A Review on Synthesis, Structural, Flame Retardancy and Dielectric Properties of Hexasubstituted Cyclotriphosphazene
Abstract
1. Introduction
2. Synthesis of Hexasubstituted Cyclotriphosphazene and Flame Retardant Properties
3. Effect of Linking Unit in Flame Retardancy Properties of Cyclotriphosphazene
4. Dielectric Properties in Cyclotriphosphazene
5. Flame Retardant and Dielectric Properties of Cyclotriphosphazene
6. Conclusions
Author Contributions
Funding
Institutional Review Board Statement
Informed Consent Statement
Data Availability Statement
Acknowledgments
Conflicts of Interest
References
- Barberá, J.; Jiménez, J.; Laguna, A.; Oriol, L.; Pérez, S.; Serrano, J.L. Cyclotriphosphazene as a dendritic core for the preparation of columnar supermolecular liquid crystals. Chem. Mater. 2006, 18, 5437–5445. [Google Scholar] [CrossRef]
- Khurana, J.M.; Chauhan, S.; Bansal, G. Facile hydrolysis of esters with KOH-Methanol at ambient temperature. Monatshefte Chem. 2004, 135, 83–87. [Google Scholar] [CrossRef]
- Jamain, Z.; Khairuddean, M.; Saidin, S.A. Synthesis and characterization of 1,4-phenylenediamine derivatives containing hydroxyl and cyclotriphosphazene as terminal group. J. Mol. Struct. 2019, 1186, 293–302. [Google Scholar] [CrossRef]
- Koran, K.; Tekin, Ç.; Biryan, F.; Tekin, S.; Sandal, S.; Görgülü, A.O. Synthesis, structural and thermal characterizations, die-lectric properties and in vitro cytotoxic activities of new 2,2,4,4-tetra(4′-oxy-substituted-chalcone)-6,6-diphenyl cyclotri-phosphazene derivatives. Med. Chem. Res. 2017, 26, 962–974. [Google Scholar] [CrossRef]
- Moriya, K.; Suzuki, T.; Yano, S.; Kajiwara, M. Liquid crystalline phase transitions in cyclotriphosphazenes with different mesogenic moieties in the side chains. Liq. Cryst. 1995, 19, 711–713. [Google Scholar] [CrossRef]
- Allcock, H.R. The crucial role of inorganic ring chemistry in the development of new polymers. Phosphorus Sulfur Silicon Relat. Elem. 2004, 179, 661–671. [Google Scholar] [CrossRef]
- Bose, S.; Mukherjee, M.; Das, C.K.; Saxena, A.K. Effect of polyphosphazene elastomer on the compatibility and properties of PES/TLCP composites. Polym. Compos. 2009, 31, 543–552. [Google Scholar] [CrossRef]
- Chaubal, M.V.; Gupta, A.S.; Lopina, S.T.; Bruley, D.F. Polyphosphates and other phosphorus-containing polymers for drug delivery applications. Crit. Rev. Ther. Drug Carr. Syst. 2003, 20, 295–315. [Google Scholar] [CrossRef] [PubMed]
- Allcock, H. Phosphorus-Nitrogen Compounds: Cyclic, Linear, and High Polymeric Systems; Elsevier: Saint Louis, MO, USA, 2012. [Google Scholar]
- Allcock, H.R.; Steely, L.B.; Singh, A. Hydrophobic and superhydrophobic surfaces from polyphosphazenes. Polym. Int. 2006, 55, 621–625. [Google Scholar] [CrossRef]
- Allcock, H.R.; Wood, R.M. Design and synthesis of ion-conductive polyphosphazenes for fuel cell applications: Review. J. Polym. Sci. Part B Polym. Phys. 2006, 44, 2358–2368. [Google Scholar] [CrossRef]
- Gunatillake, P.; Mayadunne, R.; Adhikari, R. Recent developments in biodegradable synthetic polymers. Biotechnol. Annu. Rev. 2006, 12, 301–347. [Google Scholar] [CrossRef] [PubMed]
- Honarkar, H.; Rahimi, A. Applications of Inorganic Polymeric Materials, III: Polyphosphazenes. Monatshefte Chemie Chem. Mon. 2007, 138, 923–933. [Google Scholar] [CrossRef]
- Wycisk, R.; Pintauro, P.N. Polyphosphazene membranes for fuel cells. Adv. Polym. Sci. 2008, 157–183. [Google Scholar] [CrossRef]
- Doğan, S.; Tümay, S.O.; Balci, C.M.; Yeşilot, S.; Beşli, S. Synthesis of new cyclotriphosphazene derivatives bearing Schiff bases and their thermal and absorbance properties. Turk. J. Chem. 2020, 44, 31–47. [Google Scholar] [CrossRef] [PubMed]
- Zhao, B.; Liang, W.-J.; Wang, J.-S.; Li, F.; Liu, Y.-Q. Synthesis of a novel bridged-cyclotriphosphazene flame retardant and its application in epoxy resin. Polym. Degrad. Stab. 2016, 133, 162–173. [Google Scholar] [CrossRef]
- Levchik, G.F.; Grigoriev, Y.V.; Balabanovich, A.I.; Levchik, S.V.; Klatt, M. Phosphorus–nitrogen containing fire retardants for poly(butylene terephthalate). Polym. Int. 2000, 49, 1095–1100. [Google Scholar] [CrossRef]
- Fontenot, K.R.; Nguyen, M.M.; Al-Abdul-Wahid, M.S.; Easson, M.W.; Chang, S.; Lorigan, G.A.; Condon, B.D. The thermal degradation pathway studies of a phosphazene derivative on cotton fabric. Polym. Degrad. Stab. 2015, 120, 32–41. [Google Scholar] [CrossRef]
- Mao, Z.; Li, J.; Pan, F.; Zeng, X.; Zhang, L.; Zhong, Y.; Sui, X.; Xu, H. High-temperature auto-cross-linking cyclotriphosphaznene: Synthesis and application in flame retardance and antidripping poly(ethylene terephthalate). Ind. Eng. Chem. Res. 2015, 54, 3788–3799. [Google Scholar] [CrossRef]
- Yang, R.; Hu, W.; Xu, L.; Song, Y.; Li, J. Synthesis, mechanical properties and fire behaviors of rigid polyurethane foam with a reactive flame retardant containing phosphazene and phosphate. Polym. Degrad. Stab. 2015, 122, 102–109. [Google Scholar] [CrossRef]
- Allcock, H.R. New approaches to hybrid polymers that contain phosphazene rings. J. Inorg. Organomet. Polym. Mater. 2007, 17, 349–359. [Google Scholar] [CrossRef]
- Kumar, D.; Fohlen, G.M.; Parker, J.A. High-strength fire- and heat-resistant imide resins containing cyclotriphosphazene and hexafluoroisopropylidene groups. J. Polym. Sci. Polym. Chem. Ed. 1984, 22, 927–943. [Google Scholar] [CrossRef]
- El Gouri, M.; El Bachiri, A.; Hegazi, S.E.; Rafik, M.; Elharfi, A. Thermal degradation of a reactive flame retardant based on cyclotriphosphazene and its blend with DGEBA epoxy resin. Polym. Degrad. Stab. 2009, 94, 2101–2106. [Google Scholar] [CrossRef]
- El Gouri, M.; El Bachiri, A.; Hegazi, S.E.; Ziraoui, R.; Rafik, M.; El Harfi, A. A phosphazene compound multipurpose application -Composite material precursor and reactive flame retardant for epoxy resin materials. J. Mater. Environ. Sci. 2011, 2, 319–334. [Google Scholar]
- Jiang, P.; Gu, X.; Zhang, S.; Wu, S.; Zhao, Q.; Hu, Z. Synthesis, characterization, and utilization of a novel phosphorus/nitrogen-containing flame retardant. Ind. Eng. Chem. Res. 2015, 54, 2974–2982. [Google Scholar] [CrossRef]
- Allen, C.W. The use of phosphazenes as fire resistant materials. J. Fire Sci. 1993, 11, 320–328. [Google Scholar] [CrossRef]
- Jiang, J.; Wang, Y.; Luo, Z.; Qi, T.; Qiao, Y.; Zou, M.; Wang, B. Design and application of highly efficient flame retardants for polycarbonate combining the advantages of cyclotriphosphazene and silicone oil. Polymers 2019, 11, 1155. [Google Scholar] [CrossRef] [PubMed]
- Liu, Q.; Wang, D.; Li, Z.; Li, Z.; Peng, X.; Liu, C.; Zhang, Y.; Zheng, P. Recent developments in the flame-retardant system of epoxy resin. Materials 2020, 13, 2145. [Google Scholar] [CrossRef] [PubMed]
- Ehsani, M.; Borsi, H.; Gockenbach, E.; Morshedian, J.; Bakhshandeh, G. An investigation of dynamic mechanical, thermal, and electrical properties of housing materials for outdoor polymeric insulators. Eur. Polym. J. 2004, 40, 2495–2503. [Google Scholar] [CrossRef]
- Liu, Y.L.; Chiu, Y.C.; Chen, T.Y. Phosphorus-containing polyaryloxydiphenylsilanes with high flame retardance arising from a phosphorus-silicon synergic effect. Polym. Int. 2003, 52, 1256–1261. [Google Scholar] [CrossRef]
- Huang, G.; Huo, S.; Xu, X.; Chen, W.; Jin, Y.; Li, R.; Song, P.; Wang, H. Realizing simultaneous improvements in mechanical strength, flame retardancy and smoke suppression of ABS nanocomposites from multifunctional graphene. Compos. Part B Eng. 2019, 177, 107377. [Google Scholar] [CrossRef]
- Mu, X.; Wang, D.; Pan, Y.; Cai, W.; Song, L.; Hu, Y. A facile approach to prepare phosphorus and nitrogen containing mac-romolecular covalent organic nanosheets for enhancing flame retardancy and mechanical property of epoxy resin. Compos. Part B Eng. 2019, 164, 390–399. [Google Scholar] [CrossRef]
- Zhou, X.; Qiu, S.; Mu, X.; Zhou, M.; Cai, W.; Song, L.; Xing, W.; Hu, Y. Polyphosphazenes-based flame retardants: A review. Compos. Part B Eng. 2020, 202, 108397. [Google Scholar] [CrossRef]
- Shin, Y.J.; Shin, M.J.; Shin, J.S. Flame retardant properties of cyclotriphosphazene derivatives for ABS. Polym. Polym. Compos. 2018, 26, 309–314. [Google Scholar] [CrossRef]
- Zhang, X.; Zhong, Y.; Mao, Z.-P. The flame retardancy and thermal stability properties of poly (ethylene terephthalate)/hexakis (4-nitrophenoxy) cyclotriphosphazene systems. Polym. Degrad. Stab. 2012, 97, 1504–1510. [Google Scholar] [CrossRef]
- Chen, S.; Su, M.; Lan, J.W.; Zheng, Q.K. Preparation and Properties of halogen-free flame retardant blending modification polyester. Adv. Mater. Res. 2012, 463–464, 515–518. [Google Scholar] [CrossRef]
- Kuan, J.-F.; Lin, K.-F. Synthesis of hexa-allylamino-cyclotriphosphazene as a reactive fire retardant for unsaturated polyesters. J. Appl. Polym. Sci. 2003, 91, 697–702. [Google Scholar] [CrossRef]
- Yang, S.; Wang, J.; Huo, S.; Wang, J.; Tang, Y. Synthesis of a phosphorus/nitrogen-containing compound based on maleimide and cyclotriphosphazene and its flame-retardant mechanism on epoxy resin. Polym. Degrad. Stab. 2016, 126, 9–16. [Google Scholar] [CrossRef]
- Xu, M.-J.; Xu, G.-R.; Leng, Y.; Li, B. Synthesis of a novel flame retardant based on cyclotriphosphazene and DOPO groups and its application in epoxy resins. Polym. Degrad. Stab. 2016, 123, 105–114. [Google Scholar] [CrossRef]
- Zhang, S.; Li, Y.; Guo, J.; Gu, L.; Li, H.; Fei, B.; Sun, J.; Gu, X. Preparation of hexakis (4-aldehyde phenoxy) cyclotriphosphazene grafted kaolinite and its synergistic fire resistance in poly (butylene succinate). Polym. Compos. 2019, 41, 1024–1035. [Google Scholar] [CrossRef]
- Yang, R.; Wang, B.; Han, X.; Ma, B.; Li, J. Synthesis and characterization of flame retardant rigid polyurethane foam based on a reactive flame retardant containing phosphazene and cyclophosphonate. Polym. Degrad. Stab. 2017, 144, 62–69. [Google Scholar] [CrossRef]
- Shin, Y.J.; Ham, Y.R.; Kim, S.H.; Lee, D.H.; Kim, S.B.; Park, C.S.; Yoo, Y.M.; Kim, J.G.; Kwon, S.H.; Shin, J.S. Application of cyclophosphazene derivatives as flame retardants for ABS. J. Ind. Eng. Chem. 2010, 16, 364–367. [Google Scholar] [CrossRef]
- Qian, L.-J.; Ye, L.-J.; Xu, G.-Z.; Liu, J.; Guo, J.-Q. The non-halogen flame retardant epoxy resin based on a novel compound with phosphaphenanthrene and cyclotriphosphazene double functional groups. Polym. Degrad. Stab. 2011, 96, 1118–1124. [Google Scholar] [CrossRef]
- Lan, Y.; Li, D.; Yang, R.; Liang, W.; Zhou, L.; Chen, Z. Computer simulation study on the compatibility of cyclotriphosphazene containing aminopropylsilicone functional group in flame retarded polypropylene/ammonium polyphosphate composites. Compos. Sci. Technol. 2013, 88, 9–15. [Google Scholar] [CrossRef]
- Zhang, X.; Akram, R.; Zhang, S.; Ma, H.; Wu, Z.; Wu, D. Hexa(eugenol)cyclotriphosphazene modified bismaleimide resins with unique thermal stability and flame retardancy. React. Funct. Polym. 2017, 113, 77–84. [Google Scholar] [CrossRef]
- Cheng, J.; Wang, J.; Yang, S.; Zhang, Q.; Hu, Y.; Ding, G.; Huo, S. Aminobenzothiazole-substituted cyclotriphosphazene de-rivative as reactive flame retardant for epoxy resin. React. Funct. Polym. 2020, 146, 104412. [Google Scholar] [CrossRef]
- Zarybnicka, L.; Machotova, J.; Kopecka, R.; Sevcik, R.; Hudakova, M.; Pokorny, J.; Sal, J. Effect of Cyclotriphosphazene-Based Curing Agents on the Flame Resistance of Epoxy Resins. Polymers 2020, 13, 8. [Google Scholar] [CrossRef]
- Li, J.; Pan, F.; Zeng, X.; Xu, H.; Zhang, L.; Zhong, Y.; Sui, X.; Mao, Z. The flame-retardant properties and mechanisms of poly(ethylene terephthalate)/hexakis (para-allyloxyphenoxy) cyclotriphosphazene systems. J. Appl. Polym. Sci. 2015, 132, 42711. [Google Scholar] [CrossRef]
- Cheng, J.; Wang, J.; Yang, S.; Zhang, Q.; Huo, S.; Zhang, Q.; Hu, Y.; Ding, G. Benzimidazolyl-substituted cyclotriphosphazene derivative as latent flame-retardant curing agent for one-component epoxy resin system with excellent comprehensive performance. Compos. Part B Eng. 2019, 177, 107440. [Google Scholar] [CrossRef]
- Lv, M.; Yao, C.; Yang, D.; Zeng, H. Synthesis of a melamine-cyclotriphosphazene derivative and its application as flame retardant on cotton gauze. J. Appl. Polym. Sci. 2016, 133. [Google Scholar] [CrossRef]
- Zhou, L.; Zhang, G.; Li, J.; Jing, Z.; Qin, J.; Feng, Y. The flame retardancy and thermal stability properties of flame-retarded epoxy resins based on α-hydroxyphosphonate cyclotriphosphazene. J. Therm. Anal. Calorim. 2017, 129, 1667–1678. [Google Scholar] [CrossRef]
- Ai, L.; Chen, S.; Zeng, J.; Liu, P.; Liu, W.; Pan, Y.; Liu, D. Synthesis and flame retardant properties of cyclophosphazene de-rivatives containing boron. Polym. Degrad. Stab. 2018, 155, 250–261. [Google Scholar] [CrossRef]
- Fang, Y.; Zhou, X.; Xing, Z.; Wu, Y. An effective flame retardant for poly(ethylene terephthalate) synthesized by phosphaphenanthrene and cyclotriphosphazene. J. Appl. Polym. Sci. 2017, 134, 45246. [Google Scholar] [CrossRef]
- Zhang, X.; Zhang, L.; Wu, Q.; Mao, Z. The influence of synergistic effects of hexakis (4-nitrophenoxy) cyclotriphosphazene and POE-g-MA on anti-dripping and flame retardancy of PET. J. Ind. Eng. Chem. 2012, 19, 993–999. [Google Scholar] [CrossRef]
- Zhou, L.; Zhang, G.; Feng, Y.; Zhang, H.; Li, J.; Shi, X. Design of a self-healing and flame-retardant cyclotriphosphazene-based epoxy vitrimer. J. Mater. Sci. 2018, 53, 7030–7047. [Google Scholar] [CrossRef]
- Dutkiewicz, M.; Przybylak, M.; Januszewski, R.; Maciejewski, H. Synthesis and flame retardant efficacy of hex-akis(3-(triethoxysilyl)propyloxy)cyclotriphosphazene/silica coatings for cotton fabrics. Polym. Degrad. Stab. 2018, 148, 10–18. [Google Scholar] [CrossRef]
- Devaraju, S.; Selvi, M.; Alagar, M. Synthesis and characterization of thermally stable and flame retardant hexakis(4-aminophenoxy)cyclotriphosphazene-based polyimide matrices. Int. J. Polym. Anal. Charact. 2018, 23, 29–37. [Google Scholar] [CrossRef]
- Zhou, L.; Zhang, G.; Yang, S.; Yang, L.; Cao, J.; Yang, K. The synthesis, curing kinetics, thermal properties and flame rertardancy of cyclotriphosphazene-containing multifunctional epoxy resin. Thermochim. Acta 2019, 680, 178348. [Google Scholar] [CrossRef]
- MJ, X.; Ma, K.; DW, J.; JX, Z.; Zhao, M.; XK, G.; Shao, Q.; Wujcik, E.; Li, B.; ZH, G. Hexa-[4-(glycidyloxycarbonyl) phe-noxy]cyclotriphosphazene chain extender for preparing high-performance flame retardant polyamide 6 composites. Polymer 2018, 146, 63–72. [Google Scholar]
- Qi, J.; Wen, Q.; Zhu, J. Synergistic effect of intumescent flame retardant system consisting of hexophenoxy cyclotriphosphazene and ammonium polyphosphate on methyl ethyl silicone rubber. Mater. Lett. 2019, 249, 62–65. [Google Scholar] [CrossRef]
- Guo, Y.; Qiu, J.-J.; Tang, H.-Q.; Liu, C.-M. High transmittance and environment-friendly flame-resistant optical resins based on poly(methyl methacrylate) and cyclotriphosphazene derivatives. J. Appl. Polym. Sci. 2011, 121, 727–734. [Google Scholar] [CrossRef]
- Xu, J.; He, Z.; Wu, W.; Ma, H.; Xie, J.; Qu, H.; Jiao, Y. Study of thermal properties of flame retardant epoxy resin treated with hexakis[p-(hydroxymethyl)phenoxy]cyclotriphosphazene. J. Therm. Anal. Calorim. 2013, 114, 1341–1350. [Google Scholar] [CrossRef]
- Wang, J.; Su, X.; Mao, Z. The flame retardancy and thermal property of poly (ethylene terephthalate)/cyclotriphosphazene modified by montmorillonite system. Polym. Degrad. Stab. 2014, 109, 154–161. [Google Scholar] [CrossRef]
- Xu, M.-J.; Liu, C.; Ma, K.; Leng, Y.; Li, B. Effect of surface chemical modification for aluminum hypophosphite with hexa-(4-aldehyde-phenoxy)-cyclotriphosphazene on the fire retardancy, water resistance, and thermal properties for polyamide 6. Polym. Adv. Technol. 2017, 28, 1382–1395. [Google Scholar] [CrossRef]
- Yang, Y.; Kong, W.; Wang, Y.; Cai, X. Synthesis of tris(phenoxy)trifluorocyclotriphosphazenes and study of its effects on the flammable, thermal, optical, and mechanical properties of bisphenol-A polycarbonate. J. Therm. Anal. Calorim. 2015, 122, 805–816. [Google Scholar] [CrossRef]
- Li, J.; Yan, X.; Zeng, X.; Yi, L.; Xu, H.; Mao, Z. Effect of trisilanolphenyl-POSS on rheological, mechanical, and flame-retardant properties of poly(ethylene terephthalate)/cyclotriphosphazene systems. J. Appl. Polym. Sci. 2018, 135, 45912. [Google Scholar] [CrossRef]
- Liu, F.; Wei, H.; Huang, X.; Zhang, J.; Zhou, Y.; Tang, X. Preparation and Properties of Novel Inherent Flame-Retardant Cyclotriphosphazene-Containing Epoxy Resins. J. Macromol. Sci. Part B 2010, 49, 1002–1011. [Google Scholar] [CrossRef]
- Parra, M.; Alderete, J.B.; Zuńñiga, C.; Gallardo, H.; Hidalgo, P.; Vergara, J.; Ndez, S.H. Azo compounds and Schiff ’s bases derived from 5-(4-pyridyl)-2-amino-1,3,4-thiadiazole: Synthesis, mesomorphic properties and structural study by semi-empirical calculations. Liq. Cryst. 2001, 28, 1659–1666. [Google Scholar] [CrossRef]
- Jamain, Z.; Omar, N.F.; Khairuddean, M. Synthesis and Determination of Thermotropic Liquid Crystalline Behavior of Cinnamaldehyde-Based Molecules with Two Schiff Base Linking Units. Molecules 2020, 25, 3780. [Google Scholar] [CrossRef]
- Jamain, Z.; Khairuddean, M.; Zulbaharen, N.N.; Chung, T.K. Synthesis, characterization and determination of mesophase transition of azo-azomethine derivatives with different terminal chain lengths. Malaysian J. Chem. 2019, 21, 73–85. [Google Scholar]
- Jamain, Z.; Khairuddean, M.; Guan-Seng, T. Liquid-crystal and fire-retardant properties of new hexasubstituted cyclotri-phosphazene compounds with two Schiff base linking units. Molecules 2020, 25, 2122. [Google Scholar] [CrossRef]
- Abd El-Wahab, H.; Abd El-Fattah, M.; El-alfy, H.M.Z.; Owda, M.E.; Lin, L.; Hamdy, I. Synthesis and characterisation of sulphonamide (Schiff base) ligand and its copper metal complex and their efficiency in polyurethane varnish as flame retardant and antimicrobial surface coating additives. Prog. Org. Coat. 2020, 142, 105577. [Google Scholar] [CrossRef]
- Jamain, Z.; Khairuddean, M.; Guan-Seng, T. Synthesis of New Star-Shaped Liquid Crystalline Cyclotriphosphazene Derivatives with Fire Retardancy Bearing Amide-Azo and Azo-Azo Linking Units. Int. J. Mol. Sci. 2020, 21, 4267. [Google Scholar] [CrossRef] [PubMed]
- Jamain, Z.; Khairuddean, M.; Guan-Seng, T. Synthesis of novel liquid crystalline and fire retardant molecules based on six-armed cyclotriphosphazene core containing Schiff base and amide linking units. RSC Adv. 2020, 10, 28918–28934. [Google Scholar] [CrossRef]
- Jamain, Z.; Khairuddean, M.; Guan-Seng, T.; Rahman, A.B.A. Synthesis, characterization and mesophase transition of hexasubstituted cyclotriphosphazene molecules with Schiff base and azo linking units and determination of their fire retardant properties. Macromol. Res. 2021, 29, 331–341. [Google Scholar] [CrossRef]
- Shariatinia, Z.; Javeri, N.; Shekarriz, S. Flame retardant cotton fibers produced using novel synthesized halogen-free phosphoramide nanoparticles. Carbohydr. Polym. 2015, 118, 183–198. [Google Scholar] [CrossRef]
- Alidağı, H.A.; Gırgıç, Ö.M.; Zorlu, Y.; Hacıvelioğlu, F.; Çelik, S.Ü.; Bozkurt, A.; Kılıç, A.; Yeşilot, S. Synthesis and proton conductivity of azole-substituted cyclic and polymeric phosphazenes. Polymer 2013, 54, 2250–2256. [Google Scholar] [CrossRef]
- Inoue, K.; Yamauchi, T.; Itoh, T.; Ihara, E. Ionic conductivity of cross-linked polymethacrylate derivatives/cyclophosphazenes/Li+ Salt Complexes. J. Inorg. Organomet. Polym. Mater. 2007, 17, 367–375. [Google Scholar] [CrossRef]
- Koran, K.; Özen, F.; Biryan, F.; Görgülü, A.O. Synthesis, structural characterization and dielectric behavior of new oxime-cyclotriphosphazene derivatives. J. Mol. Struct. 2016, 1105, 135–141. [Google Scholar] [CrossRef]
- Jiang, P.; Gu, X.; Zhang, S.; Sun, J.; Wu, S.; Zhao, Q. Syntheses and characterization of four phosphaphenanthrene and phosphazene-based flame retardants. Phosphorus Sulfur Silicon Relat. Elem. 2014, 189, 1811–1822. [Google Scholar] [CrossRef]
- Çoşut, B. Highly efficient energy transfer in BODIPY–pyrene decorated cyclotriphosphazene. Dye. Pigment. 2014, 100, 11–16. [Google Scholar] [CrossRef]
- Bolink, H.J.; Barea, E.M.; Costa, R.D.; Coronado, E.; Sudhakar, S.; Zhen, C.; Sellinger, A. Efficient blue emitting organic light emitting diodes based on fluorescent solution processable cyclic phosphazenes. Org. Electron. 2008, 9, 155–163. [Google Scholar] [CrossRef]
- Jamain, Z.; Khairuddean, M.; Loh, M.L.; Manaff, N.L.A.; Makmud, M.Z.H. Synthesis and characterization of hexasubstituted cyclotriphosphazene derivatives with azo linking units. Malaysian J. Chem. 2020, 22, 125–140. [Google Scholar]
- Fratini, S.; Morpurgo, A.F.; Ciuchi, S. Electron–phonon and electron–electron interactions in organic field effect transistors. J. Phys. Chem. Solids 2008, 69, 2195–2198. [Google Scholar] [CrossRef][Green Version]
- Haughey, A.-M.; Guilhabert, B.; Kanibolotsky, A.L.; Skabara, P.J.; Burley, G.A.; Dawson, M.D.; Laurand, N. An organic sem-iconductor laser based on star-shaped truxene-core oligomers for refractive index sensing. Sens. Actuat. B Chem. 2013, 185, 132–139. [Google Scholar] [CrossRef]
- Tsai, Y.; Juang, F.; Yang, T.; Yokoyama, M.; Ji, L.; Su, Y. Effects of different buffer layers in flexible organic light-emitting diodes. J. Phys. Chem. Solids 2008, 69, 764–768. [Google Scholar] [CrossRef]
- Bokolia, R.; Thakur, O.; Rai, V.K.; Sharma, S.; Sreenivas, K. Dielectric, ferroelectric and photoluminescence properties of Er3+ doped Bi4Ti3O12 ferroelectric ceramics. Ceram. Int. 2015, 41, 6055–6066. [Google Scholar] [CrossRef]
- Koran, K.; Özen, F.; Biryan, F.; Demirelli, K.; Görgülü, A.O. Eu+3-doped chalcone substituted cyclotriphosphazenes: Synthesis, characterizations, thermal and dielectrical properties. Inorg. Chim. Acta 2016, 450, 162–169. [Google Scholar] [CrossRef]
- Lakshmikandhan, T.; Sethuraman, K.; Chandramohan, A.; Alagar, M. Development of phosphazene imine modified epoxy nanocomposites for low dielectric, antibacterial activity and UV shielding applications. Polym. Compos. 2015, 38, E24–E33. [Google Scholar] [CrossRef]
- Fan, J.; Hu, X.; Yue, C.Y. Dielectric properties of self-catalytic interpenetrating polymer network based on modified bismaleimide and cyanate ester resins. J. Polym. Sci. Part B Polym. Phys. 2003, 41, 1123–1134. [Google Scholar] [CrossRef]
- Akbaş, H.; Karadağ, A.; Destegül, A.; Çakırlar, Ç.; Yerli, Y.; Tekin, K.C.; Malayoglu, U.; Kılıç, Z. Synthesis, and spectroscopic, thermal and dielectric properties of phosphazene based ionic liquids: OFET application and tribological behavior. New J. Chem. 2019, 43, 2098–2110. [Google Scholar] [CrossRef]
- Fu, J.Y. On the theory of the universal dielectric relaxation. Philos. Mag. 2014, 94, 1788–1815. [Google Scholar] [CrossRef]
- Sangoro, J.; Iacob, C.; Naumov, S.; Valiullin, R.; Rexhausen, H.; Hunger, J.; Buchner, R.; Strehmel, V.; Kärger, J.; Kremer, F. Diffusion in ionic liquids: The interplay between molecular structure and dynamics. Soft Matter 2011, 7, 1678–1681. [Google Scholar] [CrossRef]
- Koran, K.; Özen, F.; Torğut, G.; Pıhtılı, G.; Çil, E.; Orhan Görgülü, A.; Arslan, M. Synthesis, characterization and dielectric properties of phosphazenes containing chalcones. Polyhedron 2014, 79, 213–220. [Google Scholar] [CrossRef]
- Kimura, T.; Kajiwara, M. Electrical properties of a cyclotriphosphazene matrix polymer: Cyclotri(trifluoroethoxy, acryloyloxy-ethyleneoxy)phosphazene matrix polymer. J. Inorg. Organomet. Polym. Mater. 1992, 2, 431–441. [Google Scholar] [CrossRef]
- Krishnadevi, K.; Grace, A.N.; Alagar, M.; Selvaraj, V. Development of hexa (aminophenyl)cyclotriphosphazene-modified cyanate ester composites for high-temperature applications. High Perform. Polym. 2013, 26, 89–96. [Google Scholar] [CrossRef]
- Lim, H.; Chang, J.Y. Thermally stable and flame retardant low dielectric polymers based on cyclotriphosphazenes. J. Mater. Chem. 2010, 20, 749–754. [Google Scholar] [CrossRef]
- Selvi, M.; Devaraju, S.; Alagar, M. Cyclotriphosphazene nanofiber-reinforced polybenzoxazine/epoxy nanocomposites for low dielectric and flame-retardant applications. Polym. Bull. 2018, 76, 3785–3801. [Google Scholar] [CrossRef]
- Wang, S.; Ahmad, Z.; Mark, J.E. Polyimide-Silica Hybrid Materials Modified by Incorporation of an Organically Substituted Alkoxysilane. Chem. Mater. 1994, 6, 943–946. [Google Scholar] [CrossRef]
- Lu, S.-Y.; Hamerton, I. Recent developments in the chemistry of halogen-free flame retardant polymers. Prog. Polym. Sci. 2002, 27, 1661–1712. [Google Scholar] [CrossRef]
- Choi, J.; Yee, A.F.; Laine, R.M. Organic/inorganic hybrid composites from cubic silsesquioxanes. Epoxy resins of octa(dimethylsiloxyethylcyclohexylepoxide) silsesquioxane. Macromolecules 2003, 36, 5666–5682. [Google Scholar] [CrossRef]
- Chen, D.-Q.; Wang, Y.-Z.; Hu, X.-P.; Wang, D.-Y.; Qu, M.-H.; Yang, B. Flame-retardant and anti-dripping effects of a novel char-forming flame retardant for the treatment of poly(ethylene terephthalate) fabrics. Polym. Degrad. Stab. 2005, 88, 349–356. [Google Scholar] [CrossRef]
- Revathi, R.; Prabunathan, P.; Alagar, M. Synthesis and studies on phosphazene core-based POSS-reinforced polyimide nanocomposites. Polym. Bull. 2018, 76, 387–407. [Google Scholar] [CrossRef]
- Chang, H.C.; Lin, H.T.; Lin, C.H. Benzoxazine-based phosphinated bisphenols and their application in preparing flame-retardant, low dielectric cyanate ester thermosets. Polym. Chem. 2012, 3, 970–978. [Google Scholar] [CrossRef]
- Xiong, Y.; Jiang, Z.; Xie, Y.; Zhang, X.; Xu, W. Development of a DOPO-containing melamine epoxy hardeners and its thermal and flame-retardant properties of cured products. J. Appl. Polym. Sci. 2012, 127, 4352–4358. [Google Scholar] [CrossRef]
- Chen, X.; Gu, A.; Liang, G.; Yuan, L.; Zhuo, D.; Hu, J. Novel low phosphorus-content bismaleimide resin system with outstanding flame retardancy and low dielectric loss. Polym. Degrad. Stab. 2012, 97, 698–706. [Google Scholar] [CrossRef]
- Lund, L.G.; Paddock, N.L.; Proctor, J.E.; Searle, H.T. 514. Phosphonitrilic derivatives. Part I. The preparation of cyclic and linear phosphonitrilic chlorides. J. Chem. Soc. 1960, 2542–2547. [Google Scholar] [CrossRef]





| Title of Journal | Structure and Name of Compound | Flame Retardant Properties | Ref. |
|---|---|---|---|
| Flame retardant properties of cyclotriphosphazene derivatives for ABS | ![]() | - LOI value: BPCP (21.2%, 22.1%, and 22.73% respectively), NTCP (22.3%, 23.1%, and 24.5% respectively, PTCP (23.1%, 24.1%, and 25.2%, respectively) - Additive used: 10 wt%, 15 wt%, and 20 wt% of each of BPCP, NTCP, and PTCP, respectively - Molding: ABS resin UL-94: Achieved V-1 rating | [34] |
| The flame retardancy and thermal stability properties of the poly(ethylene terephthalate)/hexakis(4-nitrophenoxy) cyclotriphosphazene system. | Hexakis(4-nitrophenoxy) cyclotriphosphazene (HNCP)![]() | - LOI value: 35.1% - Additive used: 10 wt% of HNCP - Molding: Polyethylene terephthalate) PET UL-94: Achieved V-0 rating | [35] |
| Preparation and properties of halogen free flame-retardant blending modification polyester | Hexa(phenylamino)cyclotriphosphazene (HPACP)![]() | - LOI value: 28.3% - Additive used: 10 wt% of HPACP - Molding: Poly(ethylene terephthalate) PET UL-94: Not mentioned in this study | [36] |
| Synthesis of hexa-allylamino cyclotriphosphazene as a reactive flame retardant for unsaturated polyester. | Hexa-Allylamino Cyclotriphosphazene (HAC)![]() | - LOI value: 36.5% - Additive used: Hexa-Allylamino Cyclotriphosphazene (HAC) - Molding: Diglycidyl ether bisphenol-A (DGEBA) UL-94: Not mentioned in this study | [37] |
| Synthesis of a phosphorus/nitrogen-containing compound based on maleimide and cyclotriphosphazene and its flame-retardant mechanism on epoxy resin. | Hexa(4-maleimido-phenoxyl)-cyclotriphosphazene (HMCP)![]() | - LOI value: 36.5% - Additive used: Hexa(4-maleimido-phenoxyl)-cyclotriphosphazene (HMCP) - Molding: Epoxy Resin UL-94: Achieved V-0 rating | [38] |
| Synthesis of a novel flame retardant based on cyclotriphosphazene and DOPO groups and its application in epoxy resins | Hexa-[4-p-hydroxyanilino-phosphaphenanthrene-methyl)phenoxyl]-cyclotriphosphazene (HPMPC)![]() | - LOI value: 36.6% - Additive used: 10.6 wt% of HPMPC - Molding: Diglycidyl ether bisphenol-A (DGEBA) UL-94: Achieved V-0 rating | [39] |
| Preparation of hexakis (4-aldehyde phenoxy) cyclotriphosphazene grafted kalonite and its synergistic fire resistance in poly(butylene succinate) | Hexakis (4-aldehyde phenoxy) cyclotriphosphazene (HAPC)![]() | - LOI value: 40.3% - Additive used: 3 wt% of HAPC - Molding: Poly(butylene succinate) UL-94: Achieved V-0 rating | [40] |
| Synthesis, mechanical properties, and fire behavior of rigid polyurethane foam with a reactive flame retardant containing phosphazene and phosphate. | Hexa-(phosphite-hydroxyl-methyl-phenoxyl)-cyclotriphosphazene (HPHPCP)![]() | - LOI value: 25% - Additive used: 15 wt% of HPHPCP - Molding: Rigid polyurethane foams (FR-RFUFs) UL-94: Achieved HF-1 rating | [20] |
| Synthesis and characterization of flame-retardant rigid polyurethane foam based on reactive flame retardant containing phosphazene and cyclophosphonate | Hexa-(5,5-dimethyl-1,3,2-dioxaphosphinane-hydroxyl-methyl-phenoxyl-cycyclotriphosphazene (HDPCP)![]() | - LOI value: 25% - Additive used: 25 wt% of HDPCP - Molding: Rigid polyurethane foams (FR-RFUFs) UL-94: Not mentioned in this study | [41] |
| Application of cyclophosphazene derivatives as flame retardant for ABS | ![]() | - LOI value: PNCP (20.8%, 21.5% and 22.1%, respectively) - CTCP (22.0%, 22.7% and 23.1%, respectively) - HNCP (22.9%, 23.6% and 24.9%, respectively) - Additive used: 10 wt%, 15 wt% and 20 wt% of PNCP, CTCP and HNCP, respectively - Molding: ABS resin UL-94: 15 wt% of the flame retardants were classified as the V-2 class, and 20 wt% of the flame retardants using PNCP were classified as V-2 but using HNCP or CTCP were classed as V-1 | [42] |
| The non-halogen flame retardant epoxy resin based on novel compound with phosphenanthrene and cyclotriphosphazene double functional groups | Hexa-(phosphaphenanthrene-hydroxyl-methyl-phenoxyl)-cyclotriphosphazene (HAP-DOPO)![]() | - LOI value: 35.2% - Additive used: 1.5 wt% of HAP-DOPO - Molding: epoxy resin UL-94: Achieved V-0 rating | [43] |
| Computer simulation study on the compatibility of cyclotriphosphazene containing the aminopropylsilicone functional group in flame retardant polypropylene/ammonium polyphosphate composites | APESP![]() | - LOI value: 26.5% - Additive used: APESP - Molding: Polypropylene (PP)/ammonium polyphospate (APP) UL-94: Achieved rating V-2 | [44] |
| Hexa (eugenol) cyclotriphosphazene modified bismaleimide resins with unique thermal stability and flame retardancy | Hexa(eugenol)cyclotriphosphazene (HEC)![]() | - LOI value: 39%, 48.4%, 50.1%, 49.8%, and 48.9%, respectively. - Additive used: Hexa(eugenol)cyclotriphosphazene (HEC) - Molding: 4,4′-bismaleimidodiphenylmethane (BMI) UL-94: Achieved rating V-0 | [45] |
| Aminobenzothiazole-substituted cyclotriphosphazene derivatives as reactive fire retardant for epoxy resin. | Aminobenzothiazole-substituted cyclotriphosphazene derivative (ABCP)![]() | - LOI value: 31.2% - Additive used: Aminobenzothiazole-substituted cyclotriphosphazene (ABCP) - Molding: Epoxy Resin UL-94: Achieved V-0 rating | [46] |
| Effect of cyclotriphosphazene-based curing agents on the fire retardant of epoxy resin | Hexacyclohexylamino-cyclotriphosphazene (HCACTP)![]() Diaminotetracyclohexylamino-cyclotriphosphazene (DTCATP) ![]() | - LOI value: 25.3% and 22.2% respectively. - Additive used: Hexacyclohexylamino-cyclotriphosphazene (HCACTP) and Diaminotetracyclohexylamino-cyclotriphosphazene (DTCATP). - Molding: Epoxy Resin UL-94: Not mentioned in this study | [47] |
| The flame retardant properties and mechanism of poly(ethylene terephalate)/hexakis (para-allyloxyphenoxy) cyclotriphosphazene systems. | Para-allyl ether phenol derivative of cyclophosphazene (PACP)![]() | - LOI value: 33.5%, 33%, and 32.1%, respectively. - Additive: 5 wt%, 10 wt% and 15 wt% of PACP - Molding: Poy(ethylene terephalate) PET. UL-94: Achieved V-0 rating | [48] |
| Benzimidazolyl-substituted cyclotriphosphazene derivatives as a latent flame-retardant curing agent for a one-component epoxy resin system with excellent comprehensive performance. | Benzimidazolyl- substituted cyclotriphosphazene (BICP)![]() | - LOI value: 33.5% - Additive: Benzimidazolyl-substituted cyclotriphosphazene (BICP) - Molding: Epoxy Resin UL-94: Achieved V-0 rating | [49] |
| Synthesis of melamine-cyclotriphosphazene derivatives and its application as flame retardant on cotton gauze | Melamine-Cyclotriphosphazene (MCP).![]() | - LOI value: 16.9%, 23.5%, 24.6%, 25.4% 26.5%, and 25.8% respectively - Additive: Melamine-Cyclotriphosphazene (MCP). - Molding: Cotton Gauze UL-94: Not mentioned in this study | [50] |
| The flame retardancy and thermal stability properties of flame-retardant epoxy resin based on a-hydroxyphosponate cyclotriphosphazene | a-hydroxyphosponate cyclotriphos-phazene![]() | - LOI value: 30.7% - Additive: a hydroxyphosponate cyclotriphosphazene - Molding: Epoxy Resin UL-94: V-0 rating | [51] |
| Synthesis and flame retardant properties of cyclotriphosphazene derivatives containing Boron. | Cyclotriphosphazene derivatives containing Boron (CP-6B)![]() | - LOI value: 32.3% - Additive: CP-6B - Molding: Epoxy Resin UL-94: Achieved V-0 rating. | [52] |
| An effective flame retardant for Poly(ethylene terephthalate) synthesis by phosphaphenanthrene and cyclotriphosphazene. | DOPO-TPN![]() | - LOI value: 34% - Additive: DOPO-TPN - Molding: Poly(ethylene terephtthalate) PET UL-94: Achieved V-0 rating | [53] |
| The influence of synergistic effects of hexakis (4-nitrophenoxy)cyclotriphosphazene and POE-g-MA on anti-dripping and flame retardancy of PET | Hexakis (4-nitrophenoxy)cyclotriphosphazene (HNCP)![]() | - LOI value: 28.3% - Additive used: 10 wt% - Molding: Poly(etyhylene terepththalate PET - UL-94: PET/10 wt% HNCP with 0.5 wt% POE-g-MA achieved a rating of V-0 and PET/10 wt% HNCP with 3 wt% POE-g-MA achieved rating V-0 | [54] |
| Design of a self-healing and flame-retardant cyclotriphosphazene-based epoxy vitrimer | Cyloliner cylotriphosphazene-based epoxy resin (CTP-EP)![]() | - LOI value: 30.5% - Additive used: CTP-EP/DTDA - Molding: Epoxy Resin UL-94: Achieved V-0 rating. | [55] |
| Synthesis and flame retardant efficacy of hexakis(3-(triethoxysilyl)propyloxy)cyclotriphosphazene/silica coatings for cotton fabrics | Hexakis(3-(triethoxysilyl)propyloxy)cyclotriphosphazene (HTPC)![]() | - LOI value: 27.7% - Additive used: Hexakis(3-(triethoxysilyl)propyloxy)cyclotriphosphazene (HTPC) - Molding: Cotton Fibre UL-94: Not mentioned in this study | [56] |
| Synthesis and characterization of thermally stable and flame retardant of hexakis(4-aminophenoxy)cyclotriphosphazene-based polyimide matrices | Hexakis(4-aminophenoxy)cyclotriphosphazene-based polyimide matrices (HACTP)![]() | - LOI value: Range from 44.3% until 46.7%, respectively - Additive: HACTP - Molding: PI-PMDA and PI-BPDA UL-94: Achieved V-0 rating | [57] |
| The synthesis, curing kinetics, thermal properties, and flame retardancy of cyclotriphosphazene-containing multifunctional epoxy resin | Hexa-[4-(glycidyloxymethyl)phenoxy]-cyclotriphosphazene (HGPCP)![]() | - LOI value: 32.5% and 35.4%, respectively - Additive: HGPCP/DDS and HGPCP/DDM - Molding: Epoxy Resin UL-94: Achieved V-0 rating | [58] |
| Hexa-[4-(glycidloxycarbonyl)phenoxy]cyclotriphosphazene chain extender for preparing high-performance flame retardant polyamide-six composites | Hexa-[4-(glycidloxycarbonyl)phenoxy]cyclotriphosphazene (CTP-EP)![]() | - LOI value: 31.3% - Additive: 11 wt% of ALPi/CTP-EP - Molding: Polyamide 6/aliminium diethylphpsphinate (PA6/AlPi) UL-94: Achieved V-0 rating | [59] |
| Synergistic effect of the intumescent flame-retardant system consisting of hexophenoxy cyclotriphosphazene and ammonium polyphosphate on methyl ethyl silicon rubber | Hexophenoxy cyclotriphosphazene (HPCP)![]() | - LOI value: 30.6% - Additive: Hexophenoxy cyclotriphosphazene (HPCP) - Molding: Methyl ethyl silicone rubber (VMQ) UL-94: Achieved V-0 rating | [60] |
| High transmittance and environmentally friendly flame-retardant optical resin based on poly(methyl methacrylate) and cyclotriphosphazene derivatives | Ethyl p-hydroxybenzoate derivatives of cyclotriphosphazene![]() Phenol derivatives of cyclotriphosphazene ![]() | - LOI value: 26% and 22%, respectively - Additive: Two cyclotriphosphazene derivatives - Molding: High transparent optical resin based on methacrylate (PMMA) UL-94: Not mentioned in this study | [61] |
| Study of thermal properties of flame-retardant epoxy resin treated with hexakis[p-(hydroxymethyl)phenoxy] cyclotriphosphazene | Hexakis[p-(hydroxymethyl)phenoxy] cyclotriphosphazene (HHPCP)![]() | - LOI value: 26.5% - Additive: Hexakis[p-(hydroxymethyl)phenoxy] cyclotriphosphazene (HHPCP) - Molding: Epoxy Rein UL-94: Not mentioned in this study | [62] |
| The flame retardancy and thermal properties of poly (ethylene terephthalate)/cyclotriphosphazene modified by the montmorillonite system | Hexachlorocyclotriphosphazene mofidies by montmorillonite (HCCP-OMMT)![]() | - LOI value: 31.5% - Additive: 3% of hexachlorocyclotriphosphazene mofidied by montmorillonite (HCCP-OMMT) - Molding: Poly(ethylene terephthalate) UL-94: Achieved V-0 rating | [63] |
| Synthesis, characterization, and utilization of novel phosphorus/nitrogen-containing flame retardant | Hexa(phosphaphenanthrene aminophenoxyl)-cyclotriphosphazene (HPAPC)![]() | - LOI value: 34.7% - Additive: Hexa(phosphaphenanthrene aminophenoxyl)-cyclotriphosphazene (HPAPC) - Molding: Poly(lactic acid) (PLA) UL-94: Achieved V-0 rating | [25] |
| Effect of surface chemical modification for aluminum hypophosphite with hexa-(4-aldehyde-phenoxy)-cyclotriphosphazene on flame retardancy, water resistance, and thermal properties for polyamide 6 | Hexa-(4-aldehyde-phenoxy)-cyclotriphosphazene (AHP)![]() | - LOI value: 27.6% - Additive: Hexa-(4-aldehyde-phenoxy)-cyclotriphosphazene (AHP) - Molding: Polyamide 6 (PA6) - UL-94: Achieved V-0 rating | [64] |
| Synthesis of tris(phenoxy)triflorocyclotriphosphazene and study of its effect on the flammable, thermal, optical, and mechanical properties of bisphenol-A polycarbonate | Tris(phenoxy)trifluorocyclotriphosphazene (TCTP)![]() | - LOI value: 40% - Additive: Tris(phenoxy)trifluorocyclotriphosphazene (TCTP) - Molding: Polycarbonate - UL-94: Achieved V-0 rating | [65] |
| Effect of trisilanolphenyl-POSS on rheological, mechanical, and flame retardancy properties of the poly(ethylene terephthalate)/cyclotriphosphazene system | Hexakis (para-alloxyphenoxy) cyclotriphosphazene (PACP)![]() | - LOI value: Not mentioned in this study - Additive: Hexakis (para-alloxyphenoxy) cyclotriphosphazene (PACP) - Molding: Poly(ethylene terepthtalate) (PET) UL-94: Achieved V-0 rating | [66] |
| Preparation and properties of novel inherent flame-retardant cyclotriphophazene containing epoxy resin | Bis-(4-hydroxyphenylsulfonylphenoxy)tereohenoxycyclotriphosphazene (HSPPZ)![]() | - LOI value: Not mentioned in this study - Additive: Bis-(4-hydroxyphenylsulfonylphenoxy) tereohenoxycyclotriphosphazene (HSPPZ) - Molding: Epoxy Resin UL-94: Achieved V-0 rating | [67] |
| Title of Journal | Types of Linking Unit | Description | Ref. |
|---|---|---|---|
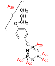
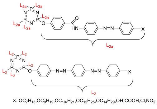
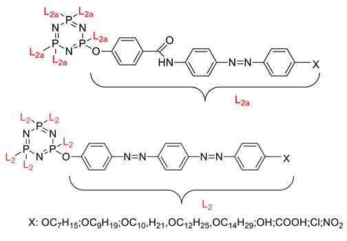
| Synthesis of new star-shaped liquid crystalline cyclotriphosphazene derivatives with flame-retardant bearing amide-azo and azo-azo linking units. | Amide azo and azo-azo linking units | - This study aimed to synthesize two series of new hexasubstituted cyclotriphosphazene containing two types of linking units: amide-azo and azo-azo. - The homologues of the same series contain different terminal substituents such as heptyl, nonyl, decyl, dodecyl, tetradecyl, hydroxyl, carboxyl, chloro, nitro, and amino. - The flame retardancy of synthesized compounds is measured using the Limiting Oxygen Index. - From the result obtained, compounds containing heptyl have a higher LOI value compared with other compounds. The LOI values for alkylated compounds decrease as the aliphatic chain length increases. This study also compared the flame retardancy properties of two compounds containing two different linking units. The compound containing amide-azo was reported to have a high LOI value. The phenomenon indicates the attribute to the electron withdrawing properties of amide moiety. | [73] |
![]() | |||
| Synthesis of novel liquid crystalline and flame-retardant molecules based on six armed cyclotriphosphazene cores containing Schiff base and amide linking units. | Schiff base and amide linking units | - This study aimed to synthesize hexa substituted cyclotriphosphazene containing Schiff base and amide linking units, characterization, and chemical testing (flame retardancy using LOI value) were also measured. - From the result obtained, the LOI value indicating the flame retardancy properties of the compound showed that the compound with the nitro group had a high LOI value due to the electron withdrawing group that enhances the synergistic effect of P-N bonds. - This study also reported that cyclotriphosphazene compounds could enhance the flame retardancy of polyester resin. The LOI value of polyester resin increased from 22.53% to 24.71%. Schiff base linking unit was found to enhance these properties due to char formation in the condensed phase. - Other than that, the amide linking unit also contributed to the increase of LOI value. This is because the electron withdrawing of the amide bond enhances the flammability of these compounds. | [74] |
![]() | |||
| Synthesis, characterization, and mesophase transition of Hexasubstituted cyclotriphosphazene molecules with Schiff base and Azo linking units and determination of their flame-retardant properties. | Schiff base and azo linking units | - This study aimed to synthesis hexasubstituted cyclotriphosphazene containing Schiff base and Azo linking units. The characterization and chemical testing (flame Retardancy using LOI value) were also measured. - From the result obtained, the LOI valued increased when incorporated with hexasubstituted cyclotriphosphazene. The LOI value of the compound containing the nitro group was recorded as the highest, which was 27.90%. This is due to the nitro group’s electron withdrawing, which releases the electron from their resonance effects to their corresponding P-N bonds. As a result, the P-N synergistic effect was enhanced, and they exhibited both the condensed and gas phase action, which caused the compound to have a high LOI value. | [75,76] |
![]() | |||
| Compound | Name |
|---|---|
![]() | 2,2-Bis(4-formyl-2-methoxyphenoxy)-4,4,6,6-bis[spiro(2′,2″- dioxy-1′,1″-biphenylyl)] cyclotriphosphazene |
![]() | 2,2-di[(4-(hydroxyimino)-2-methoxy)phenoxy]- 4,4,6,6-bis[spiro(2′,2″-dioxy-1′1″-biphenylyl)]cyclotriphosphazene |
![]() | 2,2-di[{(4-(methyloxy)imino)-2-methoxy} phenoxy]-4,4,6,6-bis[spiro(2′2″-dioxy-1′,1″-biphenylyl)] cyclotriphosphazene |
![]() | 2,2-di[{(4-(allyloxy)imino)-2-methoxy} phenoxy]-4,4,6,6-bis[spiro(2′,2″-dioxy-1′,1″-biphenylyl)] cyclotriphosphazene |
![]() | 2,2-di[{(4-(benzyloxy)imino)-2-methoxy} phenoxy]-4,4,6,6-bis[spiro(2′,2″-dioxy-1′,1″-biphenylyl)] cyclotriphosphazene |
![]() | 2,2-di[{(4-(chloroacetyloxy)imino)-2-methoxy} phenoxy]-4,4,6,6-bis[spiro(2′,2″-dioxy-1′,1″-biphenylyl)] cyclotriphosphazene |
![]() | 2,2-di[{(4-(propanoyloxy)imino)-2-methoxy} phenoxy]-4,4,6,6-bis[spiro(2′,2″-dioxy-1′,1″-biphenylyl)] cyclotriphosphazene |
![]() | 2,2-di[{(4-(o-chlorobenzoyloxy)imino)-2- methoxy}phenoxy]-4,4,6,6-bis[spiro(2′,2″-dioxy-1′,1″-biphenylyl)] cyclotriphosphaz |
![]() | 2,2-di[{(4-(thiophene-2-carbonyloxy)imino)-2- methoxy}phenoxy]-4,4,6,6-bis[spiro(2′,2″-dioxy-1′,1″-biphenylyl)] cyclotriphosphazene |
| Compound Name | Dielectric Constant | Dielectric Loss | Ref. |
|---|---|---|---|
2,2,4,4-tetra(4′-oxy-substituted-chalcone)- 6,6-diphenyl cyclotriphosphazene derivatives![]() | - Dielectric constants decreased with the increasing frequency, while they remained constant at high frequencies. Structural Reasons: This can be thought to be a polarization effect. Polarization occurs since the effect of dipole increases the frequencies. - Dielectric constant hexasubstituted cyclotrphosphazene compound containing Cl in ortho position was found as higher compared with the synthesized compound of hexasubstituted cyclotriphosphazene containing F atom in ortho position. Structural Reasons: The chlorine atom in the structure increased the polarity, and hence the dipole moment increased. - Dielectric constant of the synthesis compound containing pyridine was recorded to be the highest. Structural Reasons: This is due to the presence of the hetero atom in a ring, which can contribute to higher polarization. | Dielectric loss values of the compounds decreased along with the increasing frequency and remained unchanged after some point. | [4] |
Mono(4-fluorobenzyl)cyclotriphosphazene derivatives with (dimethylamino)ethoxy and (dimethylamino)propoxy chains.![]() | - Sharp decrease of the dielectric constant in the low region of frequency. Structural Reasons: This is due to the relaxation process of the diffusion ion. - Compounds containing ethyl groups as an alkyl chain had a higher dielectric constant than those containing methyl groups. Structural Reasons: Increasing the side chain resulted in a deteriorated charge transport and unfavorable intermolecular interactions, leading to a decreasing dielectric constant. | - | [91,92,93] |
Hexasubstitued cyclotriphosphazene compounds containing chalcone derivatives![]() ![]() | - Dielectric constant decreased with increasing frequency. Structural Reasons: This is because the atom in the compound was consistent with the direct charge of the alternating electric field (AEF) at low frequencies that reduce the dielectric constant value at high frequencies. | - Dielectric loss of the sample decreased with increasing frequency. Structural Reasons: Interfacial dipoles had less time to orient themselves in the direction of the alternate field. As a result, the low-frequency region is attributed to the contribution of charge accumulation at the interface. | [94] |
Cyclotri(trifluoroethoxy, acryloyloxy-ethyleneoxy)phosphazene![]() | - Dielectric constant increased with increasing temperature and with decreasing frequency. Structural Reasons: Due to the rigidity of the polymer matrix. | - Dielectric loss increased with increasing temperature and with decreasing frequency. Structural Reasons: Due to the viscosity of the PNF polymer decrease, which favors dipole orientation. | [95] |
| Addictive | Polymer Matrix | Properties Studies | Finding(s) | Ref. |
|---|---|---|---|---|
| Hexa(aminophenyl)cyclotriphosphazene | Cyanate ester (CE) | Thermal properties Dielectric properties | Limiting oxygen index (LOI) increased. Structural reasons: CPA contains phosphorus, and nitrogen compounds exhibit a good flame retardancy by forming phosphorus char that will act as a protecting layer of heat transfer that will reduce combustible gas production. Nitrogen in CPA will enhance the formation of phosphorus char and a nitrogen compound, which is also efficient in preventing oxygen from burning materials [105]. Dielectric loss and dielectric constant of CPA/CE lower than neat CE. Structural reasons: CPA has bulky sextet moiety with flexible structure; hence incorporated CE composites with CPA contribute to low dielectric properties. | [96] |
| Cyclotriphosphazene reinforced polybenzoxazine (PBZ) | EP/PZT | Flame-retardant properties Dielectric properties (Temperature and Volume) | Limiting oxygen index (LOI) increased. Structural reasons: Incorporated phosphorus and nitrogen-containing phosphazene fiber into the FBZ/EP matrix contributed to flame retardancy since the phosphorus can act in a condensed phase to promote char formation, shielding the polymer from heat and air. Dielectric loss and dielectric constant increased with decreasing the temperature. Structural reasons: It can be ascertained that the composite samples exhibit stable dielectric behavior with regard to variation in temperature. Dielectric constant decreased when the volume of the loaded composite increases. Structural reasons: The dielectric of polymer was determined by the three factors in this study: volume, charge distribution, and statically thermal motion of the polar group. The reduction in the dielectric constant may be explained due to the enhancement of the free volume and, to a certain extent, due to the influencing effect of PZT fiber. | [98] |
| Hexa(aminophenyl)cyclotriphosphazene (PZA) | PZI matrix | Flame-retardant properties Dielectric constant | Limiting oxygen index (LOI) of PZA/PZI matrix was higher than neat PZI. Structural Reasons: Due to the nitrogen and phosphorus in skeletal moiety [105]. In addition, the network structure of PZI matrix also offered an alternative to phosphazene cores. Low dielectric constant obtained from this compound. Structural Reasons: Introduction of such porous materials creates a free volume and contributes to obtaining materials that have a low dielectric constant. | [103] |
| BICP | Epoxy Resin | Fire retardant Dielectric constant | Limiting oxygen index (LOI) of curing EP with BICP improved. Structural Reasons: These organophosphorus compounds facilitated the formation of more residual chars with better thermo-oxidative stability. Dielectric constant and loss of EP/BICP thermosets were lower in comparison with those of the EP/BIM10 thermoset over a wide frequency range. Structural Reasons: Increased free volume of the EP matrix due to the incorporation of a bulky, rigid BICP molecule might be responsible for the decreased dielectric constant of EP/BICP thermosets. Moreover, in the case of thermosets with the homogeneous network, the dielectric properties of polymers generally depend on the orientation and relaxation of dipoles which are closely related to the movement of polymer-chain segments [106]. | [104] |
| HSSPZ | Epoxy Resin | Flame-retardant Electrical properties | The UL-94 achieved a V-0 rating. Structural reasons: This is attributed to the high nitrogen and phosphorus content in the resins. These are believed to have a synergistic effect during burning and yield the higher char amount that can retard the flammability of the materials. The resistivity of the compound increased. Structural Reasons: Inorganic ring of alternating phosphorus and nitrogen atoms of cyclotriphosphazene skeleton in the molecular backbone. The skeleton of cyclotriphosphazene is not a conjugated structure [107], and no electron can be supplied. Thus, the addition of CPEP could retain the electrical resistance of EP. | [67] |
Publisher’s Note: MDPI stays neutral with regard to jurisdictional claims in published maps and institutional affiliations. |
© 2021 by the authors. Licensee MDPI, Basel, Switzerland. This article is an open access article distributed under the terms and conditions of the Creative Commons Attribution (CC BY) license (https://creativecommons.org/licenses/by/4.0/).
Share and Cite
Usri, S.N.K.; Jamain, Z.; Makmud, M.Z.H. A Review on Synthesis, Structural, Flame Retardancy and Dielectric Properties of Hexasubstituted Cyclotriphosphazene. Polymers 2021, 13, 2916. https://doi.org/10.3390/polym13172916
Usri SNK, Jamain Z, Makmud MZH. A Review on Synthesis, Structural, Flame Retardancy and Dielectric Properties of Hexasubstituted Cyclotriphosphazene. Polymers. 2021; 13(17):2916. https://doi.org/10.3390/polym13172916
Chicago/Turabian StyleUsri, Siti Nur Khalidah, Zuhair Jamain, and Mohamad Zul Hilmey Makmud. 2021. "A Review on Synthesis, Structural, Flame Retardancy and Dielectric Properties of Hexasubstituted Cyclotriphosphazene" Polymers 13, no. 17: 2916. https://doi.org/10.3390/polym13172916
APA StyleUsri, S. N. K., Jamain, Z., & Makmud, M. Z. H. (2021). A Review on Synthesis, Structural, Flame Retardancy and Dielectric Properties of Hexasubstituted Cyclotriphosphazene. Polymers, 13(17), 2916. https://doi.org/10.3390/polym13172916
























































