Raman Studies of Two-Dimensional Group-VI Transition Metal Dichalcogenides under Extreme Conditions
Abstract
1. Introduction
2. Raman Study of 2D Group-VI TMDs under Extreme Conditions
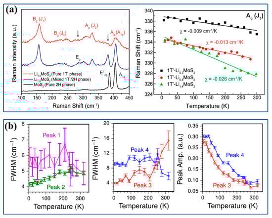
2.1. Low-Temperature Raman Study of 2D TMDs



2.2. High-Pressure Raman Study of 2D TMDs





2.3. High-Magnetic-Field Raman Study of 2D TMDs

3. Conclusions
| Extreme Condition 1 | Physical Effect 2 | TMDs | Refs. |
|---|---|---|---|
| LT | structural phase transition | ||
| Td→1T′ | MoTe2 | [30,31] | |
| HM + LT | magneto-optical Raman effect | ||
| MoS2 | [84,85] | ||
| WS2 | [81,83] | ||
| HP | structural phase transition | ||
| 1H→1T′ | MoS2 | [54] | |
| Td→1T′ | WTe2 | [77] | |
| electronic state phase transition | |||
| SC → M | MoS2 | [13] | |
| SC → SM | MoTe2 | [75,76] | |
| SC → M | MoSe2 | [68] | |
| HP + LT | structural phase transition | ||
| 2Hc + 2Ha → 2Ha | MoS2 | [67] |
Author Contributions
Funding
Data Availability Statement
Conflicts of Interest
References
- Jones, R.R.; Hooper, D.C.; Zhang, L.W.; Wolverson, D.; Valev, V.K. Raman Techniques: Fundamentals and Frontiers. Nanoscale Res. Lett. 2019, 14, 231. [Google Scholar] [CrossRef] [PubMed]
- Devereaux, T.P.; Hackl, R. Inelastic light scattering from correlated electrons. Rev. Mod. Phys. 2007, 79, 175–233. [Google Scholar] [CrossRef]
- Jin, F.; Yang, Y.; Zhang, A.-M.; Ji, J.-T.; Zhang, Q.-M. Raman scattering under extreme conditions. Chin. Phys. B 2018, 27, 077801. [Google Scholar] [CrossRef]
- Goncharov, A.F.; Struzhkin, V.V. Raman spectroscopy of metals, high-temperature superconductors and related materials under high pressure. J. Raman Spectrosc. 2003, 34, 532–548. [Google Scholar] [CrossRef]
- Chhowalla, M.; Liu, Z.F.; Zhang, H. Two-dimensional transition metal dichalcogenide (TMD) nanosheets. Chem. Soc. Rev. 2015, 44, 2584–2586. [Google Scholar] [CrossRef]
- Dawson, W.G.; Bullett, D.W. Electronic-Structure and Crystallography of MoTe2 and WTe2. J. Phys. C Solid State 1987, 20, 6159–6174. [Google Scholar] [CrossRef]
- Lv, R.; Robinson, J.A.; Schaak, R.E.; Sun, D.; Sun, Y.F.; Mallouk, T.E.; Terrones, M. Transition Metal Dichalcogenides and Beyond: Synthesis, Properties, and Applications of Single- and Few-Layer Nanosheets. Acc. Chem. Res. 2015, 48, 56–64. [Google Scholar] [CrossRef]
- Wang, X.T.; Cui, Y.; Li, T.; Lei, M.; Li, J.B.; Wei, Z.M. Recent Advances in the Functional 2D Photonic and Optoelectronic Devices. Adv. Opt. Mater. 2019, 7, 1801274. [Google Scholar] [CrossRef]
- Zhang, S.S.; Zhang, N.; Zhao, Y.; Cheng, T.; Li, X.B.; Feng, R.; Xu, H.; Liu, Z.R.; Zhang, J.; Tong, L.M. Spotting the differences in two-dimensional materials—The Raman scattering perspective. Chem. Soc. Rev. 2018, 47, 3380. [Google Scholar] [CrossRef]
- Liang, L.B.; Zhang, J.; Sumpter, B.G.; Tan, Q.-H.; Tan, P.-H.; Meunier, V. Low-Frequency Shear and Layer-Breathing Modes in Raman Scattering of Two-Dimensional Materials. ACS Nano 2017, 11, 11777–11802. [Google Scholar] [CrossRef]
- Wang, Y.L.; Cong, C.X.; Qiu, C.Y.; Yu, T. Raman Spectroscopy Study of Lattice Vibration and Crystallographic Orientation of Monolayer MoS2under Uniaxial Strain. Small 2013, 9, 2857–2861. [Google Scholar] [CrossRef] [PubMed]
- Oliver, S.M.; Young, J.; Krylyuk, S.; Reinecke, T.L.; Davydov, A.V.; Vora, P.M. Valley phenomena in the candidate phase change material WSe2(1-x)Te2x. Commun. Phys. 2020, 3, 10. [Google Scholar] [CrossRef]
- Nayak, A.P.; Bhattacharyya, S.; Zhu, J.; Liu, J.; Wu, X.; Pandey, T.; Jin, C.Q.; Singh, A.K.; Akinwande, D.; Lin, J.-F. Pressure-induced semiconducting to metallic transition in multilayered molybdenum disulphide. Nat. Commun. 2014, 5, 3731. [Google Scholar] [CrossRef]
- Thomas, A.; Vikram, K.; Muthu, D.V.S.; Sood, A.K. Structural phase transition from 1H to 1T′ at low pressure in supported monolayer WS2: Raman study. Solid State Commun. 2021, 336, 114412. [Google Scholar] [CrossRef]
- Shen, P.F.; Ma, X.; Guan, Z.; Li, Q.J.; Zhang, H.F.; Liu, R.; Liu, B.; Yang, X.; Dong, Q.; Cui, T.; et al. Linear Tunability of the Band Gap and Two-Dimensional (2D) to Three-Dimensional (3D) Isostructural Transition in WSe2 under High Pressure. J. Phys. Chem. C 2017, 121, 26019–26026. [Google Scholar] [CrossRef]
- Zhang, X.; Sun, D.Z.; Li, Y.L.; Lee, G.-H.; Cui, X.; Chenet, D.; You, Y.M.; Heinz, T.F.; Hone, J.C. Measurement of Lateral and Interfacial Thermal Conductivity of Single- and Bilayer MoS2 and MoSe2 Using Refined Optothermal Raman Technique. ACS Appl. Mater. Interfaces 2015, 7, 25923–25929. [Google Scholar] [CrossRef] [PubMed]
- Su, B.; Huang, Y.; Hou, Y.H.; Li, J.W.; Yang, R.; Ma, Y.C.; Yang, Y.; Zhang, G.Y.; Zhou, X.J.; Luo, J.N.; et al. Persistence of Monoclinic Crystal Structure in 3D Second-Order Topological Insulator Candidate 1 T ′-MoTe2 Thin Flake Without Structural Phase Transition. Adv. Sci. 2022, 9, 21001532. [Google Scholar] [CrossRef]
- Lin, Z.; Liu, W.; Tian, S.; Zhu, K.; Huang, Y.; Yang, Y. Thermal expansion coefficient of few-layer MoS2 studied by temperature-dependent Raman spectroscopy. Sci. Rep. 2021, 11, 7037. [Google Scholar] [CrossRef]
- Li, X.; Li, J.H.; Wang, K.; Wang, X.H.; Wang, S.-P.; Chu, X.Y.; Xu, M.Z.; Fang, X.; Wei, Z.P.; Zhai, Y.J.; et al. Pressure and temperature-dependent Raman spectra of MoS2 film. Appl. Phys. Lett. 2016, 109, 242101. [Google Scholar] [CrossRef]
- Wilson, J.A.; Yoffe, A. The transition metal dichalcogenides discussion and interpretation of the observed optical, electrical and structural properties. Adv. Phys. 1969, 18, 193–335. [Google Scholar] [CrossRef]
- Choi, W.; Choudhary, N.; Han, G.H.; Park, J.; Akinwande, D.; Lee, Y.H. Recent development of two-dimensional transition metal dichalcogenides and their applications. Mater. Today 2017, 20, 116–130. [Google Scholar] [CrossRef]
- Santosh, K.; Zhang, C.; Hong, S.; Wallace, R.; Cho, K. Phase stability of transition metal dichalcogenide by competing ligand field stabilization and charge density wave. 2D Mater. 2015, 2, 035019. [Google Scholar]
- Clarke, R.; Marseglia, E.; Hughes, H. A low-temperature structural phase transition in β-MoTe2. Philos. Mag. B 1978, 38, 121–126. [Google Scholar] [CrossRef]
- Sun, X.L.; Wang, Z.G. Adsorption and diffusion of lithium on heteroatom-doped monolayer molybdenum disulfide. Appl. Surf. Sci. 2018, 455, 911–918. [Google Scholar] [CrossRef]
- Cui, Z.; Wang, X.; Ding, Y.C.; Zhang, C.; Li, M.Q. Alkali-metal-embedded in monolayer MoS2: Optical properties and work functions. Opt. Quantum Electron. 2018, 50, 348. [Google Scholar] [CrossRef]
- Tan, S.J.R.; Sarkar, S.; Zhao, X.X.; Luo, X.; Luo, Y.Z.; Poh, S.M.; Abdelwahab, I.; Zhou, W.; Venkatesan, T.; Chen, W.; et al. Temperature- and Phase-Dependent Phonon Renormalization in 1T′-MoS2. Acs Nano 2018, 12, 5051–5058. [Google Scholar] [CrossRef]
- Sun, Y.; Wu, S.C.; Ali, M.N.; Felser, C.; Yan, B.H. Prediction of Weyl semimetal in orthorhombic MoTe2. Phys. Rev. B 2015, 92, 161107. [Google Scholar] [CrossRef]
- Wang, Z.J.; Gresch, D.; Soluyanov, A.A.; Xie, W.W.; Kushwaha, S.; Dai, X.; Troyer, M.; Cava, R.J.; Bernevig, B.A. MoTe2: A Type-II Weyl Topological Metal. Phys. Rev. Lett. 2016, 117, 056805. [Google Scholar] [CrossRef]
- Deng, K.; Wan, G.L.; Deng, P.; Zhang, K.N.; Ding, S.J.; Wang, E.Y.; Yan, M.Z.; Huang, H.Q.; Zhang, H.Y.; Xu, Z.L.; et al. Experimental observation of topological Fermi arcs in type-II Weyl semimetal MoTe2. Nat. Phys. 2016, 12, 1105–1110. [Google Scholar] [CrossRef]
- Ma, X.L.; Guo, P.J.; Yi, C.J.; Yu, Q.H.; Zhang, A.M.; Ji, J.T.; Tian, Y.; Jin, F.; Wang, Y.Y.; Liu, K.; et al. Raman scattering in the transition-metal dichalcogenides of 1T’-MoTe2, T-d-MoTe2, and T-d-WTe2. Phys. Rev. B 2016, 94, 214105. [Google Scholar] [CrossRef]
- Joshi, J.; Stone, I.R.; Beams, R.; Krylyuk, S.; Kalish, I.; Davydov, A.V.; Vora, P.M. Phonon Anharmonicity in Bulk T d -MoTe2. Appl. Phys. Lett. 2016, 109, 031903. [Google Scholar] [CrossRef]
- Zhang, A.M.; Ma, X.L.; Liu, C.L.; Lou, R.; Wang, Y.M.; Yu, Q.H.; Wang, Y.Y.; Xia, T.L.; Wang, S.C.; Zhang, L.; et al. Topological phase transition between distinct Weyl semimetal states in MoTe2. Phys. Rev. B 2019, 100, 201107. [Google Scholar] [CrossRef]
- Soluyanov, A.A.; Gresch, D.; Wang, Z.J.; Wu, Q.S.; Troyer, M.; Dai, X.; Bernevig, B.A. Type-II Weyl semimetals. Nature 2015, 527, 495–498. [Google Scholar] [CrossRef]
- Bruno, F.Y.; Tamai, A.; Wu, Q.S.; Cucchi, I.; Barreteau, C.; de la Torre, A.; Walker, S.M.; Ricco, S.; Wang, Z.; Kim, T.K.; et al. Observation of large topologically trivial Fermi arcs in the candidate type-II Weyl semimetal WTe2. Phys. Rev. B 2016, 94, 121112. [Google Scholar] [CrossRef]
- Kong, W.-D.; Wu, S.-F.; Richard, P.; Lian, C.-S.; Wang, J.-T.; Yang, C.-L.; Shi, Y.-G.; Ding, H. Raman scattering investigation of large positive magnetoresistance material WTe2. Appl. Phys. Lett. 2015, 106, 081906. [Google Scholar] [CrossRef]
- Chow, C.M.; Yu, H.T.; Jones, A.M.; Schaibley, J.R.; Koehler, M.; Mandrus, D.G.; Merlin, R.; Yao, W.; Xu, X.D. Phonon-assisted oscillatory exciton dynamics in monolayer MoSe2. Npj 2D Mater. Appl. 2017, 1, 33. [Google Scholar] [CrossRef]
- Chakraborty, B.; Matte, H.S.S.R.; Sood, A.K.; Rao, C.N.R. Layer-dependent resonant Raman scattering of a few layer MoS2. J. Raman Spectrosc. 2012, 44, 92–96. [Google Scholar] [CrossRef]
- Soubelet, P.; Bruchhausen, A.E.; Fainstein, A.; Nogajewski, K.; Faugeras, C. Resonance effects in the Raman scattering of monolayer and few-layer MoSe2. Phys. Rev. B 2016, 93, 155407. [Google Scholar] [CrossRef]
- Lee, J.-U.; Kim, K.; Cheong, H. Resonant Raman and photoluminescence spectra of suspended molybdenum disulfide. 2D Mater. 2015, 2, 044003. [Google Scholar] [CrossRef]
- Bhatnagar, M.; Woźniak, T.; Kipczak, L.; Zawadzka, N.; Olkowska-Pucko, K.; Grzeszczyk, M.; Pawłowski, J.; Watanabe, K.; Taniguchi, T.; Babiński, A.; et al. Temperature induced modulation of resonant Raman scattering in bilayer 2H-MoS2. Sci. Rep. 2022, 12, 14169. [Google Scholar] [CrossRef]
- Kutrowska-Girzycka, J.; Jadczak, J.; Bryja, L. The study of dispersive ‘b’-mode in monolayer MoS2 in temperature dependent resonant Raman scattering experiments. Solid State Commun. 2018, 275, 25–28. [Google Scholar] [CrossRef]
- Zobeiri, H.; Xu, S.; Yue, Y.A.; Zhang, Q.Y.; Xie, Y.S.; Wang, X.W. Effect of temperature on Raman intensity of nm-thick WS2: Combined effects of resonance Raman, optical properties, and interface optical interference. Nanoscale 2020, 12, 6064–6078. [Google Scholar] [CrossRef]
- Sekine, T.; Uchinokura, K.; Nakashizu, T.; Matsuura, E.; Yoshizaki, R. Dispersive Raman Mode of Layered Compound 2H-MoS2 under the Resonant Condition. J. Phys. Soc. Jpn. 1984, 53, 811–818. [Google Scholar] [CrossRef]
- Golasa, K.; Grzeszczyk, M.; Leszczynski, P.; Faugeras, C.; Nicolet, A.A.L.; Wysmolek, A.; Potemski, M.; Babinski, A. Multiphonon resonant Raman scattering in MoS2. Appl. Phys. Lett. 2014, 104, 092106. [Google Scholar] [CrossRef]
- Gołasa, K.; Grzeszczyk, M.; Bożek, R.; Leszczyński, P.; Wysmołek, A.; Potemski, M.; Babiński, A. Resonant Raman scattering in MoS2—From bulk to monolayer. Solid State Commun. 2014, 197, 53–56. [Google Scholar] [CrossRef]
- Na, W.; Kim, K.; Lee, J.U.; Cheong, H. Davydov splitting and polytypism in few-layer MoS2. 2D Mater. 2019, 6, 015004. [Google Scholar] [CrossRef]
- Shinde, N.B.; Eswaran, S.K. Davydov Splitting, Double-Resonance Raman Scattering, and Disorder-Induced Second-Order Processes in Chemical Vapor Deposited MoS2 Thin Films. J. Phys. Chem. Lett. 2021, 12, 6197–6202. [Google Scholar] [CrossRef]
- Grzeszczyk, M.; Golasa, K.; Molas, M.R.; Nogajewski, K.; Zinkiewicz, M.; Potemski, M.; Wysmolek, A.; Babinski, A. Raman scattering from the bulk inactive out-of-plane B2g(1) mode in few-layer MoTe2. Sci. Rep. 2018, 8, 17745. [Google Scholar] [CrossRef]
- Carvalho, B.R.; Wang, Y.X.; Mignuzzi, S.; Roy, D.; Terrones, M.; Fantini, C.; Crespi, V.H.; Malard, L.M.; Pimenta, M.A. Intervalley scattering by acoustic phonons in two-dimensional MoS2 revealed by double-resonance Raman spectroscopy. Nat. Commun. 2017, 8, 14670. [Google Scholar] [CrossRef]
- Livneh, T.; Spanier, J.E. A comprehensive multiphonon spectral analysis in MoS2. 2D Mater. 2015, 2, 035003. [Google Scholar] [CrossRef]
- Livneh, T.; Sterer, E. Resonant Raman scattering at exciton states tuned by pressure and temperature in 2H-MoS2. Phys. Rev. B 2010, 81, 195209. [Google Scholar] [CrossRef]
- Bandaru, N.; Kumar, R.S.; Sneed, D.; Tschauner, O.; Baker, J.; Antonio, D.; Luo, S.-N.; Hartmann, T.; Zhao, Y.S.; Venkat, R. Effect of Pressure and Temperature on Structural Stability of MoS2. J. Phys. Chem. C 2014, 118, 3230–3235. [Google Scholar] [CrossRef]
- Jiang, J.J.; Li, H.P.; Dai, L.D.; Hu, H.Y.; Zhao, C.S. Raman scattering of 2H-MoS2 at simultaneous high temperature and high pressure (up to 600 K and 18.5 GPa). AIP Adv. 2016, 6, 035214. [Google Scholar] [CrossRef]
- Li, F.F.; Yan, Y.L.; Han, B.; Li, L.; Huang, X.L.; Yao, M.G.; Gong, Y.B.; Jin, X.L.; Liu, B.L.; Zhu, C.R.; et al. Pressure confinement effect in MoS2 monolayers. Nanoscale 2015, 7, 9075–9082. [Google Scholar] [CrossRef]
- Yan, Y.L.; Li, F.F.; Gong, Y.B.; Yao, M.G.; Huang, X.L.; Fu, X.P.; Han, B.; Zhou, Q.; Cui, T. Interlayer Coupling Affected Structural Stability in Ultrathin MoS2: An Investigation by High Pressure Raman Spectroscopy. J. Phys. Chem. C 2016, 120, 24992–24998. [Google Scholar] [CrossRef]
- Cheng, X.R.; Li, Y.Y.; Shang, J.M.; Hu, C.S.; Ren, Y.F.; Liu, M.; Qi, Z.M. Thickness-dependent phase transition and optical behavior of MoS2 films under high pressure. Nano Res. 2017, 11, 855–863. [Google Scholar] [CrossRef]
- Shen, P.F.; Li, Q.J.; Zhang, H.F.; Liu, R.; Liu, B.; Yang, X.G.; Dong, Q.; Cui, T.; Liu, B.B. Raman and IR spectroscopic characterization of molybdenum disulfide under under quasi-hydrostatic and non-hydrostatic conditions. Phys. Status Solidi B 2017, 254, 1600798. [Google Scholar] [CrossRef]
- Chi, Z.-H.; Zhao, X.-M.; Zhang, H.; Goncharov, A.F.; Lobanov, S.S.; Kagayama, T.; Sakata, M.; Chen, X.-J. Pressure-Induced Metallization of Molybdenum Disulfide. Phys. Rev. Lett. 2014, 113, 036802. [Google Scholar] [CrossRef]
- Zhuang, Y.K.; Dai, L.D.; Wu, L.; Li, H.P.; Hu, H.Y.; Liu, K.X.; Yang, L.F.; Pu, C. Pressure-induced permanent metallization with reversible structural transition in molybdenum disulfide. Appl. Phys. Lett. 2017, 110, 122103. [Google Scholar] [CrossRef]
- Nayak, A.P.; Pandey, T.; Voiry, D.; Liu, J.; Moran, S.T.; Sharma, A.; Tan, C.; Chen, C.-H.; Li, L.-J.; Chhowalla, M.; et al. Pressure-Dependent Optical and Vibrational Properties of Monolayer Molybdenum Disulfide. Nano Lett. 2014, 15, 346–353. [Google Scholar] [CrossRef]
- Staiger, M.; Rafailov, P.; Gartsman, K.; Telg, H.; Krause, M.; Radovsky, G.; Zak, A.; Thomsen, C. Excitonic resonances in WS2 nanotubes. Phys. Rev. B 2012, 86, 165423. [Google Scholar] [CrossRef]
- O’neal, K.R.; Cherian, J.G.; Zak, A.; Tenne, R.; Liu, Z.; Musfeldt, J.L. High Pressure Vibrational Properties of WS2 Nanotubes. Nano Lett. 2016, 16, 993–999. [Google Scholar] [CrossRef]
- Nayak, A.P.; Yuan, Z.; Cao, B.X.; Liu, J.; Wu, J.J.; Moran, S.T.; Li, T.S.; Akinwande, D.; Jin, C.Q.; Lin, J.F. Pressure-Modulated Conductivity, Carrier Density, and Mobility of Multi layered Tungsten Disulfide. Acs Nano 2015, 9, 9117–9123. [Google Scholar] [CrossRef]
- Kim, J.S.; Moran, S.T.; Nayak, A.P.; Pedahzur, S.; Ruiz, I.; Ponce, G.; Rodriguez, D.; Henny, J.; Liu, J.; Lin, J.F.; et al. High pressure Raman study of layered Mo0.5W0.5S2 ternary compound. 2D Mater. 2016, 3, 025003. [Google Scholar] [CrossRef]
- Fan, W.; Zhu, X.; Ke, F.; Chen, Y.B.; Dong, K.C.; Ji, J.; Chen, B.; Tongay, S.; Ager, J.W.; Liu, K.; et al. Vibrational spectrum renormalization by enforced coupling across the van der Waals gap between MoS2 and WS2 monolayers. Phys. Rev. B 2015, 92, 241408. [Google Scholar] [CrossRef]
- Livneh, T.; Reparaz, J.S.; Goni, A.R. Low-temperature resonant Raman asymmetry in 2H-MoS2 under high pressure. J. Phys-Condens. Mat. 2017, 29, 435702. [Google Scholar] [CrossRef] [PubMed]
- Cao, Z.Y.; Hu, J.W.; Goncharov, A.F.; Chen, X.J. Nontrivial metallic state of MoS2. Phys. Rev. B 2018, 97, 214519. [Google Scholar] [CrossRef]
- Caramazza, S.; Capitani, F.; Marini, C.; Mancini, A.; Malavasi, L.; Dore, P.; Postorino, P. Effect of pressure on optical properties of the transition metal dichalcogenide MoSe2. J. Physics Conf. Ser. 2017, 950, 042012. [Google Scholar] [CrossRef]
- Yang, L.F.; Dai, L.D.; Li, H.P.; Hu, H.Y.; Liu, K.X.; Pu, C.; Hong, M.L.; Liu, P.F. Pressure-induced metallization in MoSe2 under different pressure conditions. RSC Adv. 2019, 9, 5794–5803. [Google Scholar] [CrossRef]
- Bhatt, S.V.; Deshpande, M.P.; Sathe, V.; Rao, R.; Chaki, S.H. Raman spectroscopic investigations on transition-metal dichalcogenides MX2 (M = Mo, W.; X = S, Se) at high pressures and low temperature. J. Raman Spectrosc. 2014, 45, 971–979. [Google Scholar] [CrossRef]
- Saha, P.; Ghosh, B.; Mazumder, A.; Mukherjee, G.D. High pressure anomalies in exfoliated MoSe2: Resonance Raman and X-ray diffraction studies. Mater. Res. Express 2020, 7, 025902. [Google Scholar] [CrossRef]
- Bera, A.; Singh, A.; Sorb, Y.A.; Jenjeti, R.N.; Muthu, D.V.S.; Sampath, S.; Narayana, C.; Waghmare, U.V.; Sood, A.K. Chemical ordering and pressure-induced isostructural and electronic transitions in MoSSe crystal. Phys. Rev. B 2020, 102, 014103. [Google Scholar] [CrossRef]
- Ruppert, C.; Aslan, O.B.; Heinz, T.F. Optical Properties and Band Gap of Single- and Few-Layer MoTe2 Crystals. Nano Lett. 2014, 14, 6231–6236. [Google Scholar] [CrossRef] [PubMed]
- Lin, Y.-F.; Xu, Y.; Wang, S.-T.; Li, S.-L.; Yamamoto, M.; Aparecido-Ferreira, A.; Li, W.W.; Sun, H.B.; Nakaharai, S.; Jian, W.-B.; et al. Ambipolar MoTe2Transistors and Their Applications in Logic Circuits. Adv. Mater. 2014, 26, 3263–3269. [Google Scholar] [CrossRef]
- Bera, A.; Singh, A.; Muthu, D.V.S.; Waghmare, U.V.; Sood, A.K. Pressure-dependent semiconductor to semimetal and Lifshitz transitions in 2H-MoTe2: Raman and first-principles studies. J. Phys. Condens. Mat. 2017, 29, 105403. [Google Scholar] [CrossRef]
- Zhao, X.M.; Liu, H.Y.; Goncharov, A.F.; Zhao, Z.W.; Struzhkin, V.V.; Mao, H.K.; Gavriliuk, A.G.; Chen, X.J. Pressure effect on the electronic, structural, and vibrational properties of layered 2H-MoTe2. Phys. Rev. B 2019, 99, 024111. [Google Scholar] [CrossRef]
- Lu, P.C.; Kim, J.S.; Yang, J.; Gao, H.; Wu, J.F.; Shao, D.X.; Li, B.; Zhou, D.W.; Sun, J.; Akinwande, D.; et al. Origin of superconductivity in the Weyl semimetal WTe2 under pressure. Phys. Rev. B 2016, 94, 224512. [Google Scholar] [CrossRef]
- Zhou, Y.H.; Chen, X.L.; Li, N.N.; Zhang, R.R.; Wang, X.F.; An, C.; Zhou, Y.; Pan, X.C.; Song, F.Q.; Wang, B.G.; et al. Pressure-induced Td to 1T′ structural phase transition in WTe2. AIP Adv. 2016, 6, 075008. [Google Scholar] [CrossRef]
- Xia, J.; Li, D.-F.; Zhou, J.-D.; Yu, P.; Lin, J.-H.; Kuo, J.-L.; Li, H.-B.; Liu, Z.; Yan, J.-X.; Shen, Z.-X. Pressure-Induced Phase Transition in Weyl Semimetallic WTe2. Small 2017, 13, 1701887. [Google Scholar] [CrossRef] [PubMed]
- Ji, J.T.; Zhang, A.M.; Fan, J.H.; Li, Y.S.; Wang, X.Q.; Zhang, J.D.; Plummer, E.W.; Zhang, Q.M. Giant magneto-optical Raman effect in a layered transition metal compound. Proc. Natl. Acad. Sci. USA 2016, 113, 2349–2353. [Google Scholar] [CrossRef]
- Du, L.J.; Jia, Z.Y.; Zhang, Q.; Zhang, A.M.; Zhang, T.T.; He, R.; Yang, R.; Shi, D.X.; Yao, Y.G.; Xiang, J.Y.; et al. Electronic structure-dependent magneto-optical Raman effect in atomically thin WS2. 2D Mater. 2018, 5, 035028. [Google Scholar] [CrossRef]
- Yang, Y.; Liu, W.G.; Lin, Z.T.; Pan, R.H.; Gu, C.Z.; Li, J.J. Plasmonic hybrids of two-dimensional transition metal dichalcogenides and nanoscale metals: Architectures, enhanced optical properties and devices. Mater. Today Phys. 2021, 17, 100343. [Google Scholar] [CrossRef]
- Liu, W.G.; Lin, Z.T.; Tian, S.B.; Huang, Y.; Xue, H.Q.; Zhu, K.; Gu, C.Z.; Yang, Y.; Li, J.J. Plasmonic Effect on the Magneto-Optical Property of Monolayer WS2 Studied by Polarized-Raman Spectroscopy. Appl. Sci. 2021, 11, 1599. [Google Scholar] [CrossRef]
- Yang, Y.; Liu, W.G.; Lin, Z.T.; Zhu, K.; Tian, S.B.; Huang, Y.; Gu, C.Z.; Li, J.J. Micro-Defects in Monolayer MoS2 Studied by Low-Temperature Magneto-Raman Mapping. J. Phys. Chem. C 2020, 124, 17418–17422. [Google Scholar] [CrossRef]
- Wan, Y.; Cheng, X.; Li, Y.F.; Wang, Y.Q.; Du, Y.P.; Zhao, Y.B.; Peng, B.; Dai, L.; Kan, E.J. Manipulating the Raman scattering rotation via magnetic field in an MoS2 monolayer. RSC Adv. 2021, 11, 4035–4041. [Google Scholar] [CrossRef]
- Chhowalla, M.; Shin, H.S.; Eda, G.; Li, L.-J.; Loh, K.P.; Zhang, H. The chemistry of two-dimensional layered transition metal dichalcogenide nanosheets. Nat. Chem. 2013, 5, 263–275. [Google Scholar] [CrossRef]
- Hudl, M.; Lazor, P.; Mathieu, R.; Gavriliuk, A.G.; Struzhkin, V.V. PPMS-based set-up for Raman and luminescence spectroscopy at high magnetic field, high pressure and low temperature. EPJ Tech. Instrum. 2015, 2, 3. [Google Scholar] [CrossRef]
- Drapcho, S.G.; Kim, J.; Hong, X.P.; Jin, C.H.; Shi, S.F.; Tongay, S.; Wu, J.Q.; Wang, F. Apparent breakdown of Raman selection rule at valley exciton resonances in monolayer MoS2. Phys. Rev. B 2017, 95, 165417. [Google Scholar] [CrossRef]
- Kim, J.; Lee, J.-U.; Cheong, H. Polarized Raman spectroscopy for studying two-dimensional materials. J. Phys. Condens. Matter 2020, 32, 343001. [Google Scholar] [CrossRef] [PubMed]
- Cao, T.; Wang, G.; Han, W.P.; Ye, H.Q.; Zhu, C.R.; Shi, J.R.; Niu, Q.; Tan, P.H.; Wang, E.; Liu, B.L.; et al. Valley-selective circular dichroism of monolayer molybdenum disulphide. Nat. Commun. 2012, 3, 887. [Google Scholar] [CrossRef]
- Zhang, X.X.; You, Y.M.; Zhao, S.Y.F.; Heinz, T.F. Experimental Evidence for Dark Excitons in Monolayer WSe2. Phys. Rev. Lett. 2015, 115, 257403. [Google Scholar] [CrossRef] [PubMed]
- Golovynskyi, S.; Irfan, I.; Bosi, M.; Seravalli, L.; Datsenko, O.I.; Golovynska, I.; Li, B.K.; Lin, D.Y.; Qu, J.L. Exciton and trion in few-layer MoS2: Thickness- and temperature-dependent photoluminescence. Appl. Surf. Sci. 2020, 515, 146033. [Google Scholar] [CrossRef]
- Wang, Y.K.; Xie, Y.Z.; Dai, Y.Y.; Han, X.; Huang, Y.; Gao, Y.A. Intensive and broad bound exciton emission at cryogenic temperature in suspended monolayer transition metal dichalcogenides. Phys. Rev. Mater. 2022, 6, L111001. [Google Scholar] [CrossRef]
- Bao, C.H.; Tang, P.Z.; Sun, D.; Zhou, S.Y. Light-induced emergent phenomena in 2D materials and topological materials. Nat. Rev. Phys. 2022, 4, 33–48. [Google Scholar] [CrossRef]

Disclaimer/Publisher’s Note: The statements, opinions and data contained in all publications are solely those of the individual author(s) and contributor(s) and not of MDPI and/or the editor(s). MDPI and/or the editor(s) disclaim responsibility for any injury to people or property resulting from any ideas, methods, instructions or products referred to in the content. |
© 2023 by the authors. Licensee MDPI, Basel, Switzerland. This article is an open access article distributed under the terms and conditions of the Creative Commons Attribution (CC BY) license (https://creativecommons.org/licenses/by/4.0/).
Share and Cite
Yang, Y.; Han, Y.; Li, R. Raman Studies of Two-Dimensional Group-VI Transition Metal Dichalcogenides under Extreme Conditions. Crystals 2023, 13, 929. https://doi.org/10.3390/cryst13060929
Yang Y, Han Y, Li R. Raman Studies of Two-Dimensional Group-VI Transition Metal Dichalcogenides under Extreme Conditions. Crystals. 2023; 13(6):929. https://doi.org/10.3390/cryst13060929
Chicago/Turabian StyleYang, Yang, Yongping Han, and Renfei Li. 2023. "Raman Studies of Two-Dimensional Group-VI Transition Metal Dichalcogenides under Extreme Conditions" Crystals 13, no. 6: 929. https://doi.org/10.3390/cryst13060929
APA StyleYang, Y., Han, Y., & Li, R. (2023). Raman Studies of Two-Dimensional Group-VI Transition Metal Dichalcogenides under Extreme Conditions. Crystals, 13(6), 929. https://doi.org/10.3390/cryst13060929

