The Effect of Microcellular Structure on the Dynamic Mechanical Thermal Properties of High-Performance Nanocomposite Foams Made of Graphene Nanoplatelets-Filled Polysulfone
Abstract
1. Introduction
2. Materials and Methods
2.1. Materials
2.2. Foaming Methods
2.3. Testing Procedure
3. Results and Discussion
3.1. Cellular Structure
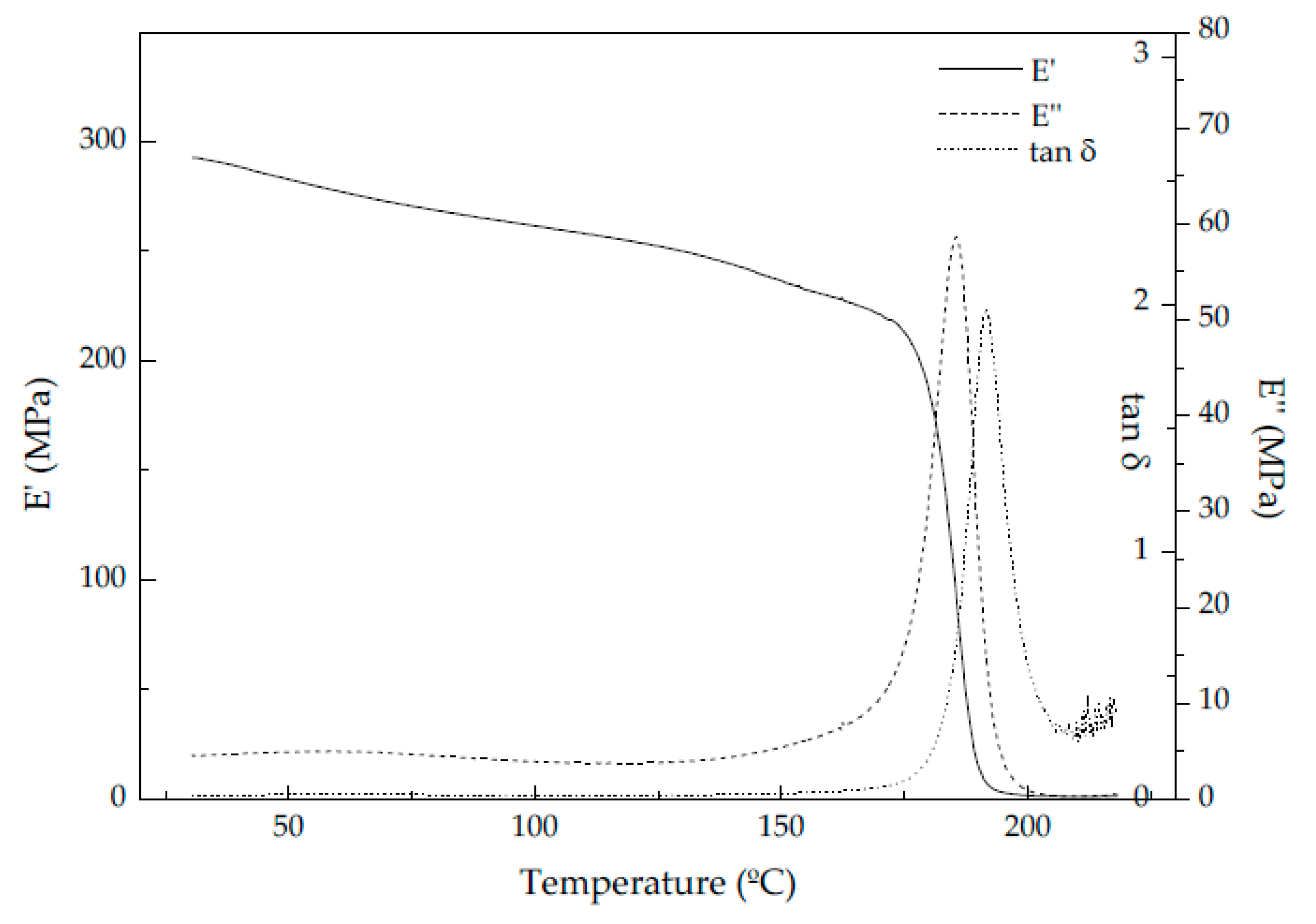
3.2. Viscoelastic Behavior
4. Conclusions
Author Contributions
Funding
Institutional Review Board Statement
Informed Consent Statement
Data Availability Statement
Conflicts of Interest
References
- McKeen, L.W. 12-High Temperature/High Performance Polymers. In Plastics Design Library; McKeen, L.W.B.T.-F.P.P.E., Third, E., Eds.; William Andrew Publishing: Boston, MA, USA, 2012; pp. 315–337. [Google Scholar]
- Gohil, S.V.; Suhail, S.; Rose, J.; Vella, T.; Nair, L.S. Polymers and composites for orthopedic applications. In Materials for Bone Disorders; Elsevier: Amsterdam, The Netherlands, 2017; pp. 349–403. [Google Scholar]
- Kyriacos, D. High-Temperature Engineering Thermoplastics. In Brydson’s Plastics Materials; Elsevier: Amsterdam, The Netherlands, 2017; pp. 545–615. [Google Scholar]
- El-Hibri, M.J.; Axelrad, S.W. Polyarylethersulfones. In Engineering Plastics Handbook; Margolis, J.M., Ed.; McGraw-Hill: Montreal, QC, Canada, 2006; p. 555. [Google Scholar]
- Krause, B.; Diekmann, K.; van der Vegt, N.F.A.; Wessling, M. Open Nanoporous Morphologies from Polymeric Blends by Carbon Dioxide Foaming. Macromolecules 2002, 35, 1738–1745. [Google Scholar] [CrossRef]
- Li, Z.; Jia, Y.; Bai, S. Polysulfone foam with high expansion ratio prepared by supercritical carbon dioxide assisted molding foaming method. RSC Adv. 2018, 8, 2880–2886. [Google Scholar] [CrossRef]
- Guo, H.; Nicolae, A.; Kumar, V. Solid-state microcellular and nanocellular polysulfone foams. J. Polym. Sci. Part B Polym. Phys. 2015, 53, 975–985. [Google Scholar] [CrossRef]
- Sun, H.; Mark, J.E. Preparation, characterization, and mechanical properties of some microcellular polysulfone foams. J. Appl. Polym. Sci. 2002, 86, 1692–1701. [Google Scholar] [CrossRef]
- Krause, B.; Boerrigter, M.E.; van der Vegt, N.F.A.; Strathmann, H.; Wessling, M. Novel open-cellular polysulfone morphologies produced with trace concentrations of solvents as pore opener. J. Memb. Sci. 2001, 187, 181–192. [Google Scholar] [CrossRef]
- Hu, D.D.; Gu, Y.; Liu, T.; Zhao, L. Microcellular Foaming of Polysulfones in Supercritical CO2 and the Effect of Co-blowing Agent. J. Super. Fluids 2018, 140, 21–31. [Google Scholar] [CrossRef]
- Huang, Q.; Klötzer, R.; Seibig, B.; Paul, D. Extrusion of microcellular polysulfone using chemical blowing agents. J. Appl. Polym. Sci. 1998, 69, 1753–1760. [Google Scholar] [CrossRef]
- Lau, W.W.Y.; Guiver, M.D.; Matsuura, T. Phase separation in polysulfone/solvent/water and polyethersulfone/solvent/water systems. J. Membr. Sci. 1991, 59, 219–227. [Google Scholar]
- Wu, H.; Tang, B.; Wu, P. Development of novel SiO2–GO nanohybrid/polysulfone membrane with enhanced performance. J. Memb. Sci. 2014, 451, 94–102. [Google Scholar] [CrossRef]
- Chakrabarty, B.; Ghoshal, A.K.; Purkait, M.K. Ultrafiltration of stable oil-in-water emulsion by polysulfone membrane. J. Memb. Sci. 2008, 325, 427–437. [Google Scholar] [CrossRef]
- Anadão, P.; Sato, L.F.; Wiebeck, H.; Valenzuela-Díaz, F.R. Montmorillonite as a component of polysulfone nanocomposite membranes. Appl. Clay Sci. 2010, 48, 127–132. [Google Scholar] [CrossRef]
- Devrim, Y.; Erkan, S.; Baç, N.; Eroğlu, I. Preparation and characterization of sulfonated polysulfone/titanium dioxide composite membranes for proton exchange membrane fuel cells. Int. J. Hydrog. Energy 2009, 34, 3467–3475. [Google Scholar] [CrossRef]
- Liang, H.Q.; Li, H.-N.; Yu, H.-H.; Zhou, Y.-T.; Xu, Z.-K. Polysulfone membranes via thermally induced phase separation. Chin. J. Polym. Sci. 2017, 35, 846–856. [Google Scholar] [CrossRef]
- Sanders, D.F.; Smith, Z.P.; Guo, R.; Robeson, L.M.; McGrath, J.E.; Paul, D.R.; Freeman, B.D. Energy-Efficient Polymeric Gas Separation Membranes for a Sustainable Future: A Review. Polymer 2013, 54, 4729–4761. [Google Scholar] [CrossRef]
- Corrado, T.; Huang, Z.; Aboki, J.; Guo, R. Microporous Polysulfones with Enhanced Separation Performance via Integration of the Triptycene Moiety. Ind. Eng. Chem. Res. 2020, 59, 5351–5361. [Google Scholar]
- Ahmad, A.L.; Adewole, J.K.; Leo, C.P.; Sultan, A.S.; Ismail, S. Preparation and Gas Transport Properties of Dual-Layer Polysulfone Membranes for High Pressure CO2 Removal from Natural Gas. J. Appl. Polym. Sci. 2014, 40924. [Google Scholar] [CrossRef]
- Liu, M.; Wei, Y.-M.; Xu, Z.-L.; Guo, R.-Q.; Zhao, L.-B. Preparation and Characterization of Polyethersulfone Microporous Membrane via Thermally Induced Phase Separation with Low Critical Solution Temperature System. J. Mem. Sci. 2013, 437, 169–178. [Google Scholar] [CrossRef]
- Alvi, M.A.; Khalid, M.W.; Ahmad, N.M.; Niazi, M.B.; Anwar, M.N.; Batool, M.; Cheema, W.; Rafiq, S. Polymer Concentration and Solvent Variation Correlation with the Morphology and Water Filtration Analysis of Polyether Sulfone Microfiltration Membrane. Adv. Polym. Technol. 2019, 2019, 8074626. [Google Scholar]
- Swain, S.S.; Unnikrishnan, L.; Mohanty, S.; Nayak, S.K. Synergistic Influence of Anisotropic 3D Carbon Nanotube-Graphene Hybrid Mixed Matrix Membranes on Stability and Gas Permeation Characteristics. J. Taiwan Inst. Chem. Eng. 2019, 105, 150–165. [Google Scholar] [CrossRef]
- Lawal, A.T. Graphene-based nano composites and their applications: A review. Biosen. Bioelectron. 2019, 141, 111384. [Google Scholar] [CrossRef]
- Antunes, M.; Realinho, V.; Velasco, J.I. Foaming behaviour, structure, and properties of polypropylene nanocomposites foams. J. Nanomater. 2010, 2010, 4. [Google Scholar]
- Kumar, A.; Sharma, K.; Dixit, A.R. Carbon nanotube- and graphene-reinforced multiphase polymeric composites: Review on their properties and applications. J. Mater. Sci. 2020, 55, 2682–2724. [Google Scholar] [CrossRef]
- Papageorgiou, D.G.; Li, Z.; Liu, M.; Kinloch, I.A.; Young, R.J. Mechanisms of mechanical reinforcement by graphene and carbon nanotubes in polymer nanocomposites. Nanoscale 2020, 12, 2228–2267. [Google Scholar] [CrossRef] [PubMed]
- King, J.A.; Tucker, K.W.; Vogt, B.D.; Weber, E.H.; Quan, C. Electrically and thermally conductive nylon 6, 6. Polym. Compos. 1999, 20, 643–654. [Google Scholar] [CrossRef]
- Verdejo, R.; Barroso-Bujans, F.; Rodriguez-Perez, M.A.; De Saja, J.A.; Lopez-Manchado, M.A. Functionalized graphene sheet filled silicone foam nanocomposites. J. Mater. Chem. 2008, 18, 2221–2226. [Google Scholar]
- Antunes, M.; Velasco, J.I. Multifunctional polymer foams with carbon nanoparticles. Prog. Polym. Sci. 2014, 39, 486–509. [Google Scholar] [CrossRef]
- Kamal, N.; Kochkodan, V.; Zekri, A.; Ahzi, S. Polysulfone Membranes Embedded with Halloysites Nanotubes: Preparation and Properties. Materials 2020, 10, 2. [Google Scholar] [CrossRef]
- Naz, A.; Sattar, R.; Siddiq, M. Polymer membranes for biofouling mitigation: A review. Polym.-Plast. Technol. Mater. 2019, 58, 1829–1854. [Google Scholar] [CrossRef]
- Hu, M.; Pei, H.; Ma, X.; Yan, F.; Dlamini, D.S.; Cui, Z.; He, B.; Li, J.; Matsuyama, H. Improved water permeability and structural stability in a polysulfone-grafted graphene oxide composite membrane used for dye separation. J. Membr. Sci. 2020, 595, 117547. [Google Scholar]
- Swain, S.S.; Unnikrishnan, L.; Mohanty, S.; Nayak, S.K. Gas permeation and selectivity characteristics of PSf based nanocomposite membranes. Polymer 2019, 180, 121692. [Google Scholar] [CrossRef]
- Abbasi, H.; Antunes, M.; Velasco, J.I.I. Graphene nanoplatelets-reinforced polyetherimide foams prepared by water vapor-induced phase separation. eXPRESS Polym. Lett. 2015, 9, 412–423. [Google Scholar] [CrossRef]
- Abbasi, H.; Antunes, M.; Velasco, J.I.I. Enhancing the electrical conductivity of polyetherimide-based foams by simultaneously increasing the porosity and graphene nanoplatelets dispersion. Polym. Compos. 2018, 40, E1416–E1425. [Google Scholar] [CrossRef]
- Abbasi, H.; Antunes, M.; Velasco, J.I. Polyetherimide foams filled with low content of graphene nanoplatelets prepared by scCO2 dissolution. Polymers 2019, 11, 328. [Google Scholar] [CrossRef] [PubMed]
- Abbasi, H.; Antunes, M.; Velasco, J.I. Effects of Carbon Nanotubes/Graphene Nanoplatelets Hybrid Systems on the Structure and Properties of Polyetherimide-Based Foams. Polymers 2018, 10, 348. [Google Scholar] [CrossRef]
- Liang, C.Z.; Chung, T.-S.; Lai, J.-Y. A review of polymeric composite membranes for gas separation and energy production. Prog. Polym. Sci. 2019, 97, 101141. [Google Scholar] [CrossRef]
- Abbasi, H.; Antunes, M.; Velasco, J.I. Effects of graphene nanoplatelets and cellular structure on the thermal conductivity of polysulfone nanocomposite foams. Polymers 2020, 12, 25. [Google Scholar] [CrossRef]
- Sims, G.L.A.; Khunniteekool, C. Cell-size measurement of polymeric foams. Cell. Polym. 1994, 13, 137–146. [Google Scholar]
- Krause, B.; Mettinkhof, R.; van der Vegt, N.F.A.; Wessling, M. Microcellular foaming of amorphous high-Tg polymers using carbon dioxide. Macromolecules 2001, 34, 874. [Google Scholar] [CrossRef]
- Tang, M.; Huang, Y.-C.; Chen, Y.-P. Sorption and diffusion of supercritical carbon dioxide into polysulfone. J. Appl. Polym. Sci. 2004, 94, 474. [Google Scholar] [CrossRef]
- Scholes, C.A.; Chen, G.Q.; Stevens, G.W.; Kentish, S.E. Plasticization of ultra-thin polysulfone membranes by carbon dioxide. J. Membr. Sci. 2010, 346, 208. [Google Scholar] [CrossRef]
- Lock, S.S.M.; Lau, K.K.; Mei, I.L.S.; Shariff, A.M.; Yeong, Y.F.; Bustam, A.M. Molecular simulation and mathematical modelling of glass transition temperature depression induced by CO2 plasticization in polysulfone membranes. IOP Conf. Ser. Mater. Sci. Eng. 2017, 226, 012172. [Google Scholar] [CrossRef]
- Gibson, L.J.; Ashby, M.F. Cellular Solids: Structure and Properties, 2nd ed.; Cambridge University Press: Cambridge, UK, 1999; ISBN 978-0521495608. [Google Scholar]









| Foam Series | Relative Density | GnP Content (wt%) | Vg 1 | VPSU 2 | VGnP 3 | ϕ (μm) | N0 (cells/cm3) |
|---|---|---|---|---|---|---|---|
| 15 PSU | 0.24 | 0.0 | 0.759 | 0.241 | 0.000 | 29.7 ± 1.5 | 1.9 × 108 |
| 0.28 | 1.0 | 0.719 | 0.280 | 0.002 | 55.5 ± 1.7 | 3.3 × 107 | |
| 0.30 | 2.0 | 0.705 | 0.292 | 0.003 | 56.7 ± 1.7 | 3.2 × 107 | |
| 0.32 | 5.0 | 0.683 | 0.308 | 0.009 | 50.1 ± 1.5 | 5.1 × 107 | |
| 0.39 | 10.0 | 0.615 | 0.362 | 0.023 | Open cell | – | |
| 25 PSU | 0.35 | 0.0 | 0.649 | 0.351 | 0.000 | 19.9 ± 1.0 | 5.2 × 108 |
| 0.32 | 1.0 | 0.677 | 0.321 | 0.002 | 21.2 ± 1.1 | 3.7 × 108 | |
| 0.41 | 2.0 | 0.595 | 0.401 | 0.005 | 33.9 ± 1.4 | 1.0 × 108 | |
| 0.42 | 5.0 | 0.580 | 0.408 | 0.012 | Open cell | – | |
| 0.45 | 10.0 | 0.547 | 0.426 | 0.027 | Open cell | – | |
| PSU scCO2 | 0.36 | 0.0 | 0.643 | 0.357 | 0.000 | 19.1 ± 0.6 | 2.1 × 108 |
| 0.35 | 0.1 | 0.655 | 0.345 | 0.000 | 17.3 ± 0.7 | 2.5 × 108 | |
| 0.37 | 0.4 | 0.632 | 0.367 | 0.001 | 13.9 ± 0.6 | 3.4 × 108 | |
| 0.38 | 0.7 | 0.620 | 0.378 | 0.002 | 15.1 ± 0.6 | 2.7 × 108 | |
| 0.41 | 1.0 | 0.590 | 0.407 | 0.002 | 13.1 ± 0.5 | 4.1 × 108 | |
| 0.46 | 1.5 | 0.539 | 0.457 | 0.004 | 13.8 ± 0.5 | 3.7 × 108 | |
| 0.45 | 2.0 | 0.552 | 0.443 | 0.005 | 14.9 ± 0.6 | 2.1 × 108 |
| Foam Series | GnP Content (wt%) | Relative Density | E′ (MPa) 1 | E′sp (MPa·cm3/g) 2 | Tg (°C) 3 | |
|---|---|---|---|---|---|---|
| E″ | tan δ | |||||
| 15 PSU | 0.0 | 0.24 | 176.5 | 621.5 | 186.4 | 192.0 |
| 1.0 | 0.28 | 262.1 | 809.0 | 186.1 | 191.7 | |
| 2.0 | 0.30 | 292.6 | 833.6 | 185.6 | 191.7 | |
| 5.0 | 0.32 | 408.7 | 973.1 | 185.4 | 191.3 | |
| 10.0 | 0.39 | 522.6 | 923.3 | 184.9 | 189.8 | |
| 25 PSU | 0.0 | 0.35 | 497.4 | 1017.2 | 186.4 | 192.0 |
| 1.0 | 0.32 | 389.7 | 869.9 | 181.1 | 187.4 | |
| 2.0 | 0.41 | 446.6 | 907.7 | 181.3 | 186.9 | |
| 5.0 | 0.42 | 501.3 | 909.8 | 183.4 | 188.3 | |
| 10.0 | 0.45 | 780.1 | 1268.5 | 181.2 | 188.2 | |
| PSU scCO2 | 0.0 | 0.36 | 389.7 | 860.3 | 179.4 | 183.8 |
| 0.1 | 0.35 | 436.3 | 987.1 | 178.6 | 181.9 | |
| 0.4 | 0.37 | 499.1 | 1039.8 | 178.8 | 181.2 | |
| 0.7 | 0.38 | 443.3 | 957.5 | 179.7 | 182.5 | |
| 1.0 | 0.41 | 523.7 | 1088.8 | 179.2 | 182.2 | |
| 1.5 | 0.46 | 630.2 | 1150.0 | 179.1 | 183.6 | |
| 2.0 | 0.45 | 600.7 | 1046.5 | 179.8 | 184.0 | |
Publisher’s Note: MDPI stays neutral with regard to jurisdictional claims in published maps and institutional affiliations. |
© 2021 by the authors. Licensee MDPI, Basel, Switzerland. This article is an open access article distributed under the terms and conditions of the Creative Commons Attribution (CC BY) license (http://creativecommons.org/licenses/by/4.0/).
Share and Cite
Antunes, M.; Abbasi, H.; Velasco, J.I. The Effect of Microcellular Structure on the Dynamic Mechanical Thermal Properties of High-Performance Nanocomposite Foams Made of Graphene Nanoplatelets-Filled Polysulfone. Polymers 2021, 13, 437. https://doi.org/10.3390/polym13030437
Antunes M, Abbasi H, Velasco JI. The Effect of Microcellular Structure on the Dynamic Mechanical Thermal Properties of High-Performance Nanocomposite Foams Made of Graphene Nanoplatelets-Filled Polysulfone. Polymers. 2021; 13(3):437. https://doi.org/10.3390/polym13030437
Chicago/Turabian StyleAntunes, Marcelo, Hooman Abbasi, and José Ignacio Velasco. 2021. "The Effect of Microcellular Structure on the Dynamic Mechanical Thermal Properties of High-Performance Nanocomposite Foams Made of Graphene Nanoplatelets-Filled Polysulfone" Polymers 13, no. 3: 437. https://doi.org/10.3390/polym13030437
APA StyleAntunes, M., Abbasi, H., & Velasco, J. I. (2021). The Effect of Microcellular Structure on the Dynamic Mechanical Thermal Properties of High-Performance Nanocomposite Foams Made of Graphene Nanoplatelets-Filled Polysulfone. Polymers, 13(3), 437. https://doi.org/10.3390/polym13030437
