Studies on Curing Kinetics and Tensile Properties of Silica-Filled Phenolic Amine/Epoxy Resin Nanocomposite
Abstract
1. Introduction
2. Materials and Methods
2.1. Materials
2.2. Dynamic DSC Analysis
2.3. Preparation of Nanocomposites
2.4. Tensile Test of Nanocomposites
2.5. Scanning Electron Microscopy
3. Results
3.1. DSC Cure Characterization
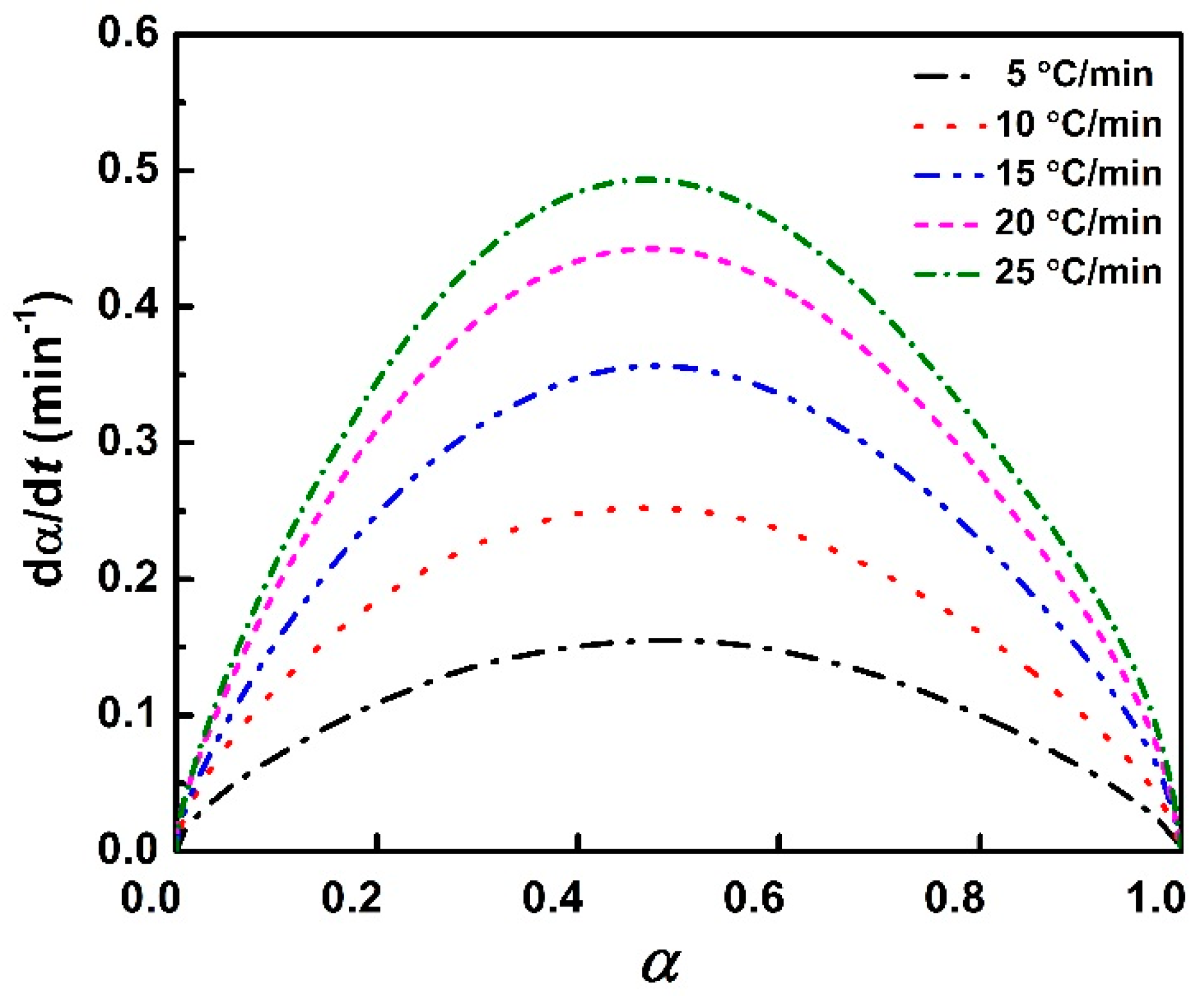
3.2. Curing Kinetics Analysis
3.3. The Numerical Model of Curing Degree and Time
3.4. Model-Free Isoconversional of Ozawa–Flynn–Wall
3.5. SiO2/Epoxy Nanocomposites
4. Conclusions
Author Contributions
Funding
Conflicts of Interest
References
- Rui, Z.; Han, G.; Zhang, H.; Wang, S.; Pu, H.; Ling, K. A new model to evaluate two leak points in a gas pipeline. J. Nat. Gas Sci. Eng. 2017, 46, 491–497. [Google Scholar] [CrossRef]
 - Jasper, A. Oil/Gas Pipeline Leak Inspection and Repair in Underwater Poor Visibility Conditions: Challenges and Perspectives. J. Environ. Prot. 2012, 3, 394–399. [Google Scholar] [CrossRef]
 - Murvay, P.S.; Silea, I. A survey on gas leak detection and localization techniques. J. Loss Prev. Process Ind. 2012, 25, 966–973. [Google Scholar] [CrossRef]
 - Sen, R. Advances in the application of FRP for repairing corrosion damage. Prog. Struct. Eng. Mater. 2003, 5, 99–113. [Google Scholar] [CrossRef]
 - Sen, R.; Mullins, G. Application of FRP composites for underwater piles repair. Compos. Part B 2007, 38, 751–758. [Google Scholar] [CrossRef]
 - Wang, F.; Fang, H.; Li, B.; Cui, C.; Wang, Y. The mechanical behaviour of drainage pipeline under traffic load before and after polymer grouting trenchless repairing. Tunn. Undergr. Sp. Technol. 2018, 74, 185–194. [Google Scholar]
 - Mihai, M. Curing behavior, thermal, and mechanical properties of epoxy resins cured with a novel liquid crystalline dicarboxylic acid curing agent. Polym. Eng. Sci. 2014, 54, 695–703. [Google Scholar]
 - Zheng, Y.; Ning, R.; Zheng, Y. Study of SiO2 nanoparticles on the improved performance of epoxy and fiber composites. J. Reinf. Plast. Compos. 2005, 24, 223–233. [Google Scholar] [CrossRef]
 - Rajadurai, A. Thermo-mechanical characterization of siliconized E-glass fiber/hematite particles reinforced epoxy resin hybrid composite. Appl. Surf. Sci. 2016, 384, 99–106. [Google Scholar]
 - Liu, H.; Xu, K.; Ai, H.; Zhang, L.; Chen, M. Preparation and characterization of phosphorus-containing Mannich-type bases as curing agents for epoxy resin. Polym. Advan. Technol. 2009, 20, 753–758. [Google Scholar] [CrossRef]
 - Atta, A.M.; Shaker, N.O.; Maysour, N.E. Influence of the molecular structure on the chemical resistivity and thermal stability of cured Schiff base epoxy resins. Prog. Org. Coatings 2006, 56, 100–110. [Google Scholar] [CrossRef]
 - Cai, H.; Li, P.; Sui, G.; Yu, Y.; Li, G.; Yang, X.; Ryu, S. Curing kinetics study of epoxy resin/flexible amine toughness systems by dynamic and isothermal DSC. Thermochim. Acta 2008, 473, 101–105. [Google Scholar] [CrossRef]
 - Taylor, A.C.; Carolan, D.; Ivankovic, A.; Kinloch, A.J.; Sprenger, S. Toughening of epoxy-based hybrid nanocomposites. Polymer 2016, 97, 179–190. [Google Scholar]
 - He, H.; Li, K.; Wang, J.; Sun, G.; Li, Y.; Wang, J. Study on thermal and mechanical properties of nano-calcium carbonate/epoxy composites. Mater. Des. 2011, 32, 4521–4527. [Google Scholar] [CrossRef]
 - Boumaza, M.; Khan, R.; Zahrani, S. An experimental investigation of the effects of nanoparticles on the mechanical properties of epoxy coating. Thin Solid Films 2016, 620, 160–164. [Google Scholar] [CrossRef]
 - Purohit, P.J.; Huacuja-Sánchez, J.E.; Wang, D.Y.; Emmerling, F.; Thünemann, A.; Heinrich, G.; Schönhals, A. Structure-property relationships of nanocomposites based on polypropylene and layered double hydroxides. Macromolecules 2011, 44, 4342–4354. [Google Scholar] [CrossRef]
 - Gu, H.; Ma, C.; Gu, J.; Guo, J.; Yan, X.; Huang, J.; Zhang, Q.; Guo, Z. An overview of multifunctional epoxy nanocomposites. J. Mater. Chem. C 2016, 4, 5890–5906. [Google Scholar] [CrossRef]
 - 18.Yuming, H.; Liang, Y. Curing Agent; Chemical Industry Press: Beijing, China, 2004; pp. 22–23. [Google Scholar]
 - Hu, J.; Hao, W.; Xing, L.; Zhang, J.; Yang, W.; Chen, L. Isoconversional analysis of non-isothermal curing process of epoxy resin/epoxide polyhedral oligomeric silsesquioxane composites. Polym. Test. 2011, 30, 349–355. [Google Scholar]
 - Lakho, D.A.; Yao, D.; Cho, K.; Ishaq, M.; Wang, Y. Study of the Curing Kinetics toward Development of Fast-Curing Epoxy Resins. Polym.-Plast. Technol. Eng. 2017, 56, 161–170. [Google Scholar] [CrossRef]
 - He, Y. DSC and DEA studies of underfill curing kinetics. Thermochim. Acta 2001, 367–368, 101–106. [Google Scholar] [CrossRef]
 - Kissinger, H.E. Reaction Kinetics in Differential Thermal Analysis. Anal. Chem. 1957, 29, 1702–1706. [Google Scholar] [CrossRef]
 - Ozawa, T. Kinetic analysis of derivative curves in thermal analysis. J. Therm. Anal. 1970, 2, 301–324. [Google Scholar] [CrossRef]
 - Safarpour, M.A.; Omrani, A.; Afsar, S.; Zare-Hossein-Abadi, D. Study of cure kinetics of epoxy/DDS/nanosized (SiO2/TiO2) system by dynamic differential scanning calorimetry. Polym. Adv. Technol. 2011, 22, 718–723. [Google Scholar] [CrossRef]
 - Crane, L.W.; Dynes, P.J.; Kaelble, D.H. Curing kinetics in polymer composites. J. Polym. Sci. Part C 1974, 12, 473–475. [Google Scholar]
 - Ren, R.; Chen, P.; Lu, S.; Xiong, X.; Liu, S. The curing kinetics and thermal properties of epoxy resins cured by aromatic diamine with hetero-cyclic side chain structure. Thermochim. Acta 2014, 595, 22–27. [Google Scholar]
 - Rivero, G.; Pettarin, V.; Vázquez, A.; Manfredi, L.B. Curing kinetics of a furan resin and its nanocomposites. Thermochim. Acta 2011, 516, 79–87. [Google Scholar] [CrossRef]
 - Omrani, A.; Ghaemy, M.; Rostami, A.A. Thermosetting polymers from epoxy resin and a Nickel catalyst of diethylenetriamine. J. Therm. Anal. Calorim. 2009, 98, 477–483. [Google Scholar] [CrossRef]
 - Flynn, J.H.; Wall, L.A. A quick, direct method for the determination of activation energy from thermogravimetric data. J. Polym. Sci. Part B Polym. Lett. 1966, 4, 323–328. [Google Scholar] [CrossRef]
 - Zhang, J.-J.; Ren, N. A new kinetic method of processing TA data. Chinese J. Chem. 2010, 22, 1459–1462. [Google Scholar] [CrossRef]
 - Vyazovkin, S.; Sbirrazzuoli, N. Mechanism and kinetics of epoxy-amine cure studied by differential scanning calorimetry. Macromolecules 1996, 29, 1867–1873. [Google Scholar] [CrossRef]
 - Liu, F.; Wang, Z.; Liu, D.; Li, J. Curing of diglycidyl ether of bisphenol-A epoxy resin using a poly(aryl ether ketone) bearing pendant carboxyl groups as macromolecular curing agent. Polym. Int. 2009, 58, 912–918. [Google Scholar] [CrossRef]
 - Vyazovkin, S. Isoconversional Kinetics of Thermally Stimulated Processes; Springer International Publishing: New York, NY, USA, 2015; ISBN 9783319141749. [Google Scholar]
 - Ferdosian, F.; Ebrahimi, M.; Jannesari, A. Curing kinetics of solid epoxy/DDM/nanoclay: Isoconversional modelsversus fitting model. Thermochim. Acta 2013, 568, 67–73. [Google Scholar] [CrossRef]
 - Perrin, F.X.; Nguyen, T.M.H.; Vernet, J.L. Kinetic analysis of isothermal and nonisothermal epoxy-amine cures by model-free isoconversional methods. Macromol. Chem. Phys. 2007, 208, 718–729. [Google Scholar] [CrossRef]
 - Zare, Y.; Rhee, K.Y.; Hui, D. Influences of nanoparticles aggregation/agglomeration on the interfacial/interphase and tensile properties of nanocomposites. Compos. Part B 2017, 122, 41–46. [Google Scholar] [CrossRef]
 - Rahman, I.A.; Padavettan, V. Synthesis of Silica Nanoparticles by Sol-Gel: Size-Dependent Properties, Surface Modification, and Applications in Silica-Polymer Nanocomposites—A Review. J. Nanomater. 2012, 2012, 8. [Google Scholar] [CrossRef]
 - Zamanian, M.; Mortezaei, M.; Salehnia, B.; Jam, J.E. Fracture toughness of epoxy polymer modified with nanosilica particles: Particle size effect. Eng. Fract. Mech. 2013, 97, 193–206. [Google Scholar] [CrossRef]
 - Jiang, Y.; Tohgo, K.; Shimamura, Y. Ultrasonic dispersion of SiO2 particles in glassy epoxy resin. J. Compos. Mater. 2012, 46, 1159–1168. [Google Scholar] [CrossRef]
 










| Samples | Component and Content | |||
|---|---|---|---|---|
| DGEBA | 810 | NGDE | Nano-SiO2 | |
| 1 | 100 | 35 | 30 | 0 | 
| 2 | 100 | 35 | 30 | 1.0 | 
| 3 | 100 | 35 | 30 | 1.5 | 
| 4 | 100 | 35 | 30 | 2.0 | 
| 5 | 100 | 35 | 30 | 2.5 | 
| Heating Rate (°C/min) | Ti/°C | Tp/°C | Tf/°C | ∆Htotal (J/g) | 
|---|---|---|---|---|
| 5 | 40.73 | 77.41 | 112.6 | 247.1 | 
| 10 | 52.74 | 91.13 | 134.7 | 222.5 | 
| 15 | 58.16 | 98.50 | 146.0 | 184.6 | 
| 20 | 62.30 | 103.7 | 153.2 | 177.9 | 
| 25 | 68.08 | 111.1 | 162.4 | 162.5 | 
| E (kJ·mol−1) | n | A (min−1) | 
|---|---|---|
| 50.28 | 0.94 | 4.22 × 106 | 
© 2019 by the authors. Licensee MDPI, Basel, Switzerland. This article is an open access article distributed under the terms and conditions of the Creative Commons Attribution (CC BY) license (http://creativecommons.org/licenses/by/4.0/).
Share and Cite
Zheng, T.; Wang, X.; Lu, C.; Zhang, X.; Ji, Y.; Bai, C.; Chen, Y.; Qiao, Y. Studies on Curing Kinetics and Tensile Properties of Silica-Filled Phenolic Amine/Epoxy Resin Nanocomposite. Polymers 2019, 11, 680. https://doi.org/10.3390/polym11040680
Zheng T, Wang X, Lu C, Zhang X, Ji Y, Bai C, Chen Y, Qiao Y. Studies on Curing Kinetics and Tensile Properties of Silica-Filled Phenolic Amine/Epoxy Resin Nanocomposite. Polymers. 2019; 11(4):680. https://doi.org/10.3390/polym11040680
Chicago/Turabian StyleZheng, Ting, Xiaodong Wang, Chunrui Lu, Xiaohong Zhang, Yi Ji, Chengying Bai, Yiwen Chen, and Yingjie Qiao. 2019. "Studies on Curing Kinetics and Tensile Properties of Silica-Filled Phenolic Amine/Epoxy Resin Nanocomposite" Polymers 11, no. 4: 680. https://doi.org/10.3390/polym11040680
APA StyleZheng, T., Wang, X., Lu, C., Zhang, X., Ji, Y., Bai, C., Chen, Y., & Qiao, Y. (2019). Studies on Curing Kinetics and Tensile Properties of Silica-Filled Phenolic Amine/Epoxy Resin Nanocomposite. Polymers, 11(4), 680. https://doi.org/10.3390/polym11040680
        
