GEP Tree-Based Prediction Model for Interfacial Bond Strength of Externally Bonded FRP Laminates on Grooves with Concrete Prism
Abstract
:1. Introduction

2. Methodology
2.1. Experimental Database
2.2. GEP Modelling
2.3. Evaluation Criteria
3. Results and Discussion
3.1. Effect of Genetic Variables
3.2. Performance of the Developed Models
3.2.1. Statistical Evaluation
3.2.2. Comparison of Regression Slopes
3.2.3. Predicted to Experimental Ratio
3.2.4. GEP Formulations
3.3. Sensitivity and Parametric Analysis
4. Conclusions
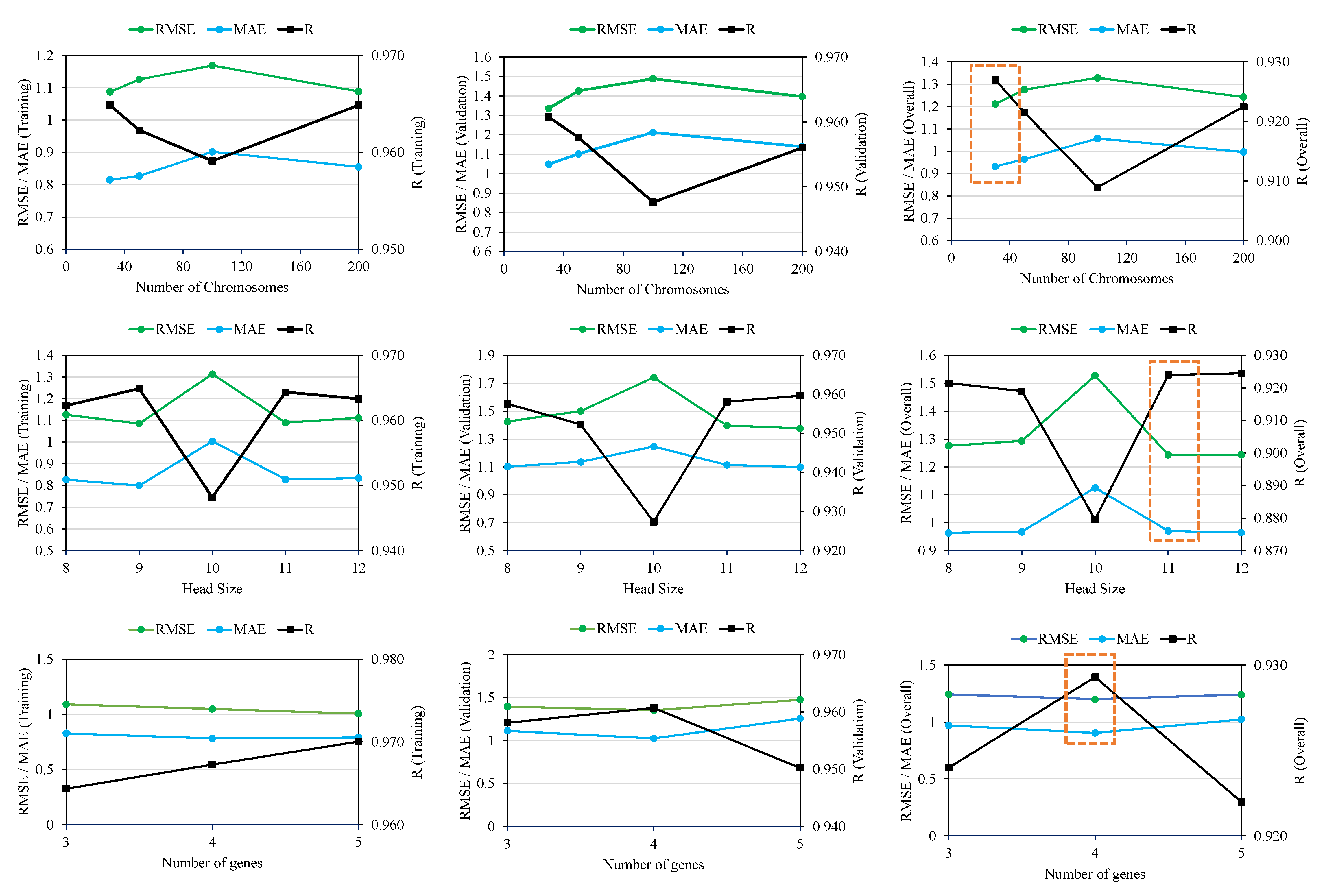
- For obtaining a more robust model, ten different trials were conducted on the basis of changes in number of chromosomes, head size, and number of genes. We noticed that increasing the number of chromosomes from 30 to 200 slightly reduced the performance, whereas an 11 head size and 4 genes yielded the most accurate model (trial 9). This exercise suggests that GEP modelling requires a detailed trial and access method in order to find the optimum genetic parameters.
- The models were evaluated using statistical indices such as R, RMSE, and MAE for both the training and validation data. The statistical indices revealed the values of R, MAE, and RMSE equalled 0.967, 0.782, and 1.049 for training and 0.961, 1.027, and 1.354 for validation, respectively. The slope of a regression line was obtained as 0.97 and 0.96 for training and validation data, respectively. This reflects a strong agreement between the experimental and predicted values. The mathematical equation based on this model has been developed to predict the interfacial bond strength of FRP laminates.
- The sensitivity and parametric analysis showed that the axial stiffness and width of FRP were the most critical parameters in contributing to IBS. Other parameters such as concrete compression strength, width, and depth had no considerable influence in yielding IBS.
Author Contributions
Funding
Institutional Review Board Statement
Informed Consent Statement
Data Availability Statement
Acknowledgments
Conflicts of Interest
References
- Liberati, E.A.; Nogueira, C.G.; Leonel, E.D.; Chateauneuf, A. Nonlinear formulation based on FEM, Mazars damage criterion and Fick’s law applied to failure assessment of reinforced concrete structures subjected to chloride ingress and reinforcements corrosion. Eng. Fail. Anal. 2014, 46, 247–268. [Google Scholar] [CrossRef]
- Siddika, A.; Mamun, M.A.A.; Ferdous, W.; Alyousef, R. Performances, challenges and opportunities in strengthening reinforced concrete structures by using FRPs—A state-of-the-art review. Eng. Fail. Anal. 2020, 111, 104480. [Google Scholar] [CrossRef]
- Yang, J.; Haghani, R.; Blanksvärd, T.; Lundgren, K. Experimental study of FRP-strengthened concrete beams with corroded reinforcement. Constr. Build. Mater. 2021, 301, 124076. [Google Scholar] [CrossRef]
- Panahi, M.; Zareei, S.A.; Izadi, A. Flexural strengthening of reinforced concrete beams through externally bonded FRP sheets and near surface mounted FRP bars. Case Stud. Constr. Mater. 2021, 15, e00601. [Google Scholar] [CrossRef]
- Kotynia, R.; Oller, E.; Marí, A.; Kaszubska, M. Efficiency of shear strengthening of RC beams with externally bonded FRP materials–State-of-the-art in the experimental tests. Compos. Struct. 2021, 267, 113891. [Google Scholar] [CrossRef]
- Abedini, M.; Zhang, C. Dynamic performance of concrete columns retrofitted with FRP using segment pressure technique. Compos. Struct. 2021, 260, 113473. [Google Scholar] [CrossRef]
- Hadi, M.N. Behaviour of FRP strengthened concrete columns under eccentric compression loading. Compos. Struct. 2007, 77, 92–96. [Google Scholar] [CrossRef] [Green Version]
- Tafsirojjaman, T.; Fawzia, S.; Thambiratnam, D.P.; Zhao, X.-L. FRP strengthened SHS beam-column connection under monotonic and large-deformation cyclic loading. Thin-Walled Struct. 2021, 161, 107518. [Google Scholar] [CrossRef]
- Lee, W.-T.; Chiou, Y.-J.; Shih, M. Reinforced concrete beam-column joint strengthened with carbon fiber reinforced polymer. Compos. Struct. 2010, 92, 48–60. [Google Scholar] [CrossRef]
- Wu, Y.-F.; Jiang, C. Quantification of bond-slip relationship for externally bonded FRP-to-concrete joints. J. Compos. Constr. 2013, 17, 673–686. [Google Scholar] [CrossRef]
- Fathelbab, F.A.; Ramadan, M.S.; Al-Tantawy, A. Strengthening of RC bridge slabs using CFRP sheets. Alex. Eng. J. 2014, 53, 843–854. [Google Scholar] [CrossRef] [Green Version]
- Xian, G.; Guo, R.; Li, C. Combined effects of sustained bending loading, water immersion and fiber hybrid mode on the mechanical properties of carbon/glass fiber reinforced polymer composite. Compos. Struct. 2022, 281, 115060. [Google Scholar] [CrossRef]
- Ding, J.; Cheng, L.; Chen, X.; Chen, C.; Liu, K. A review on ultra-high cycle fatigue of CFRP. Compos. Struct. 2021, 256, 113058. [Google Scholar] [CrossRef]
- Guo, R.; Xian, G.; Li, F.; Li, C.; Hong, B. Hygrothermal resistance of pultruded carbon, glass and carbon/glass hybrid fiber reinforced epoxy composites. Constr. Build. Mater. 2022, 315, 125710. [Google Scholar] [CrossRef]
- Zhang, S.S.; Yu, T.; Chen, G. Reinforced concrete beams strengthened in flexure with near-surface mounted (NSM) CFRP strips: Current status and research needs. Compos. Part B Eng. 2017, 131, 30–42. [Google Scholar] [CrossRef] [Green Version]
- Ghorbani, M.; Mostofinejad, D.; Hosseini, A. Experimental investigation into bond behavior of FRP-to-concrete under mixed-mode I/II loading. Constr. Build. Mater. 2017, 132, 303–312. [Google Scholar] [CrossRef]
- Sayed-Ahmed, E.; Bakay, R.; Shrive, N. Bond strength of FRP laminates to concrete: State-of-the-art review. Electron. J. Struct. Eng. 2009, 9, 45–61. [Google Scholar]
- Teng, J.; Chen, J.-F.; Yu, T. FRP-Strengthened RC Structures; John Wiley & Sons Ltd.: Hoboken, NJ, USA, 2002. [Google Scholar]
- Nguyen, D.M.; Chan, T.K.; Cheong, H.K. Brittle failure and bond development length of CFRP-concrete beams. J. Compos. Constr. 2001, 5, 12–17. [Google Scholar] [CrossRef]
- Lu, Z.; Xian, G.; Li, H. Effects of exposure to elevated temperatures and subsequent immersion in water or alkaline solution on the mechanical properties of pultruded BFRP plates. Compos. Part B Eng. 2015, 77, 421–430. [Google Scholar] [CrossRef]
- Bakay, R.C.P. Midspan Shear Debonding of CFRP-Laminated Reinforced Concrete Beams. Master’s Thesis, University of Calgary, Calgary, AB, Canada, 2005. [Google Scholar]
- Smith, S.T.; Teng, J. FRP-strengthened RC beams. I: Review of debonding strength models. Eng. Struct. 2002, 24, 385–395. [Google Scholar] [CrossRef]
- Wan, B.; Jiang, C.; Wu, Y.-F. Effect of defects in externally bonded FRP reinforced concrete. Constr. Build. Mater. 2018, 172, 63–76. [Google Scholar] [CrossRef]
- Chajes, M.J.; Finch, W.W.; Thomson, T.A. Bond and force transfer of composite-material plates bonded to concrete. Struct. J. 1996, 93, 209–217. [Google Scholar]
- Jiang, C.; Wan, B.; Wu, Y.-F.; Omboko, J. Epoxy interlocking: A novel approach to enhance FRP-to-concrete bond behavior. Constr. Build. Mater. 2018, 193, 643–653. [Google Scholar] [CrossRef]
- Mostofinejad, D.; Mahmoudabadi, E. Grooving as alternative method of surface preparation to postpone debonding of FRP laminates in concrete beams. J. Compos. Constr. 2010, 14, 804–811. [Google Scholar] [CrossRef]
- Bencardino, F.; Condello, A.; Ashour, A.F. Single-lap shear bond tests on Steel Reinforced Geopolymeric Matrix-concrete joints. Compos. Part B Eng. 2017, 110, 62–71. [Google Scholar] [CrossRef] [Green Version]
- Mofrad, M.H.; Mostofinejad, D.; Hosseini, A. A generic non-linear bond-slip model for CFRP composites bonded to concrete substrate using EBR and EBROG techniques. Compos. Struct. 2019, 220, 31–44. [Google Scholar] [CrossRef]
- Al-Jaberi, Z.; Myers, J.J.; Chandrashekhara, K. Effect of direct service temperature exposure on the bond behavior between advanced composites and CMU using NSM and EB techniques. Compos. Struct. 2019, 211, 63–75. [Google Scholar] [CrossRef]
- Yuan, H.; Teng, J.; Seracino, R.; Wu, Z.; Yao, J. Full-range behavior of FRP-to-concrete bonded joints. Eng. Struct. 2004, 26, 553–565. [Google Scholar] [CrossRef]
- Karzad, A.S.; Leblouba, M.; Al Toubat, S.; Maalej, M. Repair and strengthening of shear-deficient reinforced concrete beams using Carbon Fiber Reinforced Polymer. Compos. Struct. 2019, 223, 110963. [Google Scholar] [CrossRef]
- Carrara, P.; Ferretti, D. A finite-difference model with mixed interface laws for shear tests of FRP plates bonded to concrete. Compos. Part B Eng. 2013, 54, 329–342. [Google Scholar] [CrossRef]
- Bardhan, A.; Samui, P.; Ghosh, K.; Gandomi, A.H.; Bhattacharyya, S. ELM-based adaptive neuro swarm intelligence techniques for predicting the California bearing ratio of soils in soaked conditions. Appl. Soft Comput. 2021, 110, 107595. [Google Scholar] [CrossRef]
- Khan, M.A.; Shah, M.I.; Javed, M.F.; Khan, M.I.; Rasheed, S.; El-Shorbagy, M.; El-Zahar, E.R.; Malik, M. Application of random forest for modelling of surface water salinity. Ain Shams Eng. J. 2021, 13, 101635. [Google Scholar] [CrossRef]
- Khan, M.A.; Memon, S.A.; Farooq, F.; Javed, M.F.; Aslam, F.; Alyousef, R. Compressive strength of fly-ash-based geopolymer concrete by gene expression programming and random forest. Adv. Civ. Eng. 2021, 2021, 6618407. [Google Scholar] [CrossRef]
- Khan, M.I.; Sutanto, M.H.; Khan, K.; Iqbal, M.; Napiah, M.B.; Zoorob, S.E.; Klemeš, J.J.; Bokhari, A.; Rafiq, W. Effective use of recycled waste PET in cementitious grouts for developing sustainable semi-flexible pavement surfacing using artificial neural network. J. Clean. Prod. 2022, 340, 130840. [Google Scholar] [CrossRef]
- Iqbal, M.; Zhang, D.; Jalal, F.E.; Faisal Javed, M. Computational AI prediction models for residual tensile strength of GFRP bars aged in the alkaline concrete environment. Ocean. Eng. 2021, 232, 109134. [Google Scholar] [CrossRef]
- Iqbal, M.; Zhao, Q.; Zhang, D.; Jalal, F.E.; Jamal, A. Evaluation of tensile strength degradation of GFRP rebars in harsh alkaline conditions using non-linear genetic-based models. Mater. Struct. 2021, 54, 190. [Google Scholar] [CrossRef]
- Jalal, F.E.; Xu, Y.; Iqbal, M.; Jamhiri, B.; Javed, M.F. Predicting the compaction characteristics of expansive soils using two genetic programming-based algorithms. Transp. Geotech. 2021, 30, 100608. [Google Scholar] [CrossRef]
- Vu, D.-T.; Hoang, N.-D. Punching shear capacity estimation of FRP-reinforced concrete slabs using a hybrid machine learning approach. Struct. Infrastruct. Eng. 2016, 12, 1153–1161. [Google Scholar] [CrossRef]
- Hoang, N.-D. Estimating punching shear capacity of steel fibre reinforced concrete slabs using sequential piecewise multiple linear regression and artificial neural network. Measurement 2019, 137, 58–70. [Google Scholar] [CrossRef]
- Abuodeh, O.R.; Abdalla, J.A.; Hawileh, R.A. Prediction of shear strength and behavior of RC beams strengthened with externally bonded FRP sheets using machine learning techniques. Compos. Struct. 2020, 234, 111698. [Google Scholar] [CrossRef]
- Su, M.; Zhong, Q.; Peng, H.; Li, S. Selected machine learning approaches for predicting the interfacial bond strength between FRPs and concrete. Constr. Build. Mater. 2021, 270, 121456. [Google Scholar] [CrossRef]
- Kaloop, M.R.; Samui, P.; Iqbal, M.; Hu, J.W. Soft computing approaches towards tensile strength estimation of GFRP rebars subjected to alkaline-concrete environment. Case Stud. Constr. Mater. 2022, 16, e00955. [Google Scholar] [CrossRef]
- Azimi-Pour, M.; Eskandari-Naddaf, H. ANN and GEP prediction for simultaneous effect of nano and micro silica on the compressive and flexural strength of cement mortar. Constr. Build. Mater. 2018, 189, 978–992. [Google Scholar] [CrossRef]
- Faradonbeh, R.S.; Hasanipanah, M.; Amnieh, H.B.; Armaghani, D.J.; Monjezi, M. Development of GP and GEP models to estimate an environmental issue induced by blasting operation. Environ. Monit. Assess. 2018, 190, 351. [Google Scholar] [CrossRef] [PubMed]
- Moghaddas, A.; Mostofinejad, D. Empirical FRP-concrete bond strength model for externally bonded reinforcement on grooves. J. Compos. Constr. 2019, 23, 04018080. [Google Scholar] [CrossRef]
- Bardhan, A.; Gokceoglu, C.; Burman, A.; Samui, P.; Asteris, P.G. Efficient computational techniques for predicting the California bearing ratio of soil in soaked conditions. Eng. Geol. 2021, 291, 106239. [Google Scholar] [CrossRef]
- Bardhan, A.; Biswas, R.; Kardani, N.; Iqbal, M.; Samui, P.; Singh, M.P.; Asteris, P.G. A novel integrated approach of augmented grey wolf optimizer and ANN for estimating axial load carrying-capacity of concrete-filled steel tube columns. Constr. Build. Mater. 2022, 337, 127454. [Google Scholar] [CrossRef]
- Amin, M.N.; Iqbal, M.; Khan, K.; Qadir, M.G.; Shalabi, F.I.; Jamal, A. Ensemble Tree-Based Approach towards Flexural Strength Prediction of FRP Reinforced Concrete Beams. Polymers 2022, 14, 1303. [Google Scholar] [CrossRef] [PubMed]
- Jalal, F.E.; Xu, Y.; Iqbal, M.; Javed, M.F.; Jamhiri, B. Predictive modeling of swell-strength of expansive soils using artificial intelligence approaches: ANN, ANFIS and GEP. J. Environ. Manag. 2021, 289, 112420. [Google Scholar] [CrossRef]
- Khan, K.; Jalal, F.E.; Iqbal, M.; Khan, M.I.; Amin, M.N.; Al-Faiad, M.A. Predictive Modeling of Compression Strength of Waste PET/SCM Blended Cementitious Grout Using Gene Expression Programming. Materials 2022, 15, 3077. [Google Scholar] [CrossRef]
- Feng, D.-C.; Wang, W.-J.; Mangalathu, S.; Taciroglu, E. Interpretable XGBoost-SHAP Machine-Learning Model for Shear Strength Prediction of Squat RC Walls. J. Struct. Eng. 2021, 147, 04021173. [Google Scholar] [CrossRef]
- Azim, I.; Yang, J.; Javed, M.F.; Iqbal, M.F.; Mahmood, Z.; Wang, F.; Liu, Q.-F. Prediction model for compressive arch action capacity of RC frame structures under column removal scenario using gene expression programming. Structures 2020, 25, 212–228. [Google Scholar] [CrossRef]
- Shah, M.I.; Javed, M.F.; Abunama, T. Proposed formulation of surface water quality and modelling using gene expression, machine learning, and regression techniques. Environ. Sci. Pollut. Res. 2020, 28, 13202–13220. [Google Scholar] [CrossRef] [PubMed]
- Hanandeh, S.; Ardah, A.; Abu-Farsakh, M. Using artificial neural network and genetics algorithm to estimate the resilient modulus for stabilized subgrade and propose new empirical formula. Transp. Geotech. 2020, 24, 100358. [Google Scholar] [CrossRef]
- Iqbal, M.F.; Liu, Q.; Azim, I.; Zhu, X.; Yang, J.; Javed, M.F.; Rauf, M. Prediction of mechanical properties of green concrete incorporating waste foundry sand based on gene expression programming. J. Hazard. Mater. 2020, 384, 121322. [Google Scholar] [CrossRef]










| Descriptive Statistic | Input Variables | Target Variable | ||||
|---|---|---|---|---|---|---|
| Elastic Modulus of FRP × Thickness of FRP, Eftf | Width of FRP Plate, bf | Concrete Compressive Strength, fc’ | Width of Groove, bg | Depth of Groove, hg | Ultimate Capacity, P | |
| Unit | GPa-mm | mm | MPa | mm | mm | kN |
| Mean | 40.33 | 46.10 | 33.72 | 7.94 | 10.33 | 12.05 |
| Standard Error | 2.18 | 1.01 | 0.73 | 0.21 | 0.30 | 0.37 |
| Median | 39.10 | 50.00 | 32.70 | 10.00 | 10.00 | 11.11 |
| Mode | 78.20 | 60.00 | 26.70 | 10.00 | 10.00 | 9.87 |
| Standard Deviation | 25.41 | 11.81 | 8.49 | 2.47 | 3.45 | 4.32 |
| Sample Variance | 645.42 | 139.52 | 72.15 | 6.10 | 11.93 | 18.65 |
| Kurtosis | −1.23 | −1.49 | −1.11 | −1.90 | −0.88 | 0.30 |
| Skewness | 0.58 | −0.13 | 0.49 | −0.36 | −0.09 | 0.80 |
| Range | 65.30 | 30.00 | 25.50 | 5.00 | 10.00 | 20.73 |
| Minimum | 12.90 | 30.00 | 22.70 | 5.00 | 5.00 | 4.76 |
| Maximum | 78.20 | 60.00 | 48.20 | 10.00 | 15.00 | 25.49 |
| Sum | 5484.80 | 6270.00 | 4585.40 | 1080.00 | 1405.00 | 1638.72 |
| Count | 136.00 | 136.00 | 136.00 | 136.00 | 136.00 | 136.00 |
| Confidence Level (95.0%) | 4.31 | 2.00 | 1.44 | 0.42 | 0.59 | 0.73 |
| Trial No. | Used Variables | No. of Chromosomes | Head Size | Number of Genes | Constants per Gene | No. of Literals | Program Size | Training Dataset | Validation Dataset | ||||||||
|---|---|---|---|---|---|---|---|---|---|---|---|---|---|---|---|---|---|
| Best Fitness | RMSE | MAE | R2 | R | Best Fitness | RMSE | MAE | R2 | R | ||||||||
| 1 | 4 | 30 | 8 | 3 | 10 | 12 | 40 | 478.96 | 1.087 | 0.815 | 0.931 | 0.965 | 427.920 | 1.336 | 1.049 | 0.923 | 0.961 |
| 2 | 4 | 50 | 8 | 3 | 10 | 9 | 39 | 470.33 | 1.126 | 0.827 | 0.926 | 0.962 | 412.230 | 1.426 | 1.102 | 0.917 | 0.958 |
| 3 | 3 | 100 | 8 | 3 | 10 | 16 | 43 | 460.85 | 1.169 | 0.902 | 0.920 | 0.959 | 401.750 | 1.489 | 1.213 | 0.898 | 0.948 |
| 4 | 4 | 200 | 8 | 3 | 10 | 13 | 39 | 478.65 | 1.089 | 0.855 | 0.931 | 0.965 | 417.150 | 1.397 | 1.139 | 0.914 | 0.956 |
| 5 | 4 | 50 | 9 | 3 | 10 | 13 | 42 | 479.17 | 1.086 | 0.800 | 0.931 | 0.965 | 399.420 | 1.500 | 1.136 | 0.907 | 0.952 |
| 6 | 4 | 50 | 10 | 3 | 10 | 13 | 43 | 432.1 | 1.314 | 1.004 | 0.899 | 0.948 | 364.750 | 1.742 | 1.246 | 0.860 | 0.927 |
| 7 | 4 | 50 | 11 | 3 | 10 | 15 | 48 | 478.32 | 1.090 | 0.828 | 0.930 | 0.964 | 417.180 | 1.397 | 1.114 | 0.918 | 0.958 |
| 8 | 4 | 50 | 12 | 3 | 10 | 16 | 54 | 473.45 | 1.112 | 0.834 | 0.928 | 0.963 | 420.810 | 1.376 | 1.098 | 0.921 | 0.960 |
| 9 | 5 | 50 | 11 | 4 | 10 | 18 | 74 | 488.08 | 1.049 | 0.782 | 0.936 | 0.967 | 424.740 | 1.354 | 1.027 | 0.923 | 0.961 |
| 10 | 5 | 50 | 11 | 5 | 10 | 27 | 92 | 498.05 | 1.007 | 0.791 | 0.941 | 0.970 | 403.840 | 1.476 | 1.257 | 0.903 | 0.950 |
| Training Data | Validation Data | ||||
|---|---|---|---|---|---|
| Bin | Frequency | Cumulative % | Bin | Frequency | Cumulative % |
| 0.7 | 0 | 0.00% | 0.7 | 0 | 0.00% |
| 0.8 | 0 | 0.00% | 0.8 | 0 | 0.00% |
| 0.9 | 11 | 11.58% | 0.9 | 7 | 17.07% |
| 1 | 35 | 48.42% | 1 | 16 | 56.10% |
| 1.1 | 39 | 89.47% | 1.1 | 14 | 90.24% |
| 1.2 | 9 | 98.95% | 1.2 | 3 | 97.56% |
| 1.3 | 1 | 100.00% | 1.3 | 1 | 100.00% |
| More | 0 | 100.00% | More | 0 | 100.00% |
Publisher’s Note: MDPI stays neutral with regard to jurisdictional claims in published maps and institutional affiliations. |
© 2022 by the authors. Licensee MDPI, Basel, Switzerland. This article is an open access article distributed under the terms and conditions of the Creative Commons Attribution (CC BY) license (https://creativecommons.org/licenses/by/4.0/).
Share and Cite
Amin, M.N.; Iqbal, M.; Jamal, A.; Ullah, S.; Khan, K.; Abu-Arab, A.M.; Al-Ahmad, Q.M.S.; Khan, S. GEP Tree-Based Prediction Model for Interfacial Bond Strength of Externally Bonded FRP Laminates on Grooves with Concrete Prism. Polymers 2022, 14, 2016. https://doi.org/10.3390/polym14102016
Amin MN, Iqbal M, Jamal A, Ullah S, Khan K, Abu-Arab AM, Al-Ahmad QMS, Khan S. GEP Tree-Based Prediction Model for Interfacial Bond Strength of Externally Bonded FRP Laminates on Grooves with Concrete Prism. Polymers. 2022; 14(10):2016. https://doi.org/10.3390/polym14102016
Chicago/Turabian StyleAmin, Muhammad Nasir, Mudassir Iqbal, Arshad Jamal, Shahid Ullah, Kaffayatullah Khan, Abdullah M. Abu-Arab, Qasem M. S. Al-Ahmad, and Sikandar Khan. 2022. "GEP Tree-Based Prediction Model for Interfacial Bond Strength of Externally Bonded FRP Laminates on Grooves with Concrete Prism" Polymers 14, no. 10: 2016. https://doi.org/10.3390/polym14102016
APA StyleAmin, M. N., Iqbal, M., Jamal, A., Ullah, S., Khan, K., Abu-Arab, A. M., Al-Ahmad, Q. M. S., & Khan, S. (2022). GEP Tree-Based Prediction Model for Interfacial Bond Strength of Externally Bonded FRP Laminates on Grooves with Concrete Prism. Polymers, 14(10), 2016. https://doi.org/10.3390/polym14102016

