Simulation Analysis of the Safety of High-Energy Hydroxyl-Terminated Polybutadiene (HTPB) Engine under the Impact of Fragments
Abstract
:1. Introduction
2. High-Energy HTPB Propellant Equation of the State Calibration Test
2.1. Cylinder Experiment
2.2. Lagrange Test
2.3. Test Results and Analysis
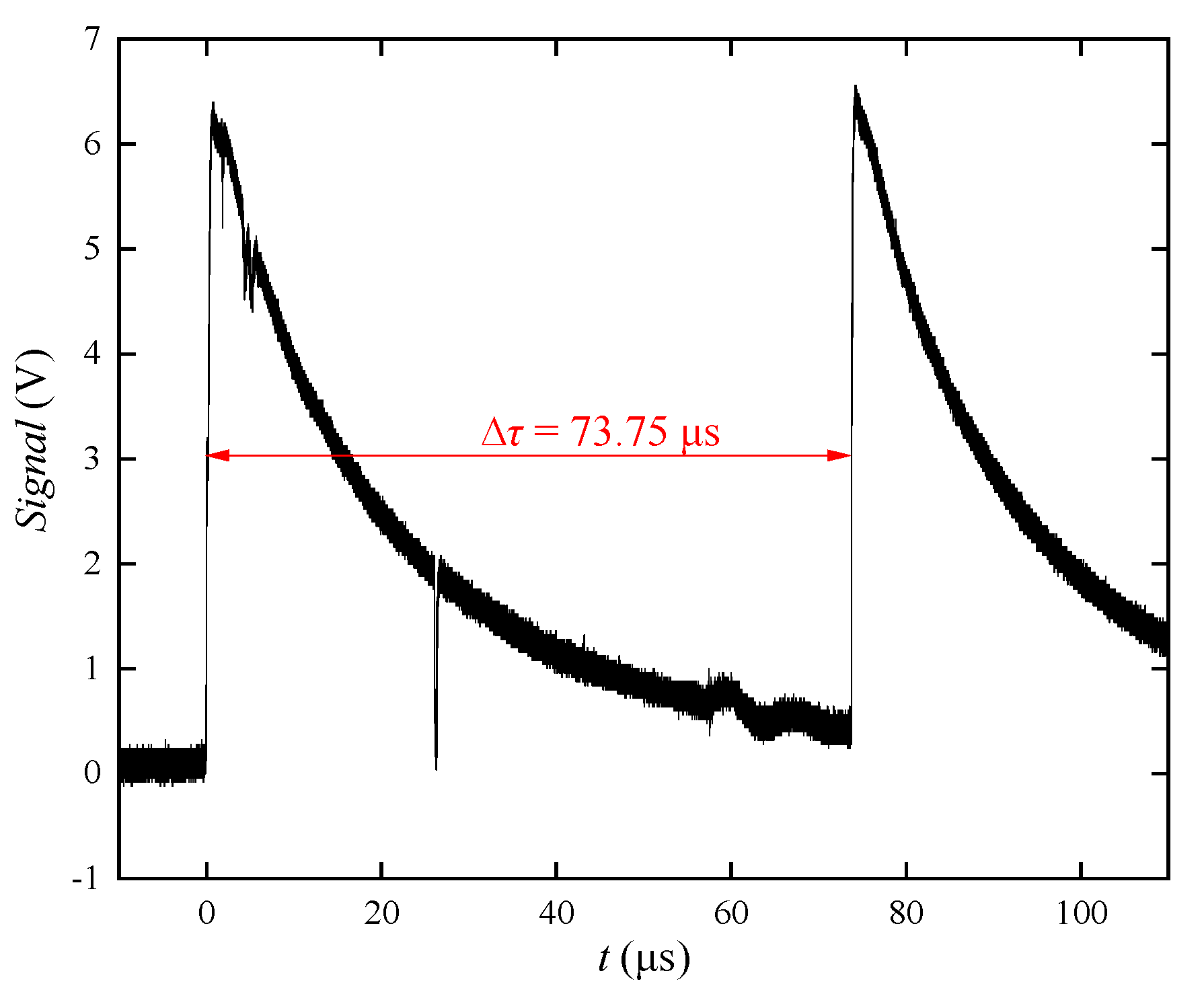
2.3.1. Cylinder Test Results and Analysis
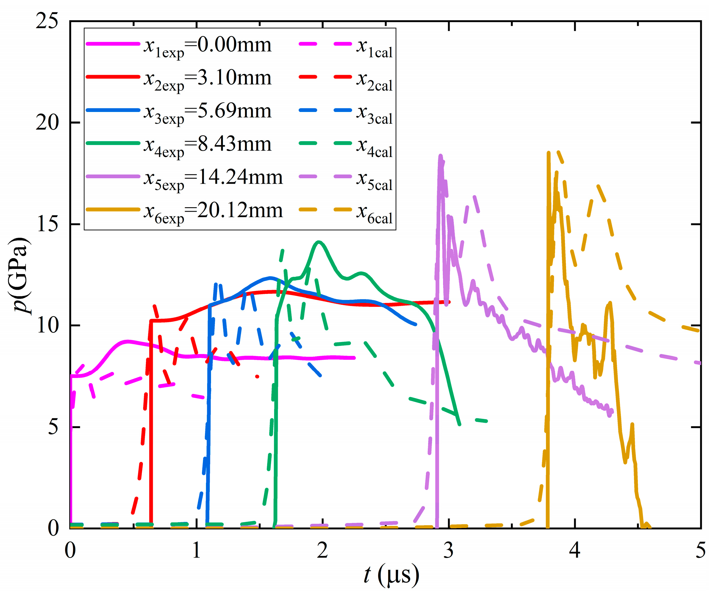
2.3.2. Lagrange Test Results and Analysis
2.4. Detonation Product Equation of State and Reaction Rate Equation Parameter Calibration
2.4.1. Calibration Process
2.4.2. Calibration Results
3. Simulation of High-Energy HTPB Engine Fragmentation Impact Safety Experiment
3.1. Simulation Model and Parameters
3.1.1. Structural Model
3.1.2. Material Model
3.2. Analysis of the Factors Affecting the Safety of the Standard Fragments Impact Engine
3.2.1. Single Fragment
3.2.2. Multiple Fragment
3.2.3. Shell Material
3.2.4. Shell Thickness
4. Conclusions
- (1)
- Multiple fragment loading can increase the shock wave input pressure and reduce the critical detonation velocity of the fragment impacting high-energy four-component HTPB propellant. When the number of longitudinally distributed fragments is more than five, the critical detonation velocity no longer decreases with the increase in the number of fragments.
- (2)
- When the loading strength and shell wall thickness remains constant and the strength of the metal shell is greater, the more difficult it is for the composite propellant impact detonation to occur. In the case of wall thickness δ = 1.5 mm, the critical detonation velocity of 30CrMnSiA steel shell is Vcr = 1550 m/s; the critical detonation velocity of the D406A steel shell is Vcr = 1960 m/s; and the critical detonation velocity of the 7A04 aluminum alloy shell is Vcr = 1125 m/s.
- (3)
- Under the conditions of loading strength and metal materials remaining constant, the greater the shell wall thickness, the more difficult for the composite propellant impact detonation. The relationship formula between fragment critical impact velocity and shell wall thickness is Vcr = 1382 (1 + 0.082δ) m/s.
Author Contributions
Funding
Data Availability Statement
Conflicts of Interest
References
- Song, L.F.; Li, H.X.; Zheng, Z.; Li, S.W.; Wu, Z. Research progress on the effect of fragments on the safety of solid propellant charges. Aerodyn. Missile J. 2019, 1, 92. [Google Scholar]
- Salzman, P.K.; Irwin, O.R.; Andersen, W.H. Theoretical detonation characteristics of solid composite propellants. AIAA J. 1965, 3, 2230. [Google Scholar]
- Bai, C.H.; Ding, J. Study of the shock initiation and the detonation process of composite propellants. Explos. Shock. Waves 1989, 9, 199. [Google Scholar]
- Baker, P.J.; Coffey, C.S.; Mellor, A.M. Critical impact initiation energies for three HTPB propellants. J. Propuls. Power 1992, 8, 578. [Google Scholar] [CrossRef]
- Huang, F.L.; Zhang, B.P. Study on the Detonation Danger of Solid Propellants. J. Beijing Inst. Technol. 2004, 13, 341. [Google Scholar]
- Wu, J.Y.; Chen, L.; Lu, J.Y.; Feng, C.G.; Wang, Y.J. Research on shock initiation of the high energy solid propellants. Acta Armamentarii 2018, 29, 1315. [Google Scholar]
- Bernecker, R.R. The deflagration-to-detonation transition process for high-energy propellants-a review. AIAA J. 1986, 24, 82. [Google Scholar] [CrossRef]
- Liu, D.H.; Peng, P.G.; Wang, Z.F.; Pan, M.C. An investigation of the deflagration-to-detonation transition of the AP/HMX/HTPB composite propellant. Acta Armamentarii 1994, 15, 32. [Google Scholar]
- Qin, N.; Liao, L.Q.; Jin, P.G.; Xu, H.Y.; Li, J.Q.; Fan, H.J. Experimental study on deflagration-to-detonation transition of several typical solid propellants. Chin. J. Explos. Propellants 2010, 33, 86. [Google Scholar]
- Bowden, F.P.; Gurton, O.A. Birth and growth of the explosion in solids initiated by impact. Nature 1948, 161, 348. [Google Scholar] [CrossRef]
- Price, D.; Clairmont, A.R. Explosive behavior of simplified propellant models. Combust. Flame 1977, 29, 87. [Google Scholar] [CrossRef]
- Dick, J.J. Detonation initiation behavior of some HMX/AP/A1 propellants. Combust. Flame 1980, 37, 95. [Google Scholar] [CrossRef]
- Kohga, M.; Shigi, D.; Beppu, M. Detonation properties of ammonium nitrate/nitramine-based composite propellants. J. Energetic Mater. 2019, 37, 309. [Google Scholar] [CrossRef]
- Bai, C.H.; Ding, J. Reaction of solid propellants under shock loading. Acta Armamentarii 1991, 12, 38. [Google Scholar]
- Yang, K.; Xu, B.H.; Guo, Y.Q.; Wu, Q. Calculation of detonation threshold of fragments impact on solid rocket motors. J. Solid Rocket. Technol. 2018, 41, 566. [Google Scholar]
- Li, H.T.; Wu, Z.; Wang, Y.; Wang, Z.; Li, S.W.; Huang, Y.; Cheng, H.; Xu, S.; Song, L.F. Research Progresses of Experiment, Mechanism, and Formulas of Low Vulnerable Propellants under Mechanical Stimulations. Equip. Environ. Eng. 2019, 16, 57. [Google Scholar]
- Lee, E.L. Adiabatic Expansion of High Explosive Detonation Products; UCRL250422; Univ. of California Radiation Lab. at Livermore: Livermore, CA, USA, 1965. [Google Scholar]
- Lee, E.L.; Tarver, C.M. Phenomenological model of shock initiation in heterogeneous explosives. Phys. Fluids 1980, 23, 12. [Google Scholar] [CrossRef]
- Zhang, W.; Xiao, X.K.; Wei, G. Constitutive relation and fracture model of 7A04 aluminumalloy. Explos. Shock. Waves 2011, 31, 81. [Google Scholar]
- Li, Y.; Dong, M.H.S.; He, J.H.; Ye, K.C. Study on milling of 30CrMnSiA alloy steel based on abaqus. Tool Eng. 2016, 50, 35. [Google Scholar]













| Actual Insertion Position/xi | x1/mm | x2/mm | x3/mm | x4/mm | x5/mm | x6/mm |
|---|---|---|---|---|---|---|
| Distance from Plexiglas plate position | 0.00 | 3.10 | 5.69 | 8.43 | 14.24 | 20.12 |
| A/GPa | B/GPa | C/GPa | R1 | R2 | ω | E0/(kJ·cm−3) | |
|---|---|---|---|---|---|---|---|
| 1.645 | 481.34 | 4.5519 | 2.019 | 4.6916 | 1.6287 | 0.2796 | 0.0938 |
| Parameter | Parameter Value | Parameter | Parameter Value | Parameter | Parameter Value |
|---|---|---|---|---|---|
| I/μs−1 | 4427.1887 | G1/(GPa−y·μs−1) | 1.8127 | G2/(GPa−z·μs−1) | 261.7333 |
| a | 0.0248 | c | 0.6667 | e | 1.0 |
| b | 0.6667 | d | 0.1111 | f | 0.667 |
| x | 6.7385 | y | 1.0 | z | 2.0 |
| Figmax | 0.01 | FG1max | 1.0 | FG2min | 0.0 |
| Parts | Material Model | Equation of State | Failure Models |
|---|---|---|---|
| Propellant Charges | Fluid Elasticity Material Model | Ignition growth equation of state | / |
| Shell | J–C material model | Gruneisen equation of state | J–C failure model |
| Fragmentation | J–C material model | Gruneisen equation of state | J–C failure model |
| Air | Empty material model | Linear polynomial equation of state | / |
| Materials | ρ0/(g·cm−3) | G/GPa | A/GPa | B/GPa | C | n | m | Tm/K |
|---|---|---|---|---|---|---|---|---|
| 30CrMnSiA steel | 7.85 | 75 | 0.525 | 0.101 | 0.1739 | 0.081 | 1.635 | 1800 |
| 45# steel | 7.86 | 200 | 0.790 | 0.510 | 0.015 | 0.27 | 1.05 | 1800 |
| Materials | D1 | D2 | D3 | D4 | D5 | D6 |
|---|---|---|---|---|---|---|
| 30CrMnSiA steel | 0.0705 | 1.732 | −0.54 | −0.0123 | 0 | 0 |
| 45# steel | 0.78 | 0 | 0 | 0 | 0 | 0 |
| Au/GPa | Bu/GPa | R1u | R2u | ωu | CVu/(GPa·K−1) |
|---|---|---|---|---|---|
| 36587.61 | −2.789 | 11.0 | 0.4 | 1.69 | 2.5 × 10−3 |
| Shape of Fragment | Density ρ0/(g·cm−3) | Characteristic Size of the Fragment l/(mm) | Critical Detonation Velocity Vcr/(m·s−1) |
|---|---|---|---|
| Standard fragment | 7.86 | 14.3 | 1550 |
| Metal Materials | ρ0/(g·cm−3) | Speed of Sound c/(m·s−1) | Shock Wave Impedance Z/(kg·m−2·s−1) |
|---|---|---|---|
| 30CrMnSiAsteel | 7.85 | 5664 | 4.4 × 107 |
| D406A steel | 7.60 | 5918 | 4.5 × 107 |
| 7A04 aluminum | 2.785 | 5330 | 1.5 × 107 |
| Materials | Density ρ0/(g·cm−3) | Critical Detonation Velocity Vcr/(m·s−1) |
|---|---|---|
| 30CrMnSiA steel | 7.85 | 1550 |
| D406A steel | 7.60 | 1960 |
| 7A04 aluminum alloy | 2.785 | 1125 |
| Shell Wall Thickness/δi | δ1/mm | δ2/mm | δ3/mm | δ4/mm | δ5/mm |
|---|---|---|---|---|---|
| Shell wall thickness value | 1.0 | 1.5 | 2.0 | 2.5 | 3.0 |
Disclaimer/Publisher’s Note: The statements, opinions and data contained in all publications are solely those of the individual author(s) and contributor(s) and not of MDPI and/or the editor(s). MDPI and/or the editor(s) disclaim responsibility for any injury to people or property resulting from any ideas, methods, instructions or products referred to in the content. |
© 2023 by the authors. Licensee MDPI, Basel, Switzerland. This article is an open access article distributed under the terms and conditions of the Creative Commons Attribution (CC BY) license (https://creativecommons.org/licenses/by/4.0/).
Share and Cite
Liu, Z.; Nie, J.; Fan, W.; Tao, J.; Jiang, F.; Guo, T.; Gao, K. Simulation Analysis of the Safety of High-Energy Hydroxyl-Terminated Polybutadiene (HTPB) Engine under the Impact of Fragments. Crystals 2023, 13, 394. https://doi.org/10.3390/cryst13030394
Liu Z, Nie J, Fan W, Tao J, Jiang F, Guo T, Gao K. Simulation Analysis of the Safety of High-Energy Hydroxyl-Terminated Polybutadiene (HTPB) Engine under the Impact of Fragments. Crystals. 2023; 13(3):394. https://doi.org/10.3390/cryst13030394
Chicago/Turabian StyleLiu, Zheng, Jianxin Nie, Wenqi Fan, Jun Tao, Fan Jiang, Tiejian Guo, and Kun Gao. 2023. "Simulation Analysis of the Safety of High-Energy Hydroxyl-Terminated Polybutadiene (HTPB) Engine under the Impact of Fragments" Crystals 13, no. 3: 394. https://doi.org/10.3390/cryst13030394
APA StyleLiu, Z., Nie, J., Fan, W., Tao, J., Jiang, F., Guo, T., & Gao, K. (2023). Simulation Analysis of the Safety of High-Energy Hydroxyl-Terminated Polybutadiene (HTPB) Engine under the Impact of Fragments. Crystals, 13(3), 394. https://doi.org/10.3390/cryst13030394

