Assessment of the Influence of Chemical Composition, Atomic Distribution, and Grain Boundaries on Heat Transfer in Refractory High-Entropy Alloys Hf–Nb–Ta–Zr Based on Atomistic Simulation
Abstract
1. Introduction
2. Materials and Methods
2.1. Material of Study and Considered Models
2.2. MC/MD Relaxation Procedure
2.3. MD Modelling of Heat Transfer
3. Results
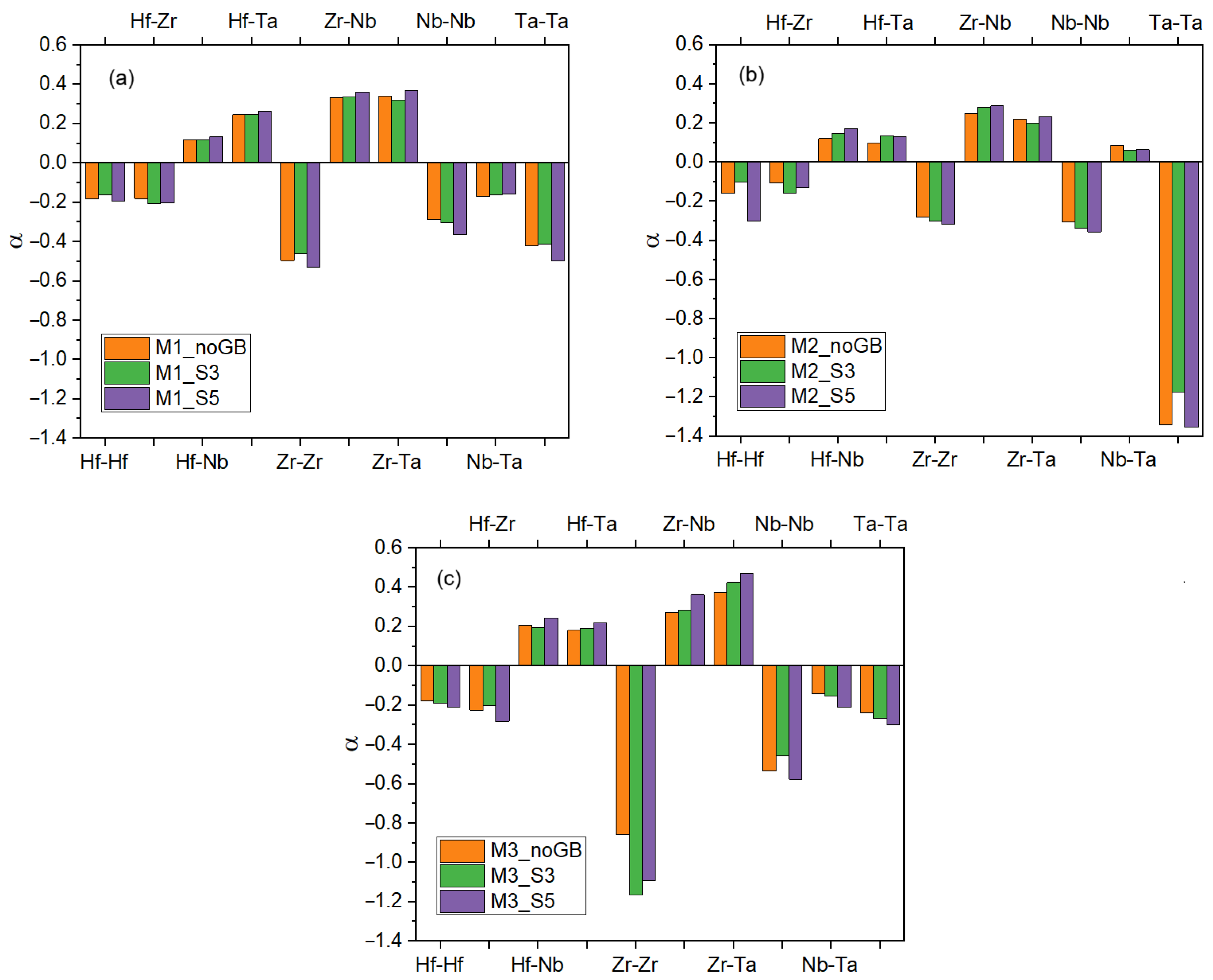
3.1. SRO and GB Segregation
3.2. Thermal Conductivity
4. Discussion
5. Conclusions
Author Contributions
Funding
Data Availability Statement
Conflicts of Interest
References
- Miracle, D.B.; Senkov, O.N. A critical review of high entropy alloys and related concepts. Acta Mater. 2017, 122, 448–511. [Google Scholar] [CrossRef]
- Yeh, J.W.; Chen, S.K.; Lin, S.J.; Gan, J.Y.; Chin, T.S.; Shun, T.T.; Tsau, S.H.; Chang, S.Y. Nanostructured high-entropy alloys with multiple principal elements: Novel alloy design concepts and outcomes. Adv. Eng. Mater. 2004, 6, 299–303. [Google Scholar] [CrossRef]
- Cantor, B.; Chang, I.T.H.; Knight, P.; Vincent, A.J.B. Microstructural development in equiatomic multicomponent alloys. Mater. Sci. Eng. A 2004, 375–377, 213–218. [Google Scholar] [CrossRef]
- Zhang, Y.; Zuo, T.T.; Tang, Z.; Gao, M.C.; Dahmen, K.A.; Liaw, P.K.; Lu, Z.P. Microstructures and properties of high-entropy alloys. Prog. Mater. Sci. 2014, 61, 1–93. [Google Scholar] [CrossRef]
- Senkov, O.N.; Wilks, G.B.; Miracle, D.B.; Chuang, C.P.; Liaw, P.K. Refractory high-entropy alloys. Intermetallics 2010, 18, 1758–1765. [Google Scholar] [CrossRef]
- Yao, H.W.; Qiao, J.W.; Gao, M.C.; Hawk, J.A.; Ma, S.G.; Zhou, H.F.; Zhang, Y. NbTaV-(Ti,W) refractory high-entropy alloys: Experiments and modeling. Mater. Sci. Eng. A 2016, 674, 271–279. [Google Scholar] [CrossRef]
- Senkov, O.N.; Miller, J.D.; Miracle, D.B.; Woodward, C. Accelerated exploration of multi-principal element alloys with solid solution phases. Nat. Commun. 2015, 6, 6529. [Google Scholar] [CrossRef]
- Gludovatz, B.; Hohenwarter, A.; Catoor, D.; Chang, E.H.; George, E.P.; Ritchie, R.O. A fracture-resistant high-entropy alloy for cryogenic applications. Science 2014, 345, 1153–1158. [Google Scholar] [CrossRef]
- Wang, S.; Wu, M.; Shu, D.; Zhu, G.; Wang, D.; Sun, B. Mechanical instability and tensile properties of TiZrHfNbTa high entropy alloy at cryogenic temperatures. Acta Mater. 2020, 201, 517–527. [Google Scholar] [CrossRef]
- Jia, Y.; Zhang, L.; Li, P.; Ma, X.; Xu, L.; Wu, S.; Jia, Y.; Wang, G. Microstructure and Mechanical Properties of Nb–Ti–V–Zr Refractory Medium-Entropy Alloys. Front. Mater. 2020, 7, 172. [Google Scholar] [CrossRef]
- Körmann, F.; Ikeda, Y.; Grabowski, B.; Sluiter, M.H.F. Phonon broadening in high entropy alloys. npj Comput. Mater. 2017, 3, 36. [Google Scholar] [CrossRef]
- Wang, Y.; Zacherl, C.L.; Shang, S.; Chen, L.-Q.; Liu, Z.-K. Phonon dispersions in random alloys: A method based on special quasi-random structure force constants. J. Phys. Condens. Matter 2011, 23, 485403. [Google Scholar] [CrossRef]
- Zhang, Y.; Stocks, G.; Jin, K.; Lu, C.; Bei, H.; Sales, B.C.; Wang, L.; Béland, L.K.; Stoller, R.E.; Samolyuk, G.D.; et al. Influence of chemical disorder on energy dissipation and defect evolution in concentrated solid solution alloys. Nat. Commun. 2015, 6, 8736. [Google Scholar] [CrossRef]
- Dutta, B.; Bisht, K.; Ghosh, S. Ab initio calculation of phonon dispersions in size-mismatched disordered alloys. Phys. Rev. B 2010, 82, 134207. [Google Scholar] [CrossRef]
- Alam, A.; Ghosh, S.; Mookerjee, A. Phonons in disordered alloys: Comparison between augmented-space-based approximations for configuration averaging to integration from first principles. Phys. Rev. B 2007, 75, 134202. [Google Scholar] [CrossRef][Green Version]
- Sun, Z.; Shi, C.; Gao, L.; Lin, S.; Li, W. Thermal physical properties of high entropy alloy Al0.3CoCrFeNi at elevated temperatures. J. Alloys Compd. 2022, 901, 163554. [Google Scholar] [CrossRef]
- Laplanche, G.; Gadaud, P.; Horst, O.M.; Otto, F.; Eggeler, G.; George, E.P. Temperature dependencies of the elastic moduli and thermal expansion coefficient of an equiatomic, single-phase CoCrFeMnNi high-entropy alloy. J. Alloys Compd. 2015, 623, 348–353. [Google Scholar] [CrossRef]
- Wang, H.; Ma, S.; Zhao, W.; He, Q.; Liu, Y.; Zhao, S.; Yang, Y. Exceptionally low thermal conductivity in distorted high entropy alloy. Mater. Res. Lett. 2024, 13, 24–34. [Google Scholar] [CrossRef]
- Chen, S.; Aitken, Z.H.; Pattamatta, S.; Wu, Z.; Yu, Z.G.; Banerjee, R.; Srolovitz, D.J.; Liaw, P.K.; Zhang, Y.-W. Chemical-Affinity Disparity and Exclusivity Drive Atomic Segregation, Short-Range Ordering, and Cluster Formation in High-Entropy Alloys. Acta Mater. 2021, 206, 116638. [Google Scholar] [CrossRef]
- Huang, X.; Liu, L.; Liao, W.; Huang, J.; Sun, H.; Yu, C. Characterization of Nucleation Behavior in Temperature-Induced BCC-to-HCP Phase Transformation for High Entropy Alloy. Acta Metall. Sin. (Engl. Lett.) 2021, 34, 1546–1556. [Google Scholar] [CrossRef]
- Huang, X.; Liu, L.; Duan, X.; Liao, W.; Huang, J.; Sun, H.; Yu, C. Atomistic simulation of chemical short-range order in HfNbTaZr high entropy alloy based on a newly-developed interatomic potential. Mater. Des. 2021, 202, 109560. [Google Scholar] [CrossRef]
- Ferrari, A.; Körmann, F.; Asta, M.; Neugebauer, J. Simulating short-range order in compositionally complex materials. Nat. Comput. Sci. 2023, 3, 221–229. [Google Scholar] [CrossRef] [PubMed]
- Antillon, E.; Woodward, C.; Rao, S.I.; Akdim, B. Chemical short range order strengthening in BCC complex concentrated alloys. Acta Mater. 2021, 215, 117012. [Google Scholar] [CrossRef]
- Tsai, M.-H. Physical Properties of High Entropy Alloys. Entropy 2013, 15, 5338–5345. [Google Scholar] [CrossRef]
- Li, Z.; Li, L.; Luo, L. Thermal Conductivity Properties of Ti–V–Cr–Fe–M (M = Mn, Co, Sc and Ni) High Entropy Alloys. Nano 2025, 2550025. [Google Scholar] [CrossRef]
- Yang, X.; Tiwari, J.; Feng, T. Reduced anharmonic phonon scattering cross-section slows the decrease of thermal conductivity with temperature. Mater. Today Phys. 2022, 24, 100689. [Google Scholar] [CrossRef]
- Seyf, H.R.; Yates, L.; Bougher, T.L.; Graham, S.; Cola, B.A.; Detchprohm, T.; Ji, M.-H.; Kim, J.; Dupuis, R.; Lv, W.; et al. Rethinking phonons: The issue of disorder. npj Comput. Mater. 2017, 3, 49. [Google Scholar] [CrossRef]
- Jarlöv, A.; Ji, W.; Babicheva, R.; Tian, Y.; Hu, Z.; Seet, H.L.; Tan, L.; Liu, F.; Liu, Y.; Nai, M.L.S.; et al. Tailoring short-range order and dislocation evolution in Cr–Co–Ni medium-entropy alloys: A molecular dynamics study. Mater. Des. 2024, 240, 112840. [Google Scholar] [CrossRef]
- Ye, Y.F.; Wang, Q.; Lu, J.; Liu, C.T.; Yang, Y. High-entropy alloy: Challenges and prospects. Mater. Today 2016, 19, 349–362. [Google Scholar] [CrossRef]
- Hu, Y.; Zeng, L.; Minnich, A.; Dresselhaus, M.S.; Chen, G. Spectral mapping of thermal conductivity through nanoscale ballistic transport. Nat. Nanotechnol. 2015, 10, 701–706. [Google Scholar] [CrossRef]
- Qian, X.; Zhou, J.; Chen, G. Phonon-engineered extreme thermal conductivity materials. Nat. Mater. 2021, 20, 1188–1202. [Google Scholar] [CrossRef]
- Li, Y.; Qiang, W. Defect properties of a body-centered cubic equiatomic TiVZrTa high-entropy alloy from atomistic simulations. J. Phys. Condens. Matter 2023, 35, 345701. [Google Scholar] [CrossRef]
- Jamil, I.R.; Mustaquim, A.M.; Islam, M.; Hasan, M.N. Molecular dynamics perspective of the effects of laser thermal configurations on the dislocation and mechanical characteristics of FeNiCrCoCu HEA through powder bed fusion process. Mater. Today Commun. 2022, 33, 104998. [Google Scholar] [CrossRef]
- Babicheva, R.I.; Evazzade, I.; Korznikova, E.A.; Shepelev, I.A.; Zhou, K.; Dmitriev, S.V. Low-energy channel for mass transfer in Pt crystal initiated by molecule impact. Comput. Mater. Sci. 2019, 163, 248–255. [Google Scholar] [CrossRef]
- Fey, L.T.W.; Beyerlein, I.J. Random Generation of Lattice Structures with Short-Range Order. Integr. Mater. Manuf. Innov. 2022, 11, 382–390. [Google Scholar] [CrossRef]
- Zhang, J.; Zhang, H.; Xiong, J.; Chen, S.; Zhang, G. Tuning lattice thermal conductivity in NbMoTaW refractory high-entropy alloys: Insights from molecular dynamics using machine learning potential. J. Appl. Phys. 2024, 136, 155106. [Google Scholar] [CrossRef]
- Liu, F.; Liu, Y.; Jiang, X.Z.; Xia, J. Exploring thermophysical properties of CoCrFeNiCu high entropy alloy via molecular dynamics simulations. Heliyon 2024, 10, e36064. [Google Scholar] [CrossRef] [PubMed]
- Lu, J.; Huang, X.; Yue, Y. Estimating the lattice thermal conductivity of AlCoCrNiFe high-entropy alloy using machine learning. J. Appl. Phys. 2024, 135, 135104. [Google Scholar] [CrossRef]
- Cheng, C.; Ma, S.; Wang, S. The role of phonon anharmonicity on the structural stability and phonon heat transport of CrFeCoNiCuₓ high-entropy alloys at finite temperatures. J. Alloys Compd. 2023, 935, 168003. [Google Scholar] [CrossRef]
- Babicheva, R.; Jarlöv, A.; Zheng, H.; Dmitriev, S.; Korznikova, E.; Nai, M.L.S.; Ramamurty, U.; Zhou, K. Effect of short-range ordering and grain boundary segregation on shear deformation of CoCrFeNi high-entropy alloys with Al addition. Comput. Mater. Sci. 2022, 215, 111762. [Google Scholar] [CrossRef]
- Chen, S.; Aitken, Z.H.; Pattamatta, S.; Wu, Z.; Yu, Z.G.; Srolovitz, D.J.; Liaw, P.K.; Zhang, Y.-W. Simultaneously enhancing the ultimate strength and ductility of high-entropy alloys via short-range ordering. Nat. Commun. 2021, 12, 4953. [Google Scholar] [CrossRef]
- Li, G.; Yuan, L.; Li, J.; Zhang, M.; Li, D. Effect of Al related chemical short-range order on the irradiation resistance of Al0.5CoCrFeNi multi-principal element alloy: A molecular dynamics simulation. Mater. Today Commun. 2024, 38, 108302. [Google Scholar] [CrossRef]
- Wang, L.; Zhao, Y.; Dou, Y.; He, X.; Zhang, Z.; Chen, M.; Deng, H.; Yang, W. Atomistic Study on Defect—Grain Boundary Interactions in TiVTa Concentrated Solid—Solution Alloys. Crystals 2024, 14, 166. [Google Scholar] [CrossRef]
- Ji, W.; Wu, M.S. Inhibiting the inverse Hall-Petch behavior in CoCuFeNiPd high-entropy alloys with short-range ordering and grain boundary segregation. Scr. Mater. 2022, 221, 114950. [Google Scholar] [CrossRef]
- Zhang, H.; Lee, G.; Gong, C.; Colombo, L.; Cho, K. Grain Boundary Effect on Electrical Transport Properties of Graphene. J. Phys. Chem. C 2014, 118, 2338–2343. [Google Scholar] [CrossRef]
- Hajjiah, A. Modeling the heat conductivity across bulk grain and grain boundaries in perovskite solar cells. Opt. Quantum Electron. 2025, 57, 215. [Google Scholar] [CrossRef]
- Farkas, D. Grain boundary structure in high-entropy alloys. J. Mater. Sci. 2020, 55, 9173–9183. [Google Scholar] [CrossRef]
- Korznikova, E.A.; Shcherbinin, S.A.; Ryabov, D.S.; Chechin, G.M.; Ekomasov, E.G.; Barani, E.; Zhou, K.; Dmitriev, S.V. Delocalized Nonlinear Vibrational Modes in Graphene: Second Harmonic Generation and Negative Pressure. Phys. Status Solidi B 2019, 256, 1800061. [Google Scholar] [CrossRef]
- Giri, A.; Braun, J.L.; Hopkins, P.E. Reduced dependence of thermal conductivity on temperature and pressure of multi-atom component crystalline solid solutions. J. Appl. Phys. 2018, 123, 015106. [Google Scholar] [CrossRef]
- Metropolis, N.; Rosenbluth, A.W.; Rosenbluth, M.N.; Teller, A.H.; Teller, E. Equation of State Calculations by Fast Computing Machines. J. Chem. Phys. 1953, 21, 1087–1092. [Google Scholar] [CrossRef]
- Babicheva, R.I.; Semenov, A.S.; Izosimov, A.A.; Korznikova, E.A. Analysis of Short-Range Ordering Effect on Tensile Deformation Behavior of Equiatomic High-Entropy Alloys TiNbZrV, TiNbZrTa and TiNbZrHf Based on Atomistic Simulations. Modelling 2024, 5, 1853–1864. [Google Scholar] [CrossRef]
- Xu, J.; Jiang, Y.; Yang, L.; Li, J. Assessment of the CSL and SU models for bcc-Fe grain boundaries from first principles. Comput. Mater. Sci. 2016, 122, 22–29. [Google Scholar] [CrossRef]
- National Center for Biotechnology Information. Atomic Radius in the Periodic Table of Elements. Available online: https://pubchem.ncbi.nlm.nih.gov/periodic-table/atomic-radius (accessed on 4 August 2025).
- Hume-Rothery, W. Research on the Nature, Properties and Conditions of Formation of Intermetallic Compounds, with Special Reference to Certain Compounds of Tin. J. Inst. Met. 1926, 35, 295–299. [Google Scholar]
- Mora-Barzaga, G.; Urbassek, H.M.; Deluigi, O.R.; Pasinetti, P.M.; Bringa, E.M. Chemical short-range order increases the phonon heat conductivity in a refractory high-entropy alloy. Sci. Rep. 2024, 14, 20628. [Google Scholar] [CrossRef] [PubMed]
- Lin, C.; Chen, X.; Zou, X. Phonon–Grain-Boundary-Interaction-Mediated Thermal Transport in Two-Dimensional Polycrystalline MoS2. ACS Appl. Mater. Interfaces 2019, 11, 25547–25555. [Google Scholar] [CrossRef]
- Klemens, P.G. Phonon scattering and thermal resistance due to grain boundaries. Int. J. Thermophys. 1994, 15, 1345–1351. [Google Scholar] [CrossRef]









| noGB_noR | noGB_R | S3_noR | S3_R | S5_noR | S5_R | |
|---|---|---|---|---|---|---|
| M1 | 3.66 ± 0.15 | 3.56 ± 0.14 | 3.44 ± 0.12 | 3.24 ± 0.13 | 3.51 ± 0.15 | 3.70 ± 0.17 |
| M2 | 3.81 ± 0.17 | 3.74 ± 0.16 | 3.64 ± 0.14 | 3.48 ± 0.15 | 3.63 ± 0.16 | 3.66 ± 0.17 |
| M3 | 4.90 ± 0.21 | 4.81 ± 0.20 | 4.30 ± 0.18 | 4.66 ± 0.22 | 4.59 ± 0.20 | 4.93 ± 0.23 |
Disclaimer/Publisher’s Note: The statements, opinions and data contained in all publications are solely those of the individual author(s) and contributor(s) and not of MDPI and/or the editor(s). MDPI and/or the editor(s) disclaim responsibility for any injury to people or property resulting from any ideas, methods, instructions or products referred to in the content. |
© 2025 by the authors. Licensee MDPI, Basel, Switzerland. This article is an open access article distributed under the terms and conditions of the Creative Commons Attribution (CC BY) license (https://creativecommons.org/licenses/by/4.0/).
Share and Cite
Babicheva, R.I.; Kazakov, A.M.; Korznikova, E.A. Assessment of the Influence of Chemical Composition, Atomic Distribution, and Grain Boundaries on Heat Transfer in Refractory High-Entropy Alloys Hf–Nb–Ta–Zr Based on Atomistic Simulation. Crystals 2025, 15, 880. https://doi.org/10.3390/cryst15100880
Babicheva RI, Kazakov AM, Korznikova EA. Assessment of the Influence of Chemical Composition, Atomic Distribution, and Grain Boundaries on Heat Transfer in Refractory High-Entropy Alloys Hf–Nb–Ta–Zr Based on Atomistic Simulation. Crystals. 2025; 15(10):880. https://doi.org/10.3390/cryst15100880
Chicago/Turabian StyleBabicheva, Rita I., Arseny M. Kazakov, and Elena A. Korznikova. 2025. "Assessment of the Influence of Chemical Composition, Atomic Distribution, and Grain Boundaries on Heat Transfer in Refractory High-Entropy Alloys Hf–Nb–Ta–Zr Based on Atomistic Simulation" Crystals 15, no. 10: 880. https://doi.org/10.3390/cryst15100880
APA StyleBabicheva, R. I., Kazakov, A. M., & Korznikova, E. A. (2025). Assessment of the Influence of Chemical Composition, Atomic Distribution, and Grain Boundaries on Heat Transfer in Refractory High-Entropy Alloys Hf–Nb–Ta–Zr Based on Atomistic Simulation. Crystals, 15(10), 880. https://doi.org/10.3390/cryst15100880

