Tunable WGM Laser Based on the Polymer Thermo-Optic Effect
Abstract
1. Introduction
2. Fabrication of the Device
3. Experiment Results and Discussion
3.1. WGM Lasing Properties
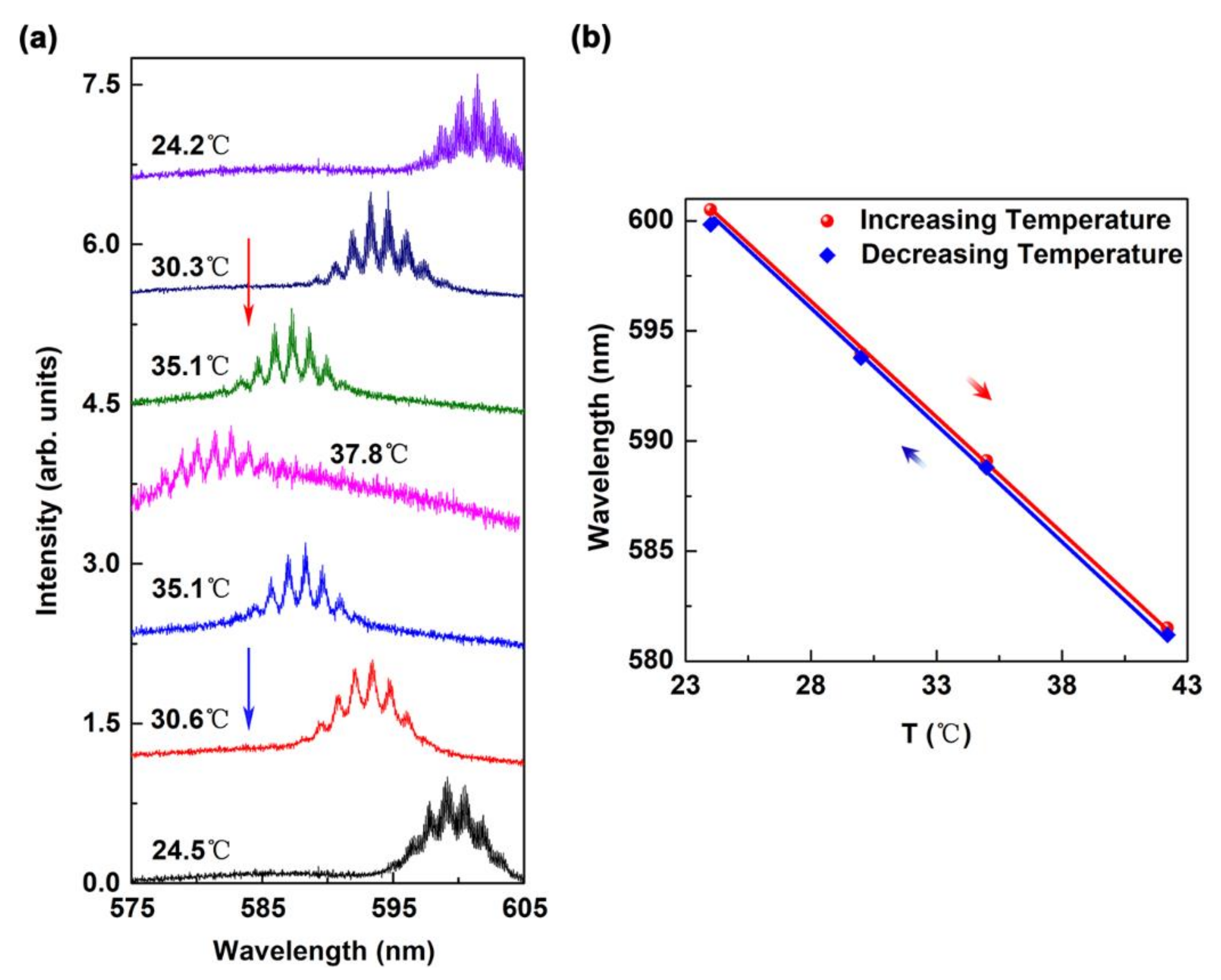
3.2. Continuously Tunable Characteristics
3.3. Discussion
4. Conclusions
Author Contributions
Funding
Informed Consent Statement
Conflicts of Interest
References
- Dai, H.; Yin, C.; Xiao, Z.; Cao, Z.; Chen, X. White beam lasing from a hybrid microcavity with slab-capillary mode coupling. Phys. Rev. Appl. 2019, 11, 064055. [Google Scholar] [CrossRef]
- Xu, J.; Ma, L.; Guo, P.; Zhuang, X.; Zhu, X.; Hu, W.; Duan, X.; Pan, A. Room-temperature dual-wavelength lasing from single-nanoribbon lateral heterostructures. J. Am. Chem. Soc. 2012, 134, 12394–12397. [Google Scholar] [CrossRef] [PubMed]
- Strauf, Z.S.; Hennessy, K.; Rakher, M.T.; Choi, Y.S.; Badolato, A.; Andreani, L.C.; Hu, E.L.; Petroff, P.M.; Bouwmeester, D. Self-tuned quantum dot gain in photonic crystal lasers. Phys. Rev. Lett. 2006, 96, 127404. [Google Scholar] [CrossRef] [PubMed]
- Fu, Y.; Zhai, T. Distributed feedback organic lasing in photonic crystals. Front. Optoelectron. 2020, 13, 18. [Google Scholar] [CrossRef]
- Kim, J.H.; Inoue, M.; Zhao, L.; Komino, T.; Seo, S.; Ribierre, J.C.; Adachi, C. Tunable and flexible solvent-free liquid organic distributed feedback lasers. Appl. Phys. Lett. 2015, 106, 053302. [Google Scholar] [CrossRef]
- Hayat, A.; Tong, J.; Chen, C.; Niu, L.; Aziz, G.; Zhai, T.; Zhang, X. Multi-wavelength colloidal quantum dots lasers. Sci. China Inf. Sci. 2020, 63, 182401. [Google Scholar] [CrossRef]
- Zhai, T.; Zhang, X.; Pang, Z. Polymer laser based on active waveguide grating structures. Opt. Express 2011, 19, 6487. [Google Scholar] [CrossRef]
- Vasdekis, A.; Tsiminis, G.; Ribierre, J.C.; O’Faolain, L.; Krauss, T.; Turnbull, G.; Samuel, I. Diode pumped distributed Bragg reflector lasers based on a dye-to-polymer energy transfer blend. Opt. Express 2006, 14, 9211–9216. [Google Scholar] [CrossRef]
- Jette-Charbonneau, S.; Berini, P. External cavity laser using a long-range surface plasmon grating as a distributed Bragg reflector. Appl. Phys. Lett. 2007, 91, 824. [Google Scholar] [CrossRef]
- Zhao, J.; Yan, Y.; Gao, Z.; Du, Y.; Dong, H.; Yao, J.; Zhao, Y.S. Full-color laser displays based on organic printed microlaser arrays. Nat. Commun. 2019, 10, 870. [Google Scholar] [CrossRef]
- Ta, V.D.; Yang, S.; Wang, Y.; Gao, Y.; He, T.; Chen, R.; Demir, H.V.; Sun, H. Multicolor lasing prints. Appl. Phys. Lett. 2015, 107, 221103. [Google Scholar] [CrossRef]
- Wu, Y.; Leung, P.T. Lasing threshold for whispering-gallery-mode microsphere lasers. Phys. Rev. A 1999, 60, 630. [Google Scholar] [CrossRef]
- Du, Y.; Zou, C.L.; Zhang, C.; Wang, K.; Qiao, C.; Yao, J.; Zhao, Y.S. Tuneable red, green, and blue single-mode lasing in heterogeneously coupled organic spherical microcavities. Light Sci. Appl. 2020, 9, 151. [Google Scholar] [CrossRef] [PubMed]
- Price, M.B.; Lewellen, K.; Hardy, J.; Lockwood, S.M.; Zemke-Smith, C.; Wagner, I.; Gao, M.; Grand, J.; Chen, K.; Hodgkiss, J.M.; et al. Whispering-gallery mode lasing in perovskite nanocrystals chemically bound to silicon dioxide microspheres. J. Phys. Chem. Lett. 2020, 11, 7009–7014. [Google Scholar] [CrossRef] [PubMed]
- Yang, S.; Wang, Y.; Sun, H. Advances and prospects for whispering gallery mode microcavities. Adv. Opt. Mater. 2015, 3, 1136–1162. [Google Scholar] [CrossRef]
- Huang, Y.; Ma, X.; Yang, Y.; Xiao, J.; Du, Y. Hybrid-cavity semiconductor lasers with a whispering-gallery cavity for controlling Q factor. Sci. China Inf. Sci. 2018, 61, 080401. [Google Scholar] [CrossRef]
- Zhou, Z.; Zhao, J.; Du, Y.; Wang, K.; Liang, J.; Yan, Y.; Zhao, Y.S. Organic printed core–shell heterostructure arrays: A universal approach to all-color laser display panels. Angew. Chem. Int. Ed. 2020, 59, 11814–11818. [Google Scholar] [CrossRef]
- Zhu, J.; Ozdemir, S.K.; Xiao, Y.; Li, L.; He, L.; Chen, D.; Yang, L. On-chip single nanoparticle detection and sizing by mode splitting in an ultrahigh-Q microresonator. Nat. Photonics 2010, 4, 46–49. [Google Scholar] [CrossRef]
- Armani, D.K.; Kippenberg, T.J.; Spillane, S.M.; Vahala, K.J. Ultra-high-Q toroid microcavity on a chip. Nature 2003, 421, 925–928. [Google Scholar] [CrossRef]
- Gargas, D.J.; Moore, M.C.; Ni, A.; Chang, S.; Zhang, Z.; Chuang, S.; Yang, P. Whispering gallery mode lasing from zinc oxide hexagonal nanodisks. ACS Nano 2010, 4, 3270–3276. [Google Scholar] [CrossRef]
- He, L.; Ozdemir, S.K.; Yang, L. Whispering gallery microcavity lasers. Laser Photonics Rev. 2013, 7, 60–82. [Google Scholar] [CrossRef]
- Xu, Z.; Tong, J.; Shi, X.; Deng, J.; Zhai, T. Tailing whispering gallery mode lasing and random lasing in a compound cavity. Polymers 2020, 12, 656. [Google Scholar] [CrossRef] [PubMed]
- Hodaei, H.; Miri, M.; Heinrich, M.; Christodoulides, D.N.; Khajavikhan, M. Parity-time–symmetric microring lasers. Science 2014, 346, 975–978. [Google Scholar] [CrossRef] [PubMed]
- Li, C.; Liu, Z.; Chen, J.; Gao, Y.; Li, M.; Zhang, Q. Semiconductor nanowire plasmonic lasers. Nanophotonics 2019, 8, 2091–2110. [Google Scholar] [CrossRef]
- Gu, F.; Xie, F.; Lin, X.; Linghu, S.; Fang, W.; Zeng, H.; Tong, L.; Zhuang, S. Single whispering-gallery mode lasing in polymer bottle microresonators via spatial pump engineering. Light Sci. Appl. 2017, 6, e17061. [Google Scholar] [CrossRef]
- Cai, S.; Han, Z.; Wang, F.; Zheng, K.; Cao, Y.; Ma, Y.; Feng, X. Review on flexible photonics/electronics integrated devices and fabrication strategy. Sci. China Inf. Sci. 2018, 61, 060410. [Google Scholar] [CrossRef]
- Peter, J.; Vallabhan, C.P.G.; Radhakrishnan, P.; Nampoori, V.P.N.; Kailasnath, M. Microring lasing from a dye-doped polymer-coated silica fiber. Laser Phys. 2013, 23, 115104. [Google Scholar] [CrossRef]
- Shi, X.; Tong, J.; Liu, D.; Zhou, J.; Wang, Z. Chromaticity-tunable white random lasing based on a microfluidic channel. Opt. Express 2020, 28, 13576–13585. [Google Scholar] [CrossRef]
- Zhao, X.; Wang, Y.; Liao, C.; Peng, G.; Gong, Y.; Wang, Y. Polymer-coated hollow fiber optofluidic laser for refractive index sensing. J. Lightwave Technol. 2020, 38, 1550–1556. [Google Scholar] [CrossRef]
- Ch´enais, S.; Forget, S. Recent advances in solid-state organic lasers. Polym. Int. 2012, 61, 390–406. [Google Scholar] [CrossRef]
- Samuel, I.; Turnbull, G. Organic semiconductor lasers. Chem. Rev. 2007, 107, 1272. [Google Scholar] [CrossRef] [PubMed]
- Tessler, N.; Denton, G.J.; Friend, R.H. Lasing from conjugated-polymer microcavities. Nature 1996, 382, 695–697. [Google Scholar] [CrossRef]
- Zhai, T.; Wang, Y.; Chen, L.; Wu, X.; Li, S.; Zhang, X. Red-green-blue laser emission from cascaded polymer membranes. Nanoscale 2015, 7, 19935. [Google Scholar] [CrossRef] [PubMed]
- Kim, S.M.; Park, T.H.; Huang, G.; Oh, M.C. Optical waveguide tunable phase delay lines based on the superior thermo-optic effect of polymer. Polymers 2018, 10, 497. [Google Scholar] [CrossRef]
- Frolov, S.V.; Vardeny, Z.V.; Yoshino, K. Plastic microring lasers on fibers and wires. Appl. Phys. Lett. 1998, 72, 1802. [Google Scholar] [CrossRef]
- Linslal, C.L.; Sebastian, S.; Mathew, S.; Radhakrishnan, P.; Nampoori, V.P.N.; Girijavallabhan, C.P.; Kailasnath, M. Microring embedded hollow polymer fiber laser. Appl. Phys. Lett. 2015, 106, 131101. [Google Scholar] [CrossRef]
- Kim, S.; Cha, D.; Pei, Q.; Geary, K. Polymer optical waveguide switch using thermo-optic total-internal-reflection and strain-effect. IEEE Photon. Tech. Lett. 2010, 22, 197. [Google Scholar] [CrossRef]
- Gosciniak, J.; Bozhevolnyi, S.I.; Andersen, T.B.; Volkov, V.S.; Dereux, A. Thermo-optic control of dielectric-loaded plasmonic waveguide components. Opt. Express 2010, 18, 1207. [Google Scholar] [CrossRef]
- Zhao, L.; Wang, Y.; Yuan, Y.; Liu, Y.; Liu, S.; Sun, W.; Yang, J.; Li, H. Whispering gallery mode laser based on cholesteric liquid crystal microdroplets as temperature sensor. Opt. Commun. 2017, 402, 181–185. [Google Scholar] [CrossRef]
- Dong, C.H.; He, L.; Xiao, Y.F.; Gaddam, V.R.; Ozdemir, S.K.; Han, Z.F.; Guo, G.C.; Yang, L. Fabrication of high-Q polydimethylsiloxane optical microspheres for thermal sensing. Appl. Phys. Lett. 2009, 94, 231119. [Google Scholar]
- Maznev, A.A.; Hohlfeld, J.; Güdde, J. Surface thermal expansion of metal under femtosecond laser irradiation. Appl. Phys. Lett. 1997, 82, 5082–5085. [Google Scholar] [CrossRef]
- Genscha, T.; Viappiani, C. Time-resolved photothermal methods: Accessing time-resolved thermodynamics of photoinduced processes in chemistry and biology. Photochem. Photobiol. Sci. 2003, 2, 699–721. [Google Scholar] [CrossRef] [PubMed]
- Wan, L.; Chandrahalim, H.; Chen, C.; Chen, Q.; Mei, T.; Oki, Y.; Nishimura, N.; Guo, L.J.; Fan, X. On-chip, high-sensitivity temperature sensors based on dye-doped solid-state polymer microring lasers. Appl. Phys. Lett. 2017, 111, 061109. [Google Scholar] [CrossRef]





| 24 °C | 30 °C | 35 °C | 42.2 °C | δλ (nm) | |
|---|---|---|---|---|---|
| 1 | 600.5 | 593.5 | 589 | 582.5 | 18 |
| 2 | 600.2 | 593 | 588.4 | 581.7 | 18.5 |
| 3 | 601.2 | 593.5 | 589.9 | 582.2 | 19 |
| 4 | 600 | 593 | 589.3 | 581.8 | 18.2 |
| 5 | 599 | 592.5 | 589 | 581.5 | 17.5 |
| (nm) | 600.18 | 593.1 | 589.12 | 581.94 | 18.24 |
| σ | 0.80 | 0.41 | 0.54 | 0.40 | 0.56 |
Publisher’s Note: MDPI stays neutral with regard to jurisdictional claims in published maps and institutional affiliations. |
© 2021 by the authors. Licensee MDPI, Basel, Switzerland. This article is an open access article distributed under the terms and conditions of the Creative Commons Attribution (CC BY) license (http://creativecommons.org/licenses/by/4.0/).
Share and Cite
Zhang, S.; Zhai, T.; Cui, L.; Shi, X.; Ge, K.; Liang, N.; Hayat, A. Tunable WGM Laser Based on the Polymer Thermo-Optic Effect. Polymers 2021, 13, 205. https://doi.org/10.3390/polym13020205
Zhang S, Zhai T, Cui L, Shi X, Ge K, Liang N, Hayat A. Tunable WGM Laser Based on the Polymer Thermo-Optic Effect. Polymers. 2021; 13(2):205. https://doi.org/10.3390/polym13020205
Chicago/Turabian StyleZhang, Shuai, Tianrui Zhai, Libin Cui, Xiaoyu Shi, Kun Ge, Ningning Liang, and Anwer Hayat. 2021. "Tunable WGM Laser Based on the Polymer Thermo-Optic Effect" Polymers 13, no. 2: 205. https://doi.org/10.3390/polym13020205
APA StyleZhang, S., Zhai, T., Cui, L., Shi, X., Ge, K., Liang, N., & Hayat, A. (2021). Tunable WGM Laser Based on the Polymer Thermo-Optic Effect. Polymers, 13(2), 205. https://doi.org/10.3390/polym13020205

