Effect of Different Plasticizers on Thermal, Crystalline, and Permeability Properties of Poly(3–hydroxybutyrate–co−3–hydroxyhexanoate) Films
Abstract
:1. Introduction
2. Materials and Methods
2.1. Materials and Reagents
2.2. Preparation of The Films of PHBH
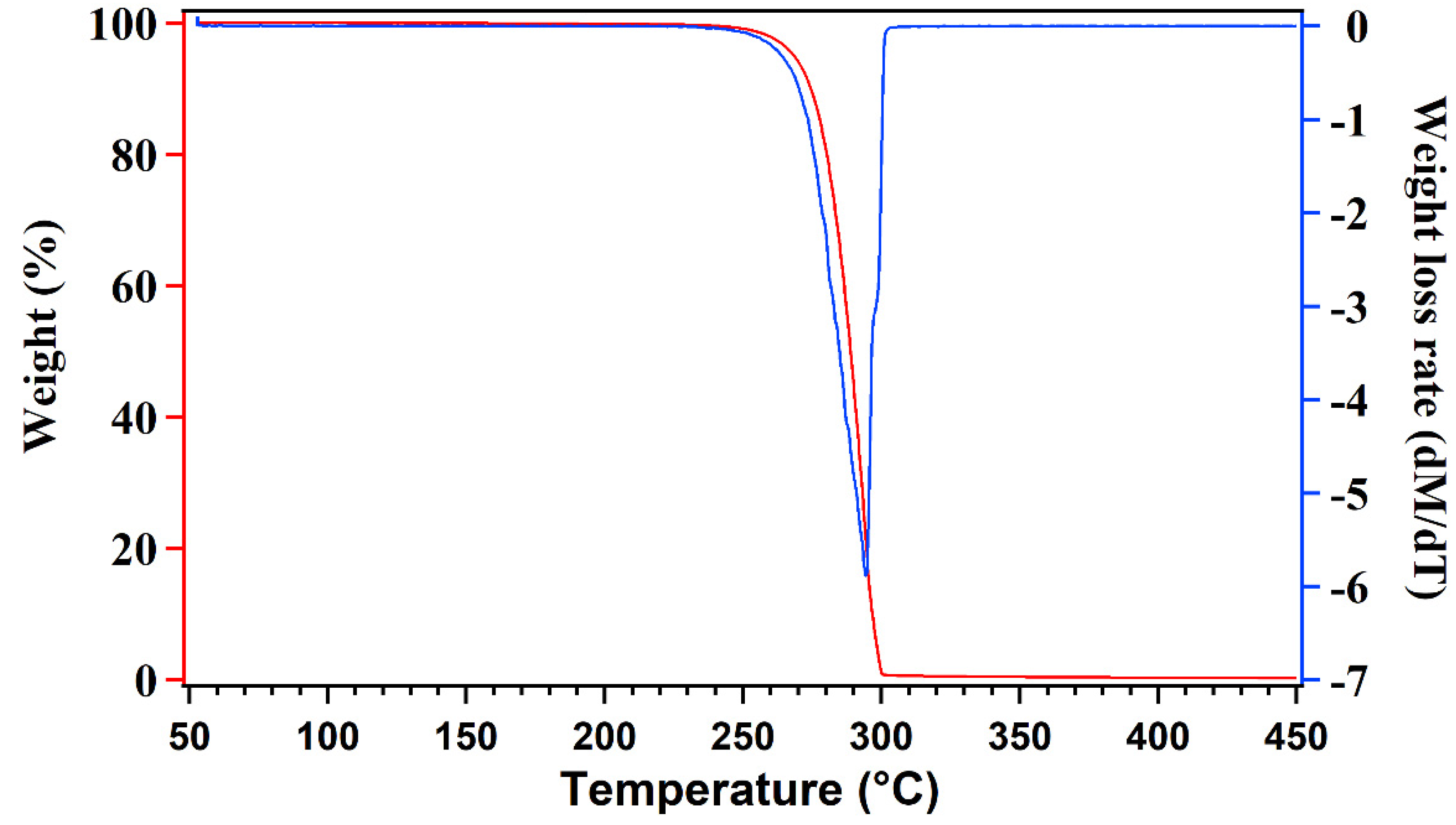
2.3. Thermogravimetric Analysis (TGA)
2.4. Differential Scanning Calorimetry (DSC)
2.5. X-ray Diffraction (XRD)
2.6. Water Vapor Transmission Rate
2.7. Oxygen Transmission Rate
3. Results
3.1. Preparation of the Films of PHBH
3.2. Thermogravimetric Analysis of The PHBH Films
3.3. DSC of The PHBH Films
3.4. X-ray Diffraction (XRD) of The PHBH Films
3.5. Water Vapor and Oxygen Transmission Rates
4. Conclusions
Supplementary Materials
Author Contributions
Funding
Data Availability Statement
Acknowledgments
Conflicts of Interest
References
- Geyer, R.; Jambeck, J.R.; Law, K.L. Production, Use, and Fate of All Plastics Ever Made. Sci. Adv. 2017, 3, 19–24. [Google Scholar] [CrossRef]
- Park, S.B.; Lih, E.; Park, K.S.; Joung, Y.K.; Han, D.K. Biopolymer-Based Functional Composites for Medical Applications. Prog. Polym. Sci. 2017, 68, 77–105. [Google Scholar] [CrossRef]
- Bink, N.; Mohan, V.B.; Fakirov, S. Recent Advances in Plastic Stents: A Comprehensive Review. Int. J. Polym. Mater. Polym. Biomater. 2021, 70, 54–74. [Google Scholar] [CrossRef]
- Guzik, M.; Witko, T.; Steinbüchel, A.; Wojnarowska, M.; Sołtysik, M.; Wawak, S. What Has Been Trending in the Research of Polyhydroxyalkanoates? A Systematic Review. Front. Bioeng. Biotechnol. 2020, 8. [Google Scholar] [CrossRef] [PubMed]
- Malmir, S.; Montero, B.; Rico, M.; Barral, L.; Bouza, R.; Farrag, Y. PHBV/CNC Bionanocomposites Processed by Extrusion: Structural Characterization and Properties. Polym. Compos. 2019, 40, E275–E284. [Google Scholar] [CrossRef]
- Shahid, S.; Razzaq, S.; Farooq, R.; Nazli, Z.I.H. Polyhydroxyalkanoates: Next Generation Natural Biomolecules and a Solution for the World’s Future Economy. Int. J. Biol. Macromol. 2021, 166, 297–321. [Google Scholar] [CrossRef]
- Luef, K.P.; Stelzer, F.; Wiesbrock, F. Poly(Hydroxy Alkanoate)s in Medical Applications. Chem. Biochem. Eng. Q. 2015, 29, 287–297. [Google Scholar] [CrossRef]
- Álvarez-Álvarez, L.; Barral, L.; Bouza, R.; Farrag, Y.; Otero-Espinar, F.; Feijóo-Bandín, S.; Lago, F. Hydrocortisone Loaded Poly-(3-Hydroxybutyrate-Co−3-Hydroxyvalerate) Nanoparticles for Topical Ophthalmic Administration: Preparation, Characterization and Evaluation of Ophthalmic Toxicity. Int. J. Pharm. 2019, 568, 118519. [Google Scholar] [CrossRef]
- Berezina, N.; Martelli, S.M. Polyhydroxyalkanoates: Structure, Properties and Sources. In RSC Green Chemistry; Ipsita, R., Visakh, P.M., Eds.; RSC: London, UK, 2015; pp. 18–46. [Google Scholar]
- Taguchi, S.; Matsumoto, K. Evolution of Polyhydroxyalkanoate Synthesizing Systems toward a Sustainable Plastic Industry. Polym. J. 2021, 53, 67–79. [Google Scholar] [CrossRef]
- Doi, Y.; Kitamura, S.; Abe, H. Microbial Synthesis and Characterization of Poly(3-Hydroxybutyrate-Co−3-Hydroxyhexanoate). Macromolecules 1995, 28, 4822–4828. [Google Scholar] [CrossRef]
- Ding, C.; Cheng, B.; Wu, Q. DSC Analysis of Isothermally Melt-Crystallized Bacterial Poly(3-Hydroxybutyrate-Co−3-Hydroxyhexanoate) Films. J. Therm. Anal. Calorim. 2011, 103, 1001–1006. [Google Scholar] [CrossRef]
- Chang, H.M.; Wang, Z.H.; Luo, H.N.; Xu, M.; Ren, X.Y.; Zheng, G.X.; Wu, B.J.; Zhang, X.H.; Lu, X.Y.; Chen, F.; et al. Poly(3-Hydroxybutyrate-Co−3-Hydroxyhexanoate)- Based Scaffolds for Tissue Engineering. Braz. J. Med. Biol. Res. 2014, 47, 533–539. [Google Scholar] [CrossRef] [PubMed]
- Mota, C.; Wang, S.Y.; Puppi, D.; Gazzarri, M.; Migone, C.; Chiellini, F.; Chen, G.Q.; Chiellini, E. Additive Manufacturing of Poly[(R)−3-Hydroxybutyrate-Co-(R)−3-Hydroxyhexanoate] Scaffolds for Engineered Bone Development. J. Tissue Eng. Regen. Med. 2017, 11, 175–186. [Google Scholar] [CrossRef] [PubMed]
- Dong, J.; Zhou, W.; Su, Y.; Ma, X. Enhanced Mechanical, Thermal, and Barrier Properties of Poly (3-Hydroxybutyrate-Co−3-Hydroxyhexanoate)/Montmorillonite Nanocomposites Using Silane Coupling Agent. Polym. Compos. 2020, 41, 4538–4549. [Google Scholar] [CrossRef]
- Vandewijngaarden, J.; Wauters, R.; Murariu, M.; Dubois, P.; Carleer, R.; Yperman, J.; D’Haen, J.; Ruttens, B.; Schreurs, S.; Lepot, N.; et al. Poly(3-Hydroxybutyrate-Co−3-Hydroxyhexanoate)/Organomodified Montmorillonite Nanocomposites for Potential Food Packaging Applications. J. Polym. Environ. 2016, 24, 104–118. [Google Scholar] [CrossRef]
- Jonnalagadda, D.; Kuboki, T. Effect of Natural Flours on Crystallization Behaviors of Poly(3-Hydroxybutyrate-Co−3-Hydroxyhexanoate). J. Appl. Polym. Sci. 2016, 133, 1–11. [Google Scholar] [CrossRef]
- Zhang, L.; Zheng, Z.; Xi, J.; Gao, Y.; Ao, Q.; Gong, Y.; Zhao, N.; Zhang, X. Improved Mechanical Property and Biocompatibility of Poly(3-Hydroxybutyrate-Co−3-Hydroxyhexanoate) for Blood Vessel Tissue Engineering by Blending with Poly(Propylene Carbonate). Eur. Polym. J. 2007, 43, 2975–2986. [Google Scholar] [CrossRef]
- Arfat, Y.A. Plasticizers for Biopolymer Films. Glas. Transit. Phase Transitions Food Biol. Mater. 2017, 47, 159–182. [Google Scholar] [CrossRef]
- Bocqué, M.; Voirin, C.; Lapinte, V.; Caillol, S.; Robin, J.J. Petro-Based and Bio-Based Plasticizers: Chemical Structures to Plasticizing Properties. J. Polym. Sci. Part A Polym. Chem. 2016, 54, 11–33. [Google Scholar] [CrossRef]
- Area, M.R.; Rico, M.; Montero, B.; Barral, L.; Bouza, R.; López, J.; Ramírez, C. Corn Starch Plasticized with Isosorbide and Filled with Microcrystalline Cellulose: Processing and Characterization. Carbohydr. Polym. 2019, 206, 726–733. [Google Scholar] [CrossRef]
- Battegazzore, D.; Bocchini, S.; Nicola, G.; Martini, E.; Frache, A. Isosorbide, a Green Plasticizer for Thermoplastic Starch That Does Not Retrogradate. Carbohydr. Polym. 2015, 119, 78–84. [Google Scholar] [CrossRef] [PubMed]
- Yang, Y.; Xiong, Z.; Zhang, L.; Tang, Z.; Zhang, R.; Zhu, J. Isosorbide Dioctoate as a “Green” Plasticizer for Poly(Lactic Acid). Mater. Des. 2016, 91, 262–268. [Google Scholar] [CrossRef]
- Area, M.R.; Montero, B.; Rico, M.; Barral, L.; Bouza, R.; López, J. Isosorbide Plasticized Corn Starch Filled with Poly(3-Hydroxybutyrate-Co−3-Hydroxyvalerate) Microparticles: Properties and Behavior under Environmental Factors. Int. J. Biol. Macromol. 2022, 202, 345–353. [Google Scholar] [CrossRef]
- Pillin, I.; Montrelay, N.; Grohens, Y. Thermo-Mechanical Characterization of Plasticized PLA: Is the Miscibility the Only Significant Factor? Polymer (Guildf) 2006, 47, 4676–4682. [Google Scholar] [CrossRef]
- D’souza, A.A.; Shegokar, R. Polyethylene Glycol (PEG): A Versatile Polymer for Pharmaceutical Applications. Expert Opin. Drug Deliv. 2016, 13, 1257–1275. [Google Scholar] [CrossRef] [PubMed]
- Ivorra-Martinez, J.; Verdu, I.; Fenollar, O.; Sanchez-Nacher, L.; Balart, R.; Quiles-Carrillo, L. Manufacturing and Properties of Binary Blend from Bacterial Polyester Poly(3-Hydroxybutyrate-Co−3-Hydroxyhexanoate) and Poly(Caprolactone) with Improved Toughness. Polymers 2020, 12, 1118. [Google Scholar] [CrossRef]
- Hosoda, N.; Tsujimoto, T.; Uyama, H. Green Composite of Poly(3-Hydroxybutyrate-Co−3-Hydroxyhexanoate) Reinforced with Porous Cellulose. ACS Sustain. Chem. Eng. 2014, 2, 248–253. [Google Scholar] [CrossRef]
- Gunaratne, L.M.W.K.; Shanks, R.A. Multiple Melting Behaviour of Poly(3-Hydroxybutyrate-Co-Hydroxyvalerate) Using Step-Scan DSC. Eur. Polym. J. 2005, 41, 2980–2988. [Google Scholar] [CrossRef]
- Hu, Y.; Zhang, J.; Sato, H.; Noda, I.; Ozaki, Y. Multiple Melting Behavior of Poly(3-Hydroxybutyrate-Co−3-Hydroxyhexanoate) Investigated by Differential Scanning Calorimetry and Infrared Spectroscopy. Polymer (Guildf) 2007, 48, 4777–4785. [Google Scholar] [CrossRef]
- Khandal, D.; Pollet, E.; Avérous, L. Polyhydroxyalkanoate-Based Multiphase Materials. In RSC Green Chemistry; The Royal Society of Chemistry: London, UK, 2015; pp. 119–140. [Google Scholar]
- Sato, H.; Nakamura, M.; Padermshoke, A.; Yamaguchi, H.; Terauchi, H.; Ekgasit, S.; Noda, I.; Ozaki, Y. Thermal Behavior and Molecular Interaction of Poly(3-Hydroxybutyrate-Co−3- Hydroxyhexanoate) Studied by Wide-Angle X-Ray Diffraction. Macromolecules 2004, 37, 3763–3769. [Google Scholar] [CrossRef]
- Requena, R.; Jiménez, A.; Vargas, M.; Chiralt, A. Effect of Plasticizers on Thermal and Physical Properties of Compression-Moulded Poly[(3-Hydroxybutyrate)-Co-(3-Hydroxyvalerate)] Films. Polym. Test. 2016, 56, 45–53. [Google Scholar] [CrossRef]
- Phothisarattana, D.; Wongphan, P.; Promhuad, K.; Promsorn, J.; Harnkarnsujarit, N. Biodegradable Poly(Butylene Adipate-Co-Terephthalate) and Thermoplastic Starch-Blended Tio2 Nanocomposite Blown Films as Functional Active Packaging of Fresh Fruit. Polymers 2021, 13, 4192. [Google Scholar] [CrossRef]
- González, K.; Martin, L.; González, A.; Retegi, A.; Eceiza, A.; Gabilondo, N. D-Isosorbide and 1,3-Propanediol as Plasticizers for Starch-Based Films: Characterization and Aging Study. J. Appl. Polym. Sci. 2017, 134. [Google Scholar] [CrossRef]
- Wongphan, P.; Khowthong, M.; Supatrawiporn, T.; Harnkarnsujarit, N. Novel Edible Starch Films Incorporating Papain for Meat Tenderization. Food Packag. Shelf Life 2022, 31, 100787. [Google Scholar] [CrossRef]
- Katekhong, W.; Wongphan, P.; Klinmalai, P.; Harnkarnsujarit, N. Thermoplastic Starch Blown Films Functionalized by Plasticized Nitrite Blended with PBAT for Superior Oxygen Barrier and Active Biodegradable Meat Packaging. Food Chem. 2022, 374, 131709. [Google Scholar] [CrossRef] [PubMed]



| Film ID | Plasticizer | Plasticizer w% |
|---|---|---|
| P−0 | – | 0 |
| PG−05 | GDAL | 5 |
| PG−10 | 10 | |
| PG−20 | 20 | |
| PG−30 | 30 | |
| PG−40 | 40 | |
| PG−50 | 50 | |
| PI−05 | Isosorbide | 5 |
| PI−10 | 10 | |
| PI−20 | 20 | |
| PI−30 | 30 | |
| PI−40 | 40 | |
| PI−50 | 50 | |
| PP200−10 | PEG 200 | 10 |
| PP200−20 | 20 | |
| PP400−10 | PEG 400 | 10 |
| PP400−20 | 20 | |
| PP600−10 | PEG 600 | 10 |
| PP600−20 | 20 | |
| PP100k−10 | PEG 100k | 10 |
| PP100k−20 | 20 |
| Film ID | To (°C) | Tmax (°C) | Tend (°C) |
|---|---|---|---|
| P−0 | 262.7 | 291.6 | 301.1 |
| PG−05 | 250.2 | 296.6 | 360.1 |
| PG−10 | 243.4 | 296.0 | 361.3 |
| PG−20 | 233.0 | 299.6 | 362.9 |
| PG−30 | 236.1 | 300.1 | 388.1 |
| PG−40 | 230.0 | 300.1 | 388.1 |
| PG−50 | 216.6 | 289.0 | 388.1 |
| PI−05 | 251.3 | 298.5 | 311.8 |
| PI−10 | 174.0 | 295.6 | 316.8 |
| PI−20 | 174.0 | 296.6 | 316.8 |
| PI−30 | 174.0 | 297.3 | 320.1 |
| PI−40 | 174.0 | 298.1 | 321.4 |
| PI−50 | 174.0 | 301.7 | 330.2 |
| PP200−10 | 231.7 | 289.9 | 398.6 |
| PP200−20 | 217.0 | 290.2 | 414.2 |
| PP400−10 | (1) 247.0/(2) 325.6 | (1) 294.7/(2) 389.6 | (1) 313.1/(2) 434.1 |
| PP400−20 | (1) 243.5/(2) 325.4 | (1) 288.8/(2) 397.7 | (1) 313.1/(2) 438.7 |
| PP600−10 | (1) 240.9/(2) 328.8 | (1) 288.7/(2) 402.7 | (1) 310.1/(2) 437.6 |
| PP600−20 | (1) 237.1/(2) 328.8 | (1) 284.6/(2) 407.8 | (1) 310.1/(2) 440.8 |
| PP100k−10 | (1) 248.4/(2) 346.3 | (1) 287.5/(2) 409.3 | (1) 301.9/(2) 432.3 |
| PP100k−20 | (1) 242.5/(2) 364.4 | (1) 285.8/(2) 404.6 | (1) 301.9/(2) 432.3 |
| Film ID | First Heat Cycle | ∆Hm2 (J/g) | Tcc (°C) | Tg (°C) | |||
|---|---|---|---|---|---|---|---|
| Tm I (°C) | Tm II (°C) | Tm III (°C) | ∆Hm1 (J/g) | ||||
| P−0 | 96.5 | 133.1 | 144.1 | 43.4 | 36.4 | 61.6 | 2.0 |
| PG−10 | 98.9 | 131.7 | 142.5 | 46.4 | 35.7 | 54.3 | 1.0 |
| PG−20 | 92.9 | 125.1 | 135.7 | 32.4 | 28.2 | 63.4 | −4.5 |
| PG−50 | 95.0 | 121.9 | 131.2 | 32.0 | 11.8 | 74.8 | −4.6 |
| PI−10 | 95.9 | 130.4 | 140.6 | 39.3 | 31.2 | 46.2 | −12.1 |
| PI−20 | 93.4 | 127.5 | 138.1 | 34.6 | 24.1 | 41.4 | −24.1 |
| PI−50 | 92.5 | 123.9 | 134.8 | 29.0 | 20.6 | 22.8 | – |
| PP200−10 | 96.4 | 130.7 | 140.9 | 37.1 | 38.7 | 59.9 | −12.0 |
| PP200−20 | 93.4 | 125.8 | 136.4 | 33.9 | 39.5 | 46.4 | −26.2 |
| PP400−10 | 94.4 | 130.4 | 142.1 | 32.5 | 29.8 | 50.6 | −16.5 |
| PP400−20 | 93.4 | 126.0 | 137.0 | 28.1 | 30.8 | 41.9 | −24.6 |
| PP600−10 | 93.5 | 129.7 | 140.6 | 30.5 | 36.8 | 58.6 | −18.7 |
| PP600−20 | 93.4 | 127.9 | 139.1 | 33.4 | 37.1 | 49.2 | −28.2 |
| PP100k−10 | 93.4 | 129.3 | 140.4 | 40.8 | 31.1 | – | −9.6 |
| PP100k−20 | 93.4 | 128.6 | 139.8 | 33.5 | 30.7 | – | −0.7 |
| Film ID | Lattice Parameters (Å) | d020 | Crystal Size Scherrer D020 (nm) | Crystallinity (%) | ||
|---|---|---|---|---|---|---|
| a | b | c | ||||
| P−0 | 5.71 | 13.12 | 5.88 | 6.55 | 25.49 | 55.40 |
| PG−10 | 5.70 | 13.11 | 5.87 | 6.55 | 25.46 | 46.25 |
| PG−20 | 5.69 | 13.07 | 5.85 | 6.53 | 26.25 | 39.59 |
| PG−50 | 5.69 | 13.07 | 5.84 | 6.53 | 27.31 | 31.75 |
| PI−10 | 5.69 | 13.07 | 5.86 | 6.53 | 26.41 | 48.14 |
| PI−20 | 5.68 | 13.07 | 5.86 | 6.53 | 27.33 | 45.09 |
| PI−50 | 5.68 | 13.07 | 5.86 | 6.53 | 28.99 | 36.87 |
| PP200−10 | 5.66 | 13.03 | 5.82 | 6.49 | 26.26 | 42.70 |
| PP200−20 | 5.69 | 13.08 | 5.83 | 6.53 | 26.54 | 36.24 |
| PP400−10 | 5.68 | 13.07 | 5.84 | 6.53 | 26.64 | 42.44 |
| PP400−20 | 5.68 | 13.07 | 5.84 | 6.53 | 26.92 | 39.00 |
| PP600−10 | 5.68 | 13.07 | 5.84 | 6.53 | 26.58 | 41.86 |
| PP600−20 | 5.70 | 13.09 | 5.86 | 6.54 | 27.38 | 39.53 |
| PP100k−10 | 5.69 | 13.08 | 5.84 | 6.53 | 25.68 | 44.56 |
| PP100k−20 | 5.68 | 13.08 | 5.83 | 6.53 | 25.76 | 39.10 |
| Film ID | Water Vapor Transmission Rate (g m−2 day−1) | Oxygen Transmission Rate (cm3 m−2 day−1) |
|---|---|---|
| P−0 | 3.23 | 14.75 |
| PG−10 | 9.84 | 44.52 |
| PG−20 | 13.73 | 67.94 |
| PG−50 | 35.97 | 148.30 |
| PI−10 | 6.69 | 12.41 |
| PI−20 | 14.15 | 11.17 |
| PI−50 | 30.05 | 11.27 |
| PP200−10 | 14.97 | 17.17 |
| PP200−20 | 27.82 | 27.36 |
| PP400−10 | 8.90 | 27.67 |
| PP400−20 | 38.71 | 32.01 |
| PP600−10 | 12.71 | 27.66 |
| PP600−20 | 54.67 | 31.375 |
| PP100k−10 | 32.74 | 22.11 |
| PP100k−20 | 36.83 | 25.98 |
Publisher’s Note: MDPI stays neutral with regard to jurisdictional claims in published maps and institutional affiliations. |
© 2022 by the authors. Licensee MDPI, Basel, Switzerland. This article is an open access article distributed under the terms and conditions of the Creative Commons Attribution (CC BY) license (https://creativecommons.org/licenses/by/4.0/).
Share and Cite
Farrag, Y.; Barral, L.; Gualillo, O.; Moncada, D.; Montero, B.; Rico, M.; Bouza, R. Effect of Different Plasticizers on Thermal, Crystalline, and Permeability Properties of Poly(3–hydroxybutyrate–co−3–hydroxyhexanoate) Films. Polymers 2022, 14, 3503. https://doi.org/10.3390/polym14173503
Farrag Y, Barral L, Gualillo O, Moncada D, Montero B, Rico M, Bouza R. Effect of Different Plasticizers on Thermal, Crystalline, and Permeability Properties of Poly(3–hydroxybutyrate–co−3–hydroxyhexanoate) Films. Polymers. 2022; 14(17):3503. https://doi.org/10.3390/polym14173503
Chicago/Turabian StyleFarrag, Yousof, Luis Barral, Oreste Gualillo, Danny Moncada, Belén Montero, Maite Rico, and Rebeca Bouza. 2022. "Effect of Different Plasticizers on Thermal, Crystalline, and Permeability Properties of Poly(3–hydroxybutyrate–co−3–hydroxyhexanoate) Films" Polymers 14, no. 17: 3503. https://doi.org/10.3390/polym14173503
APA StyleFarrag, Y., Barral, L., Gualillo, O., Moncada, D., Montero, B., Rico, M., & Bouza, R. (2022). Effect of Different Plasticizers on Thermal, Crystalline, and Permeability Properties of Poly(3–hydroxybutyrate–co−3–hydroxyhexanoate) Films. Polymers, 14(17), 3503. https://doi.org/10.3390/polym14173503

