Reduced Graphene Oxide as Fillers. Polym. Test. 2019, 76, 127–137. [Google Scholar] [CrossRef]
- Mensah, B.; Kumar, D.; Lim, D.K.; Kim, S.G.; Jeong, B.H.; Nah, C. Preparation and Properties of Acrylonitrile-Butadiene Rubber-Graphene Nanocomposites. J. Appl. Polym. Sci. 2015, 132, 13–15. [Google Scholar] [CrossRef]
- Giri, S.; Wan, C. Electronic Applications of Ethylene Vinyl Acetate and Its Composites; Springer: Berlin/Heidelberg, Germany, 2016; ISBN 9783319236629. [Google Scholar]
- Nwabunma, D.; Kyu, T. Polyolefin Composites; Springer: Berlin/Heidelberg, Germany, 2007; ISBN 9780471790570. [Google Scholar]
- Mensah, B.; Gupta, K.C.; Kim, H.; Wang, W.; Jeong, K.U.; Nah, C. Graphene-Reinforced Elastomeric Nanocomposites: A Review. Polym. Test. 2018, 68, 160–184. [Google Scholar] [CrossRef]
- Ke, K.; Yue, L.; Shao, H.; Yang, M.B.; Yang, W.; Manas-Zloczower, I. Boosting Electrical and Piezoresistive Properties of Polymer Nanocomposites via Hybrid Carbon Fillers: A Review. Carbon N. Y. 2021, 173, 1020–1040. [Google Scholar] [CrossRef]
- Szeluga, U.; Kumanek, B.; Trzebicka, B. Synergy in Hybrid Polymer/Nanocarbon Composites. A Review. Compos. Part A Appl. Sci. Manuf. 2015, 73, 204–231. [Google Scholar] [CrossRef]
- Safdari, M.; Al-haik, M.S. A Review on Polymeric Nanocomposites: Effect of Hybridization and Synergy on Electrical Properties; Elsevier Inc.: Amsterdam, The Netherlands, 2018; ISBN 9780128135747. [Google Scholar]
- Namasivayam, M.; Shapter, J. Factors Affecting Carbon Nanotube Fillers towards Enhancement of Thermal Conductivity in Polymer Nanocomposites: A Review. J. Compos. Mater. 2017, 51, 3657–3668. [Google Scholar] [CrossRef]
- Kumar, V.; Kalia, S.; Swart, H.C. Conducting Polymer Hybrids; Kumar, V., Kalia, S., Swart, H.C., Eds.; Springer Series on Polymer and Composite Materials; Springer International Publishing: Cham, Switzerland, 2017; ISBN 9783319464565. [Google Scholar]
- Zhang, H.; Zhang, G.; Tang, M.; Zhou, L.; Li, J.; Fan, X.; Shi, X.; Qin, J. Synergistic Effect of Carbon Nanotube and Graphene Nanoplates on the Mechanical, Electrical and Electromagnetic Interference Shielding Properties of Polymer Composites and Polymer Composite Foams. Chem. Eng. J. 2018, 353, 381–393. [Google Scholar] [CrossRef]
- Jun, Y.S.; Um, J.G.; Jiang, G.; Yu, A. A Study on the Effects of Graphene Nano-Platelets (GnPs) Sheet Sizes from a Few to Hundred Microns on the Thermal, Mechanical, and Electrical Properties of Polypropylene (PP)/GnPs Composites. Express Polym. Lett. 2018, 12, 885–897. [Google Scholar] [CrossRef]
- Evgin, T.; Turgut, A.; Hamaoui, G.; Spitalsky, Z.; Horny, N.; Micusik, M.; Chirtoc, M.; Sarikanat, M.; Omastova, M. Size Effects of Graphene Nanoplatelets on the Properties of High-Density Polyethylene Nanocomposites: Morphological, Thermal, Electrical, and Mechanical Characterization. Beilstein J. Nanotechnol. 2020, 11, 167–179. [Google Scholar] [CrossRef]
- Araby, S.; Saber, N.; Ma, X.; Kawashima, N.; Kang, H.; Shen, H.; Zhang, L.; Xu, J.; Majewski, P.; Ma, J. Implication of Multi-Walled Carbon Nanotubes on Polymer/Graphene Composites. Mater. Des. 2015, 65, 690–699. [Google Scholar] [CrossRef]
- Su, J.; Li, C. Effect of Plasma-Enhanced Chemical Vapor Deposition (PECVD) Graphene Content on the Properties of EPDM/Graphene Composites. J. Mater. Sci. Mater. Electron. 2021, 32, 9065–9073. [Google Scholar] [CrossRef]
- Zakaria, M.R.; Abdul Kudus, M.H.; Akil, H.M.; Mohd Thirmizir, M.Z. Comparative Study of Graphene Nanoparticle and Multiwall Carbon Nanotube Filled Epoxy Nanocomposites Based on Mechanical, Thermal and Dielectric Properties. Compos. Part B Eng. 2017, 119, 57–66. [Google Scholar] [CrossRef]
- Zhang, H.; Wang, C.; Zhang, Y. Preparation and Properties of Styrene-Butadiene Rubber Nanocomposites Blended with Carbon Black-Graphene Hybrid Filler. J. Appl. Polym. Sci. 2015, 132, 41309. [Google Scholar] [CrossRef]
- Cai, J.; Hu, N.; Wu, L.; Liu, Y.; Li, Y.; Ning, H.; Liu, X.; Lin, L. Preparing Carbon Black/Graphene/PVDF-HFP Hybrid Composite Films of High Piezoelectricity for Energy Harvesting Technology. Compos. Part A Appl. Sci. Manuf. 2019, 121, 223–231. [Google Scholar] [CrossRef]
- Xue, C.; Gao, H.; Hu, G. Viscoelastic and Fatigue Properties of Graphene and Carbon Black Hybrid Structure Filled Natural Rubber Composites under Alternating Loading. Constr. Build. Mater. 2020, 265, 120299. [Google Scholar] [CrossRef]
- Mondal, S.; Khastgir, D. Elastomer Reinforcement by Graphene Nanoplatelets and Synergistic Improvements of Electrical and Mechanical Properties of Composites by Hybrid Nano Fillers of Graphene-Carbon Black & Graphene-MWCNT. Compos. Part A Appl. Sci. Manuf. 2017, 102, 154–165. [Google Scholar] [CrossRef]
- Wang, L.-L.; Tong, Y.-P.; Zhang, L.-Q.; Tian, M. Comparison of Ethylene-Propylene Diene Terpolymer Composites Filled with Natural and Synthesized Micas. J. Appl. Polym. Sci. 2010, 116, 3184–3192. [Google Scholar] [CrossRef]
- Frounchi, M.; Dadbin, S.; Salehpour, Z.; Noferesti, M. Gas Barrier Properties of PP/EPDM Blend Nanocomposites. J. Membr. Sci. 2006, 282, 142–148. [Google Scholar] [CrossRef]










| Properties | G1 | G2 | G3 | G4 |
|---|---|---|---|---|
| Purity (%) | 99.9 | 99.9 | 99.9 | 99.9 |
| Thickness (t) (nm) | 5 | 5 | 5 | 3 |
| Diameter (D) (μm) | 30 | 18 | 7 | 1.5 |
| Aspect ratio (D/t) | 6000 | 3600 | 1400 | 500 |
| Specific surface area (m2/g) | 170 | 170 | 170 | 800 |
| Material | Content (phr) | Mixing Time (min) | Supplier |
|---|---|---|---|
| EPDM a | 100 | 0–1 | SpecialChem (New York, NY, USA) |
| GnPs b | 1, 3, 5, 7, 10, 15, 20 | 1–4 | Nanogarafi (Ankara, Turkey) |
| CB c | 20, 50 | 1–4 | MAKROchem S.A. (Lublin, Poland) |
| Oil | 10 | 4–6 | Unipetrol (Bratislava, Slovakia) |
| AOX-TMQ d | 1 | 1–4 | Nord Chemie (Alfianello, Italy) |
| ZnO e | 5 | Oddział Huta Oława (Oława, Poland) | |
| Stearic acid | 1 | OLEOCHEM, a.s (Ústí nad Labem-Střekov, Czechia) | |
| TMTD f | 2.5 | 6–6.5 | RDC S.r.l. (Bareggio, Italy) |
| Sulphur | 0.5 | 6.5–7 | CHEMICAL PLANTS “Siarkopol” TARNOBRZEG Ltd. (Tarnobrzeg, Poland) |
| GnPs (Phr) | EPDM/G1 | EPDM/G2 | EPDM/G3 | EPDM/G4 |
|---|---|---|---|---|
| 0 | −42.68 | −42.68 | −42.68 | −42.68 |
| 1 | −42.16 | −43.63 | −42.18 | −42.51 |
| 7 | −39.88 | −40.67 | −39.99 | −42.44 |
| G1 (Phr) | EPDM/CB20/G1 | EPDM/CB50/G1 |
|---|---|---|
| Unfilled EPDM | −42.68 | −42.68 |
| 0 | −41.89 | −42.81 |
| 1 | −40.24 | −40.80 |
| 3 | −39.14 | −40.51 |
| 5 | −39.39 | −39.79 |
| 7 | −38.70 | −39.56 |
| Samples | ξ | υe (mol·m−3) |
|---|---|---|
| Unfilled EPDM | 2.65 | 168.20 |
| EPDM/G1 | 2.32 | 224.90 |
| EPDM/G2 | 2.50 | 190.45 |
| EPDM/G3 | 2.52 | 188.00 |
| EPDM/G4 | 2.81 | 146.78 |
| G1 (Phr) | EPDM/CB20/G1 | EPDM/CB50/G1 | ||
|---|---|---|---|---|
| ξ | υe (mol·m−3) | ξ | υe (mol·m−3) | |
| Unfilled EPDM | 2.65 | 168.20 | 2.65 | 168.20 |
| 0 | 1.98 | 317.21 | 1.46 | 591.05 |
| 1 | 1.81 | 380.57 | 1.38 | 658.02 |
| 3 | 2.09 | 281.54 | 1.41 | 631.60 |
| 5 | 1.93 | 334.86 | 1.37 | 671.80 |
| 7 | 1.89 | 349.48 | 1.34 | 699.37 |
| Sample | Oxygen Permeability (cm3/m2·d·atm) |
|---|---|
| Unfilled EPDM | 1539 |
| EPDM/G1 (7 phr) | 1122 |
| EPDM/G4 (7 phr) | 1106 |
| EPDM/CB (20 phr) | 1244 |
| EPDM/CB20/G1 (7 phr) | 971 |
| EPDM/CB (50 phr) | 1063 |
| EPDM/CB50/G1 (7 phr) | 815 |
Publisher’s Note: MDPI stays neutral with regard to jurisdictional claims in published maps and institutional affiliations. |
© 2022 by the authors. Licensee MDPI, Basel, Switzerland. This article is an open access article distributed under the terms and conditions of the Creative Commons Attribution (CC BY) license (https://creativecommons.org/licenses/by/4.0/).
Share and Cite
Evgin, T.; Mičušík, M.; Machata, P.; Peidayesh, H.; Preťo, J.; Omastová, M. Morphological, Mechanical and Gas Penetration Properties of Elastomer Composites with Hybrid Fillers. Polymers 2022, 14, 4043. https://doi.org/10.3390/polym14194043
Evgin T, Mičušík M, Machata P, Peidayesh H, Preťo J, Omastová M. Morphological, Mechanical and Gas Penetration Properties of Elastomer Composites with Hybrid Fillers. Polymers. 2022; 14(19):4043. https://doi.org/10.3390/polym14194043
Chicago/Turabian StyleEvgin, Tuba, Matej Mičušík, Peter Machata, Hamed Peidayesh, Jozef Preťo, and Mária Omastová. 2022. "Morphological, Mechanical and Gas Penetration Properties of Elastomer Composites with Hybrid Fillers" Polymers 14, no. 19: 4043. https://doi.org/10.3390/polym14194043
APA StyleEvgin, T., Mičušík, M., Machata, P., Peidayesh, H., Preťo, J., & Omastová, M. (2022). Morphological, Mechanical and Gas Penetration Properties of Elastomer Composites with Hybrid Fillers. Polymers, 14(19), 4043. https://doi.org/10.3390/polym14194043

