Cobalt(II) Paddle-Wheel Complex with 3,5-Di(tert-butyl)-4-hydroxybenzoate Bridges: DFT and ab initio Calculations, Magnetic Dilution, and Magnetic Properties
Abstract
1. Introduction
2. Results
2.1. Synthesis and Characterization
2.2. Crystal Structures
2.3. Calculations
2.3.1. BS/DFT
2.3.2. Ab Initio
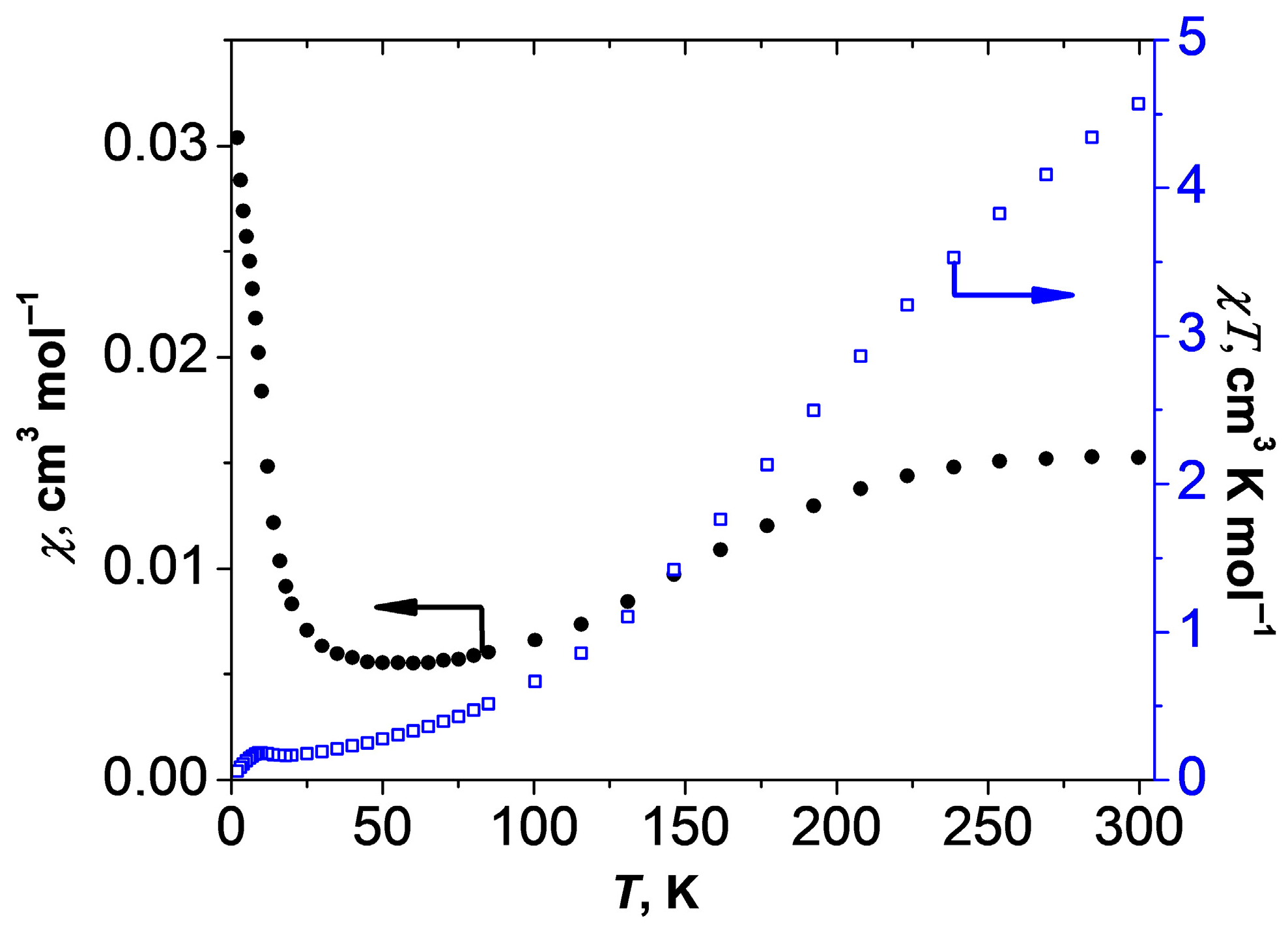
2.4. Magnetic Properties
3. Discussion
4. Materials and Methods
4.1. Instruments
4.2. Synthesis
4.3. Single-Crystal X-ray Diffraction
5. Summary
Supplementary Materials
Author Contributions
Funding
Data Availability Statement
Acknowledgments
Conflicts of Interest
References
- Nadar, S.S.; Rathod, V.K. Magnetic-metal organic framework (magnetic-MOF): A novel platform for enzyme immobilization and nanozyme applications. Int. J. Biol. Macromol. 2018, 120, 2293–2302. [Google Scholar] [CrossRef]
- Gupta, A.; Caravan, P.; Price, W.S.; Platas-Iglesias, C.; Gale, E.M. Applications for Transition-Metal Chemistry in Contrast-Enhanced Magnetic Resonance Imaging. Inorg. Chem. 2020, 59, 6648–6678. [Google Scholar] [CrossRef]
- Wang, H.; Jordan, V.C.; Ramsay, I.A.; Sojoodi, M.; Fuchs, B.C.; Tanabe, K.K.; Caravan, P.; Gale, E.M. Molecular Magnetic Resonance Imaging Using a Redox-Active Iron Complex. J. Am. Chem. Soc. 2019, 141, 5916–5925. [Google Scholar] [CrossRef]
- Ko, C.-N.; Li, G.; Leung, C.-H.; Ma, D.-L. Dual function luminescent transition metal complexes for cancer theranostics: The combination of diagnosis and therapy. Coord. Chem. Rev. 2019, 381, 79–103. [Google Scholar] [CrossRef]
- Zlobin, I.S.; Aisin, R.R.; Novikov, V.V. Iron(II) Clathrochelates in Molecular Spintronic Devices: A Vertical Spin Valve. Russ. J. Coord. Chem. 2022, 48, 33–40. [Google Scholar] [CrossRef]
- Zlobin, I.S.; Nelyubina, Y.V.; Novikov, V.V. Molecular Compounds in Spintronic Devices: An Intricate Marriage of Chemistry and Physics. Inorg. Chem. 2022, 61, 12919–12930. [Google Scholar] [CrossRef]
- Moreno-Pineda, E.; Wernsdorfer, W. Measuring molecular magnets for quantum technologies. Nat. Rev. Phys. 2021, 3, 645–659. [Google Scholar] [CrossRef]
- Coronado, E. Molecular magnetism: From chemical design to spin control in molecules, materials and devices. Nat. Rev. Mater. 2020, 5, 87–104. [Google Scholar] [CrossRef]
- Holovchenko, A.; Dugay, J.; Giménez-Marqués, M.; Torres-Cavanillas, R.; Coronado, E.; van der Zant, H.S.J. Near Room-Temperature Memory Devices Based on Hybrid Spin-Crossover@SiO2 Nanoparticles Coupled to Single-Layer Graphene Nanoelectrodes. Adv. Mater. 2016, 28, 7228–7233. [Google Scholar] [CrossRef]
- Linares, J.; Codjovi, E.; Garcia, Y. Pressure and Temperature Spin Crossover Sensors with Optical Detection. Sensors 2012, 12, 4479–4492. [Google Scholar] [CrossRef]
- Zan, Y.; Piedrahita-Bello, M.; Alavi, S.E.; Molnár, G.; Tondu, B.; Salmon, L.; Bousseksou, A. Soft Actuators Based on Spin-Crossover Particles Embedded in Thermoplastic Polyurethane. Adv. Intell. Syst. 2023, 5, 2200432. [Google Scholar] [CrossRef]
- Pankratova, Y.A.; Nelyubina, Y.V.; Novikov, V.V.; Pavlov, A.A. High-Spin Cobalt(II) Complex with Record-Breaking Anisotropy of the Magnetic Susceptibility According to Paramagnetic NMR Spectroscopy Data. Russ. J. Coord. Chem. 2021, 47, 10–16. [Google Scholar] [CrossRef]
- Meng, Y.-S.; Jiang, S.-D.; Wang, B.-W.; Gao, S. Understanding the Magnetic Anisotropy toward Single-Ion Magnets. Acc. Chem. Res. 2016, 49, 2381–2389. [Google Scholar] [CrossRef] [PubMed]
- Meng, Y.-S.; Mo, Z.; Wang, B.-W.; Zhang, Y.-Q.; Deng, L.; Gao, S. Observation of the single-ion magnet behavior of d8 ions on two-coordinate Co(I)–NHC complexes. Chem. Sci. 2015, 6, 7156–7162. [Google Scholar] [CrossRef] [PubMed]
- Yao, X.-N.; Du, J.-Z.; Zhang, Y.-Q.; Leng, X.-B.; Yang, M.-W.; Jiang, S.-D.; Wang, Z.-X.; Ouyang, Z.-W.; Deng, L.; Wang, B.-W.; et al. Two-Coordinate Co(II) Imido Complexes as Outstanding Single-Molecule Magnets. J. Am. Chem. Soc. 2017, 139, 373–380. [Google Scholar] [CrossRef]
- Tasiopoulos, A.J.; Vinslava, A.; Wernsdorfer, W.; Abboud, K.A.; Christou, G. Giant Single-Molecule Magnets: A {Mn84} Torus and Its Supramolecular Nanotubes. Angew. Chem. Int. Ed. 2004, 43, 2117–2121. [Google Scholar] [CrossRef]
- Zabala-Lekuona, A.; Seco, J.M.; Colacio, E. Single-Molecule Magnets: From Mn12-ac to dysprosium metallocenes, a travel in time. Coord. Chem. Rev. 2021, 441, 213984. [Google Scholar] [CrossRef]
- Zadrozny, J.M.; Long, J.R. Slow Magnetic Relaxation at Zero Field in the Tetrahedral Complex [Co(SPh)4]2−. J. Am. Chem. Soc. 2011, 133, 20732–20734. [Google Scholar] [CrossRef]
- Zadrozny, J.M.; Telser, J.; Long, J.R. Slow magnetic relaxation in the tetrahedral cobalt(II) complexes [Co(EPh)4]2− (E = O, S, Se). Polyhedron 2013, 64, 209–217. [Google Scholar] [CrossRef]
- Colacio, E.; Ruiz, J.; Ruiz, E.; Cremades, E.; Krzystek, J.; Carretta, S.; Cano, J.; Guidi, T.; Wernsdorfer, W.; Brechin, E.K. Slow Magnetic Relaxation in a CoII–YIII Single-Ion Magnet with Positive Axial Zero-Field Splitting. Angew. Chem. Int. Ed. 2013, 52, 9130–9134. [Google Scholar] [CrossRef]
- Nehrkorn, J.; Valuev, I.A.; Kiskin, M.A.; Bogomyakov, A.S.; Suturina, E.A.; Sheveleva, A.M.; Ovcharenko, V.I.; Holldack, K.; Herrmann, C.; Fedin, M.V.; et al. Easy-plane to easy-axis anisotropy switching in a Co(ii) single-ion magnet triggered by the diamagnetic lattice. J. Mater. Chem. C 2021, 9, 9446–9452. [Google Scholar] [CrossRef]
- Hu, K.-L.; Kurmoo, M.; Wang, Z.; Gao, S. Metal–Organic Perovskites: Synthesis, Structures, and Magnetic Properties of [C(NH2)3][MII(HCOO)3] (M = Mn, Fe, Co, Ni, Cu, and Zn; C(NH2)3 = Guanidinium). Chem. Eur. J. 2009, 15, 12050–12064. [Google Scholar] [CrossRef] [PubMed]
- Nikolaevskii, S.A.; Kiskin, M.A.; Starikova, A.A.; Efimov, N.N.; Sidorov, A.A.; Novotortsev, V.M.; Eremenko, I.L. Binuclear nickel(II) complexes with 3,5-di-tert-butylbenzoate and 3,5-di-tert-butyl-4-hydroxybenzoate anions and 2,3-lutidine: The synthesis, structure, and magnetic properties. Russ. Chem. Bull. 2016, 65, 2812–2819. [Google Scholar] [CrossRef]
- Egorov, E.N.; Kiskin, M.A.; Sidorov, A.A.; Eremenko, I.L. Synthesis and structure of new polynuclear cobalt(ii) complexes with 3,5-di-tert-butylbenzoic acid anions. Russ. Chem. Bull. 2013, 62, 1924–1929. [Google Scholar] [CrossRef]
- Khan, M.A.; Osman, A.; Tuck, D.G. The electrochemical synthesis and structure determination of 3,3′,5,5′-tetra-tert-butyl-1,1′-biphenylidene-4,4′-quinone. Acta Cryst. 1986, C42, 1399–1402. [Google Scholar] [CrossRef]
- Yakovenko, A.V.; Kolotilov, S.V.; Addison, A.W.; Trofimenko, S.; Yap, G.P.A.; Lopushanskaya, V.; Pavlishchuk, V.V. Ni(II), Co(II) and Mn(II) tris(pyrazolyl)borate complexes with 2,6-di-tert-butyl-4-carboxy-phenol: Formation of coordinated phenoxyl radical. Inorg. Chem. Commun. 2005, 8, 932–935. [Google Scholar] [CrossRef]
- Nakamoto, K. Recent Progress in Inorganic Vibrational Spectroscopy. J. Spectrosc. Soc. Japan 1981, 30, 437–454. [Google Scholar] [CrossRef]
- Wang, Z.; Zhang, B.; Kurmoo, M.; Green, M.A.; Fujiwara, H.; Otsuka, T.; Kobayashi, H. Synthesis and Characterization of a Porous Magnetic Diamond Framework, Co3(HCOO)6, and Its N2 Sorption Characteristic. Inorg. Chem. 2005, 44, 1230–1237. [Google Scholar] [CrossRef]
- Wang, Z.; Zhang, Y.; Kurmoo, M.; Liu, T.; Vilminot, S.; Zhao, B.; Gao, S. [Zn3(HCOO)6]: A Porous Diamond Framework Conformable to Guest Inclusion. Aust. J. Chem. 2006, 59, 617–628. [Google Scholar] [CrossRef]
- Vinothkumar, K.; Balakrishna, R.G. One-pot synthesis of NH2-MIL-101(Fe) and α–Fe2O3 composite as efficient heterojunction for multifunctional photocatalytic membranes: Towards zero waste generation. Appl. Catal. B Environ. 2024, 340, 123199. [Google Scholar] [CrossRef]
- Pakula, R.J.; Berry, J.F. Cobalt complexes of the chelating dicarboxylate ligand “esp”: A paddlewheel-type dimer and a heptanuclear coordination cluster. Dalton Trans. 2018, 47, 13887–13893. [Google Scholar] [CrossRef]
- Pakula, R.J.; Martinez, A.M.; Noten, E.A.; Harris, C.F.; Berry, J.F. New chromium, molybdenum, and cobalt complexes of the chelating esp ligand. Polyhedron 2019, 161, 93–103. [Google Scholar] [CrossRef]
- Ejarque, D.; Sanchez-Ferez, F.; Felez-Guerrero, N.; Calvet, T.; Font-Bardia, M.; Pons, J. Pyridine-driven assembly of Zn(ii) and Cd(ii) complexes with 2-furoic acid. The role of water in a structural transformation. CrystEngComm 2023, 25, 2739–2754. [Google Scholar] [CrossRef]
- Bai, F.; Ni, Y.; Jiang, Y.; Feng, X.; Wuren, T.; Zhang, L.; Su, H. Synthesis, crystal structure and luminescence properties of “paddle wheel” and “butterfly” shaped polynuclear complexes. J. Mol. Struct. 2017, 1131, 190–195. [Google Scholar] [CrossRef]
- Lee, C.; Yang, W.; Parr, R.G. Development of the Colle-Salvetti Correlation-Energy Formula into a Functional of the Electron Density. Phys. Rev. B 1988, 37, 785–789. [Google Scholar] [CrossRef] [PubMed]
- Becke, A.D. Density-Functional Thermochemistry. III. The Role of Exact Exchange. J. Chem. Phys. 1993, 98, 5648–5652. [Google Scholar] [CrossRef]
- Weigend, F.; Ahlrichs, R. Balanced basis sets of split valence, triple zeta valence and quadruple zeta valence quality for H to Rn: Design and assessment of accuracy. Phys. Chem. Chem. Phys. 2005, 7, 3297–3305. [Google Scholar] [CrossRef]
- Mayhall, N.J.; Head-Gordon, M. Computational Quantum Chemistry for Multiple-Site Heisenberg Spin Couplings Made Simple: Still Only One Spin–Flip Required. J. Phys. Chem. Lett. 2015, 6, 1982–1988. [Google Scholar] [CrossRef]
- Korotin, D.M.; Mazurenko, V.V.; Anisimov, V.I.; Streltsov, S.V. Calculation of exchange constants of the Heisenberg model in plane-wave-based methods using the Green’s function approach. Phys. Rev. B 2015, 91, 224405. [Google Scholar] [CrossRef]
- Soda, T.; Kitagawa, Y.; Onishi, T.; Takano, Y.; Shigeta, Y.; Nagao, H.; Yoshioka, Y.; Yamaguchi, K. Ab initio computations of effective exchange integrals for H–H, H–He–H and Mn2O2 complex: Comparison of broken-symmetry approaches. Chem. Phys. Lett. 2000, 319, 223–230. [Google Scholar] [CrossRef]
- Titiš, J.; Rajnák, C.; Boča, R. Energy Levels in Pentacoordinate d5 to d9 Complexes. Inorganics 2022, 10, 116. [Google Scholar] [CrossRef]
- Rajnák, C.; Varga, F.; Titiš, J.; Moncoľ, J.; Boča, R. Field-Supported Single-Molecule Magnets of Type [Co(bzimpy)X2]. Eur. J. Inorg. Chem. 2017, 2017, 1915–1922. [Google Scholar] [CrossRef]
- Juráková, J.; Dubnická Midlíková, J.; Hrubý, J.; Kliuikov, A.; Santana, V.T.; Pavlik, J.; Moncoľ, J.; Čižmár, E.; Orlita, M.; Mohelský, I.; et al. Pentacoordinate cobalt(ii) single ion magnets with pendant alkyl chains: Shall we go for chloride or bromide? Inorg. Chem. Front. 2022, 9, 1179–1194. [Google Scholar] [CrossRef]
- Świtlicka, A.; Machura, B.; Penkala, M.; Bieńko, A.; Bieńko, D.C.; Titiš, J.; Rajnák, C.; Boča, R.; Ozarowski, A.; Ozerov, M. Slow Magnetic Relaxation in Cobalt(II) Field-Induced Single-Ion Magnets with Positive Large Anisotropy. Inorg. Chem. 2018, 57, 12740–12755. [Google Scholar] [CrossRef] [PubMed]
- Boča, R. Magnetic Parameters and Magnetic Functions in Mononuclear Complexes Beyond the Spin-Hamiltonian Formalism. In Magnetic Functions Beyond the Spin-Hamiltonian. Structure and Bonding; Mingos, D.M.P., Ed.; Springer: Berlin/Heidelberg, Germany, 2006; Volume 117. [Google Scholar]
- Figgis, B.N.; Gerloch, M.; Lewis, J.; Mabbs, F.E.; Webb, G.A. The magnetic behaviour of cubic-field 4T1g terms in lower symmetry. J. Chem. Soc. A 1968, 2086–2093. [Google Scholar] [CrossRef]
- Alam, R.; Pal, K.; Shaw, B.K.; Dolai, M.; Pal, N.; Saha, S.K.; Ali, M. Synthesis, structure, catalytic and magnetic properties of a pyrazole based five coordinated di-nuclear cobalt(II) complex. Polyhedron 2016, 106, 84–91. [Google Scholar] [CrossRef]
- Acharya, J.; Sarkar, A.; Kumar, P.; Kumar, V.; Gonzalez, J.F.; Cador, O.; Pointillart, F.; Rajaraman, G.; Chandrasekhar, V. Influence of ligand field on magnetic anisotropy in a family of pentacoordinate CoII complexes. Dalton Trans. 2020, 49, 4785–4796. [Google Scholar] [CrossRef]
- Brachňaková, B.; Matejová, S.; Moncol, J.; Herchel, R.; Pavlik, J.; Moreno-Pineda, E.; Ruben, M.; Šalitroš, I. Stereochemistry of coordination polyhedra vs. single ion magnetism in penta- and hexacoordinated Co(ii) complexes with tridentate rigid ligands. Dalton Trans. 2020, 49, 1249–1264. [Google Scholar] [CrossRef]
- Cui, H.-H.; Ding, M.-M.; Zhang, X.-D.; Lv, W.; Zhang, Y.-Q.; Chen, X.-T.; Wang, Z.; Ouyangd, Z.-W.; Xue, Z.-L. Magnetic anisotropy in square pyramidal cobalt(ii) complexes supported by a tetraazo macrocyclic ligand. Dalton Trans. 2020, 49, 14837–14846. [Google Scholar] [CrossRef]
- Cui, H.-H.; Xu, H.; Zhang, M.; Luo, S.; Tong, W.; Wang, M.; Sun, T.; Chen, L.; Tang, Y. Magnetic Anisotropy from Easy-Plane to Easy-Axial in Square Pyramidal Cobalt(II) Single-Ion Magnets. Cryst. Growth Des. 2022, 22, 2742–2748. [Google Scholar] [CrossRef]
- Mondal, A.K.; Jover, J.; Ruiz, E.; Konar, S. Single-ion magnetic anisotropy in a vacant octahedral Co(ii) complex. Dalton Trans. 2019, 48, 25–29. [Google Scholar] [CrossRef] [PubMed]
- Mondal, A.K.; Jover, J.; Ruiz, E.; Konar, S. Investigation of easy-plane magnetic anisotropy in P-ligand square-pyramidal CoII single ion magnets. Chem. Commun. 2017, 53, 5338–5341. [Google Scholar] [CrossRef] [PubMed]
- Mondal, A.K.; Mondal, A.; Konar, S. Field Induced Single Ion Magnetic Behaviour in Square-Pyramidal Cobalt(II) Complexes with Easy-Plane Magnetic Anisotropy. Magnetochemistry 2019, 5, 12. [Google Scholar] [CrossRef]
- Oloyede, H.O.; Woods, J.A.O.; Görls, H.; Plass, W.; Eseola, A.O. The necessity of free and uncrowded coordination environments in biomimetic complex models: Oxidative coupling by mixed-ligand cobalt(ii) complexes of diazene–disulfonamide. New J. Chem. 2019, 43, 18322–18330. [Google Scholar] [CrossRef]
- Korchagin, D.V.; Palii, A.V.; Yureva, E.A.; Akimov, A.V.; Misochko, E.Y.; Shilov, G.V.; Talantsev, A.D.; Morgunov, R.B.; Shakin, A.A.; Aldoshin, S.M.; et al. Evidence of field induced slow magnetic relaxation in cis-[Co(hfac)2(H2O)2] exhibiting tri-axial anisotropy with a negative axial component. Dalton Trans. 2017, 46, 7540–7548. [Google Scholar] [CrossRef]
- Nemec, I.; Fellner, O.F.; Indruchová, B.; Herchel, R. Trigonally Distorted Hexacoordinate Co(II) Single-Ion Magnets. Materials 2022, 15, 1064. [Google Scholar] [CrossRef] [PubMed]
- Damgaard-Møller, E.; Krause, L.; Lassen, H.; Malaspina, L.A.; Grabowsky, S.; Bamberger, H.; McGuire, J.; Miras, H.N.; Sproules, S.; Overgaard, J. Investigating Complex Magnetic Anisotropy in a Co(II) Molecular Compound: A Charge Density and Correlated Ab Initio Electronic Structure Study. Inorg. Chem. 2020, 59, 13190–13200. [Google Scholar] [CrossRef]
- Palii, A.V.; Korchagin, D.V.; Yureva, E.A.; Akimov, A.V.; Misochko, E.Y.; Shilov, G.V.; Talantsev, A.D.; Morgunov, R.B.; Aldoshin, S.M.; Tsukerblat, B.S. Single-Ion Magnet Et4N[CoII(hfac)3] with Nonuniaxial Anisotropy: Synthesis, Experimental Characterization, and Theoretical Modeling. Inorg. Chem. 2016, 55, 9696–9706. [Google Scholar] [CrossRef]
- Malinová, N.; Juráková, J.; Brachňaková, B.; Midlíková, J.D.; Čižmár, E.; Santana, V.T.; Herchel, R.; Orlita, M.; Mohelský, I.; Moncol, J.; et al. Magnetization Slow Dynamics in Mononuclear Co(II) Field-Induced Single-Molecule Magnet. Cryst. Growth Des. 2023, 23, 2430–2441. [Google Scholar] [CrossRef]
- Shao, D.; Moorthy, S.; Zhou, Y.; Wu, S.-T.; Zhu, J.-Y.; Yang, J.; Wu, D.-Q.; Tian, Z.; Singh, S.K. Field-induced slow magnetic relaxation behaviours in binuclear cobalt(ii) metallocycles and exchange-coupled clusters. Dalton Trans. 2022, 51, 9357–9368. [Google Scholar] [CrossRef]
- Vaidya, S.; Upadhyay, A.; Singh, S.K.; Gupta, T.; Tewary, S.; Langley, S.K.; Walsh, J.P.S.; Murray, K.S.; Rajaraman, G.; Shanmugam, M. A synthetic strategy for switching the single ion anisotropy in tetrahedral Co(ii) complexes. Chem. Commun. 2015, 51, 3739–3742. [Google Scholar] [CrossRef]
- Walsh, J.P.S.; Bowling, G.; Ariciu, A.-M.; Jailani, N.F.M.; Chilton, N.F.; Waddell, P.G.; Collison, D.; Tuna, F.; Higham, L.J. Evidence of Slow Magnetic Relaxation in Co(AcO)2(py)2(H2O)2. Magnetochemistry 2016, 2, 23. [Google Scholar] [CrossRef]
- Shang, R.; Chen, S.; Hu, K.-L.; Jiang, Z.-C.; Wang, B.-W.; Kurmoo, M.; Wang, Z.-M.; Gao, S. Hierarchical cobalt-formate framework series with (412⋅63)(49⋅66)n (n = 1–3) topologies exhibiting slow dielectric relaxation and weak ferromagnetism. APL Mater. 2014, 2, 124104. [Google Scholar] [CrossRef]
- SMART (Control) and SAINT (Integration) Software, Version 5.0; Bruker AXS Inc.: Madison, WI, USA, 1997.
- Krause, L.; Herbst-Irmer, R.; Sheldrick, G.M.; Stalke, D. Comparison of silver and molybdenum microfocus X-ray sources for single-crystal structure determination. J. Appl. Cryst. 2015, 48, 3–10. [Google Scholar] [CrossRef] [PubMed]
- Sheldrick, G.M. Crystal Structure Refinement with SHELXL. Acta Crystallogr. C Struct. Chem. 2015, 71, 3–8. [Google Scholar] [CrossRef] [PubMed]
- Sheldrick, G.M. SHELXT—Integrated Space-Group and Crystal-Structure Determination. Acta Crystallogr. A Found Adv. 2015, 71, 3–8. [Google Scholar] [CrossRef] [PubMed]
- Dolomanov, O.V.; Bourhis, L.J.; Gildea, R.J.; Howard, J.A.K.; Puschmann, H. OLEX2: A Complete Structure Solution, Refinement and Analysis Program. J. Appl. Crystallogr. 2009, 42, 339–341. [Google Scholar] [CrossRef]
- Neese, F. The ORCA Program System. WIREs Comput. Mol. Sci. 2012, 2, 73–78. [Google Scholar] [CrossRef]
- Malmqvist, P.-Å.; Roos, B.O. The CASSCF State Interaction Method. Chem. Phys. Lett. 1989, 155, 189–194. [Google Scholar] [CrossRef]
- Angeli, C.; Cimiraglia, R.; Evangelisti, S.; Leininger, T.; Malrieu, J.-P. Introduction of n-Electron Valence States for Multireference Perturbation Theory. J. Chem. Phys. 2001, 114, 10252–10264. [Google Scholar] [CrossRef]
- Reiher, M. Douglas–Kroll–Hess Theory: A Relativistic Electrons-Only Theory for Chemistry. Theor. Chem. Acc. 2006, 116, 241–252. [Google Scholar] [CrossRef]
- Schäfer, A.; Huber, C.; Ahlrichs, R. Fully Optimized Contracted Gaussian Basis Sets of Triple Zeta Valence Quality for Atoms Li to Kr. J. Chem. Phys. 1994, 100, 5829–5835. [Google Scholar] [CrossRef]
- Neese, F. Efficient and Accurate Approximations to the Molecular Spin-Orbit Coupling Operator and Their Use in Molecular g-Tensor Calculations. J. Chem. Phys. 2005, 122, 034107. [Google Scholar] [CrossRef]
- Ganyushin, D.; Neese, F. First-Principles Calculations of Zero-Field Splitting Parameters. J. Chem. Phys. 2006, 125, 024103. [Google Scholar] [CrossRef] [PubMed]
- Maurice, R.; Bastardis, R.; Graaf, C.D.; Suaud, N.; Mallah, T.; Guihéry, N. Universal Theoretical Approach to Extract Anisotropic Spin Hamiltonians. J. Chem. Theory Comput. 2009, 5, 2977–2984. [Google Scholar] [CrossRef] [PubMed]
- Singh, S.K.; Eng, J.; Atanasov, M.; Neese, F. Covalency and Chemical Bonding in Transition Metal Complexes: An Ab Initio Based Ligand Field Perspective. Coord. Chem. Rev. 2017, 344, 2–25. [Google Scholar] [CrossRef]
- Ungur, L.; Chibotaru, L.F. Strategies toward High-Temperature Lanthanide-Based Single-Molecule Magnets. Inorg. Chem. 2016, 55, 10043–10056. [Google Scholar] [CrossRef]
- Dey, A.; Kalita, P.; Chandrasekhar, V. Lanthanide(III)-Based Single-Ion Magnets. ACS Omega 2018, 3, 9462–9475. [Google Scholar] [CrossRef]
- Gómez-Coca, S.; Aravena, D.; Morales, R.; Ruiz, E. Large magnetic anisotropy in mononuclear metal complexes. Coord. Chem. Rev. 2015, 289–290, 379–392. [Google Scholar] [CrossRef]









| 1 | 3 | |||
|---|---|---|---|---|
| Initial States (cm−1) | 4A2 | 0 | 4E | 0 |
| 395.6 | ||||
| 4E | 679 | 4A2 | 1117.8 | |
| 1296.9 | ||||
| SH parameters from effective Hamiltonian for the ground term | ||||
| D (cm−1) | 90.288 | 100.565 | ||
| E/D | 0.203 | 0.269 | ||
| gx | 1.831 | 1.746 | ||
| gy | 2.625 | 2.589 | ||
| gz | 2.983 | 3.102 | ||
| giso | 2.48 | 2.479 | ||
| GF Hamiltonian | ||||
| Δax (cm−1) | 987.95 | −920.0 | ||
| Δrh (cm−1) | 308.95 | |197.8| | ||
| λ (cm−1) | −173.41 | λ = −173.331 | ||
| 1 | 3 |
|---|---|
| 0 | 0 |
| 191.4 | 221.9 |
| 953.5 | 736.5 |
| 1150.6 | 986.1 |
| 1636.6 | 1523.9 |
| 1697.4 | 1594.2 |
| Complex/Parameters | 1 | 2 |
|---|---|---|
| Empirical formula | C72H120Co2O18 | C72H120O18Zn2 |
| Formula weight | 1391.53 | 1404.41 |
| T (K) | 150(2) | 296 |
| Crystal system | Triclinic | Triclinic |
| Space group | P-1 | P-1 |
| Crystal size (mm) | 0.18 × 0.14 × 0.04 | 0.20 × 0.10 × 0.10 |
| a (Å) | 11.570(2) | 11.347(2) |
| b (Å) | 12.724(2) | 12.553(3) |
| c (Å) | 13.332(2) | 13.485(3) |
| α (°) | 95.177(3) | 95.980(3) |
| β (°) | 95.600(3) | 94.960(3) |
| γ (°) | 90.517(3) | 90.029(3) |
| V(Å3) | 1945.0(6) | 1903.2(7) |
| Z | 1 | 1 |
| Dcalc (g·cm−3) | 1.188 | 1.225 |
| μ (mm−1) | 0.489 | 0.694 |
| θ range (º) | 1.54–28.70 | 2.26–28.42 |
| Tmin/Tmax | 0.6407/0.7460 | 0.6300/0.7461 |
| F(000) | 750 | 756 |
| Number of parameters | 448 | 472 |
| Reflections collected | 18,697 | 20,250 |
| Unique reflections | 9737 | 9492 |
| Reflections with I > 2σ(I) | 5982 | 8310 |
| Rint | 0.0385 | 0.0215 |
| GooF | 1.018 | 1.067 |
| R1 (I > 2σ(I)) | 0.0630 | 0.0332 |
| wR2 (I > 2σ(I)) | 0.1513 | 0.0870 |
| R1(all data) | 0.1140 | 0.0398 |
| wR2 (all data) | 0.1749 | 0.0904 |
| Δρmin/Δρmax, e/Å3 | −0.327/0.685 | −0.616/0.428 |
Disclaimer/Publisher’s Note: The statements, opinions and data contained in all publications are solely those of the individual author(s) and contributor(s) and not of MDPI and/or the editor(s). MDPI and/or the editor(s) disclaim responsibility for any injury to people or property resulting from any ideas, methods, instructions or products referred to in the content. |
© 2024 by the authors. Licensee MDPI, Basel, Switzerland. This article is an open access article distributed under the terms and conditions of the Creative Commons Attribution (CC BY) license (https://creativecommons.org/licenses/by/4.0/).
Share and Cite
Astaf’eva, T.V.; Nikolaevskii, S.A.; Egorov, E.N.; Melnikov, S.N.; Yambulatov, D.S.; Matiukhina, A.K.; Nikiforova, M.E.; Shmelev, M.A.; Kolchin, A.V.; Efimov, N.N.; et al. Cobalt(II) Paddle-Wheel Complex with 3,5-Di(tert-butyl)-4-hydroxybenzoate Bridges: DFT and ab initio Calculations, Magnetic Dilution, and Magnetic Properties. Crystals 2024, 14, 76. https://doi.org/10.3390/cryst14010076
Astaf’eva TV, Nikolaevskii SA, Egorov EN, Melnikov SN, Yambulatov DS, Matiukhina AK, Nikiforova ME, Shmelev MA, Kolchin AV, Efimov NN, et al. Cobalt(II) Paddle-Wheel Complex with 3,5-Di(tert-butyl)-4-hydroxybenzoate Bridges: DFT and ab initio Calculations, Magnetic Dilution, and Magnetic Properties. Crystals. 2024; 14(1):76. https://doi.org/10.3390/cryst14010076
Chicago/Turabian StyleAstaf’eva, Tatiana V., Stanislav A. Nikolaevskii, Evgeniy N. Egorov, Stanislav N. Melnikov, Dmitriy S. Yambulatov, Anna K. Matiukhina, Marina E. Nikiforova, Maxim A. Shmelev, Aleksandr V. Kolchin, Nikolay N. Efimov, and et al. 2024. "Cobalt(II) Paddle-Wheel Complex with 3,5-Di(tert-butyl)-4-hydroxybenzoate Bridges: DFT and ab initio Calculations, Magnetic Dilution, and Magnetic Properties" Crystals 14, no. 1: 76. https://doi.org/10.3390/cryst14010076
APA StyleAstaf’eva, T. V., Nikolaevskii, S. A., Egorov, E. N., Melnikov, S. N., Yambulatov, D. S., Matiukhina, A. K., Nikiforova, M. E., Shmelev, M. A., Kolchin, A. V., Efimov, N. N., Veber, S. L., Bogomyakov, A. S., Zorina-Tikhonova, E. N., Eremenko, I. L., & Kiskin, M. A. (2024). Cobalt(II) Paddle-Wheel Complex with 3,5-Di(tert-butyl)-4-hydroxybenzoate Bridges: DFT and ab initio Calculations, Magnetic Dilution, and Magnetic Properties. Crystals, 14(1), 76. https://doi.org/10.3390/cryst14010076

