Effect of Cu2Te Back Surface Interfacial Layer on Cadmium Telluride Thin Film Solar Cell Performance from Numerical Analysis
Abstract
1. Introduction
2. Methodology
3. Results and Discussion
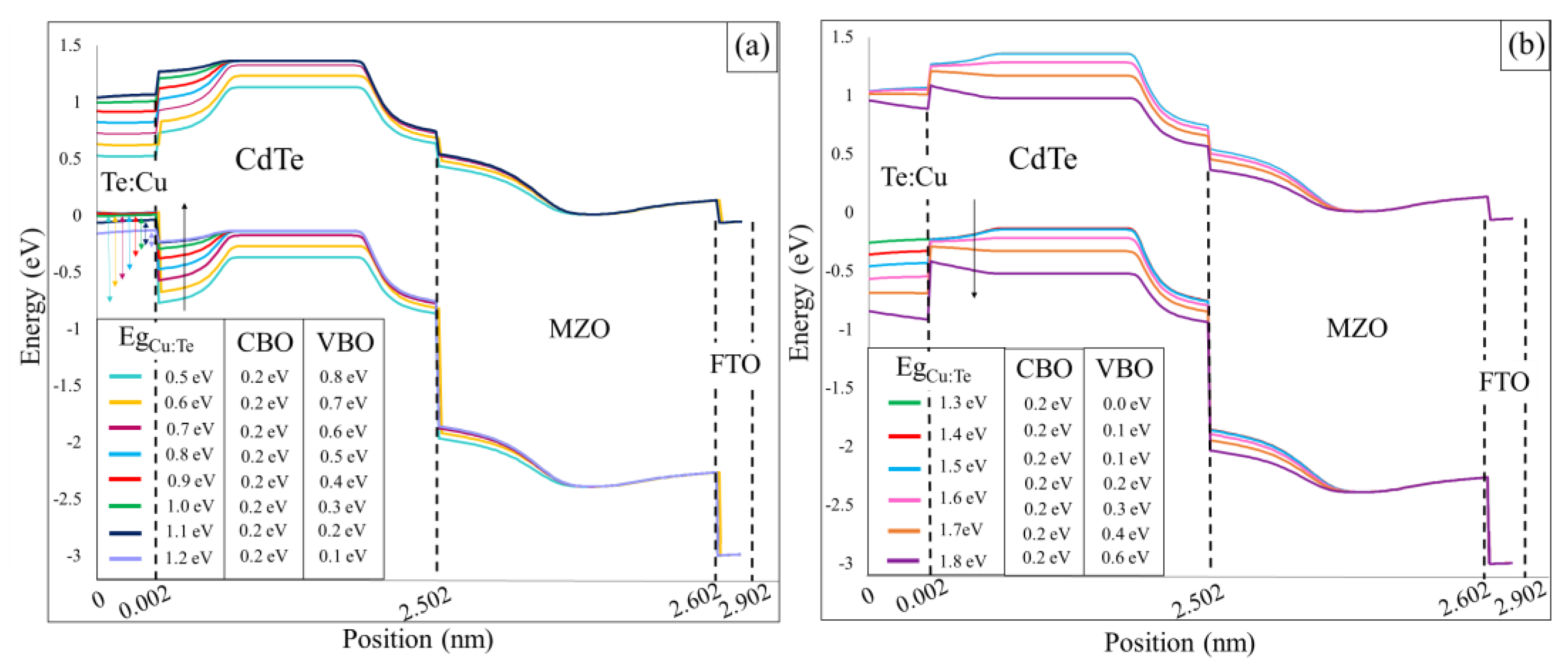
3.1. Effect of Te:Cu Band Offset on the Performance of CdTe Thin Films
3.2. Spectral Response Analysis
3.3. Effect of Acceptor Concentration and Operational Temperature of CdTe Solar Cell
3.4. Effect of CdTe Bandgap Energy and Acceptor Concentration
4. Conclusions
Author Contributions
Funding
Institutional Review Board Statement
Informed Consent Statement
Data Availability Statement
Acknowledgments
Conflicts of Interest
References
- Green, M.; Dunlop, E.; Hohl-Ebinger, J.; Yoshita, M.; Kopidakis, N.; Hao, X. Solar cell efficiency tables (version 57). Prog. Photovolt. Res. Appl. 2021, 29, 3–15. [Google Scholar] [CrossRef]
- Benick, J.; Richter, A.; Müller, R.; Hauser, H.; Feldmann, F.; Krenckel, P.; Riepe, S.; Schindler, F.; Schubert, M.C.; Hermle, M. High-efficiency n-type HP mc silicon solar cells. IEEE J. Photovolt. 2017, 7, 1171–1175. [Google Scholar] [CrossRef]
- Kovachov, S.; Bohdanov, I.; Karipbayev, Z.; Suchikova, Y.; Tsebriienko, T.; Popov, A.I. Layer-by-Layer Synthesis and Analysis of the the Phase Composition of CdxTeyOz/CdS/por-ZnO/ZnO Heterostructure. In Proceedings of the 2022 IEEE 3rd KhPI Week on Advanced Technology (KhPIWeek), Kharkiv, Ukraine, 3–7 October 2022; pp. 1–6. [Google Scholar]
- Heredia-Cancino, J.; Mendoza-Peña, K.; Higuera-Valenzuela, H.; Soto B., M.A.; Ochoa-Landín, R.; Castillo, S.J. Synthesis Optimization of Cadmium Carbonate Films as Potential Precursor to Produce CdSe, CdTe, and CdO Films. Coatings 2022, 12, 1691. [Google Scholar] [CrossRef]
- Balakhayeva, R.; Akilbekov, A.; Baimukhanov, Z.; Giniyatova, S.; Zdorovets, M.; Gorin, Y.; Popov, A.; Dauletbekova, A.J.S.; Technology, C. Structure properties of CdTe nanocrystals created in SiO2/Si ion track templates. Surf. Coat. Technol. 2020, 401, 126269. [Google Scholar] [CrossRef]
- Fiducia, T.; Howkins, A.; Abbas, A.; Mendis, B.; Munshi, A.; Barth, K.; Sampath, W.; Walls, J. Selenium passivates grain boundaries in alloyed CdTe solar cells. Sol. Energy Mater. Sol. Cells 2022, 238, 111595. [Google Scholar] [CrossRef]
- Seck, S.M.; Ndiaye, E.N.; Fall, M.; Charvet, S. Study of Efficiencies CdTe/CdS Photovoltaic Solar Cell According to Electrical Properties by Scaps Simulation. Nat. Resour. 2020, 11, 147–155. [Google Scholar] [CrossRef]
- Ščajev, P.; Miasojedovas, S.; Mekys, A.; Kuciauskas, D.; Lynn, K.G.; Swain, S.K.; Jarašiūnas, K. Excitation-dependent carrier lifetime and diffusion length in bulk CdTe determined by time-resolved optical pump-probe techniques. J. Appl. Phys. 2018, 123, 025704. [Google Scholar] [CrossRef]
- Houshmand, M.; Zandi, M.H.; Gorji, N.E. SCAPS modeling for degradation of ultrathin CdTe Films: Materials interdiffusion. JOM 2015, 67, 2062–2070. [Google Scholar] [CrossRef]
- Fang, Z.; Wang, X.C.; Wu, H.C.; Zhao, C.Z. Achievements and challenges of CdS/CdTe solar cells. Int. J. Photoenergy 2011, 2011, 297350. [Google Scholar] [CrossRef]
- Siepchen, B.; Späth, B.; Drost, C.; Krishnakumar, V.; Kraft, C.; Winkler, M.; König, J.; Bartholomé, K.; Peng, S. A Simple Sb 2 Te 3 Back-Contact Process for CdTe Solar Cells. J. Electron. Mater. 2015, 44, 3354–3359. [Google Scholar] [CrossRef]
- Yang, R.; Wang, D.; Jeng, M.; Ho, K.; Wang, D. Stable CdTe thin film solar cells with a MoOx back-contact buffer layer. Prog. Photovolt. Res. Appl. 2016, 24, 59–65. [Google Scholar] [CrossRef]
- Zhang, M.-J.; Lin, Q.; Yang, X.; Mei, Z.; Liang, J.; Lin, Y.; Pan, F. Novel p-type conductive semiconductor nanocrystalline film as the back electrode for high-performance thin film solar cells. Nano Lett. 2016, 16, 1218–1223. [Google Scholar] [CrossRef] [PubMed]
- Weng, Z.; Ma, S.; Zhu, H.; Ye, Z.; Shu, T.; Zhou, J.; Wu, X.; Wu, H. CdTe thin film solar cells with a SnTe buffer layer in back contact. Sol. Energy Mater. Sol. Cells 2018, 179, 276–282. [Google Scholar] [CrossRef]
- Ferekides, C.; Balasubramanian, U.; Mamazza, R.; Viswanathan, V.; Zhao, H.; Morel, D. CdTe thin film solar cells: Device and technology issues. Sol. Energy 2004, 77, 823–830. [Google Scholar] [CrossRef]
- Song, H.; Wu, X.; Zheng, J.; Yan, Q. Study of CuxTe polycrystalline thin films for CdTe solar cells. In Proceedings of the 2010 Asia-Pacific Power and Energy Engineering Conference, Chengdu, China, 28–31 March 2010; pp. 1–4. [Google Scholar]
- Salmón-Gamboa, J.; Barajas-Aguilar, A.; Ruiz-Ortega, L.; Garay-Tapia, A.; Jiménez-Sandoval, S. Vibrational and electrical properties of Cu2−xTe films: Experimental data and first principle calculations. Sci. Rep. 2018, 8, 8093. [Google Scholar] [CrossRef]
- Li, D.-B.; Bista, S.S.; Awni, R.A.; Subedi, K.K.; Shrestha, N.; Neupane, S.; Jamarkattel, M.K.; Song, Z.; Ellingson, R.J.; Yan, Y. Fabricating Efficient CdTe Solar Cells: The Effect of Cu Precursor. In Proceedings of the 2021 IEEE 48th Photovoltaic Specialists Conference (PVSC), Fort Lauderdale, FL, USA, 20–25 June 2021; pp. 2200–2203. [Google Scholar]
- Gretener, C.; Perrenoud, J.; Kranz, L.; Cheah, E.; Dietrich, M.; Buecheler, S.; Tiwari, A. New perspective on the performance stability of CdTe solar cells. Sol. Energy Mater. Sol. Cells 2016, 146, 51–57. [Google Scholar] [CrossRef]
- Perrenoud, J.; Kranz, L.; Gretener, C.; Pianezzi, F.; Nishiwaki, S.; Buecheler, S.; Tiwari, A. A comprehensive picture of Cu doping in CdTe solar cells. J. Appl. Phys. 2013, 114, 174505. [Google Scholar] [CrossRef]
- Guo, D.; Fang, T.; Moore, A.; Brinkman, D.; Akis, R.; Krasikov, D.; Sankin, I.; Ringhofer, C.; Vasileska, D. Numerical simulation of copper migration in single crystal CdTe. IEEE J. Photovolt. 2016, 6, 1286–1291. [Google Scholar] [CrossRef]
- Aris, K.A.; Rahman, K.S.; Enam, F.T.; Kamaruzzaman, M.I.B.; Yahya, I.B.; Amin, N. An investigation on copper doping to CdTe absorber layers in CdTe thin film solar cells. In Proceedings of the 2016 International Conference on Advances in Electrical, Electronic and Systems Engineering (ICAEES), Putrajaya, Malaysia, 14–16 November 2016; pp. 405–408. [Google Scholar]
- Hadjab, M.; Wagner, J.-M.; Bouzid, F.; Boudour, S.; Hadj Larbi, A.; Bennacer, H.; Ziane, M.I.; Saeed, M.; Abid, H.; Berrah, S.; et al. A numerical optimization study of CdS and Mg0. 125Zn0. 875O buffer layers in CIGS-based solar cells using wx AMPS-1D package. Int. J. Model. Simul. 2022, 42, 179–191. [Google Scholar] [CrossRef]
- Kowsar, A.; Billah, M.; Dey, S.; Debnath, S.C.; Yeakin, S.; Farhad, S.F.U. Comparative Study on Solar Cell Simulators. In Proceedings of the 2019 2nd International Conference on Innovation in Engineering and Technology (ICIET), Dhaka, Bangladesh, 23–24 December 2019; pp. 1–6. [Google Scholar]
- Burgelman, M.; Nollet, P.; Degrave, S. Modelling polycrystalline semiconductor solar cells. Thin Solid Film. 2000, 361, 527–532. [Google Scholar] [CrossRef]
- Kranz, L.; Gretener, C.; Perrenoud, J.; Schmitt, R.; Pianezzi, F.; La Mattina, F.; Blösch, P.; Cheah, E.; Chirilă, A.; Fella, C.M. Doping of polycrystalline CdTe for high-efficiency solar cells on flexible metal foil. Nat. Commun. 2013, 4, 2306. [Google Scholar] [CrossRef] [PubMed]
- Bista, S.S.; Li, D.-B.; Awni, R.A.; Song, Z.; Subedi, K.K.; Shrestha, N.; Rijal, S.; Neupane, S.; Grice, C.R.; Phillips, A.B. Effects of Cu Precursor on the Performance of Efficient CdTe Solar Cells. ACS Appl. Mater. Interfaces 2021, 13, 38432–38440. [Google Scholar] [CrossRef] [PubMed]
- Liyanage, G.K.; Phillips, A.B.; Alfadhili, F.K.; Ellingson, R.J.; Heben, M.J. The role of back buffer layers and absorber properties for >25% efficient CdTe solar cells. ACS Appl. Energy Mater. 2019, 2, 5419–5426. [Google Scholar] [CrossRef]
- Teyou Ngoupo, A.; Ouédraogo, S.; Ndjaka, J.M. Numerical analysis of interface properties effects in CdTe/CdS: O thin film solar cell by SCAPS-1D. Indian J. Phys. 2019, 93, 869–881. [Google Scholar] [CrossRef]
- Munshi, A.H.; Kephart, J.M.; Abbas, A.; Shimpi, T.M.; Barth, K.L.; Walls, J.M.; Sampath, W.S. Polycrystalline CdTe photovoltaics with efficiency over 18% through improved absorber passivation and current collection. Sol. Energy Mater. Sol. Cells 2018, 176, 9–18. [Google Scholar] [CrossRef]
- Al-Luhaiby, A.K. Studying the effect of temperature and resistances of series (Rs) and parallel (Rsh) on the performance of the solar cell (FTO/Zn2SnO4/CdS: O/CdTe/Cu2Te) using the SCAPS-1D program. J. Educ. Sci. 2022, 31, 49–66. [Google Scholar] [CrossRef]
- Good, B.; Colegrove, E.; Reese, M.O.; Cells, S. Effects of absorber near-interface compensation on Cd (Se, Te) solar cell performance. Sol. Energy Mater. Sol. Cells 2022, 246, 111928. [Google Scholar] [CrossRef]
- Zyoud, S.H.; Zyoud, A.H.; Ahmed, N.M.; Prasad, A.R.; Khan, S.N.; Abdelkader, A.F.; Shahwan, M. Numerical modeling of high conversion efficiency FTO/ZnO/CdS/CZTS/MO thin film-based solar cells: Using SCAPS-1D software. Crystals 2021, 11, 1468. [Google Scholar] [CrossRef]
- Matin, M.; Tomal, M.; Robin, A. Copper telluride as a nobel BSF material for high performance ultra thin CdTe PV cell. In Proceedings of the 2013 International Conference on Informatics, Electronics and Vision (ICIEV), Dhaka, Bangladesh, 17–18 May 2013; pp. 1–5. [Google Scholar]
- Guo, D.; Akis, R.; Brinkman, D.; Moore, A.; Fang, T.; Sankin, I.; Vasileska, D.; Ringhofer, C. Cu migration and its impact on the metastable behavior of CdTe solar cells. In Proceedings of the 2015 IEEE 42nd Photovoltaic Specialist Conference (PVSC), New Orleans, LA, USA, 14–19 June 2015; pp. 1–5. [Google Scholar]
- Arellano-Tanori, O.; Acosta-Enríquez, M.; Ochoa-Landin, R.; Iniguez-Palomares, R.; Mendivil-Reynoso, T.; Flores-Acosta, M.; Castillo, S. Copper-selenide and copper-telluride composites powders sintetized by ionic exchange. Chalcogenide Lett 2014, 11, 13–19. [Google Scholar]
- Hossain, M.; Rahman, K.; Islam, M.; Akhtaruzzaman, M.; Misran, H.; Alghoul, M.; Amin, N. Growth optimization of ZnxCd1-xS films on ITO and FTO coated glass for alternative buffer application in CdTe thin film solar cells. Opt. Mater. 2018, 86, 270–277. [Google Scholar] [CrossRef]
- Hsiao, K.-J. Energy-band barrier to improve open-circuit voltage of CdTe solar cells. Sol. Energy Mater. Sol. Cells 2014, 120, 647–653. [Google Scholar] [CrossRef]
- Gretener, C.; Perrenoud, J.; Kranz, L.; Kneer, L.; Schmitt, R.; Buecheler, S.; Tiwari, A.N. CdTe/CdS thin film solar cells grown in substrate configuration. Prog. Photovolt. Res. Appl. 2013, 21, 1580–1586. [Google Scholar] [CrossRef]
- Wang, T.; Ren, S.; Li, C.; Li, W.; Liu, C.; Zhang, J.; Wu, L.; Li, B.; Zeng, G. Exploring window buffer layer technology to enhance CdTe solar cell performance. Sol. Energy 2018, 164, 180–186. [Google Scholar] [CrossRef]
- Kim, S.; Jeon, J.; Suh, J.; Hong, J.; Kim, T.; Kim, K.; Cho, S. Comparative study of Cu2Te and Cu back contact in CdS/CdTe solar cell. J. Korean Phys. Soc. 2018, 72, 780–785. [Google Scholar] [CrossRef]
- Luo, G.; Yang, D.; Guo, X.; Yang, Y.; Luo, S.; Zhang, J.; Long, M.; Xiang, L.; Li, Q.; Wang, T. Quasi-ohmic contact formation assisted by the back contact with Cu2Te nanoparticles@ reduced graphene oxide composites for highly efficient CdTe solar cells. J. Alloys Compd. 2022, 921, 166100. [Google Scholar] [CrossRef]
- Kuciauskas, D.; Dippo, P.; Kanevce, A.; Zhao, Z.; Cheng, L.; Los, A.; Gloeckler, M.; Metzger, W.K. The impact of Cu on recombination in high voltage CdTe solar cells. Appl. Phys. Lett. 2015, 107, 243906. [Google Scholar] [CrossRef]
- Allam, Z.; Boudaoud, C.; Soufi, A.; Bouchachia, B. Performance Parameters of CdTe/CdS Solar Cell with Deferent Contact Schottky. In Artificial Intelligence and Heuristics for Smart Energy Efficiency in Smart Cities: Case Study: Tipasa, Algeria; Springer International Publishing: Berlin/Heidelberg, Germany, 2022; pp. 769–778. [Google Scholar]
- Li, S.; Chen, F.; Schafranek, R.; Bayer, T.J.; Rachut, K.; Fuchs, A.; Siol, S.; Weidner, M.; Hohmann, M.; Pfeifer, V.J. Intrinsic energy band alignment of functional oxides. Phys. Status Solidi (RRL) Rapid Res. Lett. 2014, 8, 571–576. [Google Scholar] [CrossRef]
- Dzade, N. First-principles insights into the electronic structure, optical and band alignment properties of earth-abundant Cu2SrSnS4 solar absorber. Sci. Rep. 2021, 11, 4755. [Google Scholar] [CrossRef]
- Rimmaudo, I.; Salavei, A.; Rossi, F.; Buffagni, E.; Ferrari, C.; Giarola, M.; Mariotto, G.; Romeo, A. Study of the effect of absorber etching on the back contact performance of CdTe solar cells. In Proceedings of the 28th European Photovoltaic Solar Energy Conference and Exhibition, Paris, France, 30 September–4 October 2013; pp. 2389–2392. [Google Scholar]
- Dobson, K.D.; Visoly-Fisher, I.; Hodes, G.; Cahen, D. Stability of CdTe/CdS thin-film solar cells. Sol. Energy Mater. Sol. Cells 2000, 62, 295–325. [Google Scholar] [CrossRef]
- Sirusi, A.A.; Ballikaya, S.; Chen, J.-H.; Uher, C.; Ross Jr, J.H. Band Ordering and Dynamics of Cu2–x Te and Cu1. 98Ag0. 2Te. J. Phys. Chem. C 2016, 120, 14549–14555. [Google Scholar] [CrossRef]
- Chongngam, P.; Tubtimtae, A. Structural, optical, and electrochemical characteristics of undoped and In3+-doped tin antimony sulfide thin films for device applications. J. Mater. Sci. Mater. Electron. 2023, 34, 71. [Google Scholar] [CrossRef]
- Chiristina, E.N.; Rahayu, S.U.; Tubtimtae, A.; Shi, J.-B.; Lee, M.-W. Rare-earth-incorporated ternary CexCd1−xS quantum dot-sensitized solar cells. RSC Adv. 2022, 12, 31093–31101. [Google Scholar] [CrossRef] [PubMed]
- Suwannakham, N.; Tubtimtae, A.; Wongrat, E. Structural, linear/non-linear optical, optoelectrical, and electrical properties of novel crystalline antimony-doped tin oxide thin films synthesized by the chemical deposition method. Phys. B Condens. Matter 2023, 649, 414440. [Google Scholar] [CrossRef]
- Li, J.V.; Halverson, A.F.; Sulima, O.V.; Bansal, S.; Burst, J.M.; Barnes, T.M.; Gessert, T.A.; Levi, D.H. Theoretical analysis of effects of deep level, back contact, and absorber thickness on capacitance–voltage profiling of CdTe thin-film solar cells. Sol. Energy Mater. Sol. Cells 2012, 100, 126–131. [Google Scholar] [CrossRef]
- Alfadhili, F.K.; Phillips, A.B.; Liyanage, G.K.; Gibbs, J.M.; Jamarkattel, M.K.; Heben, M.J. Controlling band alignment at the back interface of cadmium telluride solar cells using ZnTe and Te buffer layers. MRS Adv. 2019, 4, 913–919. [Google Scholar] [CrossRef]
- Hosen, A.; Al Ahmed, S.R. Performance analysis of SnS solar cell with a hole transport layer based on experimentally extracted device parameters. J. Alloy. Compd. 2022, 909, 164823. [Google Scholar] [CrossRef]
- Artegiani, E.; Major, J.D.; Shiel, H.; Dhanak, V.; Ferrari, C.; Romeo, A. How the amount of copper influences the formation and stability of defects in CdTe solar cells. Sol. Energy Mater. Soral Cells 2020, 204, 110228. [Google Scholar] [CrossRef]
- Ablekim, T.; Colegrove, E.; Metzger, W.K. Interface engineering for 25% CdTe solar cells. ACS Appl. Energy Mater. 2018, 1, 5135–5139. [Google Scholar] [CrossRef]
- Kanevce, A.; Gessert, T.A. Optimizing CdTe solar cell performance: Impact of variations in minority-carrier lifetime and carrier density profile. IEEE J. Photovolt. 2011, 1, 99–103. [Google Scholar] [CrossRef]
- Song, T.; Kanevce, A.; Sites, J.R. Emitter/absorber interface of CdTe solar cells. J. Appl. Phys. 2016, 119, 233104. [Google Scholar] [CrossRef]
- Kanevce, A.; Reese, M.O.; Barnes, T.; Jensen, S.; Metzger, W. The roles of carrier concentration and interface, bulk, and grain-boundary recombination for 25% efficient CdTe solar cells. J. Appl. Phys. 2017, 121, 214506. [Google Scholar] [CrossRef]
- Tinedert, I.; Pezzimenti, F.; Megherbi, M.; Saadoune, A. Design and simulation of a high efficiency CdS/CdTe solar cell. Optik 2020, 208, 164112. [Google Scholar] [CrossRef]
- Treharne, R.; Seymour-Pierce, A.; Durose, K.; Hutchings, K.; Roncallo, S.; Lane, D. Optical design and fabrication of fully sputtered CdTe/CdS solar cells. In Journal of Physics: Conference Series; IOP Publishing: Bristol, UK, 2011; p. 012038. [Google Scholar]
- Sameera, J.N.; Jhuma, F.A.; Rashid, M.J. Numerical approach to optimizing the doping concentration of the absorber layer to enhance the performance of a CdTe solar cell. Semicond. Sci. Technol. 2020, 36, 015022. [Google Scholar] [CrossRef]
- Singh, P.; Ravindra, N.M. Temperature dependence of solar cell performance—An analysis. Sol. Energy Mater. Sol. Cells 2012, 101, 36–45. [Google Scholar] [CrossRef]
- Pässler, R. Parameter sets due to fittings of the temperature dependencies of fundamental bandgaps in semiconductors. Phys. Status Solidi (b) 1999, 216, 975–1007. [Google Scholar] [CrossRef]
- Singh, P.; Singh, S.; Lal, M.; Husain, M. Temperature dependence of I–V characteristics and performance parameters of silicon solar cell. Sol. Energy Mater. Sol. Cells 2008, 92, 1611–1616. [Google Scholar] [CrossRef]
- Green, M.A. Solar cells: Operating principles, technology, and system applications. Englewood Cliffs 1982, 1, 274. [Google Scholar]
- Sze, S.M.; Li, Y.; Ng, K.K. Physics of Semiconductor Devices; John Wiley & Sons: Hoboken, NJ, USA, 2021. [Google Scholar]








| Parameters | Layer | |||
|---|---|---|---|---|
| FTO [31] | MZO [32] | CdTe [33] | Te:Cu [34,35] | |
| Thickness, W (nm) | 300 | 100 | (500–5000) | 2 |
| Bandgap, Eg (eV) | 3.5 | 3.6 | 1.4–1.5 | 1.1 |
| Electron affinity (eV) | 4.1 | 4.5 | 4.28 | 4.2 |
| Dielectric Permittivity (e/e0) | 10 | 10 | 9.4 | 10 |
| CB effective density of states (cm−3) | 2.2 × 1017 | 2.2 × 1017 | 8.0 × 1018 | 8.0 × 1018 |
| VB effective density of states (cm−3) | 1.8 × 1018 | 1.8 × 1018 | 1.8 × 1019 | 1.8 × 1019 |
| Electron thermal velocity (cm/s) | 1.0 × 107 | 1.0 × 107 | 1.0 × 107 | 1.0 × 107 |
| Hole thermal velocity (cm/s) | 1.0 × 107 | 1.0 × 107 | 1.0 × 107 | 1.0 × 107 |
| Electron mobility, µN (cm2/Vs) | 1.0 × 102 | 1.0 × 102 | 5.0 × 102 | 1.5 × 10 |
| Hole mobility, µP (cm2/Vs) | 75 | 25 | 60 | 10 |
| Shallow donor density ND (cm−3) | 1.0 × 1021 | 1.0 × 1018 | 1.0 × 107 | 1.0 × 107 |
| Shallow acceptor density NA (cm−3) | 1.0 × 107 | 1.0 × 107 | (1.0 × 1013 to 1.0 × 1016) | 1.0 × 1016 |
| Defect type | - | Acceptor | Neutral | - |
| Defect density (cm−3) | 0.6 | 0.6 | 0.6 | 0.6 |
| Device | A (EgCu:Te = 0.8 eV) | B (EgCu:Te = 1.2 eV) | C (EgCu:Te = 1.6 eV) | D (EgCu:Te = 1.8 eV) | |
|---|---|---|---|---|---|
| Parameters | |||||
| Voc (V) | 0.92 | 0.92 | 0.84 | 0.60 | |
| Jsc-JV (mA/cm2) | 26.14 | 26.15 | 26.17 | 26.51 | |
| FF (%) | 87.09 | 87.30 | 86.41 | 82.77 | |
| Eta (%) | 20.94 | 21.04 | 19.00 | 13.25 | |
| V_MPP (V) | 0.83 | 0.83 | 0.75 | 0.52 | |
| J_MPP (mA/cm2) | 25.31 | 25.34 | 25.31 | 25.35 | |
Disclaimer/Publisher’s Note: The statements, opinions and data contained in all publications are solely those of the individual author(s) and contributor(s) and not of MDPI and/or the editor(s). MDPI and/or the editor(s) disclaim responsibility for any injury to people or property resulting from any ideas, methods, instructions or products referred to in the content. |
© 2023 by the authors. Licensee MDPI, Basel, Switzerland. This article is an open access article distributed under the terms and conditions of the Creative Commons Attribution (CC BY) license (https://creativecommons.org/licenses/by/4.0/).
Share and Cite
Harif, M.N.; Doroody, C.; Nadzri, A.; Nisham Rosly, H.; Ahmad, N.I.; Isah, M.; Amin, N. Effect of Cu2Te Back Surface Interfacial Layer on Cadmium Telluride Thin Film Solar Cell Performance from Numerical Analysis. Crystals 2023, 13, 848. https://doi.org/10.3390/cryst13050848
Harif MN, Doroody C, Nadzri A, Nisham Rosly H, Ahmad NI, Isah M, Amin N. Effect of Cu2Te Back Surface Interfacial Layer on Cadmium Telluride Thin Film Solar Cell Performance from Numerical Analysis. Crystals. 2023; 13(5):848. https://doi.org/10.3390/cryst13050848
Chicago/Turabian StyleHarif, Muhammad Najib, Camellia Doroody, Allina Nadzri, Hasrul Nisham Rosly, Nur Irwany Ahmad, Mustapha Isah, and Nowshad Amin. 2023. "Effect of Cu2Te Back Surface Interfacial Layer on Cadmium Telluride Thin Film Solar Cell Performance from Numerical Analysis" Crystals 13, no. 5: 848. https://doi.org/10.3390/cryst13050848
APA StyleHarif, M. N., Doroody, C., Nadzri, A., Nisham Rosly, H., Ahmad, N. I., Isah, M., & Amin, N. (2023). Effect of Cu2Te Back Surface Interfacial Layer on Cadmium Telluride Thin Film Solar Cell Performance from Numerical Analysis. Crystals, 13(5), 848. https://doi.org/10.3390/cryst13050848

