Crystal Growth and Electronic Properties of LaSbSe
Abstract
1. Introduction
2. Materials and Methods
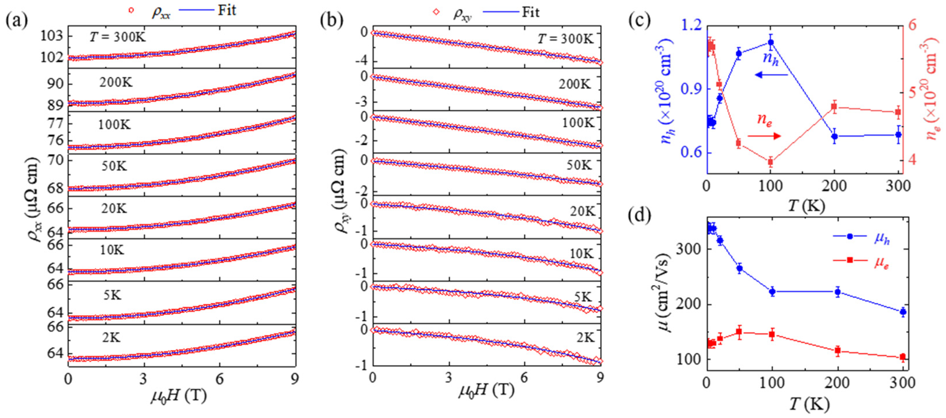
3. Results and Discussions
4. Conclusions
Author Contributions
Funding
Data Availability Statement
Conflicts of Interest
References
- Hasan, M.Z.; Kane, C.L. Colloquium: Topological insulators. Rev. Mod. Phys. 2010, 82, 3045. [Google Scholar] [CrossRef]
 - Qi, X.L.; Zhang, S.C. Topological Insulators and Superconductors. Rev. Mod. Phys. 2011, 83, 1057. [Google Scholar] [CrossRef]
 - Yan, B.; Felser, C. Topological Materials: Weyl Semimetals. Annu. Rev. Condens. Matter Phys. 2017, 8, 337. [Google Scholar] [CrossRef]
 - Armitage, N.P.; Mele, E.J.; Vishwanath, A. Weyl and Dirac semimetals in three-dimensional solids. Rev. Mod. Phys. 2018, 90, 015001. [Google Scholar] [CrossRef]
 - Bernevig, A.; Weng, H.; Fang, Z.; Dai, X. Recent Progress in the Study of Topological Semimetals. J. Phys. Soc. Jpn. 2018, 87, 041001. [Google Scholar] [CrossRef]
 - Nagaosa, N.; Morimoto, T.; Tokura, Y. Transport, magnetic and optical properties of Weyl materials. Nat. Rev. Mater. 2020, 5, 621–636. [Google Scholar] [CrossRef]
 - Fang, C.; Weng, H.; Dai, X.; Fang, Z. Topological nodal line semimetals. Chin. Phys. B 2016, 25, 117106. [Google Scholar] [CrossRef]
 - Liang, T.; Gibson, Q.; Ali, M.N.; Liu, M.; Cava, R.J.; Ong, N.P. Ultrahigh mobility and giant magnetoresistance in the Dirac semimetal Cd3As2. Nat. Mater. 2015, 14, 280. [Google Scholar] [CrossRef]
 - Fu, L. Topological Crystalline Insulators. Phys. Rev. Lett. 2011, 106, 106802. [Google Scholar] [CrossRef]
 - Li, Q.; Kharzeev, D.E.; Zhang, C.; Huang, Y.; Pletikosić, I.; Fedorov, A.V.; Zhong, R.D.; Schneeloch, J.A.; Gu, G.D.; Valla, T. Chiral Magnetic Effect in ZrTe5. Nat. Phys. 2016, 12, 6. [Google Scholar] [CrossRef]
 - Jho, Y.S.; Kim, K.S. Interplay between Interaction and Chiral Anomaly: Anisotropy in the Electrical Resistivity of Interacting Weyl Metals. Phys. Rev. B 2013, 87, 205133. [Google Scholar] [CrossRef]
 - Son, D.T.; Spivak, B.Z. Chiral anomaly and classical negative magnetoresistance of Weyl metals. Phys. Rev. B 2013, 88, 104412. [Google Scholar] [CrossRef]
 - Roy, R.; Kallin, C. Collective modes and electromagnetic response of a chiral superconductor. Phys. Rev. B 2008, 77, 174513. [Google Scholar] [CrossRef]
 - Xu, S.-Y.; Liu, C.; Kushwaha, S.K.; Sankar, R.; Krizan, J.W.; Belopolski, I.; Neupane, M.; Bian, G.; Alidoust, N.; Chang, T.-R.; et al. Observation of Fermi arc surface states in a topological metal. Science 2015, 347, 294. [Google Scholar] [CrossRef] [PubMed]
 - Xu, S.-Y.; Alidoust, N.; Belopolski, I.; Yuan, Z.; Bian, G.; Chang, T.-R.; Zheng, H.; Strocov, V.N.; Sanchez, D.S.; Chang, G.; et al. Discovery of a Weyl fermion state with Fermi arcs in niobium arsenide. Nat. Phys. 2015, 11, 748–754. [Google Scholar] [CrossRef]
 - Lv, B.Q.; Weng, H.M.; Fu, B.B.; Wang, X.P.; Miao, H.; Ma, J.; Richard, P.; Huang, X.C.; Zhao, L.X.; Chen, G.F.; et al. Experimental Discovery of Weyl Semimetal TaAs. Phys. Rev. X 2015, 5, 031013. [Google Scholar] [CrossRef]
 - Huang, S.-M.; Xu, S.-Y.; Belopolski, I.; Lee, C.-C.; Chang, G.; Wang, B.; Alidoust, N.; Bian, G.; Neupane, M.; Zhang, C.; et al. A Weyl Fermion semimetal with surface Fermi arcs in the transition metal monopnictide TaAs class. Nat. Commun. 2015, 6, 7373. [Google Scholar] [CrossRef]
 - Wan, X.; Turner, A.M.; Vishwanath, A.; Savrasov, S.Y. Topological Semimetal and Fermi-Arc Surface States in the Electronic Structure of pyrochlore iridates. Phys. Rev. B 2011, 83, 205101. [Google Scholar] [CrossRef]
 - Xu, Q.; Song, Z.; Nie, S.; Weng, H.; Fang, Z.; Dai, X. Two-Dimensional Oxide Topological Insulator with Iron-Pnictide Superconductor LiFeAs Structure. Phys. Rev. B 2015, 92, 205310. [Google Scholar] [CrossRef]
 - Schoop, L.M.; Ali, M.N.; Straßer, C.; Topp, A.; Varykhalov, A.; Marchenko, D.; Duppel, V.; Parkin, S.S.; Lotsch, B.V.; Ast, C.R. Dirac Cone Protected by Non-Symmorphic Symmetry and Three-Dimensional Dirac Line Node in ZrSiS. Nat. Commun. 2016, 7, 11696. [Google Scholar] [CrossRef]
 - Hu, J.; Tang, Z.; Liu, J.; Liu, X.; Zhu, Y.; Graf, D.; Myhro, K.; Tran, S.; Lau, C.N.; Wei, J.; et al. Evidence of Topological Nodal-Line Fermions in ZrSiSe and ZrSiTe. Phys. Rev. Lett. 2016, 117, 016602. [Google Scholar] [CrossRef] [PubMed]
 - Lou, R.; Ma, J.-Z.; Xu, Q.-N.; Fu, B.-B.; Kong, L.-Y.; Shi, Y.-G.; Richard, P.; Weng, H.-M.; Fang, Z.; Sun, S.-S.; et al. Emergence of topological bands on the surface of ZrSnTe crystal. Phys. Rev. B 2016, 93, 241104. [Google Scholar] [CrossRef]
 - Neupane, M.; Belopolski, I.; Hosen, M.M.; Sanchez, D.S.; Sankar, R.; Szlawska, M.; Xu, S.-Y.; Dimitri, K.; Dhakal, N.; Maldonado, P.; et al. Observation of topological nodal fermion semimetal phase in ZrSiS. Phys. Rev. B 2016, 93, 201104. [Google Scholar] [CrossRef]
 - Takane, D.; Wang, Z.; Souma, S.; Nakayama, K.; Trang, C.X.; Sato, T.; Takahashi, T.; Ando, Y. Dirac-Node Arc in the Topological Line-Node Semimetal HfSiS. Phys. Rev. B 2016, 94, 121108. [Google Scholar] [CrossRef]
 - Hosen, M.M.; Dimitri, K.; Belopolski, I.; Maldonado, P.; Sankar, R.; Dhakal, N.; Dhakal, G.; Cole, T.; Oppeneer, P.M.; Kaczorowski, D.; et al. Tunability of the Topological Nodal-Line Semimetal Phase in ZrSiX-type materials (X = S, Se, Te). Phys. Rev. B 2017, 95, 161101. [Google Scholar] [CrossRef]
 - Chen, C.; Xu, X.; Jiang, J.; Wu, S.C.; Qi, Y.P.; Yang, L.X.; Wang, M.X.; Sun, Y.; Schröter, N.B.M.; Yang, H.F.; et al. Dirac Line Nodes and Effect of Spin-Orbit Coupling in the Nonsymmorphic Critical Semimetals. Phys. Rev. B 2017, 95, 125126. [Google Scholar] [CrossRef]
 - Hosen, M.; Dhakal, G.; Dimitri, K.; Maldonado, P.; Aperis, A.; Kabir, F.; Sims, C.; Riseborough, P.; Oppeneer, P.M.; Kaczorowski, D.; et al. Discovery of topological nodal-line fermionic phase in a magnetic material GdSbTe. Sci. Rep. 2018, 8, 13283. [Google Scholar] [CrossRef]
 - LSchoop, L.M.; Topp, A.; Lippmann, J.; Orlandi, F.; Müchler, L.; Vergniory, M.G.; Sun, Y.; Rost, A.W.; Duppel, V.; Krivenkov, M.; et al. Tunable Weyl and Dirac states in the nonsymmorphic compound CeSbTe. Sci. Adv. 2018, 4, eaar2317. [Google Scholar] [CrossRef]
 - Fu, B.-B.; Yi, C.-J.; Zhang, T.-T.; Caputo, M.; Ma, J.-Z.; Gao, X.; Lv, B.Q.; Kong, L.-Y.; Huang, Y.-B.; Richard, P.; et al. Dirac nodal surfaces and nodal lines in ZrSiS. Sci. Adv. 2019, 5, eaau6459. [Google Scholar] [CrossRef]
 - Topp, A.; Lippmann, J.M.; Varykhalov, A.; Duppel, V.; Lotsch, B.V.; Ast, C.R.; Schoop, L.M. Non-Symmorphic Band Degeneracy at the Fermi Level in ZrSiTe. New J. Phys. 2016, 18, 125014. [Google Scholar] [CrossRef]
 - Pezzini, S.; van Delft, M.R.; Schoop, L.M.; Lotsch, B.V.; Carrington, A.; Katsnelson, M.I.; Hussey, N.E.; Wiedmann, S. Unconventional mass enhancement around the Dirac nodal loop in ZrSiS. Nat. Phys. 2017, 14, 178. [Google Scholar] [CrossRef]
 - Shao, Y.; Rudenko, A.N.; Hu, J.; Sun, Z.; Zhu, Y.; Moon, S.; Millis, A.J.; Yuan, S.; Lichtenstein, A.I.; Smirnov, D.; et al. Electronic correlations in nodal-line semimetals. Nat. Phys. 2020, 16, 636. [Google Scholar] [CrossRef]
 - Hosen, M.M.; Dimitri, K.; Aperis, A.; Maldonado, P.; Belopolski, I.; Dhakal, G.; Kabir, F.; Sims, C.; Hasan, M.Z.; Kaczorowski, D.; et al. Observation of gapless Dirac surface states in ZrGeTe. Phys. Rev. B 2018, 97, 121103. [Google Scholar] [CrossRef]
 - Topp, A.; Queiroz, R.; Grüneis, A.; Müchler, L.; Rost, A.W.; Varykhalov, A.; Marchenko, D.; Krivenkov, M.; Rodolakis, F.; McChesney, J.L.; et al. Surface Floating 2D Bands in Layered Nonsymmorphic Semimetals: ZrSiS and Related Compounds. Phys. Rev. X 2017, 7, 041073. [Google Scholar] [CrossRef]
 - Liu, X.; Yue, C.; Erohin, S.V.; Zhu, Y.; Joshy, A.; Liu, J.; Sanchez, A.M.; Graf, D.; Sorokin, P.B.; Mao, Z.; et al. Quantum Transport of the 2D Surface State in a Nonsymmorphic Semimetal. Nano Lett. 2021, 21, 4887. [Google Scholar] [CrossRef]
 - Gatti, G.; Crepaldi, A.; Puppin, M.; Tancogne-Dejean, N.; Xian, L.; De Giovannini, U.; Roth, S.; Polishchuk, S.; Bugnon, P.; Magrez, A.; et al. Light-Induced Renormalization of the Dirac Quasiparticles in the Nodal-Line Semimetal ZrSiSe. Phys. Rev. Lett. 2020, 125, 076401. [Google Scholar] [CrossRef]
 - VanGennep, D.; Paul, T.A.; Yerger, C.W.; Weir, S.T.; Vohra, Y.K.; Hamlin, J.J. Possible pressure-induced topological quantum phase transition in the nodal line semimetal ZrSiS. Phys. Rev. B 2019, 99, 085204. [Google Scholar] [CrossRef]
 - Gu, C.C.; Hu, J.; Chen, X.L.; Guo, Z.P.; Fu, B.T.; Zhou, Y.H.; An, C.; Zhang, R.R.; Xi, C.Y.; Gu, Q.Y.; et al. Experimental evidence of crystal symmetry protection for the topological nodal line semimetal state in ZrSiS. Phys. Rev. B 2019, 100, 205124. [Google Scholar] [CrossRef]
 - Lv, B.; Chen, J.; Qiao, L.; Ma, J.; Yang, X.; Li, M.; Wang, M.; Tao, Q.; Xu, Z.-A. Magnetic and transport properties of low-carrier-density Kondo semimetal CeSbTe. J. Phys. Condens. Matter 2019, 31, 355601. [Google Scholar] [CrossRef]
 - Singha, R.; Salters, T.H.; Teicher, S.M.; Lei, S.; Khoury, J.F.; Ong, N.P.; Schoop, L.M. Evolving Devil’s Staircase Magnetization from Tunable Charge Density Waves in Nonsymmorphic Dirac Semimetals. Adv. Mater. 2021, 33, 2103476. [Google Scholar] [CrossRef]
 - Sankar, R.; Muthuselvam, I.P.; Babu, K.R.; Murugan, G.S.; Rajagopal, K.; Kumar, R.; Wu, T.-C.; Wen, C.-Y.; Lee, W.-L.; Guo, G.-Y.; et al. Crystal Growth and Magnetic Properties of Topological Nodal-Line Semimetal GdSbTe with Antiferromagnetic Spin Ordering. Inorg. Chem. 2019, 58, 11730. [Google Scholar] [CrossRef] [PubMed]
 - Lei, S.; Saltzman, A.; Schoop, L.M. Complex Magnetic Phases Enriched by Charge Density Waves in the Topological Semimetals GdSbxTe2-x-d. Phys. Rev. B 2021, 103, 134418. [Google Scholar] [CrossRef]
 - Lei, S.; Duppel, V.; Lippmann, J.M.; Nuss, J.; Lotsch, B.V.; Schoop, L.M. Charge Density Waves and Magnetism in Topological Semimetal Candidates GdSbxTe2−x−δ. Adv. Quantum Technol. 2019, 2, 1900045. [Google Scholar] [CrossRef]
 - Pandey, K.; Mondal, D.; Villanova, J.W.; Roll, J.; Basnet, R.; Wegner, A.; Acharya, G.; Nabi, M.R.U.; Ghosh, B.; Fujii, J.; et al. Magnetic Topological Semimetal Phase with Electronic Correlation Enhancement in SmSbTe. Adv. Quantum Technol. 2021, 4, 2100063. [Google Scholar] [CrossRef]
 - Pandey, K.; Basnet, R.; Wang, J.; Da, B.; Hu, J. Evolution of Electronic and Magnetic Properties in the Topological Semimetal SmSbxTe2-x. Phys. Rev. B 2022, 105, 155139. [Google Scholar] [CrossRef]
 - Pandey, K.; Basnet, R.; Wegner, A.; Acharya, G.; Nabi, R.U.; Liu, J.; Wang, J.; Takahashi, Y.K.; Da, B.; Hu, J. Electronic and magnetic properties of the topological semimetal candidate NdSbTe. Phys. Rev. B 2020, 101, 235161. [Google Scholar] [CrossRef]
 - Sankar, R.; Muthuselvam, I.P.; Rajagopal, K.; Babu, K.R.; Murugan, G.S.; Bayikadi, K.S.; Moovendaran, K.; Wu, C.T.; Guo, G.-Y. The anisotropic magnetic properties of nonsymmorphic semi-metallic single crystal NdSbTe. Cryst. Growth Des. 2020, 20, 6585. [Google Scholar] [CrossRef]
 - Yang, M.; Qian, Y.; Yan, D.; Li, Y.; Song, Y.; Wang, Z.; Yi, C.; Feng, H.L.; Weng, H.; Shi, Y. Magnetic and electronic properties of a topological nodal line semimetal candidate: HoSbTe. Phys. Rev. Mater. 2020, 4, 094203. [Google Scholar] [CrossRef]
 - Yue, S.; Qian, Y.; Yang, M.; Geng, D.; Yi, C.; Kumar, S.; Shimada, K.; Cheng, P.; Chen, L.; Wang, Z.; et al. Topological electronic structure in the antiferromagnet HoSbTe. Phys. Rev. B 2020, 102, 155109. [Google Scholar] [CrossRef]
 - Gao, F.; Huang, J.; Ren, W.; Li, M.; Wang, H.; Yang, T.; Li, B.; Zhang, Z. Magnetic and transport properties of the topological compound DySbTe. Phys. Rev. B 2022, 105, 214434. [Google Scholar] [CrossRef]
 - Regmi, S.; Smith, R.; Sakhya, A.P.; Sprague, M.; Mondal, M.I.; Elius, I.B.; Valadez, N.; Ptok, A.; Kaczorowski, D.; Neupane, M. Observation of Gapless Nodal-Line States in NdSbTe. arXiv 2022, arXiv:2210.00163. [Google Scholar]
 - Li, P.; Lv, B.; Fang, Y.; Guo, W.; Wu, Z.; Wu, Y.; Shen, D.; Nie, Y.; Petaccia, L.; Cao, C.; et al. Charge density wave and weak Kondo effect in a Dirac semimetal CeSbTe. Sci. China Ser. G Phys. Mech. Astron. 2021, 64, 237412. [Google Scholar] [CrossRef]
 - Chen, K.-W.; Lai, Y.; Chiu, Y.-C.; Steven, S.; Besara, T.; Graf, D.; Siegrist, T.; Albrecht-Schmitt, T.E.; Balicas, L.; Baumbach, R.E. Possible devil’s staircase in the Kondo lattice CeSbSe. Phys. Rev. B 2017, 96, 014421. [Google Scholar] [CrossRef]
 - Petříček, V.; Dušek, M.; Palatinus, L. Crystallographic Computing System JANA2006: General features. Z. Für Krist.-Cryst. Mater. 2014, 229, 345–352. [Google Scholar] [CrossRef]
 - Ibragimova, S.G.; Aliev, F.G.; Aliev, O.M.; Mamedov, V.N.; Ibragimov, Z.A. Synthesis and properties of rare earth chalcopnictides. Zhurnal Neorg. Khimii 1994, 39, 206–207. [Google Scholar]
 - Singha, R.; Pariari, A.; Satpati, B.; Mandal, P. Magnetotransport properties and evidence of a topological insulating state in LaSbTe. Phys. Rev. B 2017, 96, 245138. [Google Scholar] [CrossRef]
 - Lei, S.; Teicher, S.M.L.; Topp, A.; Cai, K.; Lin, J.; Cheng, G.; Salters, T.H.; Rodolakis, F.; McChesney, J.L.; Lapidus, S.; et al. Band Engineering of Dirac Semimetals Using Charge Density Waves. Adv. Mater. 2021, 33, 2101591. [Google Scholar] [CrossRef]
 - Hu, J.; Zhu, Y.; Gui, X.; Graf, D.; Tang, Z.; Xie, W.; Mao, Z. Quantum oscillation evidence for a topological semimetal phase in ZrSnTe. Phys. Rev. B 2018, 97, 155101. [Google Scholar] [CrossRef]
 - Singha, R.; Pariari, A.K.; Satpati, B.; Mandal, P. Large nonsaturating magnetoresistance and signature of nondegenerate Dirac nodes in ZrSiS. Proc. Natl. Acad. Sci. USA 2017, 114, 2468. [Google Scholar] [CrossRef]
 - Ali, M.N.; Schoop, L.M.; Garg, C.; Lippmann, J.M.; Lara, E.; Lotsch, B.; Parkin, S.S.P. Butterfly magnetoresistance, quasi-2D Dirac Fermi surface and topological phase transition in ZrSiS. Sci. Adv. 2016, 2, e1601742. [Google Scholar] [CrossRef]
 - Yang, Y.; Zhu, P.; Yang, L.; Liu, J.; Li, Y.; Wang, Z. Crystal Growth and Characterization of ZrSiS-Type Topological Dirac Semimetals. Crystals 2022, 12, 728. [Google Scholar] [CrossRef]
 - Qian, B.; Tang, F.; Ruan, Y.R.; Fang, Y.; Han, Z.D.; Jiang, X.F.; Zhang, J.-M.; Chen, S.Y.; Wang, D.H. Extremely large magnetoresistance in the nonmagnetic semimetal YBi. J. Mater. Chem. C 2018, 6, 10020. [Google Scholar] [CrossRef]
 - Cha, P.; Wentzell, N.; Parcollet, O.; Georges, A.; Kim, E.A. Linear Resistivity and Sachdev-Ye-Kitaev (SYK) Spin Liquid Behavior in a Quantum Critical Metal with Spin-1/2 Fermions. Proc. Natl. Acad. Sci. USA 2020, 117, 18341. [Google Scholar] [CrossRef] [PubMed]
 - Bruin, J.A.N.; Sakai, H.; Perry, R.S.; Mackenzie, A.P. Similarity of Scattering Rates in Metals Showing T-Linear Resistivity. Science 2013, 339, 804. [Google Scholar] [CrossRef]
 - Paglione, J.; Sayles, T.A.; Ho, P.-C.; Jeffries, J.R.; Maple, M.B. Incoherent non-Fermi-liquid scattering in a Kondo lattice. Nat. Phys. 2007, 3, 703–706. [Google Scholar] [CrossRef]
 - Varma, C.M. Colloquium: Linear in Temperature Resistivity and Associated Mysteries Including High Temperature Superconductivity. Rev. Mod. Phys. 2020, 92, 031001. [Google Scholar] [CrossRef]
 - Taillefer, L. Scattering and Pairing in Cuprate Superconductors. Annu. Rev. Condens. Matter Phys. 2010, 1, 51–70. [Google Scholar] [CrossRef]
 - Hu, J.; Xu, S.-Y.; Ni, N.; Mao, Z. Transport of Topological Semimetals. Annu. Rev. Mater. Res. 2019, 49, 207. [Google Scholar] [CrossRef]
 - Kumar, N.; Manna, K.; Qi, Y.; Wu, S.C.; Wang, L.; Yan, B.; Felser, C.; Shekhar, C. Unusual Magnetotransport from Si-Square Nets in Topological Semimetal HfSiS. Phys. Rev. B 2017, 95, 121109. [Google Scholar] [CrossRef]
 - Pippard, A.B. Magnetoresistance in Metals; Cambridge University Press: Cambridge, UK, 1989. [Google Scholar]
 - Hu, J.; Tang, Z.; Liu, J.; Zhu, Y.; Wei, J.; Mao, Z. Nearly Massless Dirac Fermions and Strong Zeeman Splitting in the Nodal-Line Semimetal ZrSiS Probed by de Haas—Van Alphen Quantum Oscillations. Phys. Rev. B 2017, 96, 045127. [Google Scholar] [CrossRef]
 - Lin, J.Y.; Hsieh, Y.S.; Chareev, D.A.; Vasiliev, A.N.; Parsons, Y.; Yang, H.D. Coexistence of Isotropic and Extended S-Wave Order Parameters in FeSe as Revealed by Low-Temperature Specific Heat. Phys. Rev. B 2011, 84, 220507. [Google Scholar] [CrossRef]
 - Maheshwari, P.K.; Reddy, V.R.; Awana, V.P.S. Heat Capacity and Mössbauer Study of Self-Flux Grown FeTe Single Crystal. J. Supercond. Nov. Magn. 2018, 31, 1659. [Google Scholar] [CrossRef]
 - Chen, G.Y.; Zhu, X.; Yang, H.; Wen, H.H. Highly Anisotropic Superconducting Gaps and Possible Evidence of Antiferromagnetic Order in FeSe Single Crystals. Phys. Rev. B 2017, 96, 064524. [Google Scholar] [CrossRef]
 - Song, J.; Song, M.; Li, Z.; Wang, J.; Wang, Y.; Zhang, L.; Han, Y.; Cao, L.; Xiong, Y.; Liu, D. Signatures of Fermi Surface Topology Change in the Nodal-Line Semimetal ZrSiSe1-xTex. Phys. Rev. B 2021, 103, 165141. [Google Scholar] [CrossRef]
 - Sankar, R.; Peramaiyan, G.; Muthuselvam, I.P.; Butler, C.; Dimitri, K.; Neupane, M.; Rao, G.N.; Lin, M.-T.; Chou, F.C. Crystal growth of Dirac semimetal ZrSiS with high magnetoresistance and mobility. Sci. Rep. 2017, 7, 40603. [Google Scholar] [CrossRef] [PubMed]
 




| Atom | Wyckoff | x | y | z | Uiso | 
|---|---|---|---|---|---|
| La | 4e | −0.005 (8) | 0.35203 (4) | 0.242 (4) | 0.0105 (3) | 
| Sb | 4e | 0.498 (4) | −0.00386 (14) | 0.750 (3) | 0.0039 (3) | 
| Se | 4e | −0.006 (11) | 0.18612 (7) | 0.237 (4) | 0.0080 (6) | 
| Atom | Wyckoff | x | y | z | Uiso*/Ueq | 
|---|---|---|---|---|---|
| La | 4e | 0.49016 (5) | 0.352057 (8) | 0.24017 (3) | 0.00743 (11) | 
| Sb | 4e | 0.98422 (6) | 0.000418 (14) | 0.23424 (3) | 0.00802 (12) | 
| Se | 4e | 0.49157 (7) | 0.185065 (16) | 0.24162 (4) | 0.00756 (18) | 
| Material | Transport | MR | Carrier Density | Mobility | 
|---|---|---|---|---|
| LaSbSe [this work] | metallic | 3.3% at 2 K, 9 T | 1019–1020 cm−3 | 100–300 cm2/Vs | 
| LaSbTe [56] | metallic | 5 × 103% at 5 K, 9 T | 1019 cm−3 | 3.7 × 103–1.9 × 104 cm2/Vs | 
| (Zr/Hf)SiS [69,71] | metallic | 8.5 × 103% at 3 K, 9 T | 1020 cm−3 | 1.23 × 104–1.37 × 104 cm2/Vs | 
| NdSbTe [46] | non-metallic | 0.8 at 2 K, 9 T | 1021 cm–3 | 2–3 cm2/Vs | 
Publisher’s Note: MDPI stays neutral with regard to jurisdictional claims in published maps and institutional affiliations.  | 
© 2022 by the authors. Licensee MDPI, Basel, Switzerland. This article is an open access article distributed under the terms and conditions of the Creative Commons Attribution (CC BY) license (https://creativecommons.org/licenses/by/4.0/).
Share and Cite
Pandey, K.; Sayler, L.; Basnet, R.; Sakon, J.; Wang, F.; Hu, J. Crystal Growth and Electronic Properties of LaSbSe. Crystals 2022, 12, 1663. https://doi.org/10.3390/cryst12111663
Pandey K, Sayler L, Basnet R, Sakon J, Wang F, Hu J. Crystal Growth and Electronic Properties of LaSbSe. Crystals. 2022; 12(11):1663. https://doi.org/10.3390/cryst12111663
Chicago/Turabian StylePandey, Krishna, Lauren Sayler, Rabindra Basnet, Josh Sakon, Fei Wang, and Jin Hu. 2022. "Crystal Growth and Electronic Properties of LaSbSe" Crystals 12, no. 11: 1663. https://doi.org/10.3390/cryst12111663
APA StylePandey, K., Sayler, L., Basnet, R., Sakon, J., Wang, F., & Hu, J. (2022). Crystal Growth and Electronic Properties of LaSbSe. Crystals, 12(11), 1663. https://doi.org/10.3390/cryst12111663
        
