Residual Repeated Impact Strength of Concrete Exposed to Elevated Temperatures
Abstract
:1. Introduction
2. Experimental Work
3. Results and Discussion
3.1. Compressive Strength
3.2. Flexural Strength
3.3. Repeated Impact Strength
3.3.1. Cracking and Failure Impact Numbers
3.3.2. Failure Patterns
4. Weibull Distribution
4.1. Mean Standard Deviation Method (MSDM)
4.2. Energy Pattern Factor Method (EPFM)
4.3. Method of Moments (MOM)
5. Conclusions
- The compressive strength was increased by less than 2% after exposure to 100 °C, while it decreased by more than 18% after exposure to 200 °C, followed by a partially recovered strength recorded at 300 °C. Finally, the compressive strength exhibited a continuous decrease after 400 °C, reaching a residual strength of approximately 50% of the original strength at 600 °C. This multi-phase behavior is attributed to the early loss of free water, physical and chemical changes in the cement paste after and the different thermal movements of the cement paste and aggregate.
- Owing to the weak microstructural response of concrete under tensile stresses, the deterioration of the flexural strength after 200 °C was significantly higher than compressive strength, where the residual tensile strength after exposure to 400, 500 and 600 °C was approximately 58, 43 and 9%, respectively.
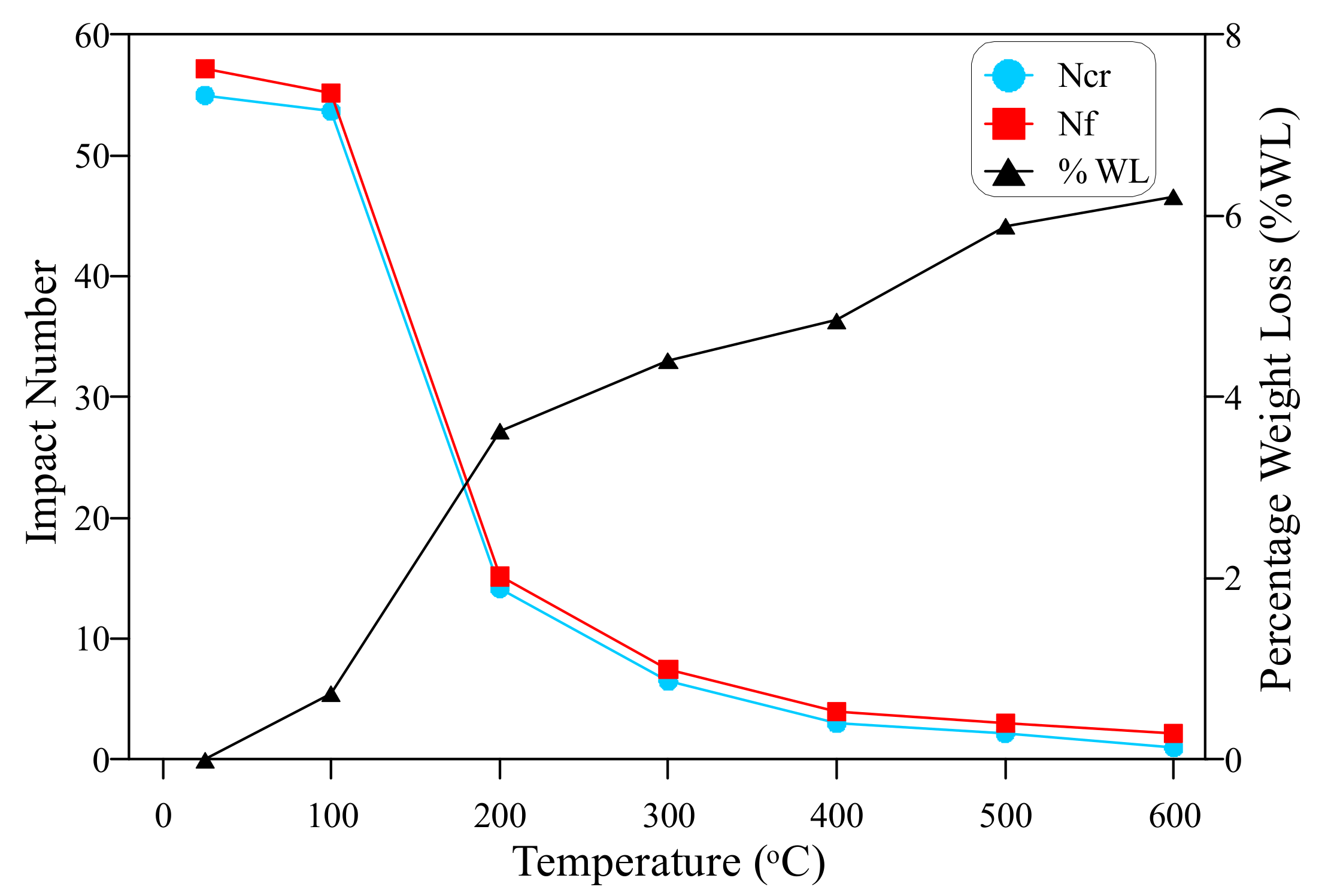
- The impact strength, in terms of the cracking and failure impact numbers, was almost unaffected after exposure to 100 °C, where the reduction was only 2.4 and 3.5% in the cracking and failure numbers. However, a sharp drop in the impact strength of 74.2% was recorded after exposure to 200 °C, which was followed be a continuous decrease after exposure to the higher temperatures. The impact strength almost vanished at 600 °C, where the percentage reductions in the cracking and failure numbers were 98.2 and 96.2%, respectively. The higher strength drop under impact loads, compared to the compressive and tensile strengths, is attributed to the high concentrated tensile stresses induced in the material within a short time under the repeated impacts.
- Comparing the residual strength with the percentage weight loss of the cube, prism and disc specimens, it was found that, by excluding the full or partial recovery regions, the strength follows an approximately similar behavior to that of weight loss after high temperature exposure. However, the percentage reduction in strength was much higher than the percentage increase in weight loss of the same specimens.
- The failure of the specimens heated to temperatures up to 300 °C was similar to that of the unheated specimens, where a central fracture zone formed due to the concentrated compression impacts beneath the steel ball, followed by cracking and failure along two or three radial cracks. On the other hand, the deteriorated microstructure of the specimens heated to temperatures of 400 to 600 °C imposed a different fracture behavior, where the specimens cracked quickly and softly along four or five paths accompanied by additional surface hair cracks, which reflects the weak strength of the material and the existence of internal thermal cracks prior to testing.
- A rational distribution is desirable from a statistical perspective, in line with the relevant impact strength and, most significantly, with the safety of the design calculation. The Weibull distribution was found to be an efficient tool to examine the scattered test results and present the impact strength at the desired levels of reliability.
Author Contributions
Funding
Data Availability Statement
Acknowledgments
Conflicts of Interest
References
- Nili, M.; Afroughsabet, V. Combined effect of silica fume and steel fibers on the impact resistance and mechanical properties of concrete. Int. J. Impact Eng. 2010, 37, 879–886. [Google Scholar] [CrossRef] [Green Version]
- Wang, W.; Chouw, N. The behavior of coconut fibre reinforced concrete (CFRC) under impact loading. Constr. Build. Mater. 2017, 134, 452–461. [Google Scholar] [CrossRef]
- Abid, S.R.; Gunasekaran, M.; Ali, S.H.; Kadhum, A.L.; Al-Gasham, T.S.; Fediuk, R.; Vatin, N.; Karelina, M. Impact Performance of Steel Fiber-Reinforced Self-Compacting Concrete against Repeated Drop Weight Impact. Crystals 2021, 11, 91. [Google Scholar] [CrossRef]
- Jabir, H.A.; Abid, S.R.; Murali, G.; Ali, S.H.; Klyuev, S.; Fediuk, R.; Vatin, N.; Promakhov, V.; Vasilev, Y. Experimental Tests and Reliability Analysis of the Cracking Impact Resistance of UHPFRC. Fibers 2020, 8, 74. [Google Scholar] [CrossRef]
- Salaimanimagudam, M.P.; Suribabu, C.R.; Murali, G.; Abid, S.R. Impact Response of Hammerhead Pier Fibrous Concrete Beams Designed with Topology Optimization. Period. Polytech. Civ. Eng. 2020, 64, 1244–1258. [Google Scholar] [CrossRef]
- ACI 544-2R. Measurement of Properties of Fiber Reinforced Concrete; American Concrete Institute: Indianapolis, IN, USA, 1999. [Google Scholar]
- Haridharan, M.; Matheswaran, S.; Murali, G.; Abid, S.R.; Fediuk, R.; Amran, Y.M.; Abdelgader, H.S. Impact response of two-layered grouted aggregate fibrous concrete composite under falling mass impact. Constr. Build. Mater. 2020, 263, 120628. [Google Scholar] [CrossRef]
- Murali, G.; Abid, S.R.; Amran, Y.M.; Abdelgader, H.S.; Fediuk, R.; Susrutha, A.; Poonguzhali, K. Impact performance of novel multi-layered prepacked aggregate fibrous composites under compression and bending. Structures 2020, 28, 1502–1515. [Google Scholar] [CrossRef]
- Murali, G.; Abid, S.R.; Karthikeyan, K.; Haridharan, M.; Amran, M.; Siva, A. Low-velocity impact response of novel prepacked expanded clay aggregate fibrous concrete produced with carbon nano tube, glass fiber mesh and steel fiber. Constr. Build. Mater. 2021, 284, 122749. [Google Scholar] [CrossRef]
- Imbabi, M.S.; Carrigan, C.; McKenna, S. Trends and developments in green cement and concrete technology. Int. J. Sustain. Built Environ. 2012, 1, 194–216. [Google Scholar] [CrossRef] [Green Version]
- Sharma, N.K.; Kumar, P.; Kumar, S.; Thomas, B.S.; Gupta, R.C. Properties of concrete containing polished granite waste as partial substitution of coarse aggregate. Constr. Build. Mater. 2017, 151, 158–163. [Google Scholar] [CrossRef]
- Babalola, O.; Awoyera, P.O.; Le, D.-H.; Romero, L.B. A review of residual strength properties of normal and high strength concrete exposed to elevated temperatures: Impact of materials modification on behaviour of concrete composite. Constr. Build. Mater. 2021, 296, 123448. [Google Scholar] [CrossRef]
- Gagg, C.R. Cement and concrete as an engineering material: An historic appraisal and case study analysis. Eng. Fail. Anal. 2014, 40, 114–140. [Google Scholar] [CrossRef]
- Behera, M.; Bhattacharyya, S.K.; Minocha, A.K.; Deoliya, R.; Maiti, S. Recycled aggregate from C&D waste & its use in concrete–A break through towards sustainability in construction sector: A review. Constr. Build. Mater. 2014, 68, 501–516. [Google Scholar]
- Tufail, M.; Shahzada, K.; Gencturk, B.; Wei, J. Effect of Elevated Temperature on Mechanical Properties of Limestone, Quartzite and Granite Concrete. Int. J. Concr. Struct. Mater. 2016, 11, 17–28. [Google Scholar] [CrossRef] [Green Version]
- Arna’Ot, F.H.; Abid, S.R.; Özakça, M.; Tayşi, N. Review of concrete flat plate-column assemblies under fire conditions. Fire Saf. J. 2017, 93, 39–52. [Google Scholar] [CrossRef]
- Guo, Y.-C.; Zhang, J.-H.; Chen, G.-M.; Xie, Z.-H. Compressive behaviour of concrete structures incorporating recycled concrete aggregates, rubber crumb and reinforced with steel fibre, subjected to elevated temperatures. J. Clean. Prod. 2014, 72, 193–203. [Google Scholar] [CrossRef]
- Mehdipour, S.; Nikbin, I.; Dezhampanah, S.; Mohebbi, R.; Moghadam, H.; Charkhtab, S.; Moradi, A. Mechanical properties, durability and environmental evaluation of rubberized concrete incorporating steel fiber and metakaolin at elevated temperatures. J. Clean. Prod. 2020, 254, 120126. [Google Scholar] [CrossRef]
- Alimrani, N.; Balazs, G.L. Investigations of direct shear of one-year old SFRC after exposed to elevated temperatures. Constr. Build. Mater. 2020, 254, 119308. [Google Scholar] [CrossRef]
- Drzymała, T.; Jackiewicz-Rek, W.; Tomaszewski, M.; Kuś, A.; Gałaj, J.; Šukys, R. Effects of high temperatures on the properties of high performance concrete (HPC). Procedia Eng. 2017, 172, 256–263. [Google Scholar] [CrossRef]
- Chu, H.-Y.; Jiang, J.-Y.; Sun, W.; Zhang, M. Mechanical and physicochemical properties of ferro-siliceous concrete subjected to elevated temperatures. Constr. Build. Mater. 2016, 122, 743–752. [Google Scholar] [CrossRef] [Green Version]
- Roufael, G.; Beaucour, A.-L.; Eslami, J.; Hoxha, D.; Noumowé, A. Influence of lightweight aggregates on the physical and mechanical residual properties of concrete subjected to high temperatures. Constr. Build. Mater. 2020, 268, 121221. [Google Scholar] [CrossRef]
- Deng, Z.; Huang, H.; Ye, B.; Wang, H.; Xiang, P. Investigation on recycled aggregate concretes exposed to high temperature by biaxial compressive tests. Constr. Build. Mater. 2020, 244, 118048. [Google Scholar] [CrossRef]
- Phan, L.T.; Carino, N.J. Code provisions for high strength concrete strength-temperature relationship at elevated temperatures. Mater. Struct. 2003, 36, 91–98. [Google Scholar] [CrossRef]
- Phan, L.T.; Carino, N.J. Review of Mechanical Properties of HSC at Elevated Temperature. J. Mater. Civ. Eng. 1998, 10, 58–65. [Google Scholar] [CrossRef]
- Husem, M. The effects of high temperature on compressive and flexural strengths of ordinary and high-performance concrete. Fire Saf. J. 2006, 41, 155–163. [Google Scholar] [CrossRef]
- Chen, L.; Fang, Q.; Jiang, X.; Ruan, Z.; Hong, J. Combined effects of high temperature and high strain rate on normal weight concrete. Int. J. Impact Eng. 2015, 86, 40–56. [Google Scholar] [CrossRef]
- Zhai, C.; Chen, L.; Xiang, H.; Fang, Q. Experimental and numerical investigation into RC beams subjected to blast after exposure to fire. Int. J. Impact Eng. 2016, 97, 29–45. [Google Scholar] [CrossRef]
- Zhai, C.; Chen, L.; Fang, Q.; Chen, W.; Jiang, X. Experimental study of strain rate effects on normal weight concrete after exposure to elevated temperature. Mater. Struct. 2016, 50, 40. [Google Scholar] [CrossRef]
- Mirmomeni, M.; Heidarpour, A.; Zhao, X.-L.; Packer, J.A. Effect of elevated temperature on the mechanical properties of high-strain-rate-induced partially damaged concrete and CFSTs. Int. J. Impact Eng. 2017, 110, 346–358. [Google Scholar] [CrossRef]
- Kakogiannis, D.; Pascualena, F.; Reymen, B.; Pyl, L.; Ndambi, J.M.; Segers, E.; Lecompte, D.; Vantomme, J.; Krauthammer, T. Blast performance of reinforced concrete hollow core slabs in combination with fire: Numerical and experimental assessment. Fire Saf. J. 2013, 57, 69–82. [Google Scholar] [CrossRef]
- Jin, L.; Bai, J.; Zhang, R.; Li, L.; Du, X. Effect of elevated temperature on the low-velocity impact performances of reinforced concrete slabs. Int. J. Impact Eng. 2021, 149, 103797. [Google Scholar] [CrossRef]
- Pan, L.; Chen, L.; Fang, Q.; Zhai, C. A modified layered-section method for responses of fire-damaged reinforced concrete beams under static and blast loads. Int. J. Prot. Struct. 2016, 7, 495–517. [Google Scholar] [CrossRef]
- Yu, X.; Chen, L.; Fang, Q.; Ruan, Z.; Hong, J.; Xiang, H. A concrete constitutive model considering coupled effects of high temperature and high strain rate. Int. J. Impact Eng. 2017, 101, 66–77. [Google Scholar] [CrossRef]
- Jin, L.; Lan, Y.; Zhang, Z.; Du, X. Impact performances of RC beams at/after elevated temperature: Ameso-scale study. Eng. Fail. Anal. 2019, 105, 196–214. [Google Scholar] [CrossRef]
- Arioz, O. Retained properties of concrete exposed to high temperatures: Size effect. Fire Mater. 2009, 33, 211–222. [Google Scholar] [CrossRef]
- Erdem, T.K. Specimen size effect on the residual properties of engineered cementitious composites subjected to high temperatures. Cem. Concr. Compos. 2014, 45, 1–8. [Google Scholar] [CrossRef] [Green Version]
- Chan, W.; Luo, Y.N.; Sun, X. Compressive strength and pore structure of high performance concrete after exposure to high temperature up to 800 °C. Cem. Concr. Res. 2000, 30, 247–251. [Google Scholar] [CrossRef]
- Xu, Y.; Wong, Y.; Poon, C.S.; Anson, M. Impact of high temperature on PFA concrete. Cem. Concr. Res. 2001, 31, 1065–1073. [Google Scholar] [CrossRef]
- Poon, C.S.; Azhar, S.; Anson, M.; Wong, Y.-L. Comparison of the strength and durability performance of normal- and high-strength pozzolanic concretes at elevated temperatures. Cem. Concr. Res. 2001, 31, 1291–1300. [Google Scholar] [CrossRef]
- Netinger, I.; Kesegic, I.; Guljas, I. The effect of high temperatures on the mechanical properties of concrete made with different types of aggregates. Fire Saf. J. 2011, 46, 425–430. [Google Scholar] [CrossRef]
- Rashad, A.M. Potential Use of Silica Fume Coupled with Slag in HVFA Concrete Exposed to Elevated Temperatures. J. Mater. Civ. Eng. 2015, 27, 4015019. [Google Scholar] [CrossRef]
- Malik, M.; Bhattacharyya, S.K.; Barai, S.V. Microstructural Changes in Concrete: Postfire Scenario. J. Mater. Civ. Eng. 2021, 33, 4020462. [Google Scholar] [CrossRef]
- Hager, I.; Tracz, T.; Choin´ska, M.; Mróz, K. Effect of cement type on the mechanical behavior and permeability of concrete subjected to high temperatures. Materials 2019, 12, 3021. [Google Scholar] [CrossRef] [PubMed] [Green Version]
- Li, Y.; Tan, K.H.; Yang, E.-H. Synergistic effects of hybrid polypropylene and steel fibers on explosive spalling prevention of ultra-high performance concrete at elevated temperature. Cem. Concr. Compos. 2018, 96, 174–181. [Google Scholar] [CrossRef]
- Yonggui, W.; Shuaipeng, L.; Hughes, P.; Yuhui, F. Mechanical properties and microstructure of basalt fibre and nano-silica reinforced recycled concrete after exposure to elevated temperatures. Constr. Build. Mater. 2020, 247, 118561. [Google Scholar] [CrossRef]
- Lau, A.; Anson, M. Effect of high temperatures on high performance steel fibre reinforced concrete. Cem. Concr. Res. 2006, 36, 1698–1707. [Google Scholar] [CrossRef]
- Düğenci, O.; Haktanir, T.; Altun, F. Experimental research for the effect of high temperature on the mechanical properties of steel fiber-reinforced concrete. Constr. Build. Mater. 2015, 75, 82–88. [Google Scholar] [CrossRef]
- Da Silva, J.B.; Pepe, M.; Filho, R.D.T. High temperatures effect on mechanical and physical performance of normal and high strength recycled aggregate concrete. Fire Saf. J. 2020, 117, 103222. [Google Scholar] [CrossRef]
- Mathews, M.E.; Kiran, T.; Naidu, V.C.H.; Jeyakumar, G.; Anand, N. Effect of high-temperature on the mechanical and durability behaviour of concrete. Mater. Today: Proc. 2020, 42, 718–725. [Google Scholar] [CrossRef]
- Al-Owaisy, S.R. Effect of high temperatures on shear transfer strength of concrete. J. Eng. Sustain. Dev. 2007, 11, 92–103. [Google Scholar]
- Tang, C.-W. Residual Mechanical Properties of Fiber-Reinforced Lightweight Aggregate Concrete after Exposure to Elevated Temperatures. Appl. Sci. 2020, 10, 3519. [Google Scholar] [CrossRef]
- Zhang, B.; Bicanic, N.; Pearce, C.J.; Balabanic, G.; Purkiss, J.A. Discussion: Residual fracture properties of normal- and high-strength concrete subject to elevated temperatures. Mag. Concr. Res. 2000, 52, 123–136. [Google Scholar] [CrossRef]
- Yermak, N.; Pliya, P.; Beaucour, A.-L.; Simon, A.; Noumowé, A. Influence of steel and/or polypropylene fibres on the behaviour of concrete at high temperature: Spalling, transfer and mechanical properties. Constr. Build. Mater. 2017, 132, 240–250. [Google Scholar] [CrossRef]
- Pliya, P.; Beaucour, A.-L.; Noumowé, A. Contribution of cocktail of polypropylene and steel fibres in improving the behaviour of high strength concrete subjected to high temperature. Constr. Build. Mater. 2010, 25, 1926–1934. [Google Scholar] [CrossRef]
- Ahmad, S.; Rasul, M.; Adekunle, S.K.; Al-Dulaijan, S.U.; Maslehuddin, M.; Ali, S.I. Mechanical properties of steel fiber-reinforced UHPC mixtures exposed to elevated temperature: Effects of exposure duration and fiber content. Compos. Part B Eng. 2018, 168, 291–301. [Google Scholar] [CrossRef]
- Wu, H.; Lin, X.; Zhou, A. A review of mechanical properties of fibre reinforced concrete at elevated temperatures. Cem. Concr. Res. 2020, 135, 106117. [Google Scholar] [CrossRef]
- Khaliq, W.; Kodur, V. Thermal and mechanical properties of fiber reinforced high performance self-consolidating concrete at elevated temperatures. Cem. Concr. Res. 2011, 41, 1112–1122. [Google Scholar] [CrossRef]
- Khaliq, W.; Kodur, V. High temperature mechanical properties of high-strength fly ash concrete with and without fibers. ACI Mater. J. 2012, 109, 665–674. [Google Scholar]
- Ju, Y.; Wang, L.; Liu, H.; Tian, K. An experimental investigation of the thermal spalling of polypropylene-fibered reactive powder concrete exposed to elevated temperatures. Sci. Bull. 2015, 60, 2022–2040. [Google Scholar] [CrossRef] [Green Version]
- Caetano, H.; Ferreira, G.; Rodrigues, J.P.C.; Pimienta, P. Effect of the high temperatures on the microstructure and compressive strength of high strength fibre concretes. Constr. Build. Mater. 2018, 199, 717–736. [Google Scholar] [CrossRef]
- Zheng, W.; Li, H.; Wang, Y. Compressive behaviour of hybrid fiber-reinforced reactive powder concrete after high temperature. Mater. Des. 2012, 41, 403–409. [Google Scholar] [CrossRef]
- Raza, S.S.; Qureshi, L.A. Effect of carbon fiber on mechanical properties of reactive powder concrete exposed to elevated temperatures. J. Build. Eng. 2021, 42, 102503. [Google Scholar] [CrossRef]
- Luo, X.; Sun, W.; Nin Chan, S.Y. Effect of heating and cooling regimes on residual strength and microstructure of normal strength and high-performance concrete. Cem. Concr. Res. 2000, 30, 379–383. [Google Scholar] [CrossRef]
- Sideris, K.K.; Manita, P. Residual mechanical characteristics and spalling resistance of fiber reinforced self-compacting concretes exposed to elevated temperatures. Constr. Build. Mater. 2013, 41, 296–302. [Google Scholar] [CrossRef]
- Zhang, D.; Dasari, A.; Tan, K.H. On the mechanism of prevention of explosive spalling in ultra-high performance concrete with polymer fibers. Cem. Concr. Res. 2018, 113, 169–177. [Google Scholar] [CrossRef]
- Aslani, F.; Kelin, J. Assessment and development of high-performance fibre-reinforced lightweight self-compacting concrete including recycled crumb rubber aggregates exposed to elevated temperatures. J. Clean. Prod. 2018, 200, 1009–1025. [Google Scholar] [CrossRef]
- Eidan, J.; Rasoolan, I.; Rezaeian, A.; Poorveis, D. Residual mechanical properties of polypropylene fiber-reinforced concrete after heating. Constr. Build. Mater. 2018, 198, 195–206. [Google Scholar] [CrossRef]
- Peng, G.-F.; Yang, W.-W.; Zhao, J.; Liu, Y.-F.; Bian, S.-H.; Zhao, L.-H. Explosive spalling and residual mechanical properties of fiber-toughened high-performance concrete subjected to high temperatures. Cem. Concr. Res. 2006, 36, 723–727. [Google Scholar] [CrossRef]
- Gao, D.; Yan, D.; Li, X. Splitting strength of GGBFS concrete incorporating with steel fiber and polypropylene fiber after exposure to elevated temperatures. Fire Saf. J. 2012, 54, 67–73. [Google Scholar] [CrossRef]
- Canbaz, M. The effect of high temperature on reactive powder concrete. Constr. Build. Mater. 2014, 70, 508–513. [Google Scholar] [CrossRef]
- Sultan, H.K.; Alyaseri, I. Effects of elevated temperatures on mechanical properties of reactive powder concrete elements. Constr. Build. Mater. 2020, 261, 120555. [Google Scholar] [CrossRef]
- Arna’Ot, F.H.; Abbass, A.A.; Abualtemen, A.A.; Abid, S.R.; Özakça, M. Residual strength of high strength concentric column-SFRC flat plate exposed to high temperatures. Constr. Build. Mater. 2017, 154, 204–218. [Google Scholar] [CrossRef]
- Al-Owaisy, S.R. Strength and elasticity of steel fiber reinforced concrete at high temperatures. J. Eng. Sustain. Dev. 2007, 11, 125–133. [Google Scholar]
- Torić, N.; Boko, I.; Peros, B. Reduction of Postfire Properties of High-Strength Concrete. Adv. Mater. Sci. Eng. 2013, 2013, 712953. [Google Scholar] [CrossRef] [Green Version]
- Cheng, F.-P.; Kodur, V.K.R.; Wang, T.-C. Stress-Strain Curves for High Strength Concrete at Elevated Temperatures. J. Mater. Civ. Eng. 2004, 16, 84–90. [Google Scholar] [CrossRef] [Green Version]
- Al-Owaisy, S.R. Post heat exposure properties of steel fiber reinforced concrete. J. Eng. Sustain. Dev. 2006, 10, 194–207. [Google Scholar]
- Varona, F.B.; Baeza-Brotons, F.; Tenza-Abril, A.J.; Baeza, F.J.; Bañón, L. Residual Compressive Strength of Recycled Aggregate Concretes after High Temperature Exposure. Materials 2020, 13, 1981. [Google Scholar] [CrossRef]
- Amin, M.N.; Khan, K. Mechanical Performance of High-Strength Sustainable Concrete under Fire Incorporating Locally Available Volcanic Ash in Central Harrat Rahat, Saudi Arabia. Materials 2020, 14, 21. [Google Scholar] [CrossRef]
- Zhang, P.; Kang, L.; Wang, J.; Guo, J.; Hu, S.; Ling, Y. Mechanical Properties and Explosive Spalling Behavior of Steel-Fiber-Reinforced Concrete Exposed to High Temperature—A Review. Appl. Sci. 2020, 10, 2324. [Google Scholar] [CrossRef] [Green Version]
- Ding, Y.; Li, D.; Zhang, Y.; Azevedo, C. Experimental investigation on the composite effect of steel rebars and macro fibers on the impact behavior of high performance self-compacting concrete. Constr. Build. Mater. 2017, 136, 495–505. [Google Scholar] [CrossRef] [Green Version]
- Abid, S.R.; Abdul-Hussein, M.L.; Ayoob, N.S.; Ali, S.H.; Kadhum, A.L. Repeated drop-weight impact tests on self-compacting concrete reinforced with micro-steel fiber. Heliyon 2020, 6, e03198. [Google Scholar] [CrossRef] [Green Version]
- Mastali, M.; Dalvand, A. The impact resistance and mechanical properties of self-compacting concrete reinforced with recycled CFRP pieces. Compos. Part B Eng. 2016, 92, 360–376. [Google Scholar] [CrossRef]
- Nili, M.; Afroughsabet, V. The effects of silica fume and polypropylene fibers on the impact resistance and mechanical properties of concrete. Constr. Build. Mater. 2010, 24, 927–933. [Google Scholar] [CrossRef]
- Abid, S.R.; Hussein, M.L.A.; Ali, S.H.; Kazem, A.F. Suggested modified testing techniques to the ACI 544-R repeated drop-weight impact test. Constr. Build. Mater. 2020, 244, 118321. [Google Scholar] [CrossRef]
- Murali, G.; Abid, S.R.; Abdelgader, H.S.; Amran, Y.H.M.; Shekarchi, M.; Wilde, K. Repeated Projectile Impact Tests on Multi-Layered Fibrous Cementitious Composites. Int. J. Civ. Eng. 2021, 19, 635–651. [Google Scholar] [CrossRef]
- Abid, S.R.; Murali, G.; Amran, M.; Vatin, N.; Fediuk, R.; Karelina, M. Evaluation of Mode II Fracture Toughness of Hybrid Fibrous Geopolymer Composites. Materials 2021, 14, 349. [Google Scholar] [CrossRef]
- Murali, G.; Abid, S.; Amran, M.; Fediuk, R.; Vatin, N.; Karelina, M. Combined Effect of Multi-Walled Carbon Nanotubes, Steel Fibre and Glass Fibre Mesh on Novel Two-Stage Expanded Clay Aggregate Concrete against Impact Loading. Crystals 2021, 11, 720. [Google Scholar] [CrossRef]
- Ramakrishnan, K.; Depak, S.; Hariharan, K.; Abid, S.R.; Murali, G.; Cecchin, D.; Fediuk, R.; Amran, Y.M.; Abdelgader, H.S.; Khatib, J.M. Standard and modified falling mass impact tests on preplaced aggregate fibrous concrete and slurry infiltrated fibrous concrete. Constr. Build. Mater. 2021, 298, 123857. [Google Scholar] [CrossRef]
- Barbero, E.; Fernandez-Saez, J.; Navarro, C. Statistical analysis of the mechanical properties of composite materials. Compos. Part B Eng. 2000, 31, 375–381. [Google Scholar] [CrossRef] [Green Version]
- Murali, G.; Indhumathi, T.; Karthikeyan, K.; Ramkumar, V.R. Analysis of flexural fatigue failure of concrete made with 100% coarse recycled and natural aggregates. Comput. Concr. 2018, 21, 291–298. [Google Scholar]
- Mohammadi, K.; Alavi, O.; Mostafaeipour, A.; Goudarzi, N.; Jalilvand, M. Assessing different parameters estimation methods of Weibull distribution to compute wind power density. Energy Convers. Manag. 2016, 108, 322–335. [Google Scholar] [CrossRef]
- Akdağ, S.A.; Dinler, A. A new method to estimate Weibull parameters for wind energy applications. Energy Convers. Manag. 2009, 50, 1761–1766. [Google Scholar] [CrossRef]
- Murali, G.; Muthulakshmi, T.; Nycilin Karunya, N.; Iswarya, R.; Hannah Jennifer, G.; Karthikeyan, K. Impact Response and Strength Reliability of Green High-Performance Fibre Reinforced Concrete Subjected to Freeze-Thaw Cycles in NaCl Solution. Mater. Sci. Medzg. 2017, 23, 384–388. [Google Scholar]
- Murali, G.; Santhi, A.S.; Ganesh, G.M. Impact Resistance and Strength Reliability of Fiber-reinforced Concrete in Bending under Drop Weight Impact Load. Int. J. Technol. 2014, 5, 111. [Google Scholar] [CrossRef] [Green Version]
- Murali, G.; Santhi, A.S.; Mohan Ganesh, G. Impact resistance and strength reliability of fiber reinforced concrete using two parameter Weibull distribution. ARPN. J. Eng. Appl. Sci. 2014, 9, 554–559. [Google Scholar]
- Murali, G.; Gayathri, R.; Ramkumar, V.R.; Karthikeyan, K. Two statistical scrutinize of impact strength and strength reliability of steel Fibre-Reinforced Concrete. KSCE J. Civ. Eng. 2017, 22, 257–269. [Google Scholar] [CrossRef]
- Murali, G.; Asrani, N.P.; Ramkumar, V.R.; Siva, A.; Haridharan, M.K. Impact Resistance and Strength Reliability of Novel Two-Stage Fibre-Reinforced Concrete. Arab. J. Sci. Eng. 2018, 44, 4477–4490. [Google Scholar] [CrossRef]
- Asrani, N.P.; Murali, G.; Parthiban, K.; Surya, K.; Prakash, A.; Rathika, K.; Chandru, U. A feasibility of enhancing the impact resistance of hybrid fibrous geopolymer composites: Experiments and modelling. Constr. Build. Mater. 2019, 203, 56–68. [Google Scholar] [CrossRef]
- Abirami, T.; Loganaganandan, M.; Murali, G.; Fediuk, R.; Sreekrishna, R.V.; Vignesh, T.; Januppriya, G.; Karthikeyan, K. Experimental research on impact response of novel steel fibrous concretes under falling mass impact. Constr. Build. Mater. 2019, 222, 447–457. [Google Scholar] [CrossRef]
- Prasad, N.; Murali, G. Exploring the impact performance of functionally-graded preplaced aggregate concrete incorporating steel and polypropylene fibres. J. Build. Eng. 2021, 35, 102077. [Google Scholar] [CrossRef]
- Murali, G.; Karthikeyan, K.; Ramkumar, V.R. Reliability Analysis of Impact Failure Energy of Fibre Reinforced Concrete Using Weibull Distribution. J. Appl. Sci. Eng. 2018, 21, 163–170. [Google Scholar]
- Gayathri, R.; Murali, G.; Parthiban, K.; Haridharan, M.K.; Karthikeyan, K. A Four Novel Energy Pattern Factor Method for Computation of Weibull Parameter in Impact Strength Reliability of Fibre Reinforced Concrete. Inter. J. Eng. Tech. 2018, 7, 272–280. [Google Scholar]
















| Oxide (%) | Content |
|---|---|
| Si | 20.08 |
| 3.6 | |
| 4.62 | |
| CaO | 61.61 |
| MgO | 2.12 |
| S | 2.71 |
| Loss on ignition (%) | 1.38 |
| Specific surface ( | 368 |
| Specific gravity | 3.15 |
| Compressive strength 2 days (MPa) | 27.4 |
| Compressive strength 28 days (MPa) | 46.8 |
| Temperature | R | 100 °C | 200 °C | 300 °C | 400 °C | 500 °C | 600 °C | |||||||
|---|---|---|---|---|---|---|---|---|---|---|---|---|---|---|
| Disc No. | Ncr | Nf | Ncr | Nf | Ncr | Nf | Ncr | Nf | Ncr | Nf | Ncr | Nf | Ncr | Nf |
| 1 | 52 | 53 | 28 | 29 | 18 | 19 | 8 | 9 | 4 | 5 | 2 | 3 | 1 | 2 |
| 2 | 41 | 42 | 76 | 78 | 25 | 26 | 7 | 8 | 2 | 3 | 2 | 3 | 1 | 3 |
| 3 | 78 | 81 | 41 | 43 | 11 | 12 | 6 | 7 | 4 | 5 | 2 | 3 | 1 | 2 |
| 4 | 50 | 53 | 90 | 91 | 9 | 10 | 7 | 8 | 3 | 4 | 3 | 4 | 1 | 2 |
| 5 | 51 | 54 | 39 | 41 | 9 | 10 | 4 | 5 | 2 | 3 | 1 | 2 | 1 | 2 |
| 6 | 58 | 60 | 48 | 49 | 13 | 14 | 7 | 8 | 3 | 4 | 3 | 3 | 1 | 2 |
| Mean | 55.0 | 57.2 | 53.7 | 55.2 | 14.2 | 15.2 | 6.5 | 7.5 | 3.0 | 4.0 | 2.2 | 3.0 | 1.0 | 2.2 |
| SD | 12.5 | 13.0 | 24.0 | 24.0 | 6.3 | 6.3 | 1.4 | 1.4 | 0.9 | 0.9 | 0.8 | 0.6 | 0.0 | 0.4 |
| COV % | 22.8 | 22.8 | 44.8 | 43.5 | 44.3 | 41.4 | 21.2 | 18.4 | 29.8 | 22.4 | 34.7 | 21.1 | 0.0 | 18.8 |
| Temperature | MSDM | EPFM | MOM | Mean | ||||
|---|---|---|---|---|---|---|---|---|
| α | β | α | β | α | β | α | β | |
| R | 5.00 | 62.34 | 3.96 | 63.15 | 5.02 | 62.29 | 4.66 | 62.59 |
| 100 °C | 2.47 | 62.25 | 2.80 | 61.99 | 2.46 | 62.24 | 2.58 | 62.16 |
| 200 °C | 2.60 | 17.12 | 2.88 | 17.05 | 2.59 | 17.12 | 2.69 | 17.10 |
| 300 °C | 6.19 | 8.06 | 4.23 | 8.25 | 6.23 | 8.07 | 5.55 | 8.13 |
| 400 °C | 5.05 | 4.36 | 4.01 | 4.41 | 5.08 | 4.35 | 4.71 | 4.37 |
| 500 °C | 5.74 | 3.24 | 4.08 | 3.31 | 5.78 | 3.24 | 5.20 | 3.26 |
| 600 °C | 6.37 | 2.36 | 4.40 | 2.41 | 6.41 | 2.36 | 5.73 | 2.38 |
Publisher’s Note: MDPI stays neutral with regard to jurisdictional claims in published maps and institutional affiliations. |
© 2021 by the authors. Licensee MDPI, Basel, Switzerland. This article is an open access article distributed under the terms and conditions of the Creative Commons Attribution (CC BY) license (https://creativecommons.org/licenses/by/4.0/).
Share and Cite
Al-Ameri, R.A.; Abid, S.R.; Murali, G.; Ali, S.H.; Özakça, M. Residual Repeated Impact Strength of Concrete Exposed to Elevated Temperatures. Crystals 2021, 11, 941. https://doi.org/10.3390/cryst11080941
Al-Ameri RA, Abid SR, Murali G, Ali SH, Özakça M. Residual Repeated Impact Strength of Concrete Exposed to Elevated Temperatures. Crystals. 2021; 11(8):941. https://doi.org/10.3390/cryst11080941
Chicago/Turabian StyleAl-Ameri, Raad A., Sallal R. Abid, G. Murali, Sajjad H. Ali, and Mustafa Özakça. 2021. "Residual Repeated Impact Strength of Concrete Exposed to Elevated Temperatures" Crystals 11, no. 8: 941. https://doi.org/10.3390/cryst11080941
APA StyleAl-Ameri, R. A., Abid, S. R., Murali, G., Ali, S. H., & Özakça, M. (2021). Residual Repeated Impact Strength of Concrete Exposed to Elevated Temperatures. Crystals, 11(8), 941. https://doi.org/10.3390/cryst11080941

