CVD-Grown Carbon Nanofibers on Knitted Carbon Fabric for Enhanced Supercapacitor Performance
Abstract
1. Introduction
2. Materials and Methods
3. Results and Discussion
3.1. Morphological and Microstructural Features of CNF/CF Composites
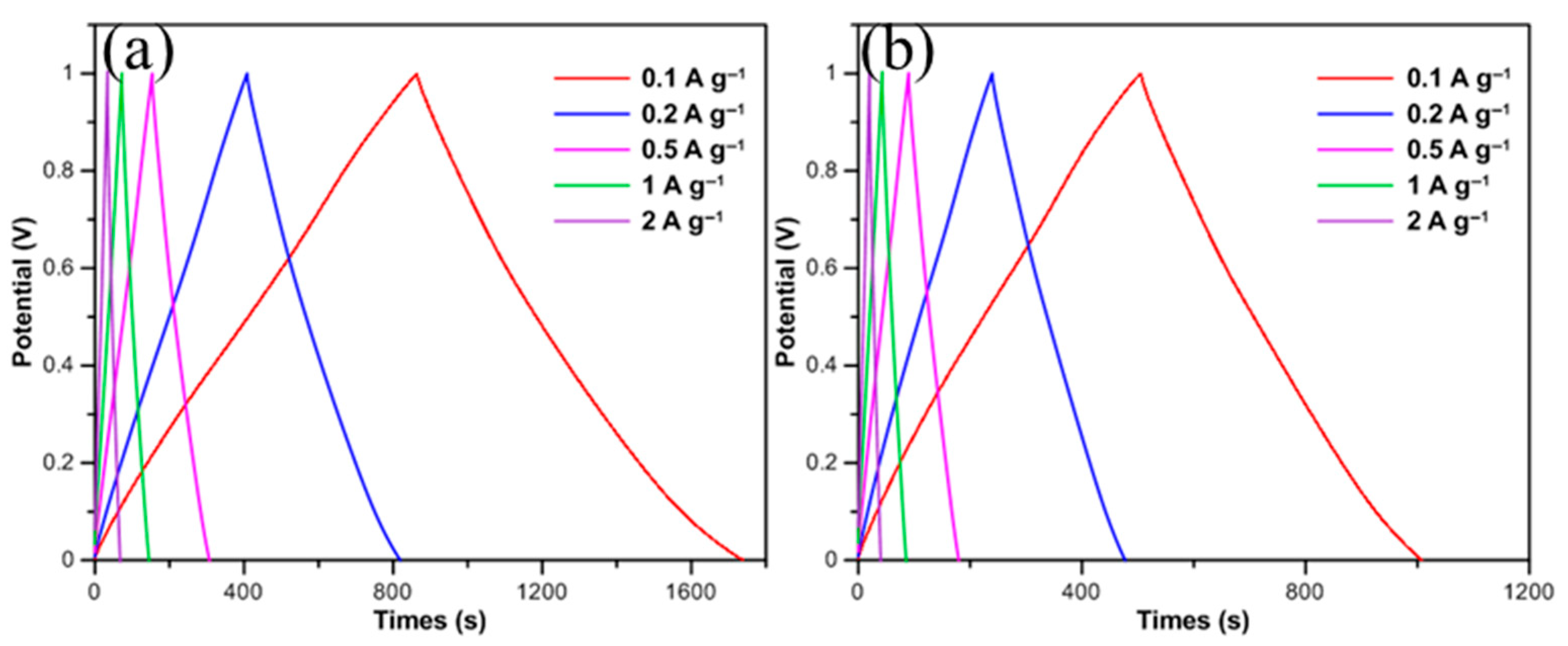
3.2. Electrochemical Properties of CNFs/CF
- (i)
- A high-frequency region: For an ideal supercapacitor, the curve in this area should be perpendicular to the horizontal axis when a high-frequency signal is introduced. Nevertheless, because Faraday reactions take place on the electrode surface, the typical feature observed here is a semicircle. As such, this region is used to assess the Faraday impedance of the electrode materials. The semicircle’s size is associated with the material’s morphology and conductivity. Its diameter represents the charge transfer resistance (Rct) at the electrode–electrolyte interface, while the X-axis intercept of the semicircular curve reflects the electrode resistance (Rt), which is primarily linked to electrolyte resistance (Rs), the internal resistance of the active material (Rm), and the contact resistance (Rc) between the collector and the electrolyte.
- (ii)
- A medium-frequency region: Commonly referred to as the Warburg region, this area typically features a straight line with a 45° slope, corresponding to semi-infinite Warburg impedance (Rw). By extending the line in the reverse direction, the intersection of the X-axis can characterize the value of Rw.
- (iii)
- A low-frequency region: In this region, a vertical line emerges, caused by ion accumulation at the bottom of the electrode material’s pores. The closer this line is to being parallel to the y-axis, the more the device approaches the behavior of an ideal capacitor [17].
4. Conclusions
Author Contributions
Funding
Data Availability Statement
Acknowledgments
Conflicts of Interest
References
- Olabi, A.G.; Abbas, Q.; Al Makky, A.; Abdelkareem, M.A. Supercapacitors as next generation energy storage devices: Properties and applications. Energy 2022, 248, 123617. [Google Scholar] [CrossRef]
- Salaheldeen, M.; Eskander, T.N.A.; Fathalla, M.; Zhukova, V.; Blanco, J.M.; Gonzalez, J.; Zhukov, A.; Abu-Dief, A.M. Empowering the Future: Cutting-Edge Developments in Supercapacitor Technology for Enhanced Energy Storage. Batteries 2025, 11, 232. [Google Scholar] [CrossRef]
- Bejjanki, D.; Puttapati, S.K. Supercapacitor basics (EDLCs, pseudo, and hybrid). In Multidimensional Nanomaterials for Supercapacitors: Next Generation Energy Storage; Bentham Science Publishers: Sharjah, United Arab Emirates, 2024; pp. 29–48. [Google Scholar]
- Islam, M.; Hossain, M.S.; Adak, B.; Rahman, M.M.; Kubra Moni, K.; Nur, A.S.; Hong, H.; Younes, H.; Mukhopadhyay, S. Recent advancements in carbon-based composite materials as electrodes for high-performance supercapacitors. J. Energy Storage 2025, 107, 114838. [Google Scholar] [CrossRef]
- Lv, P.; Zhang, P.; Li, F.; Li, Y.; Feng, Y.; Feng, W. Vertically aligned carbon nanotubes grown on carbon fabric with high rate capability for super-capacitors. Synth. Met. 2012, 162, 1090–1096. [Google Scholar] [CrossRef]
- Meskher, H.; Ghernaout, D.; Thakur, A.K.; Jazi, F.S.; Alsalhy, Q.F.; Christopher, S.S.; Sathyamurhty, R.; Saidur, R. Prospects of functionalized carbon nanotubes for supercapacitors applications. Mater. Today Commun. 2024, 38, 108517. [Google Scholar] [CrossRef]
- Zhang, H.; Cao, G.; Yang, Y.; Gu, Z. Comparison between electrochemical properties of aligned carbon nanotube array and entangled carbon nanotube electrodes. J. Electrochem. Soc. 2007, 155, K19. [Google Scholar] [CrossRef]
- Kim, B.; Chung, H.; Kim, W. Supergrowth of aligned carbon nanotubes directly on carbon papers and their properties as supercapacitors. J. Phys. Chem. C 2010, 114, 15223–15227. [Google Scholar] [CrossRef]
- Hsieh, C.T.; Chen, W.Y.; Cheng, Y.S. Influence of oxidation level on capacitance of electrochemical capacitors fabricated with carbon nanotube/carbon paper composites. Electrochim. Acta 2010, 55, 5294–5300. [Google Scholar] [CrossRef]
- Hsieh, C.T.; Teng, H.; Chen, W.Y.; Cheng, Y.S. Synthesis, characterization, and electrochemical capacitance of amino-functionalized carbon nanotube/carbon paper electrodes. Carbon 2010, 48, 4219–4229. [Google Scholar] [CrossRef]
- Chen, H.; Li, Y.; Feng, Y.; Lv, P.; Zhang, P.; Feng, W. Electrodeposition of carbon nanotube/carbon fabric composite using cetyltrimethylammonium bromide for high-performance capacitor. Electrochim. Acta 2012, 60, 449–455. [Google Scholar] [CrossRef]
- Lv, P.; Zhang, P.; Feng, Y.; Li, Y.; Feng, W. High-performance electrochemical capacitors using electrodeposited MnO2 on carbon nanotube array grown on carbon fabric. Electrochim. Acta 2012, 78, 515–523. [Google Scholar] [CrossRef]
- Xu, H.; Li, B.; Wang, Z.; Liao, Q.; Zeng, L.; Zhang, H.; Liu, X.; Yu, D.G.; Song, W. Improving supercapacitor electrode performance with electrospun carbon nanofibers: Unlocking versatility and innovation. J. Mater. Chem. A 2024, 12, 22346–22371. [Google Scholar] [CrossRef]
- Tiwari, A.P.; Mukhiya, T.; Muthurasu, A.; Chhetri, K.; Lee, M.; Dahal, B.; Lohani, P.C.; Kim, H.Y. A review of electrospun carbon nanofiber-based negative electrode materials for supercapacitors. Electrochem 2021, 2, 236–250. [Google Scholar] [CrossRef]
- Zhou, X.; Liu, B.; Chen, Y.; Guo, L.; Wei, G. Carbon nanofiber-based three-dimensional nanomaterials for energy and environmental applications. Mater. Adv. 2020, 1, 2163–2181. [Google Scholar] [CrossRef]
- Hu, S.; Lee, C.Y.; Chiu, H.T. Chemical vapor deposition of carbon nanocoils three-dimensionally in carbon fiber cloth for all-carbon supercapacitors. ACS Omega 2019, 4, 195–202. [Google Scholar] [CrossRef]
- Song, Z.; Shu, K.; Hu, H.; Wu, X.; Tang, X.; Zhou, X.; Li, Y.; Zhang, Y. Facile synthesis and modification of Fe2O3 nanorod arrays on carbon paper as efficient negative electrodes for supercapacitors. J. Alloys Compd. 2024, 979, 173578. [Google Scholar] [CrossRef]
- Singh, R.K. One-dimensional nanocomposites for renewable energies. In Nanotechnology for Next-Generation Energy Storage; Elsevier: Berlin/Heidelberg, Germany, 2025; pp. 303–318. [Google Scholar]
- Shi, C.; Owusu, K.A.; Xu, X.; Zhu, T.; Zhang, G.; Yang, W.; Mai, L. 1D Carbon-based nanocomposites for electrochemical energy storage. Small 2019, 15, 1902348. [Google Scholar] [CrossRef]
- Jia, X.; Du, H. An Ultrathin CNFs/CF Composite and the Performance of Electromagnetic Interference Shielding. Nano 2023, 18, 2350104. [Google Scholar] [CrossRef]
- Cuesta, A.; Dhamelincourt, P.; Laureyns, J.; Alonso, A.M.; Tascon, J.M.D. Raman microprobe studies on carbon materials. Carbon 1994, 32, 1523–1532. [Google Scholar] [CrossRef]
- Hsieh, C.T.; Chen, W.Y.; Lin, J.H. Synthesis of carbon nanotubes on carbon fabric for use as electrochemical capacitor. Microporous Mesoporous Mater. 2009, 122, 155–159. [Google Scholar] [CrossRef]
- Garcia, E.J.; Wardle, B.L.; Hart, A.J.; Yamamoto, N. Fabrication and multifunctional properties of a hybrid laminate with aligned carbon nanotubes grown in situ. Compos. Sci. Technol. 2008, 68, 2034–2041. [Google Scholar] [CrossRef]





| Scan Rates (mV/s) | 5 | 10 | 20 | 50 | 100 | 200 |
|---|---|---|---|---|---|---|
| The specific capacitance of 25 nm-CNFs/CF (F/g) | 77.0 | 72.8 | 68.0 | 59.0 | 49.1 | 36.3 |
| The specific capacitance of 50 nm-CNFs/CF (F/g) | 46.8 | 44.7 | 42.7 | 39.1 | 34.9 | 28.3 |
| Current Density (A/g) | 0.1 | 0.2 | 0.5 | 1 | 2 |
|---|---|---|---|---|---|
| The specific capacitance of 25 nm-CNFs/CF (F/g) | 87.5 | 82.2 | 76.7 | 72.8 | 67.6 |
| The specific capacitance of 50 nm-CNFs/CF (F/g) | 50.2 | 47.5 | 44.8 | 42.8 | 40.0 |
Disclaimer/Publisher’s Note: The statements, opinions and data contained in all publications are solely those of the individual author(s) and contributor(s) and not of MDPI and/or the editor(s). MDPI and/or the editor(s) disclaim responsibility for any injury to people or property resulting from any ideas, methods, instructions or products referred to in the content. |
© 2025 by the authors. Licensee MDPI, Basel, Switzerland. This article is an open access article distributed under the terms and conditions of the Creative Commons Attribution (CC BY) license (https://creativecommons.org/licenses/by/4.0/).
Share and Cite
Jia, X.; Wang, J.; Dang, J. CVD-Grown Carbon Nanofibers on Knitted Carbon Fabric for Enhanced Supercapacitor Performance. Crystals 2025, 15, 1049. https://doi.org/10.3390/cryst15121049
Jia X, Wang J, Dang J. CVD-Grown Carbon Nanofibers on Knitted Carbon Fabric for Enhanced Supercapacitor Performance. Crystals. 2025; 15(12):1049. https://doi.org/10.3390/cryst15121049
Chicago/Turabian StyleJia, Xiaojing, Jiangsan Wang, and Jing Dang. 2025. "CVD-Grown Carbon Nanofibers on Knitted Carbon Fabric for Enhanced Supercapacitor Performance" Crystals 15, no. 12: 1049. https://doi.org/10.3390/cryst15121049
APA StyleJia, X., Wang, J., & Dang, J. (2025). CVD-Grown Carbon Nanofibers on Knitted Carbon Fabric for Enhanced Supercapacitor Performance. Crystals, 15(12), 1049. https://doi.org/10.3390/cryst15121049

