Abstract
Two 3D Zn(II) and Cd(II) coordination polymers, [Zn2(µ4-dppa)(µ-dpe)(µ-H2O)]n·nH2O (1) and [Cd2(µ8-dppa)(µ-dpe)(H2O)]n (2), have been constructed hydrothermally using 4-(3,5-dicarboxyphenoxy)phthalic acid (H4dppa), 1,2-di(4-pyridyl)ethylene (dpe), and zinc or cadmium chlorides. Both compounds feature 3D network structures. Their structure and topology, thermal stability, catalytic, and anti-wear properties were investigated. Particularly, excellent catalytic performance was displayed by zinc(II)-polymer 1 in the Knoevenagel condensation reaction at room temperature.
1. Introduction
The design and preparation of transition metal coordination polymers have become the topics of material study because of their interesting structures and functional properties, namely in gas separation, heterogeneous catalysis, molecular sensing, luminescence, and magnetism [,,,,,,,,,]. The synthesis of functional coordination polymers depends largely on metal centers, organic ligands, and reaction conditions, including solvents, temperatures, and pH values [,,,,,,,,,].
In this context, semi-rigid polycarboxylate ligands have been widely employed to generate various functional coordination polymers because of their good coordination effects in meeting the geometric requirement of the metal centers [,,,].
Since 2018, our group has been working on the preparation of transition metal coordination polymers based on multi-carboxylic acids and developing their catalytic activities in organic reactions [,,]. The Knoevenagel condensation reaction is an important organic synthetic reaction involving the formation of active carbon–carbon double bonds that can be further added by nucleophiles, which are widely employed in the production of fine chemicals [,,,]. It is reported that some transition metal coordination compounds have good catalytic performance in the Knoevenagel condensation reaction [,,,]. Coordination compound catalysts present a higher efficiency and recyclability than traditional catalysts (NaOH, pyridine, and amine).
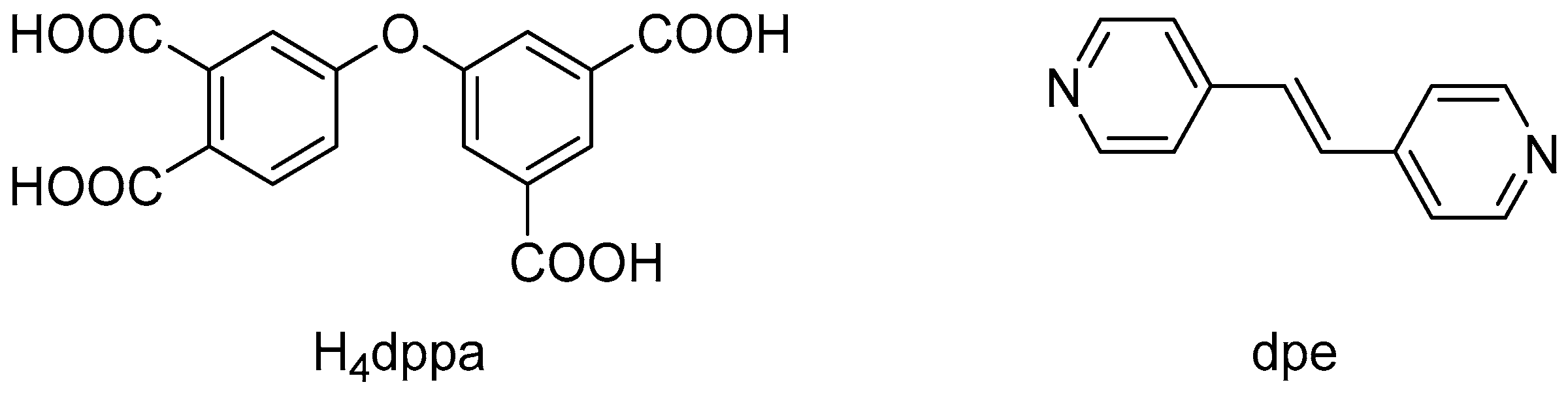
In this study, we selected 4-(3,5-dicarboxyphenoxy)phthalic acid (H4dppa) as an organic linker (Scheme 1) owing to the following characteristics: (1) it may twist and rotate to produce different angles between the two benzene planes through the C–Oether–C bond to meet the coordination requirements of metal ions; (2) it bears nine potential coordination sites (eight carboxyl O donors and one Oether atom), which is useful in forming coordination polymers with high dimensionalities; (3) in 2015–2022, several Cu(II), Mn(II), Co(II), Zn(II), Ni(II), and Cd(II) coordination compounds bearing the ligand were reported [,,,,,,], and their luminescence and magnetism were studied (Table S1). However, only three Cu-dppa networks with catalytic properties in dye degradation have been reported []. Therefore, the present work provides us with a good chance to research this field.

Scheme 1.
Structure formulae of H4dppa and dpe.
2. Experimental Section
2.1. Materials and Measurements
All solvents and chemicals were of A.R. grade and used directly. H4dppa was acquired from Yanshen Tec. Co., Ltd. (Changchun, China). C, H, and N were analyzed using an Elementar Vario EL elemental analyzer. IR spectra were collected using KBr pellets and a Bruker EQUINOX 55 spectrometer. Thermogravimetric analysis (TGA) curves were obtained using a LINSEIS STA PT1600 thermal analyzer with a heating rate of 10 °C·min−1. The 1H NMR spectra were obtained using a JNM ECS 400M spectrometer (JEOL, Tokyo, Japan). PXRD data were collected using a PANalytical X-ray diffractometer at room temperature (Cu-Kα radiation, λ = 1.54060 Å); the X-ray tube was operated at 40 kV and 40 mA. Quartz glass plates were used for loading samples. The data collection range was between 5 and 45°. The step was 0.02°.
2.2. Synthesis of [Zn2(µ4-dppa)(µ-dpe)(µ-H2O)]n·nH2O (1)
To a stirred mixture containing ZnCl2 (0.027 g, 0.20 mmol), H4dppa (0.035 g, 0.10 mmol) and dpe (0.036 g, 0.20 mmol) in H2O (10 mL) was added NaOH (0.016 g, 0.40 mmol). The mixture was stirred for another 15 min at room temperature, then sealed in a 25 mL Teflon-lined cup and heated at 160 °C for 3 days. After the mixture cooled to indoor temperature, colorless block-shaped crystals of [Zn2(µ4-dppa)(µ-dpe)(µ-H2O)]n·nH2O (1) were collected manually, then washed with distilled water. Yield: 53% (based on H4dppa). Anal. Calcd. for C28H20Zn2N2O11 (%): C 48.65, H 2.92, N 4.05; found: C 48.33, H 2.93, N 4.07. IR (KBr, cm−1): 3529 w, 3066 w, 1616 s, 1567 s, 1426 m, 1386 s, 1369 s, 1294 w, 1263 w, 1214 w, 1144 w, 1095 w, 1069 w, 1025 w, 980 w, 906 w, 831 m, 782 w, 730 w, 690 w, 553 w. νOH: 3529 and 3066; νas(CO2): 1616 and 1567; νs(CO2): 1426, 1386, and 1369.
2.3. Synthesis of [Cd2(µ8-dppa)(µ-dpe)(H2O)]n (2)
The preparation of 2 was similar to that of 1, except CdCl2∙H2O was used instead of ZnCl2. After cooling the reaction mixture to room temperature, colorless block-shaped crystals of 2 were collected manually, then washed with distilled water and dried in desiccator. Yield: 48% (based on H4dppa). Anal. Calcd. for C28H18Cd2N2O10 (%): C 43.83, H 2.36, N 3.65; found: C 43.57, H 2.38, N 3.61. IR (KBr, cm−1): 3401 w, 3045 w, 1630 s, 1612 s, 1576 s, 1497 w, 1439 w, 1399 m, 1347 m, 1303 w, 1268 w, 1223 w, 1148 w, 1077 w, 1007 w, 972 w, 906 w, 831 w, 782 w, 707 w, 658 w, 618 w, 548 w. νOH: 3401 and 3045; νas(CO2): 1630, 1612 and 1576; νs(CO2): 1399 and 1347. Both compounds are insoluble in water, methanol, ethanol, acetone, and DMF.
2.4. Structural Determination (Single-Crystals)
Two single crystals (size: 0.06 mm × 0.04 mm × 0.03 mm for 1 and 0.07 mm × 0.04 mm × 0.03 mm for 2) were analyzed at 286(2) K on a Bruker SMART APEX II CCD diffractometer with Cu-Kα radiation (λ = 1.54184 Å). The structures were solved through direct methods and refined using a full matrix least-square on F2 using the SHELXTL-2014 program []. C, N, and O atoms were refined anisotropically. All the H atoms were positioned geometrically and refined using a riding model. There is one disordered solvent molecule in 1. The number of solvent water molecules was obtained on the basis of the difference electron map (using the SQUEEZE routine in PLATON) [] and elemental and thermogravimetric analyses. The crystallography data of 1 and 2 are summarized in Table 1. The relevant bond lengths and angles of 1 and 2 are listed in Table S2 (Supplementary Materials). The H bond parameters for compound 2 are listed in Table S3. Analysis of topologies for 1 and 2 was performed using an underlying network concept [,]. Simplified networks were generated upon the removal of dpe and H2O ligands, along with producing a reduction of the dppa4− ligands to their centroids. CCDC-2295640 and 2295641 contain the structural parameters.

Table 1.
Summary of crystal data of compounds 1 and 2.
2.5. Catalytic Knoevenagel Reaction
To a stirred solution of aromatic aldehyde (0.50 mmol, benzaldehyde as a model substrate), propanedinitrile (1.0 mmol) in solvent (1.0 mL, typically CH3OH) was added as a catalyst (typically 2 mol%), then the mixture was stirred for an expected reaction time at indoor temperature. Then, the catalyst was wiped off by centrifugation. The remaining filtrate was concentrated under reduced pressure to produce a crude solid product. The quantification of the product was analyzed by 1H NMR spectroscopy (in CDCl3) (Figure S5). So as to run recycling experiments, the used catalyst was collected again by centrifugation, then washed with CH3OH, dried at 25 °C, and reused in subsequent tests as discussed above.
2.6. Friction Test
The wear performances and the friction of oils were determined by High Frequency Oscillating Tribometer (UMT-TRIBOLAB) under simulated operating conditions. In the testing configuration, the static upper specimen was a GCr15 steel ball (diameter of 10 mm), and a GCr15 steel block with thickness of 8 mm and diameter of 25 mm was used as the reciprocating lower specimen. Before tests, the balls and blocks were washed in acetone in ultrasonic cleaner for 10 min. The sample oil (0.1 mL) was dropped on the steel block using a micro-syringe and made to cover its entire surface before each friction test. The testing temperatures were tested by a thermocouple fitted below the holder and set at 25 °C by the tribometer control program. All the friction tests were performed at a reciprocating stroke of 2 mm with a frequency of 25 Hz for 30 min under a consistent load of 200 N (the Hertzian contact pressure of ~1602 MPa). Each test was repeated 3 times under the same condition for the verification of the repeatability of the measured values.
3. Discussion of Results
3.1. Crystal Structure of 1
An asymmetric unit of 1 has two Zn centers (Zn1 and Zn2), one µ4-dppa4− block, one µ-dpe moiety, one µ-H2O ligand, and one lattice water molecule (Figure 1a). The Zn1 and Zn2 centers are four-coordinate and reveal tetrahedral {ZnNO3} environments, which are completed by two O atoms from two individual µ4-dppa4− blocks, one O atom of the µ-H2O ligand, and a Ndpe donor. The lengths of the Zn–O and Zn–N bonds are 1.907(4)–1.991(4) and 2.032(4)–2.067(4) Å, respectively; these values are similar to those of other zinc compounds [,]. The dppa4− ligand is employed as a µ4-block (mode I, Scheme 2 and Figure S3), wherein all four deprotonated carboxyl groups adopt monodentate modes. In the µ4-dppa4− block, the dihedral angle of two benzene rings as well as the C–Oether–C angle are 82.91 and 117.38°. The dpe auxiliary ligand adopts a bridging coordination mode. The µ4-dppa4− blocks, µ-dpe moieties, and µ-H2O ligands link adjacent Zn(II) centers to give a 3D network (Figure 1b). It features channels (11.78 × 10.79 Å measured by atom-to-atom distances) (Figure 1b), which are filled with water molecules of crystallization. Upon the removal of the water molecules of crystallization, we computed, using PLATON, an effective free volume that is 30.4% of the crystal volume []. This 3D network structure is composed of the 4-linked Zn nodes, 4-linked µ4-dppa4− nodes, 2-connected µ-dpe, and µ-H2O linkers (Figure 1c). This is a 2,2,4,4-connected framework with a new topology and a point symbol of (62.8.7.8.7)(62.8.73)(6)(82.62.8.7).

Figure 1.
Structure of 1. (a) Coordination environment around Zn(II) atoms (H atoms and lattice water molecules are ignored, symmetry codes: i: x − 1/2, −y + 3/2, z − 1/2; ii: x − 1, y, z; iii: −x + 3/2, y + 1/2, −z + 3/2; iv: x + 3/2, −y + 3/2, z + 1/2.). (b) View of a 3D network along the c axis. (c) Topological representation of a 2,2,4,4-connected framework with a new topology, perspective view along the c axis; Zn nodes (blue), centroids of µ4-dppa4− nodes (gray), centroids of 2-connected µ-dpe (dark blue), and µ-H2O (red) linkers.

Scheme 2.
The coordination modes of dppa4− linkers in compounds 1 and 2.
3.2. Crystal Structure of 2
This compound also reveals a 3D network. An asymmetric unit has two Cd(II) centers (Cd1 and Cd2), one µ8-dppa4− block, one dpe moiety, and one H2O ligand (Figure 2a). The Cd1 center is six-coordinate and reveals a distorted octahedral {CdNO5} geometry. It is defined by five O donors from four individual µ8-dppa4− blocks and one Ndpe donor. The Cd2 atom is also six-coordinate and adopts a distorted octahedral {CdO6} environment comprising five O atoms of four different µ8-dppa4− moieties and one O atom of the H2O ligand. The Cd–O [2.215(3)–2.650(2) Å] and Cd–N [2.294(3) Å] bonds are within standard values [,]. The dppa4− block is employed as a µ8-linker with its carboxylate groups adopting a µ-bridging bidentate or tridentate mode (mode II, Scheme 2 and Figure S3). Within the µ8-dppa4− block, the dihedral angle between two benzene rings is 82.83°, whereas the C–Oether–C angle is 117.22°. The dpe auxiliary ligand adopts a terminal coordination mode. The µ8-dppa4− blocks and µ-dpe moieties connect adjacent Cd(II) centers to give a 3D network (Figure 2b). It also features channels (7.90 × 6.97 Å measured by atom-to-atom distances) (Figure 2b). We computed, using PLATON, an effective free volume that is 1.80% of the crystal volume []. The 3D network in this compound features an intricate binodal 4,8-connected net composed of the 4-linked Cd nodes and 8-linked µ8-dppa4− nodes (Figure 2c). It adopts a new topology with a point symbol of (412.612.84)(45.6)2.

Figure 2.
Structure of 2. (a) Coordination environment of Cd(II) atoms (H atoms and lattice water molecules are ignored, symmetry codes: i: −x + 1/2, y + 1/2, −z + 1/2; ii: x − 1/2, −y + 3/2, z + 1/2; iii: −x + 1/2, y + 1/2, −z − 1/2; iv: x + 1/2, −y + 3/2, z + 1/2; v: x, y, z + 1; vi: −x + 1, −y + 1, −z). (b) View of a 3D framework along the c axis. (c) Topological representation of a binodal 4,8-connected framework with a new topology; perspective view along the c axis; Cd nodes (turquoise balls), centroids of µ8-dppa4− nodes (gray).
3.3. TGA and PXRD Data
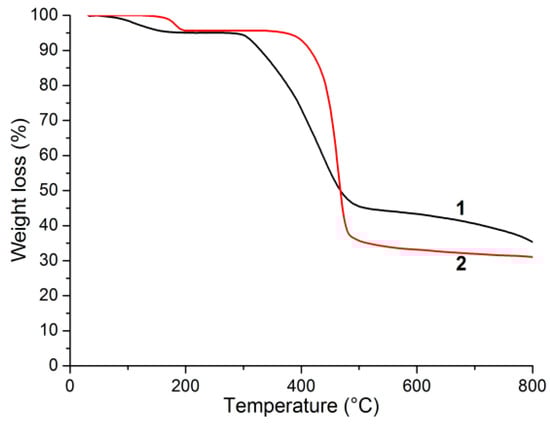
To study the thermal stability of polymers 1 and 2, thermogravimetric analysis (TGA) was carried out. As shown in Figure 3, the TGA curve of 1 shows that there is a loss of one free water molecule and one H2O ligand between 55 and 192 °C (exptl, 4.9%; calcd, 5.2%); further heating above 277 °C leads to a decomposition of the dehydrated framework. Compound 2 loses its one lattice water molecule and one H2O ligand at 134–198 °C (exptl, 2.5%; calcd, 2.3%), followed by decomposition at 341 °C. The corresponding metal oxides (ZnO and CdO) are expected to be the final product of polymers 1 and 2. Although polymers 1 and 2 have similar compositions, their TGA curves differ greatly. The difference may be attributed to the different coordination modes of the dppa4− ligands in both polymers (µ4-linker in 1 and µ8-linker in 2).

Figure 3.
TGA curves of polymers 1 and 2.
Crystalline samples of polymers 1 and 2 were researched using the PXRD method. Experimental and simulated PXRD patterns are provided in Figure S2. Their peak position and intensity are similar. Their comparison demonstrates a good match and determines the formation of phase purity for the obtained compounds.
3.4. Catalytic Knoevenagel Reaction
Considering the potential ability of some metal (II) coordination polymers to serve as catalysts in a Knoevenagel reaction [,,], we probed compounds 1 and 2 as heterogeneous catalysts in the reaction of some aldehydes with malononitrile. Benzaldehyde and malononitrile, as the model substrates, reacted at 25 °C in a methanol medium to produce 2-benzylidenemalononitrile (Scheme 3, Table 2). The influence of important parameters (including reaction time, solvent, catalyst loading, and recycling) on the reaction was explored.

Scheme 3.
Zn-catalyzed Knoevenagel reaction of benzaldehyde with malononitrile.

Table 2.
Knoevenagel reaction of benzaldehyde with propanedinitrile a.
When compound 1 was used as a heterogeneous catalyst, the 2-benzylidenemalononitrile product was obtained smoothly (Table 2 and Figure S4). When benzaldehyde and malononitrile were treated in CH3OH catalyzed by 1 (2 mol%), the yields of 2-benzylidenemalononitrile accumulated, with a yield increase from 45 to 100% by extending the reaction time from 10 to 60 min (Table 2, entries 1–6; Figure S6). The effect on the catalyst amount was also researched, showing a product yield growth from 95 to 100% upon increasing the amount of catalyst from 1 to 2 mol% (entries 6 and 7). Besides CH3OH, other solvents were employed. Ethanol, water, chloroform, and acetonitrile were less suitable for the reaction (63–99% product yields).
In comparison with 1, compound 2 was less active, giving a maximum product yield of 81% (entry 12, Table 2). Significantly, under similar reaction conditions, the Knoevenagel reaction of benzaldehyde with malononitrile was significantly less efficient in the absence of the above catalyst (only 20% product yield). And, when using H4dppa (26% yield) or ZnCl2 (32% yield) as catalysts (entries 13–15, Table 2), the yields were near those seen in the absence of a catalyst.
Some substituted benzaldehyde substrates were employed to research the substrate scope of the Knoevenagel reaction of benzaldehyde with malononitrile. These reactions were performed under optimized conditions (2.0 mol% 1, CH3OH, 25 °C, 60 min). The yields of the related products were in the range of 37–100% (Table S4). Benzaldehydes bearing a strong electron-withdrawing group (including NO2 and Cl substituent in the ring) showed better efficiency (entries 2–5, Table 2), which can be attributed to an improved electrophilicity of aldehyde groups. The benzaldehydes with electron-donating groups (e.g., hydroxyl, methyl, and methoxy groups) led to low product yields (entries 6–8, Table S4).
Finally, to address the reusability properties of catalyst 1, the cycle reactions were carried out under the reaction conditions of entry 7 in Table 2. The catalyst was separated via centrifugation after each reaction cycle, then washed with methanol, dried in air at indoor temperature, and used in the next cycle. The gained results prove that compound 1 preserved the activity for at least five reaction cycles (the yields are 94, 92, 90, and 87% for the second to the fifth cycle, respectively, Figure S7).Additionally, the PXRD patterns confirm that the structure of 1 is maintained (Figure S8).
In order to determine whether polymer 1 is a heterogeneous catalyst in Knoevenagel condensation, we carried out a catalyst-leaching experiment [,]. Hence, a control test with catalyst 1 was performed until an intermediate product yield (~45% in 10 min) was obtained. After 10 min, the coordination polymer catalyst 1 was isolated by centrifugation and the reaction mixture was kept for an additional 50 min. As depicted in Figure S6 (blue dotted line), there was no significant increase in the yield of the reaction after removing the catalyst. These experimental results fully show that the catalyst is a heterogeneous catalyst. In another test, after removing the catalyst, the filtrate was dried in vacuo, followed by the determination of the amount of zinc. The obtained analysis showed only traces of zinc (0.047%). This result proves that there is no significant leakage of zinc in the catalyst.
According to the literature, the catalytic activities of coordination polymer catalyst 1 are generally better than other coordination polymer catalysts in the Knoevenagel reaction of aldehydes (Table S5) [,,,,,,,,,,].
Based on the literature [,], we put forward a possible mechanism for this reaction catalyzed by 1 (Figure S9). The unsaturated Zn(II) center in catalyst 1 is eventually employed as the Lewis acidic site and interacts with the H–C=O group of benzaldehyde, giving the group polarization and an enhanced electrophilicity of the corresponding carbon atom. The polarization can promote the nucleophilic attack of this site by malononitrile, which acts as a nucleophile precursor. Instead, the interaction between the –CN group of malononitrile and the Lewis acid site increases the acidic character of the methylene functionality and enhances its deprotonation. The basic sites that exist in 1 (O-carboxylate sites) can easily take the proton from the –CH2– group to give the resultant nucleophilic species, which react with the H–C=O group of benzaldehyde to form a carbon–carbon bond, followed by dehydration to produce the product 2-benzylidenemalononitrile.
3.5. Anti-Wear Property of 1
The use of inorganic additives is a novel method for improving the lubrication performance of lubricating oil to increase the operational efficiency of engines. Lubricating additives can rapidly infiltrate the friction area to prevent direct contact between the friction pair’s surfaces []. On a damaged friction surface, they are more likely to precipitate or form a protective coating. Inspired by the fact that zinc dialkyl dithiophosphate (ZDDP) is commonly used in engine oils as a superb anti-wear additive, zinc(II) coordination polymer 1 was used as an additive in polyalphaolefin synthetic lubricant (PAO10), whose viscosity at 100 °C is 10.1 mm2/s, to evaluate its anti-wear performance.
Compound 1 (10 mg), which was ground into powder with a mortar, was added to PAO10 (10 mL). The mixture was stirred at 85 °C for 24 h and ultrasonically dispersed for 1 h to obtain the oil sample (1/PAO10). Although TGA measurements for crystal 1 suggested a loss of water molecules starting from 55 °C, compound 1 was present in a solid state in sample 1/PAO10. As shown in the fluorescence microscope images (Figure S10), the particle size of 1 in 1/PAO10 was in the micron to nanometer scale, which was similar to the size and fluorescence of the powder of 1. In order to confirm the preservation of the nature of compound 1 in sample 1/PAO10, sample 1/PAO10 was diluted with petroleum ether, and the precipitate was collected and washed with petroleum ether by centrifugation. The PXRD experiments of the sediment were carried out (Figure S11). The PXRD patterns confirm that the structure of 1 is retained despite the observation of several novel signals or widening of some parent peaks. These alterations can be associated with a decrease in crystallinity and the presence of impurities.
The friction coefficient curves versus sliding time for PAO10 and 1/PAO10 samples at 25 °C are shown in Figure 4. The friction coefficient of PAO10 increased sharply at 300 s, stabilizing at approximately 0.12. For 1/PAO10, the friction coefficient curve was steady. The friction coefficient was close to that of PAO10 in the beginning and not over 0.9 during the entire test time. This indicates that the addition of compound 1 improved the wear resistance of lubricating oil, which will has potential applications as an additive in lubricating oil. This significant improvement was due to the nanobearing and deposition exerted by solid 1 on the surface of the friction pair, which contributed to a decline in the contact area and surface roughness and effectively repaired the friction pair.

Figure 4.
Friction curves versus sliding time for PAO10 and 1/PAO10.
4. Concluding Remarks
In summary, two new zinc and cadmium coordination polymers were assembled and characterized by using one ether-bridged tetracarboxylic acid as a main ligand under hydrothermal conditions. Both polymers show a 3D network structure. Additionally, the anti-wear and catalytic performances were also researched and discussed. The results show that coordination polymer 1 is a potential multifunctional crystal material with excellent fluorescence, catalytic, and anti-friction properties. The present work demonstrates that such ether-bridged tetracarboxylic acids can serve as useful building blocks in the preparation of new coordination polymers. We hope this study can stimulate other research on the preparation of coordination polymers with better catalytic performance.
Supplementary Materials
The following supporting information can be downloaded at: https://www.mdpi.com/article/10.3390/cryst13121681/s1. Figures S1 and S2: FT-IR spectra and PXRD patterns of 1 and 2; Figure S3: the coordination modes of dppa4− linkers in this work and previously reported works; Figures S4–S8 and Table S4: catalysis data for the catalytic reactions of 1; Figure S9: plausible mechanism for the Knoevenagel condensation reaction catalyzed by 1; Figure S10: fluorescence images of the powder of 1 and 1/PAO10; Figure S11: PXRD patterns for 1 [simulated (red), powder (black), and powder from 1/PAO10 (blue)]; Table S1: reported coordination polymers with dppa4− ligand; Tables S2 and S3: selected structural parameters for 1 and 2; Table S4: substrate scope for Zn-catalyzed Knoevenagel reaction; Table S5: comparison of various catalysts for the Knoevenagel reaction between benzaldehyde and propanedinitrile.
Author Contributions
Conceptualization, J.-Z.G. and Z.-F.S.; data curation, Z.-H.Z.; funding acquisition, J.-Z.G. and Z.-F.S.; investigation, Z.-H.Z., Q.Z. and Y.-F.L.; methodology, J.-Z.G.; visualization, J.-Z.G. and Z.-F.S.; writing—original draft, Z.-H.Z., J.-Z.G. and Z.-F.S.; writing—review and editing, J.-Z.G. and Z.-F.S. All authors have read and agreed to the published version of the manuscript.
Funding
This work was supported by The Science and Technology Major Program of Gansu Province of China. The grant number is 22ZD6FA006.
Data Availability Statement
Data is contained within the article and supplementary material.
Conflicts of Interest
The authors declare no conflict of interest.
References
- Wang, K.; Li, Y.; Xie, L.-H.; Li, X.; Li, J.-R. Construction and application of base-stable MOFs: A critical review. Chem. Soc. Rev. 2022, 51, 6417–6441. [Google Scholar] [CrossRef]
- Chen, J.; Abazari, R.; Adegoke, K.A.; Maxakato, N.W.; Bello, O.S.; Tahir, M.; Tasleem, S.; Sanati, S.; Kirillov, A.M.; Zhou, Y. Metal–organic frameworks and derived materials as photocatalysts for water splitting and carbon dioxide reduction. Coord. Chem. Rev. 2022, 469, 214664. [Google Scholar] [CrossRef]
- Fan, W.; Yuan, S.; Wang, W.; Feng, L.; Liu, X.; Zhang, X.; Wang, X.; Kang, Z.; Dai, F.; Yuan, D.; et al. Optimizing Multivariate Metal–Organic Frameworks for Efficient C2H2/CO2 Separation. J. Am. Chem. Soc. 2020, 142, 8728–8737. [Google Scholar] [CrossRef] [PubMed]
- Vismara, R.; Tuci, G.; Mosca, N.; Domasevitch, K.V.; Di Nicola, C.; Pettinari, C.; Giambastiani, G.; Galli, S.; Rossin, A. Amino-decorated bis(pyrazolate) metal–organic frameworks for carbon dioxide capture and green conversion into cyclic carbonates. Inorg. Chem. Front. 2019, 6, 533–545. [Google Scholar] [CrossRef]
- Patel, N.; Shukla, P.; Lama, P.; Das, S.; Pal, T.K. Engineering of Metal–Organic Frameworks as Ratiometric Sensors. Cryst. Growth Des. 2022, 22, 3518–3564. [Google Scholar] [CrossRef]
- Li, J.; Tian, J.; Yu, H.; Fan, M.; Li, X.; Liu, F.; Sun, J.; Su, Z. Controllable Synthesis of Metal–Organic Frameworks Based on Anthracene Ligands for High-Sensitivity Fluorescence Sensing of Fe3+, Cr2O72–, and TNP. Cryst. Growth Des. 2022, 22, 2954–2963. [Google Scholar] [CrossRef]
- Zhao, L.; Du, Z.; Ji, G.; Wang, Y.; Cai, W.; He, C.; Duan, C. Eosin Y-Containing Metal–Organic Framework as a Heterogeneous Catalyst for Direct Photoactivation of Inert C–H Bonds. Inorg. Chem. 2022, 61, 7256–7265. [Google Scholar] [CrossRef]
- Zhao, S.-Q.; Gu, J.-Z. Synthesis, Structures and Catalytic Activity in Knoevenagel Condensation Reaction of Two Diphenyl Ether Tetracarboxylic Acid-Co(II) Coordination Polymers. Chin. J. Inorg. Chem. 2022, 38, 161–170. [Google Scholar]
- Zhao, X.; Wang, Y.; Li, D.-S.; Bu, X.; Feng, P. Metal–Organic Frameworks for Separation. Adv. Mater. 2018, 30, 1705189. [Google Scholar] [CrossRef]
- Neumann, T.; Ceglarska, M.; Germann, L.S.; Rams, M.; Dinnebier, R.E.; Suckert, S.; Jess, I.; Näther, C. Structures, Thermodynamic Relations, and Magnetism of Stable and Metastable Ni(NCS)2 Coordination Polymers. Inorg. Chem. 2018, 57, 3305–3314. [Google Scholar] [CrossRef]
- Zhan, G.; Zhong, W.; Wei, Z.; Liu, Z.; Liu, X. Roles of phenol groups and auxiliary ligand of copper(ii) complexes with tetradentate ligands in the aerobic oxidation of benzyl alcohol. Dalton Trans. 2017, 46, 8286–8297. [Google Scholar] [CrossRef] [PubMed]
- Fan, G.; Hong, L.; Zheng, X.; Zhou, J.; Zhan, J.; Chen, Z.; Liu, S. Growth inhibition of Microcystic aeruginosa by metal–organic frameworks: Effect of variety, metal ion and organic ligand. RSC Adv. 2018, 8, 35314–35326. [Google Scholar] [CrossRef] [PubMed]
- Lei, Z.; Hu, L.; Yu, Z.-H.; Yao, Q.-Y.; Chen, X.; Li, H.; Liu, R.-M.; Li, C.-P.; Zhu, X.-D. Ancillary ligand enabled structural and fluorescence diversity in metal–organic frameworks: Application for the ultra-sensitive detection of nitrofuran antibiotics. Inorg. Chem. Front. 2021, 8, 1290–1296. [Google Scholar] [CrossRef]
- Yang, Y.; Lu, C.; Wang, H.; Liu, X. Amide bond cleavage initiated by coordination with transition metal ions and tuned by an auxiliary ligand. Dalton Trans. 2016, 45, 10289–10296. [Google Scholar] [CrossRef]
- Zhang, Z.; Zhou, J.; Sun, H.X.; He, M.; Li, W.; Du, L.; Xie, M.; Zhao, Q.H. R-Substituent-Induced Structural Diversity and Single-Crystal to Single-Crystal Transformation of Coordination Polymers: Synthesis, Luminescence, and Magnetic Behaviors. Cryst. Growth Des. 2021, 21, 5086–5099. [Google Scholar] [CrossRef]
- Ramezanpour, B.; Mirzaei, M.; Jodaian, V.; Niknam Shahrak, M.; Frontera, A.; Molins, E. Seven and eight-coordinate Fe(III) complexes containing pre-organized ligand 1,10-phenanthroline-2,9-dicarboxylic acid: Solvent effects, supramolecular interactions and DFT calculations. Inorg. Chim. Acta 2019, 484, 264–275. [Google Scholar] [CrossRef]
- Wei, N.; Zhang, M.-Y.; Zhang, X.-N.; Li, G.-M.; Zhang, X.-D.; Han, Z.-B. Two Series of Solvent-Dependent Lanthanide Coordination Polymers Demonstrating Tunable Luminescence and Catalysis Properties. Cryst. Growth Des. 2014, 14, 3002–3009. [Google Scholar] [CrossRef]
- Zou, X.-Z.; Wu, J.; Gu, J.-Z.; Zhao, N.; Feng, A.-S.; Li, Y. Syntheses of Two Nickel(II) Coordination Compounds Based on a Rigid Linear Tricarboxylic Acid. Chin. J. Inorg. Chem. 2019, 39, 1705–1711. [Google Scholar]
- Islam, S.; Tripathi, S.; Hossain, A.; Seth, S.K.; Mukhopadhyay, S. pH-induced structural variations of two new Mg(II)-PDA complexes: Experimental and theoretical studies. J. Mol. Struct. 2022, 1265, 133373. [Google Scholar] [CrossRef]
- Zhong, D.-C.; Lu, W.-G.; Deng, J.-H. Two three-dimensional cadmium(II) coordination polymers based on 5-amino-tetrazolate and 1,2,4,5-benzenetetracarboxylate: The pH value controlled syntheses, crystal structures and luminescent properties. CrystEngComm 2014, 16, 4633–4640. [Google Scholar] [CrossRef]
- Cheng, X.Y.; Gu, J.Z.; Guo, L.R.; Wang, H.Y.; Yang, Y.; Kirillova, M.V.; Kirillov, A.M. Coordination polymers from biphenyl−dicarboxylate linkers: Synthesis, structural diversity, interpenetration, and catalytic properties. Inorg. Chem. 2022, 61, 12577–12590. [Google Scholar] [CrossRef] [PubMed]
- Li, G.; Xiao, J.; Zhang, W. Efficient and reusable amine−functionalized polyacrylonitrile fiber catalysts for Knoevenagel condensation in water. Green Chem. 2012, 14, 2234–2242. [Google Scholar] [CrossRef]
- Elhamifar, D.; Kazempoor, S.; Karimi, B. Amine−functionalized ionic liquid−based mesoporous organosilica as a highly efficient nanocatalyst for the Knoevenagel condensation. Catal. Sci. Technol. 2016, 6, 4318–4326. [Google Scholar] [CrossRef]
- Dumbre, D.K.; Mozammel, T.; Selvakannan, P.R.; Hamid, S.B.A.; Choudhary, V.R.; Bhargava, S.K. Thermally decomposed mesoporous Nickel Iron hydrotalcite: An active solid−base catalyst for solvent−free Knoevenagel condensation. J. Colloid Interface Sci. 2015, 441, 52–58. [Google Scholar] [CrossRef] [PubMed]
- Wach, A.; Drozdek, M.; Dudek, B.; Szneler, E.; Kastrowski, P. Control of amine functionality distribution in polyvinylamine/SBA−15 hybrid catalysts for Knoevenagel condensation. Catal. Commun. 2015, 64, 52–57. [Google Scholar] [CrossRef]
- Xue, L.P.; Li, Z.H.; Zhang, T.; Cui, J.J.; Gao, Y.; Yao, J.X. Construction of two Zn(II)/Cd(II) multifunctional coordination polymers with mixed ligands for catalytic and sensing properties. New J. Chem. 2018, 42, 14203–14209. [Google Scholar] [CrossRef]
- Zhai, Z.W.; Yang, S.H.; Lv, Y.R.; Du, C.X.; Li, L.K.; Zang, S.Q. Amino functionalized Zn/Cd−metal−organic frameworks for selective CO2 adsorption and Knoevenagel condensation reactions. Dalton Trans. 2019, 48, 4007–4014. [Google Scholar] [CrossRef]
- Yao, C.; Zhou, S.; Kang, X.; Zhao, Y.; Yan, R.; Zhang, Y.; Wen, L. A Cationic Zinc−Organic Framework with Lewis Acidic and Basic Bifunctional Sites as an Efficient Solvent−Free Catalyst: CO2 Fixation and Knoevenagel Condensation Reaction. Inorg. Chem. 2018, 57, 11157–11164. [Google Scholar] [CrossRef]
- Miao, Z.; Luan, Y.; Qi, C.; Ramella, D. The synthesis of a bifunctional copper metal organic framework and its application in the aerobic oxidation/Knoevenagel condensation sequential reaction. Dalton Trans. 2016, 45, 13917–13924. [Google Scholar] [CrossRef]
- Si, C.-D.; Hu, D.-C.; Fan, Y.; Wu, Y.; Yao, X.-Q.; Yang, Y.-X.; Liu, J.-C. Seven Coordination Polymers Derived from Semirigid Tetracarboxylic Acids and N-Donor Ligands: Topological Structures, Unusual Magnetic Properties, and Photoluminescences. Cryst. Growth Des. 2015, 15, 2419–2432. [Google Scholar] [CrossRef]
- Wang, C.; Xing, F.; Bai, Y.-L.; Zhao, Y.; Li, M.-X.; Zhu, S. Synthesis and Structure of Semirigid Tetracarboxylate Copper(II) Porous Coordination Polymers and Their Versatile High-Efficiency Catalytic Dye Degradation in Neutral Aqueous Solution. Cryst. Growth Des. 2016, 16, 2277–2288. [Google Scholar] [CrossRef]
- Han, X.; Meng, J.; Xu, J.; Liu, X.; Liu, D.; Wang, C. Synthesis, crystal structure, and optical property of a one-dimensional selenidostannate: [AEPPH2]2[Sn5Se12] (AEPP=N-aminoethylpiperazine). Inorg. Chem. Commun. 2016, 63, 42–47. [Google Scholar] [CrossRef]
- Ju, F.Y.; Li, S. 4-Connected Self-Penetrating Cobalt(II) Coordination PolymerBased on Flexible Aromatic Carboxylic Acid and 4,4′-Bipyridine. Russ. J. Gen. Chem. 2020, 90, 1083–1087. [Google Scholar] [CrossRef]
- Li, Y.; Zhao, Z.-Y.; Zou, X.-Z.; Feng, A.-S.; Gu, J.-Z. Syntheses, Crystal Structures, Luminescent and Magnetic Properties of 2D Manganese(II) and Zinc(II) Coordination Polymers Based on an Ether-Bridged Tetracarboxylic Acid. Chin. J. Inorg. Chem. 2020, 36, 377–384. [Google Scholar]
- Li, S.-H.; Tang, J.-W.; Zang, J. Synthesis and crystal structure of a new three-dimensional Cd(II) coordination polymer based on 5-(3′,4′-dicarboxylphenoxy)-isophthalic acid. Inorg. Nano-Met. Chem. 2022, 52, 96–100. [Google Scholar] [CrossRef]
- Shang, L.; Chen, X.-L.; Liu, L.; Hou, X.; Cui, H.-L.; Yang, H.; Wang, J.-J. Novel multifunctional Zn Metal−Organic framework fluorescent probe demonstrating unique sensitivity and selectivity for detection of TNP, ANI, TC and LIN in water solution. J. Solid State Chem. 2021, 304, 122575. [Google Scholar] [CrossRef]
- van der Sluis, P.; Spek, A.L. BYPASS: An effective method for the refinement of crystal structures containing disordered solvent regions. Acta Crystallogr. Sect. A 1990, 46, 194–201. [Google Scholar] [CrossRef]
- Spek, A. PLATON SQUEEZE: A tool for the calculation of the disordered solvent contribution to the calculated structure factors. Acta Crystallogr. Sect. C 2015, 71, 9–18. [Google Scholar] [CrossRef]
- Blatov, V.A. Multipurpose crystallochemical analysis with the program package TOPOS. IUCr Comp. Comm. Newsletter 2006, 7, 4–38. [Google Scholar]
- Blatov, V.A.; Shevchenko, A.P.; Proserpio, D.M. Applied Topological Analysis of Crystal Structures with the Program Package ToposPro. Cryst. Growth Des. 2014, 14, 3576–3586. [Google Scholar] [CrossRef]
- Inomata, Y.; Ando, M.; Howell, F.S. Characterization and crystal structures of copper(II), cobalt(II), and nickel(II) complexes with two kinds of piperidine carboxylic acids. J. Mol. Struct. 2002, 616, 201–212. [Google Scholar] [CrossRef]
- Guo, X.Y.; Zhao, F.; Liu, H.T.; Wang, Y.Q.; Liu, Z.L.; Gao, E.Q. Five new 2D and 3D coordination polymers based on two new multifunctional pyridyl−tricarboxylateligands: Hydrothermal syntheses, structural diversity, luminescent and magnetic properties. RSC Adv. 2017, 7, 19039–19049. [Google Scholar] [CrossRef]
- Almasi, M.; Zelenak, V.; Opanasenko, M.; Cejka, J. A novel nickel metal−organic framework with fluorite−like structure: Gas adsorption properties and catalytic activity in Knoevenagel condensation. Dalton Trans. 2014, 43, 3730–3738. [Google Scholar] [CrossRef] [PubMed]
- Chen, H.; Fan, L.; Hu, T.; Zhang, X. 6s-3d {Ba3Zn4}–Organic Framework as an Effective Heterogeneous Catalyst for Chemical Fixation of CO2 and Knoevenagel Condensation Reaction. Inorg. Chem. 2021, 60, 3384–3392. [Google Scholar] [CrossRef] [PubMed]
- Karmakar, A.; Paul, A.; Rúbio, G.M.D.M.; Guedes da Silva, M.F.C.; Pombeiro, A.J.L. Zinc(II) and Copper(II) Metal−Organic Frameworks Constructed from a Terphenyl−4,4″−dicarboxylic Acid Derivative: Synthesis, Structure, and Catalytic Application in the Cyanosilylation of Aldehydes. Eur. J. Inorg. Chem. 2016, 36, 5557–5567. [Google Scholar] [CrossRef]
- Sheldon, R.A.; Wallau, M.; Arends, I.W.C.E.; Schuchardt, U. Heterogeneous Catalysts for Liquid−phase Oxidations: Philosophers’ Stones or Trojan Horses? Acc. Chem. Res. 1998, 31, 485–493. [Google Scholar] [CrossRef]
- Fan, W.; Wang, X.; Xu, B.; Wang, Y.; Liu, D.; Zhang, M.; Shang, Y.; Dai, F.; Zhang, L.; Sun, D. Amino−functionalized MOFs with high physicochemical stability for efficient gas storage/separation, dye adsorption and catalytic performance. J. Mater. Chem. A 2018, 6, 24486–24495. [Google Scholar] [CrossRef]
- Fan, W.; Wang, Y.; Xiao, Z.; Zhang, L.; Gong, Y.; Dai, F.; Wang, R.; Sun, D. A Stable Amino−Functionalized Interpenetrated Metal−Organic Framework Exhibiting Gas Selectivity and Pore−Size−Dependent Catalytic Performance. Inorg. Chem. 2017, 56, 13634–13637. [Google Scholar] [CrossRef]
- Wang, X.F.; Zhou, S.B.; Du, C.C.; Wang, D.Z.; Jia, D. Seven new Zn(II)/Cd(II) coordination polymers with 2−(hydroxymethyl)−1H−benzo dimidazole−5−carboxylic acid: Synthesis, structures and properties. J. Solid State Chem. 2017, 252, 72–85. [Google Scholar] [CrossRef]
- Karmakar, A.; Rubio, G.M.D.M.; Guedes da Silva, M.F.C.; Hazra, S.; Pombeiro, A.J.L. Solvent−Dependent Structural Variation of Zinc(II) Coordination Polymers and Their Catalytic Activity in the Knoevenagel Condensation Reaction. Cryst. Growth Des. 2015, 15, 4185–4197. [Google Scholar] [CrossRef]
- Lin, X.M.; Li, T.T.; Chen, L.F.; Zhang, L.; Su, C.Y. Two ligand−functionalized Pb(II) metal−organic frameworks: Structures and catalytic performances. Dalton Trans. 2012, 41, 10422–10429. [Google Scholar] [CrossRef] [PubMed]
- Laha, B.; Khullar, S.; Gogia, A.; Mandal, S.K. Effecting structural diversity in a series of Co(II) −organic frameworks by the interplay between rigidity of a dicarboxylate and flexibility of bis(tridentate) spanning ligands. Dalton Trans. 2020, 49, 12298–12310. [Google Scholar] [CrossRef] [PubMed]
- Conceicao, N.R.; Nobre, B.P.; Karmakar, A.; Palavra, A.M.F.; Mahmudov, K.T.; Guedes da Silva, M.F.C.; Pombeiro, A.J.L. Knoevenagel condensation reaction in supercritical carbon dioxide medium using a Zn(II) coordination polymer as catalyst. Inorg. Chim. Acta. 2022, 538, 120981. [Google Scholar] [CrossRef]
- Huang, G.Q.; Chen, J.; Huang, Y.L.; Wu, K.; Luo, D.; Jin, J.K.; Zheng, J.; Xu, S.H.; Lu, W. Mixed−Linker Isoreticular Zn(II) Metal−Organic Frameworks as Brønsted Acid−Base Bifunctional Catalysts for Knoevenagel Condensation Reactions. Inorg. Chem. 2022, 61, 8339–8348. [Google Scholar] [CrossRef]
- Loukopoulos, E.; Kostakis, G.E. Review: Recent advances of one−dimensional coordination polymers as catalysts. J. Coord. Chem. 2018, 71, 371–410. [Google Scholar] [CrossRef]
- Wang, J.; Zhuang, W.; Liang, W.; Yan, T.; Li, T.; Zhang, L.; Li, S. Inorganic nanomaterial lubricant additives for base fluids, to improve tribological performance: Recent developments. Friction 2022, 10, 645–676. [Google Scholar] [CrossRef]
Disclaimer/Publisher’s Note: The statements, opinions and data contained in all publications are solely those of the individual author(s) and contributor(s) and not of MDPI and/or the editor(s). MDPI and/or the editor(s) disclaim responsibility for any injury to people or property resulting from any ideas, methods, instructions or products referred to in the content. |
© 2023 by the authors. Licensee MDPI, Basel, Switzerland. This article is an open access article distributed under the terms and conditions of the Creative Commons Attribution (CC BY) license (https://creativecommons.org/licenses/by/4.0/).