Next Article in Journal
Process Optimization Simulation of Residual Stress in Martensitic Steel Considering Phase Transformation
Previous Article in Journal
Remineralization Effects of Zinc-Containing Glass Ionomer Cement Restoratives on Demineralized Enamel Under pH Cycling Conditions
 
 
Font Type:
Arial Georgia Verdana
Font Size:
Aa Aa Aa
Line Spacing:
Column Width:
Background:
Article

Tunable Dual Plasmon-Induced Transparency Based on Homogeneous Graphene-Metal Metasurfaces at Terahertz Frequency

School of Physics and Telecommunication Engineering, Shaanxi University of Technology, Hanzhong 723001, China
*
Author to whom correspondence should be addressed.
Crystals 2025, 15(4), 328; https://doi.org/10.3390/cryst15040328
Submission received: 14 March 2025 / Revised: 26 March 2025 / Accepted: 27 March 2025 / Published: 29 March 2025

Abstract

In recent years, the active control of terahertz waves using artificial microstructures has attracted increasing attention, especially toward the ones that have multiple plasmon-induced transparency (PIT) responses. Here, a homogeneous graphene-metal metasurface, exhibiting tunable dual-PIT in its terahertz (THz) spectral response, is investigated numerically and theoretically. Individual and simultaneous control of the two PIT transmission windows and the two slow-light effects are achieved by reconstructing the Fermi energies of the graphene strips. The modulation behavior can be expounded by the classical coupled three-particle model, which is confirmed by the simulation results. Moreover, the electric field distribution is introduced to analyze the dual-PIT active modulation mechanism. This work provides theoretical guidance for versatile applications in multi-function terahertz switches and slow-light devices.

1. Introduction

Metasurface, a two-dimensional array representation of subwavelength artificial meta-atoms, has attracted enormous attention from researchers due to its remarkable performance in manipulating electromagnetic waves [1,2]. The unique characteristics of metasurfaces are primarily indicated through coupling between artificial microstructures at the interface, which provides many new possibilities for the development of optical technologies [3,4,5,6]. The metasurface is ideal candidates for understanding the classical physics background behind the quantum phenomenon, which offers an effective and flexible approach for the intelligent manipulation of light fields [7,8,9]. According to this manner, the quantum phenomenon of electromagnetically induced transparency (EIT) can be imitated by plasmon-induced transparency (PIT), enabling them to be employed at any desired domain of the transmission spectrum and slow light [10,11,12]. Based on pre-determined coupling responses arranged in a unit cell of metasurface, one can realize quantum interference between radiation modes, resulting in a PIT window. However, the conventional PIT devices are mostly working passively, which limits on-chip integrated applications [13]. Thus, seeking new means to achieve PIT devices with multi-frequency and real-time tunable features becomes an essential goal in meeting various complex applications.
Graphene, as a novel two-dimensional material with a honeycomb structure, possesses intriguing properties such as supporting the terahertz (THz) surface plasmon and changeable conductivity via chemical doping or electrical gating [14,15]. Therefore, graphene has been gradually introduced as a tunable component into metasurface structures to achieve adjustable PIT effects, and has become a research hotspot for its excellent performance [16,17,18,19,20]. Before designing graphene-based PIT devices, it is necessary to classify such researches based on the role of graphene in the metasurface structure. Currently, these active control schemes of PIT effects can be categorized into three categories. The first category involves combining traditional metallic structures with graphene, where the metallic structures still dominate the resonant effect of the hybrid metasurface while graphene acts merely as a control unit [21,22,23]. The second category fabricates graphene into structured shapes, utilizing the surface plasmons of graphene to determine the resonant effect in the metasurface [24,25]. The third category involves a hybrid metasurface, where the resonant effect is jointly contributed by both graphene and metallic structures [26,27]. Considering the current lithography processes and the quality of available graphene, the first category of schemes is more suitable for practical applications.
Therefore, in this article, a homogeneous hybrid metasurface, which consists of two graphene strips and an aluminum-based metal structure, is proposed to realize tunable dual-PIT effects at terahertz frequency. Here, a metal resonator comprises a cut wire (CW) and two double split-ring resonators (DSRRs), and is constructed to generate dual-PIT windows. The simulation results show that the synchronous or asynchronous transmission amplitude and slow-light modulation can be achieved through the control module of graphene with adjustable conductivity. From two perspectives, namely the three-particle coupling model and the electric field distribution, the physical mechanism of the tunable dual-PIT effect is elucidated. It is worth noting that this research employs concise graphene strips rather than structured graphene, which reduces the complexity associated with electrical control and manufacture. This work may find important applications in active tunable THz devices.

2. Materials and Methods

The structure schematic of the homogeneous graphene-metal hybrid metasurface is shown in Figure 1. The aluminum-based resonator unit comprises a cut wire and two double split-ring resonators, and is located on Si substrate [10], which can be fabricated in a surface micro-nano process. Such a design laid the foundation for the generation of dual-PIT windows. Under the two DSSRs, there are two single-layer strips of graphene denoted as strip 1 and strip 2.
The propagation and scattering processes of electromagnetic waves on the metasurface are numerically calculated, and the relevant transmission characteristic parameters are obtained using the finite-difference time-domain (FDTD) method. The thickness of the aluminum is set to 0.2 μ m , and its complex permittivity is described using the Drude model in the THz regime, as shown in the following equation:
ε A l ω = ε ω p 2 ω 2 + i ω γ .
where the plasma frequency ω P = 3.57 × 10 3   T H z and the damping constant γ = 19.8   T H z are derived from experimental fitting values [28]. The silicon substrate is considered as a nondispersive material in the THz band with a relative permittivity of 11.7. At low-THz band, graphene is modeled as a two-dimensional conductive material with zero-thickness. The electromagnetic properties of graphene can be characterized by its surface conductivity, which can be represented by a Drude-like form as follows [29,30]:
σ g r a ω = e 2 E F π 2 i ω + i / τ .
where e and are universal constants representing the basic unit charge and the reduced Planck’s constant. Here, τ = μ E f / e v F 2 [31] is a parameter characterizing the carrier relaxation time, with E f being the Fermi energy. In this paper, the carrier mobility μ = 3000   c m 2 / V · s and the Fermi velocity v F = 1.1 × 10 6   m / s are chosen, which are consistent with the experimental measurements [32].
In the calculations, the mesh resolution was set to 4 and the simulation time was determined to be 800 ps, striking a comprehensive balance between simulation time, accuracy and memory requirements. Using periodic boundary conditions in the x-y plane and a perfectly matched layer boundary condition in the z direction along the incident linearly polarized THz wave, maintaining computational convergence can be realized. To investigate the transmission characteristics of THz waves, a frequency-domain power monitor was placed beneath the substrate, and the surrounding environment of this metasurface was set as air with a refractive index of 1. Additionally, graphenes with different Fermi energies were configured through the Drude-like conductivity model. There is no mutual coupling between adjacent units, so the calculation region only contains a single unit, which is sufficient to obtain the equivalent resonant characteristics.
In order to explore the physical processes of dual-PIT effects in the designed metasurface, the metal resonant structures with incident waves polarized along the y direction were simulated, and the transmission spectra are presented in Figure 2. The CW can be strongly excited, and acts as the bright mode, whereas the two DSRRs cannot and thus are regarded as the dark modes. Here, the DSRRs located to the left of the CW are denoted as LDSRRs, and the DSRRs located to the right of the CW are denoted as RDSRRs.
When there is only the CW + LDSRRs, a distinct PIT peak at 0.61 THz is derived (see Figure 2a). It can be clearly seen that CW + RDSRRs have a similar electromagnetic response, but the PIT peak occurs at a higher frequency of 0.73 THz (see Figure 2b). When forming a one-unit cell, including the CW, LDSRRs and RDSRRs, an interesting phenomenon occurs in which dual-PIT peaks emerge at 0.61THz (peak 1) and 0.73 THz (peak 2), corresponding to quality factor (Q) as 7.6 and 6.4, respectively (see Figure 2c). This transmission linear contour can be understood as the superimposed effect of the aforementioned two PIT peaks (see Figure 2a,b).

3. Passive Controlled Dual-PIT

To study the tunability of dual-PIT, the internal configuration adjusting of the metallic metasurface is performed. Figure 3a shows that the maximum line width of peak 1 shrinks from 0.14 to 0.07 THz as d1 increases from 5 to 12.5 μ m while the other parameters remain constant, resulting from the reduction of the near-field coupling strength between the CW and the LDSRRs. In this passive modulation process, the center frequency and amplitude of peak 1 undergo slight changes, while peak 2 remains unchanged due to the fixed position of the RDSRRs. Similarly, in Figure 3b, it can be observed that peak 2 gradually narrows by changing d2 from 5 to 12.5 μ m , while the outline of peak 1 is almost unchanged. Figure 3c shows the control of the dual-PIT effect by simultaneously adjusting the distance h between the two SRRs within each DSRRs. With the synchronous reduction of h1 and h2, both peaks exhibit a red shift phenomenon, but there is no significant change in peak amplitude and width. The frequency of inductive-capacitive (LC) resonance for each SRR under bright mode excitation is f 1 / L C , and the metal arms and gaps in the resonant ring act as inductors and capacitors, respectively. As the two SRR gaps in the DSRRs approach each other, the resonant capacitance gradually increases, resulting in a decrease in the resonant frequency. At the same time, the electric resonance frequency of CW remains unchanged, resulting in a decrease in both transparent transmission peak frequencies. The above modulation behavior indicates that by altering the geometric parameters within the meta-atoms, both peak 1 and peak 2 can be flexibly adjusted independently or simultaneously.

4. Active Controlled Dual-PIT

By integrating two graphene strips beneath two DSRRs, individual and simultaneous control of the dual-PIT windows can be realized. Figure 4, Figure 5 and Figure 6 show the corresponding simulated and theoretical transmission spectra with three cases of changes in the Fermi energy of the graphene strip. It can be observed that the PIT windows can be actively on-to-off modulated as Fermi energy gradually changes.
In a case where only strip 1 is placed under the LDSSRs, as illustrated in Figure 4a, the transmission amplitude of peak 1 experiences an on-to-off process, namely, the amplitude of peak 1 changes from 0.99 with the absence of graphene to 0.39 with E f = 0.8   e V (yellow shaded areas), corresponding to a modulation depth of peak 1 [33] ( M D = T t o p T d i p / T t o p × 100 % ) is 61%, whereas peak 2 changes minimally. Here, T t o p ( T d i p ) is the maximum (minimum) transmittance. Such modulation behavior needs an E f = 0.8   e V , which is easy to implement experimentally [34].
In a case where only graphene strip 2 is placed under the RDSSRs, as illustrated in Figure 5a, the regulation result of peak 2 is similar to that of peak 1, that is, the amplitude of peak 2 changes (yellow shaded areas) from 0.99 with the absence of graphene to 0.55 with E f = 0.8   e V , corresponding to a modulation depth of peak 2 is 44%, while the amplitude of peak 1 only slightly decreases. Here, when peak 1 (2) is individually controlled, the amplitude of peak 2 (1) decreases slightly due to the introduction of graphene, which causes a change in the electromagnetic environment around the resonant structures.
When graphene strips 1 and 2 are integrated into the structure, as shown in Figure 6, the two transparent PIT peaks can be synchronously tuned from on-to-off by simultaneously shifting the Fermi energies of the two sets of graphene strips, which is a combination of the above two cases. Namely, the amplitude of peak 1 switches from 0.99 to 0.48 (red shaded areas), and that of peak 2 switches from 0.99 to 0.56 (green shaded areas), corresponding to M D as 52% and 43%, separately. Additionally, we define the insertion loss (IL) as:   I L = 10 l g ( T t o p ) . Thus, it is calculated that the ILs at peak 1 and peak 2 both reach the value of 0.04 dB.
Therefore, for the designed structure, some electrical stimulation methods can be adopted for two groups of graphene strips (such as single, double synchronous, double asynchronous), which can not only achieve independent tuning of a single PIT peak, but can also achieve synchronous/asynchronous regulation of two PIT peaks, thus presenting a rich PIT resonance state.
Furthermore, to illustrate the advantage of modulation performance, some previously reported graphene-metal structures are compared, as shown in Table 1. It is worth noting that, compared to these studies, the designed PIT system exhibits a broader modulation spectrum range and high-quality modulation performance (such as insertion loss and modulation depth), thus achieving superior dual-frequency synchronous or asynchronous terahertz switching, which is expected for terahertz switching devices. Compared with the reference [11], the advantage of this method lies in avoiding additional background transmission loss in the non-resonant range. Also, the proposed structure is simple and easy to actively regulate with external voltage.
In order to explore the aforementioned active control behavior, a three-particle (corresponding to CW, LDSSRs and RDSSRs) coupling model, which is an extension of the classic two-particle coupling model, is applied to quantitatively analyze the resonance response of the proposed dual-PIT metasurface, thereby understanding and verifying the aforementioned numerical simulation results. The coupling motion equations of the bright particle (CW) and the two dark particles (LDSSRs and RDSSRs) are as follows [39]:
x ¨ 0 t + γ 0 x ˙ 0 t + ω 0 2 x 0 t κ 1 2 x 1 t κ 2 2 x 2 t = E ,
x ¨ 1 t + γ 1 x ˙ 1 t + ω 1 2 x 1 t κ 1 2 x 0 t = 0 ,
x ¨ 2 t + γ 2 x ˙ 2 t + ω 2 2 x 2 t κ 2 2 x 0 t = 0
where x 0,1 , 2 ,   ω 0,1 , 2 and γ 0,1 , 2 denote the resonance amplitudes, the resonance frequencies, and the damping rates of the resonance states of CW, LDSSRs and RDSSRs, respectively; κ 1 ( κ 2 ) is the coupling coefficient between the resonance states of CW and LDSSRs (RDSSRs); E is the incident external electric field. By solving Equation (3), the energy loss of the system as a function of angular frequency can be obtained:
P ω 1 A ω 1 ω i γ 1 2 ω 2 ω i γ 2 2 .
Here,
A = ω 0 ω i γ 0 2 ω 1 ω i γ 1 2 ω 2 ω i γ 2 2 κ 2 2 4 ω 1 ω i γ 1 2 κ 1 2 4 ω 2 ω i γ 2 2 .  
Thus, the transmission amplitude of the dual-PIT system can be expressed as:
  T ω = 1 I m P ω
The fitting results of the corresponding transmission responses are shown in Figure 4b and Figure 5b, which are in good agreement with the numerical simulation results, indicating the rationality of choosing the surface conductivity model in numerical calculations for graphene.
In Figure 7, the fitting parameter γ 0 , γ 1 , γ 2 , κ 1 and κ 2 related to the E f are plotted for describing the details of the interaction between resonance modes. One can see γ 0 is roughly constant since the graphene strips being integrated under the two dark mode resonators, whereas γ 1 ( γ 2 ) exhibits a significant rise in the case of integrating graphene strip 1 (2) under the LDSRRs (RDSRRs) as E f increases. As a result of the difference in inherent radiation losses, the losses in the two dark modes are much lower than that of the bright mode (i.e., γ 1 < γ 0 and γ 2 < γ 0 ). As to the coupling parameters, κ 1 and κ 2 remain almost unchanged for all cases, due to the metal structure parameters being constant during the active tuning process.
Hence, the characteristic of active modulation of the resonance peak 1 (2) can be dominated by the variation of the damping rate γ 1 ( γ 2 ) in the dark resonator LDSRRs (RDSRRs) through the graphene layer. In the hybrid PIT system, graphene with high conductivity exhibits metallic behavior, thus having an enhanced short effect at the gaps of DSRRs with increasing E f . Finally, at E f = 0.8   e V , the transmission peak 1(2) disappeared from the transmission spectrum due to the much higher loss of the dark state LDSRRs (RDSRRs). In particular, compared to the circuit coupling model, it can be found that the three-particle coupling model reflects the same intrinsic physical mechanism [40].
From the perspective of energy layout, as shown in Figure 8 and Figure 9, the electric field distribution at the transmission peak frequency can further qualitatively explain the physical mechanism of the active modulation phenomenon mentioned above. It can be clearly seen that the distribution of electric field energy has shifted noticeably with the modulation of the transmission peaks, that is, the position of field enhancement has moved from the gaps of the dark mode LDSRRs or RDSRRs resonator to the two ends of the bright mode CW resonator. The LC resonance in LDSRRs (RDSRRs) implies that there is a large accumulation of opposite charges at the gaps acting as capacitors, thereby forming two slits with high energy density hotspots. Therefore, conductive graphene provides a charge transfer channel for the capacitive gaps [41] in LDSRRs (RDSRRs), allowing the accumulated opposite charges to be gradually neutralized, which leads to the suppression of the LC resonance in the dark state LDSRRs (RDSRRs), resulting in the weakening of the coupling between the bright and dark modes. Ultimately, E f = 0.8   e V , the coupling between the dark mode resonance of LDSRRs (RDSRRs) and the bright mode resonance of CW is decoupled, and the PIT peak 1(2) disappears. In summary, the physical root of the independent modulation of dual-spectral PIT resonance can be attributed to the regulation of the slit hotspots in the dark mode resonator DSRRs by the conductivity-tunable graphene.

5. Tunable Dual Slow-Light Effect

As is well known, incident photons undergo a prolonged binding effect when passing through the PIT structure, thereby generating the novel slow-light effect. The slow-light capability of the PIT device can be quantitatively reflected through the group delay, making the research on the group delay quite necessary, represented by the following formula [42]:
t g = d ψ d ω
where ψ indicates the transmission phase shift and ω is the angular frequency of incident electromagnetic waves. The larger t g is, the stronger the slow-light effect occurs, indicating that the PIT system can buffer more optical information.
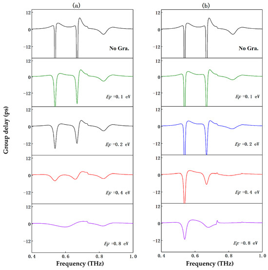
According to Formula (7), Figure 10 shows the group delay of the dual-PIT metasurface for different Fermi energies of strip 1 and strip 2. Without the graphene strips, the results indicate that the group delays of peak 1 and peak 2 bring 4.6 and 8.2 ps, corresponding to the propagation of electromagnetic waves of 1.38 mm and 2.46 mm distance in free space. When strip 1 (2) is placed under LDSRRs (RDSRRs), it can be found that the group delay generated at peak 1 (2) is weakened gradually by increasing the Fermi energy of strip 1 (2) from 0.1 eV to 0.8 eV, while that at peak 2 (1) decreases slightly. The results indicate that the modulation depth of group delay for both peaks reaches 100%.
Therefore, active modulation of dual slow-light effects in this design can be accomplished independently and simultaneously by reconstructing Fermi energies, showing terrific applications in dual-frequency synchronous or asynchronous slow-light devices. In addition, by integrating the field programmable gate array (FPGA) controller for digital tuning of the designed system, a programmable PIT metasurface can be achieved, which promotes the development of smart metasurfaces [43].
Although the proposed structure exhibits good theoretical performance, its fabrication faces many potential challenges, such as lithography precision, conductivity loss, and the integration of graphene with metal structures, which have not been well addressed. In future development, establishing an intelligent lithography system that can dynamically adjust various parameters during the lithography process, exploring new graphene-metal composite forming methods (such as laser thermal stitching technology), and optimizing chemical vapor deposition methods by using transition metal substrates and low-temperature growth strategy, can enhance device quality and production efficiency. Recently, the bubble-assisted liquid-phase mechanical exfoliation method has enabled the efficient and large-scale preparation of graphene [44].

6. Conclusions

In summary, the tunable dual-PIT metasurface device, based on the integration of monolayer graphene with traditional metal resonant structures, has been theoretically demonstrated in the low-frequency terahertz system. By adjusting the internal layout of the meta-atoms, the two PIT peaks can be controlled individually and simultaneously in a non-proactive tactic. When two graphene strips are integrated into the compact structure, the function, including the synchronous or asynchronous transmission amplitude and slow-light modulation for dual-frequency, can be achieved via flexibly modifying E f of graphene. The three-particle coupling model is applied to characterize the dual-PIT response, revealing that active modulation originates from significant changes in the dark mode damping rate because of the electrical connectivity of graphene. In the research, graphene with tunable conductivity may be applied to other terahertz active devices with similar structures, to further demonstrate its unique electromagnetic properties. Consequently, the proposed structure provides a new perspective for designing terahertz multifunctional devices, and lays a steady foundation for the future development of next-generation information storage and space communication.

Author Contributions

Conceptualization, G.W.; methodology, G.W.; software, H.M.; validation, H.M.; investigation, G.W.; writing—original draft preparation, G.W.; writing—review and editing, G.W. and H.M. All authors have read and agreed to the published version of the manuscript.

Funding

Our work was supported by the National Natural Science Foundation of China (No. 12174238), Talent Initiation Project of Shaanxi University of Technology (No. SLGRCQD2124).

Data Availability Statement

The raw data supporting the conclusion of this article will be made available by the authors on request.

Acknowledgments

We would like to express our sincere thanks to Lin Cheng from North University of China for support in numerical simulation.

Conflicts of Interest

The authors declare no conflicts of interest.

References

  1. Zhao, X.G.; Schalch, J.; Zhang, J.D.; Seren, H.R.; Duan, G.W.; Averitt, R.D.; Zhang, X. Electromechanically tunable metasurface transmission waveplate at terahertz frequencies. Optica 2018, 5, 303–310. [Google Scholar] [CrossRef]
  2. Glybovski, S.B.; Tretyakov, S.A.; Belov, P.A.; Kivshar, Y.S.; Simovski, C.R. Metasurfaces: From microwaves to visible. Phys. Rep.-Rev. Sec. Phys. Lett. 2016, 634, 1–72. [Google Scholar] [CrossRef]
  3. Sun, S.L.; He, Q.; Hao, J.M.; Xiao, S.Y.; Zhou, L. Electromagnetic metasurfaces: Physics and applications. Adv. Opt. Photonics 2019, 11, 380–479. [Google Scholar] [CrossRef]
  4. Li, F.J.; Wang, S.; Zhong, R.; Hu, M.X.; Jiang, Y.; Zheng, M.J.; Wang, M.; Li, X.P.; Peng, R.W.; Deng, Z.L. Metasurface polarization optics: From classical to quantum. Appl. Phys. Rev. 2024, 11, 041332. [Google Scholar] [CrossRef]
  5. Taghvaee, H.; Liu, F.; Diaz-Rubio, A.; Tretyakov, S. Subwavelength focusing by engineered power-flow conformal metamirrors. Phys. Rev. B 2021, 104, 235409. [Google Scholar] [CrossRef]
  6. Yao, Z.B.; Ke, Y.C.; Lang, Y.H.; Wu, T.; Zhang, X.Q.; Xu, Q.; Han, J.G. Design and analysis of terahertz filters based on multilayer metamaterials. Appl. Opt. 2022, 61, 5799–5805. [Google Scholar] [CrossRef]
  7. Koshelev, K.; Tang, Y.T.; Li, K.F.; Choi, D.Y.; Li, G.X.; Kivshart, Y. Nonlinear Metasurfaces Governed by Bound States in the Continuum. ACS Photonics 2019, 6, 1639–1644. [Google Scholar] [CrossRef]
  8. Degl’Innocenti, R.; Lin, H.Y.; Navarro-Cía, M. Recent progress in terahertz metamaterial modulators. Nanophotonics 2022, 11, 1485–1514. [Google Scholar] [CrossRef]
  9. Leitenstorfer, A.; Moskalenko, A.S.; Kampfrath, T.; Kono, J.; Castro-Camus, E.; Peng, K.; Qureshi, N.; Turchinovich, D.; Tanaka, K.; Markelz, A.G.; et al. The 2023 terahertz science and technology roadmap. J. Phys. D Appl. Phys. 2023, 56, 223001. [Google Scholar] [CrossRef]
  10. Gu, J.Q.; Singh, R.; Liu, X.J.; Zhang, X.Q.; Ma, Y.F.; Zhang, S.; Maier, S.A.; Tian, Z.; Azad, A.K.; Chen, H.T.; et al. Active control of electromagnetically induced transparency analogue in terahertz metamaterials. Nat. Commun. 2012, 3, 1151. [Google Scholar] [CrossRef]
  11. Nurmohammadi, T.; Abbasian, K.; Mashayekhi, M.Z. Graphene-based tunable plasmon-induced transparency utilizing circular and two rectangular gold rings in the near-infrared spectrum. Mater. Sci. Semicond. Process. 2022, 144, 106601. [Google Scholar] [CrossRef]
  12. Kang, Y.Q.; Xi, H.Y.; Meng, T.H.; Lin, Q.W.; Dong, L.J. Experimental demonstration of polarization and direction insensitive metamaterial analog of electromagnetically induced transparency by bright-bright mode coupling. Results Phys. 2022, 37, 105514. [Google Scholar] [CrossRef]
  13. Niu, X.X.; Hu, X.Y.; Yan, Q.C.; Zhu, J.K.; Cheng, H.T.; Huang, Y.F.; Lu, C.C.; Fu, Y.L.; Gong, Q.H. Plasmon-induced transparency effect for ultracompact on-chip devices. Nanophotonics 2019, 8, 1125–1149. [Google Scholar] [CrossRef]
  14. Geim, A.K.; Novoselov, K.S. The rise of graphene. Nat. Mater. 2007, 6, 183–191. [Google Scholar] [CrossRef]
  15. Grigorenko, A.N.; Polini, M.; Novoselov, K.S. Graphene plasmonics. Nat. Photonics 2012, 6, 749–758. [Google Scholar] [CrossRef]
  16. Zeng, C.; Lu, H.; Mao, D.; Du, Y.Q.; Hua, H.; Zhao, W.; Zhao, J.L. Graphene-empowered dynamic metasurfaces and metadevices. Opto-Electron. Adv. 2022, 5, 200098. [Google Scholar] [CrossRef]
  17. Chen, M.M.; Xiao, Z.Y.; Lu, X.J.; Lv, F.; Zhou, Y.J. Simulation of dynamically tunable and switchable electromagnetically induced transparency analogue based on metal-graphene hybrid metamaterial. Carbon 2020, 159, 273–282. [Google Scholar] [CrossRef]
  18. Shu, C.; Mei, J.S. Analogue of tunable electromagnetically induced transparency based on graphene-nanostrip in two perpendicular polarization directions. Opt. Commun. 2019, 439, 16–20. [Google Scholar] [CrossRef]
  19. Wang, G.Q.; Zhang, X.B.; Wei, X.Y.; Zhang, G.Q. Tunable and polarization-independent plasmon-induced transparency in a fourfold symmetric metal-graphene terahertz metamaterial. Crystals 2019, 9, 632. [Google Scholar] [CrossRef]
  20. Kim, T.H.; Kim, S.W.; Lee, B.W. Tunable plasmon-induced transparency based on graphene metasurface structure for mid-infrared sensing applications. Curr. Appl. Phys. 2025, 73, 30–40. [Google Scholar] [CrossRef]
  21. Guo, G.X.; Zhang, X.Q.; Niu, L.; Wu, T.; Chen, X.Y.; Xu, Q.; Han, J.G.; Zhang, W.L. Programmable graphene metasurface for terahertz propagation control based on electromagnetically induced transparency. Carbon 2023, 208, 345–354. [Google Scholar] [CrossRef]
  22. Jung, H.; Jo, H.; Lee, W.; Kim, B.; Choi, H.; Kang, M.S.; Lee, H. Electrical control of electromagnetically induced transparency by terahertz metamaterial funneling. Adv. Opt. Mater. 2019, 7, 1801205. [Google Scholar] [CrossRef]
  23. Mashayekhi, M.Z.; Abbasian, K.; Nurmohammadi, T. Dual-wavelength active and tunable modulation at telecommunication wavelengths using graphene-metal hybrid metamaterial based on plasmon induced transparency. Phys. Scr. 2022, 97, 095503. [Google Scholar] [CrossRef]
  24. Chen, H.T.; Zhang, Z.J.; Yang, J.B.; Zhou, Z.G. Controlled and tunable plasmon-induced transparency based on graphene metasurfaces in atmospheric windows. Diam. Relat. Mater. 2022, 127, 109210. [Google Scholar] [CrossRef]
  25. Liu, Z.M.; Zhang, X.; Zhou, F.Q.; Luo, X.; Zhang, Z.B.; Qin, Y.P.; Zhuo, S.S.; Gao, E.D.; Li, H.J.; Yi, Z. Triple plasmon-induced transparency and optical switch desensitized to polarized light based on a mono-layer metamaterial. Opt. Express 2021, 29, 13949–13959. [Google Scholar] [CrossRef]
  26. Indu, K.K.N.; Devi, K.M.; Chowdhury, D.R. Graphene and metal hybridized terahertz metasurfaces toward tunable plasmon-induced transparency effects. Curr. Appl. Phys. 2022, 39, 158–165. [Google Scholar] [CrossRef]
  27. Zhao, X.L.; Yuan, C.; Lv, W.H.; Xu, S.L.; Yao, J.Q. Plasmon-induced transparency in metamaterial based on graphene and split-ring resonators. IEEE Photonics Technol. Lett. 2015, 27, 1321–1324. [Google Scholar] [CrossRef]
  28. Ordal, M.A.; Bell, R.J.; Alexander, R.W.; Long, L.L.; Querry, M.R. Optical properties of fourteen metals in the infrared and far infrared: Al, Co, Cu, Au, Fe, Pb, Mo, Ni, Pd, Pt, Ag, Ti, V, and W. Appl. Opt. 1985, 24, 4493–4499. [Google Scholar]
  29. Ishikawa, A.; Tanaka, T. Plasmon hybridization in graphene metamaterials. Appl. Phys. Lett. 2013, 102, 253110. [Google Scholar] [CrossRef]
  30. Xia, S.X.; Zhai, X.; Wang, L.L.; Sun, B.; Liu, J.Q.; Wen, S.C. Dynamically tunable plasmonically induced transparency in sinusoidally curved and planar graphene layers. Opt. Express 2016, 24, 17886–17899. [Google Scholar] [CrossRef]
  31. Xu, H.; Li, H.J.; He, Z.H.; Chen, Z.Q.; Zheng, M.F.; Zhao, M.Z. Dual tunable plasmon-induced transparency based on silicon-air grating coupled graphene structure in terahertz metamaterial. Opt. Express 2017, 25, 20780–20790. [Google Scholar] [CrossRef] [PubMed]
  32. Jnawali, G.; Rao, Y.; Yan, H.G.; Heinz, T.F. Observation of a transient decrease in terahertz conductivity of single-layer graphene induced by ultrafast optical excitation. Nano Lett. 2013, 13, 524–530. [Google Scholar] [CrossRef] [PubMed]
  33. Li, M.; Li, H.J.; Xu, H.; Xiong, C.X.; Zhao, M.Z.; Liu, C.; Ruan, B.X.; Zhang, B.H.; Wu, K. Dual-frequency on-off modulation and slow light analysis based on dual plasmon-induced transparency in terahertz patterned graphene metamaterial. New J. Phys. 2020, 22, 103030. [Google Scholar] [CrossRef]
  34. Hu, H.; Zhai, F.; Hu, D.B.; Li, Z.J.; Bai, B.; Yang, X.X.; Dai, Q. Broadly tunable graphene plasmons using an ion-gel top gate with low control voltage. Nanoscale 2015, 7, 19493–19500. [Google Scholar] [CrossRef]
  35. Sun, T.; Li, G.-M.; Li, J.-D.; Wang, Y.-H.; Li, X.-M.; Cao, H.-Z.; Ma, R.-D.; Xu, S.-T.; Zhang, H.-F.; Fan, F.; et al. Terahertz metal-graphene hybrid metamaterial for active manipulation of electromagnetically induced transparency. Opt. Commun. 2024, 565, 130694. [Google Scholar] [CrossRef]
  36. Wang, G.; Zhang, X.; Zhang, L.; Wei, X. Dynamically tunable plasmon-induced transparency based on radiative–radiative-coupling in a terahertz metal–graphene metamaterial. Crystals 2019, 9, 146. [Google Scholar] [CrossRef]
  37. Li, Q.; Su, H.; Zhu, J.; Wang, S. Active control of dual electromagnetically induced transparency in terahertz graphene-metal hybrid metasurfaces. Front. Mater. 2022, 9, 966535. [Google Scholar] [CrossRef]
  38. Wu, T.; Wang, G.; Jia, Y.; Shao, Y.; Chen, C.; Han, J.; Gao, Y.; Gao, Y. Dual-spectral plasmon-induced transparent terahertz metamaterial with independently tunable amplitude and frequency. Nanomaterials 2021, 11, 2876. [Google Scholar] [CrossRef] [PubMed]
  39. Bai, Z.Y.; Hang, C.; Huang, G.X. Classical analogs of double electromagnetically induced transparency. Opt. Commun. 2013, 291, 253–258. [Google Scholar] [CrossRef]
  40. Zhao, X.L.; Yuan, C.; Lv, W.H.; Xu, S.L.; Yao, J.Q. A polarization-independent terahertz plasmon-induced transparency metamaterial based on hybrid graphene-gold structure for bio-sensing. J. Mod. Opt. 2016, 63, 200–206. [Google Scholar] [CrossRef]
  41. Balci, O.; Kakenov, N.; Karademir, E.; Balci, S.; Cakmakyapan, S.; Polat, E.O.; Caglayan, H.; Özbay, E.; Kocabas, C. Electrically switchable metadevices via graphene. Sci. Adv. 2018, 4, 9. [Google Scholar] [CrossRef] [PubMed]
  42. Bhattacharya, A.; Sarkar, R.; Kumar, G. Toroidal electromagnetically induced transparency based meta-surfaces and its applications. iScience 2022, 25, 20. [Google Scholar] [CrossRef] [PubMed]
  43. Zhang, S.W.; Wen, F.; Zhai, M.H.; Li, Z.; Ye, H.P.; Zhang, H.X.; Gu, Y.X.; Lei, Y.; Wang, W.; Zhang, Y.P.; et al. Terahertz dynamic multiband perfect absorber with a digital coding graphene-diamond metasurface. Phys. Rev. Appl. 2024, 22, 024004. [Google Scholar] [CrossRef]
  44. Xiong, Z.Y.; Shen, L.Y.; Long, J.; Li, X.; Zhou, K.; Choi, G.M.; Ou, K.T.; Yang, G.Y.; Ma, W.C.; Lee, H.S.; et al. Ultrahigh concentration exfoliation and aqueous dispersion of few-layer graphene by excluded volume effect. Nat. Commun. 2024, 15, 10807. [Google Scholar] [CrossRef]
Figure 1. (a) Unit structure layout with geometric parameters: P x = 100   μ m , P y = 120   μ m , W = 5   μ m , g = 5   μ m , L = 88   μ m , I 1 = 30   μ m , I 2 = 25   μ m , d 1 = d 2 = 5   μ m , h 1 = 28   μ m , h 2 = 38   μ m , f 1 = 34   μ m , f 2 = 29   μ m ; (b) x-direction side view for the proposed graphene-metal structure.
Figure 1. (a) Unit structure layout with geometric parameters: P x = 100   μ m , P y = 120   μ m , W = 5   μ m , g = 5   μ m , L = 88   μ m , I 1 = 30   μ m , I 2 = 25   μ m , d 1 = d 2 = 5   μ m , h 1 = 28   μ m , h 2 = 38   μ m , f 1 = 34   μ m , f 2 = 29   μ m ; (b) x-direction side view for the proposed graphene-metal structure.
Crystals 15 00328 g001
Figure 2. Transmission spectra of metallic metasurface: (a) CW + LDSRRs; (b) CW + RDSRRs; (c) one-unit cell. The right column is a schematic representation of the unit cell.
Figure 2. Transmission spectra of metallic metasurface: (a) CW + LDSRRs; (b) CW + RDSRRs; (c) one-unit cell. The right column is a schematic representation of the unit cell.
Crystals 15 00328 g002
Figure 3. Transmission curves of dual-PIT metasurface: (a) only d1 is altered from 5 to 12.5 μ m with an interval of 2.5 μ m ; (b) only d2 is altered from 5 to 12.5 μ m with an interval of 2.5 μ m ; (c) h1 and h2 are simultaneously altered with an interval of 10 μ m .
Figure 3. Transmission curves of dual-PIT metasurface: (a) only d1 is altered from 5 to 12.5 μ m with an interval of 2.5 μ m ; (b) only d2 is altered from 5 to 12.5 μ m with an interval of 2.5 μ m ; (c) h1 and h2 are simultaneously altered with an interval of 10 μ m .
Crystals 15 00328 g003
Figure 4. Tunable transmission spectra with different Fermi energies of strip 1: (a) numerical simulation based on finite-difference time-domain (FDTD) method; (b) analytical results from the coupled three-particle model.
Figure 4. Tunable transmission spectra with different Fermi energies of strip 1: (a) numerical simulation based on finite-difference time-domain (FDTD) method; (b) analytical results from the coupled three-particle model.
Crystals 15 00328 g004
Figure 5. Tunable transmission spectra with different Fermi energies of strip 2: (a) numerical simulation based on FDTD method; (b) analytical results from the coupled three-particle model.
Figure 5. Tunable transmission spectra with different Fermi energies of strip 2: (a) numerical simulation based on FDTD method; (b) analytical results from the coupled three-particle model.
Crystals 15 00328 g005
Figure 6. Simulated transmission spectra of synchronously adjusting Fermi energies of two graphene strips based on FDTD method.
Figure 6. Simulated transmission spectra of synchronously adjusting Fermi energies of two graphene strips based on FDTD method.
Crystals 15 00328 g006
Figure 7. Theoretical fitting parameters γ 0 , γ 1 , γ 2 , κ 1 and κ 2 for different Fermi energies: (a) graphene under the LDSRRs; (b) graphene under the RDSRRs.
Figure 7. Theoretical fitting parameters γ 0 , γ 1 , γ 2 , κ 1 and κ 2 for different Fermi energies: (a) graphene under the LDSRRs; (b) graphene under the RDSRRs.
Crystals 15 00328 g007
Figure 8. Electric field distribution at the 0.61 THz (peak 1) resonant frequency with different Fermi energies of strip 1: (a) No graphene; (b) E f = 0.4   e V ; (c) E f = 0.8   e V .
Figure 8. Electric field distribution at the 0.61 THz (peak 1) resonant frequency with different Fermi energies of strip 1: (a) No graphene; (b) E f = 0.4   e V ; (c) E f = 0.8   e V .
Crystals 15 00328 g008
Figure 9. Electric field distribution at 0.73 THz (peak 2) resonant frequency with different Fermi energies of strip 2: (a) No graphene; (b) E f = 0.4   e V ; (c) E f = 0.8   e V .
Figure 9. Electric field distribution at 0.73 THz (peak 2) resonant frequency with different Fermi energies of strip 2: (a) No graphene; (b) E f = 0.4   e V ; (c) E f = 0.8   e V .
Crystals 15 00328 g009
Figure 10. Tunable group delay of dual-PIT metasurface for different Fermi energies of (a) strip 1 and (b) strip 2.
Figure 10. Tunable group delay of dual-PIT metasurface for different Fermi energies of (a) strip 1 and (b) strip 2.
Crystals 15 00328 g010
Table 1. Comparison with previously reported graphene-metal structures.
Table 1. Comparison with previously reported graphene-metal structures.
ReferenceModulation TypeModulation DepthInsertion LossGraphene ShapeModulation BandMaterial
[35]Single-frequency89%2.6 dBPatternTerahertzAu+ Graphene
[36]Single-frequency91.6%1.2 dBPatternTerahertzAl+ Graphene
[11]Single-frequency11%1.1 dBWholeNear-infraredAu+ Graphene
[37]Dual-frequency24%; 14%0.5 dB; 0.2 dBPatternTerahertzAl+ Graphene
[38]Dual-frequency82.4%; 74.7%1 dB; 0.9 dBPatternTerahertzAu+ Graphene
This workDual-frequency61%; 44%0.04 dB; 0.04 dBPatternTerahertzAl+ Graphene
Disclaimer/Publisher’s Note: The statements, opinions and data contained in all publications are solely those of the individual author(s) and contributor(s) and not of MDPI and/or the editor(s). MDPI and/or the editor(s) disclaim responsibility for any injury to people or property resulting from any ideas, methods, instructions or products referred to in the content.

Share and Cite

MDPI and ACS Style

Wang, G.; Meng, H. Tunable Dual Plasmon-Induced Transparency Based on Homogeneous Graphene-Metal Metasurfaces at Terahertz Frequency. Crystals 2025, 15, 328. https://doi.org/10.3390/cryst15040328

AMA Style

Wang G, Meng H. Tunable Dual Plasmon-Induced Transparency Based on Homogeneous Graphene-Metal Metasurfaces at Terahertz Frequency. Crystals. 2025; 15(4):328. https://doi.org/10.3390/cryst15040328

Chicago/Turabian Style

Wang, Guanqi, and Hao Meng. 2025. "Tunable Dual Plasmon-Induced Transparency Based on Homogeneous Graphene-Metal Metasurfaces at Terahertz Frequency" Crystals 15, no. 4: 328. https://doi.org/10.3390/cryst15040328

APA Style

Wang, G., & Meng, H. (2025). Tunable Dual Plasmon-Induced Transparency Based on Homogeneous Graphene-Metal Metasurfaces at Terahertz Frequency. Crystals, 15(4), 328. https://doi.org/10.3390/cryst15040328

Note that from the first issue of 2016, this journal uses article numbers instead of page numbers. See further details here.

Article Metrics

Back to TopTop