Effect of Mineral Admixtures on the Performance of Low-Quality Recycled Aggregate Concrete
Abstract
1. Introduction
2. Material
2.1. Cement and Mineral Admixtures
| Item | Test Method | NS1 | NS2 | CS | NG1 | NG2 | RLS1 | RLS2 | RLG | |
|---|---|---|---|---|---|---|---|---|---|---|
| Density in oven-dry condition (g/cm3) | JIS A 1109 [16] | 2.56 | 2.59 | 2.61 | 2.65 | 2.63 | 1.95 | 2.14 | 2.29 | |
| Absorption (%) | JIS A 1110 [17] | 1.67 | 1.24 | 0.88 | 0.65 | 0.94 | 12.31 | 8.45 | 5.34 | |
| Fineness modulus (F.M.) | JIS A 1102 [18] | 2.42 | 2.61 | 2.63 | 6.65 | 6.69 | 3.29 | 3.37 | 6.49 | |
| Content of materials finer than 75 μm sieve (%) | JIS A 1103 [19] | 2.9 | 4.6 | 3.3 | 0.8 | 0.3 | 5.4 | 5.5 | 1.0 | |
| Solid content in aggregate (%) | JIS A 1104 [20] | 65.3 | 65.9 | 66.6 | 60.8 | 63.7 | 64.1 | 65.2 | 60.9 | |
| Solid content of particle shape (%) | JIS A 5005 [21] | - | - | 59.7 | - | - | 60.0 | 60.3 | 60.0 | |
| Amount of contained impurities (mass %) | A | JIS A 5023 [22] | - | - | - | - | - | 0.14 | 0 | 0.1 |
| B | 0 | 0 | 0 | |||||||
| C | 0.02 | 0.02 | 0.1 | |||||||
| D | 0 | 0 | 0 | |||||||
| E | 0 | 0 | 0 | |||||||
| F | 0 | 0 | 0 | |||||||
| G | 0 | 0 | 0 | |||||||
| Total | 0.16 | 0.02 | 0.2 | |||||||
2.2. Aggregate
3. Mortar Experiment
3.1. Mix Proportion
3.2. Experimental and Test Method
3.3. Experiment Result and Evaluation
3.3.1. Fresh Mortar
- (1)
- Flow Value and Air Content
- (2)
- Density
- (3)
- Temperature
- (4)
- Chloride-ion Content
3.3.2. Hardened Mortar
- (1)
- Compressive Strength
- (2)
- Elastic Modulus of Elasticity
- (3)
- Length Change
- (4)
- Accelerated Carbonation
4. Concrete Experiment
4.1. Mix Proportion
4.2. Experimental and Test Methods
4.3. Experimental Result and Evaluation
4.3.1. Fresh Concrete
- (1)
- Slump and Air Content
- (2)
- Chloride-ion Content
- (3)
- Density
- (4)
- Concrete Temperature
4.3.2. Hardened Concrete
- (1)
- Compressive Strength
- (2)
- Static Modulus of Elasticity
- (3)
- Drying Shrinkage
- (4)
- Accelerated Carbonation
- (5)
- Freezing and Thawing
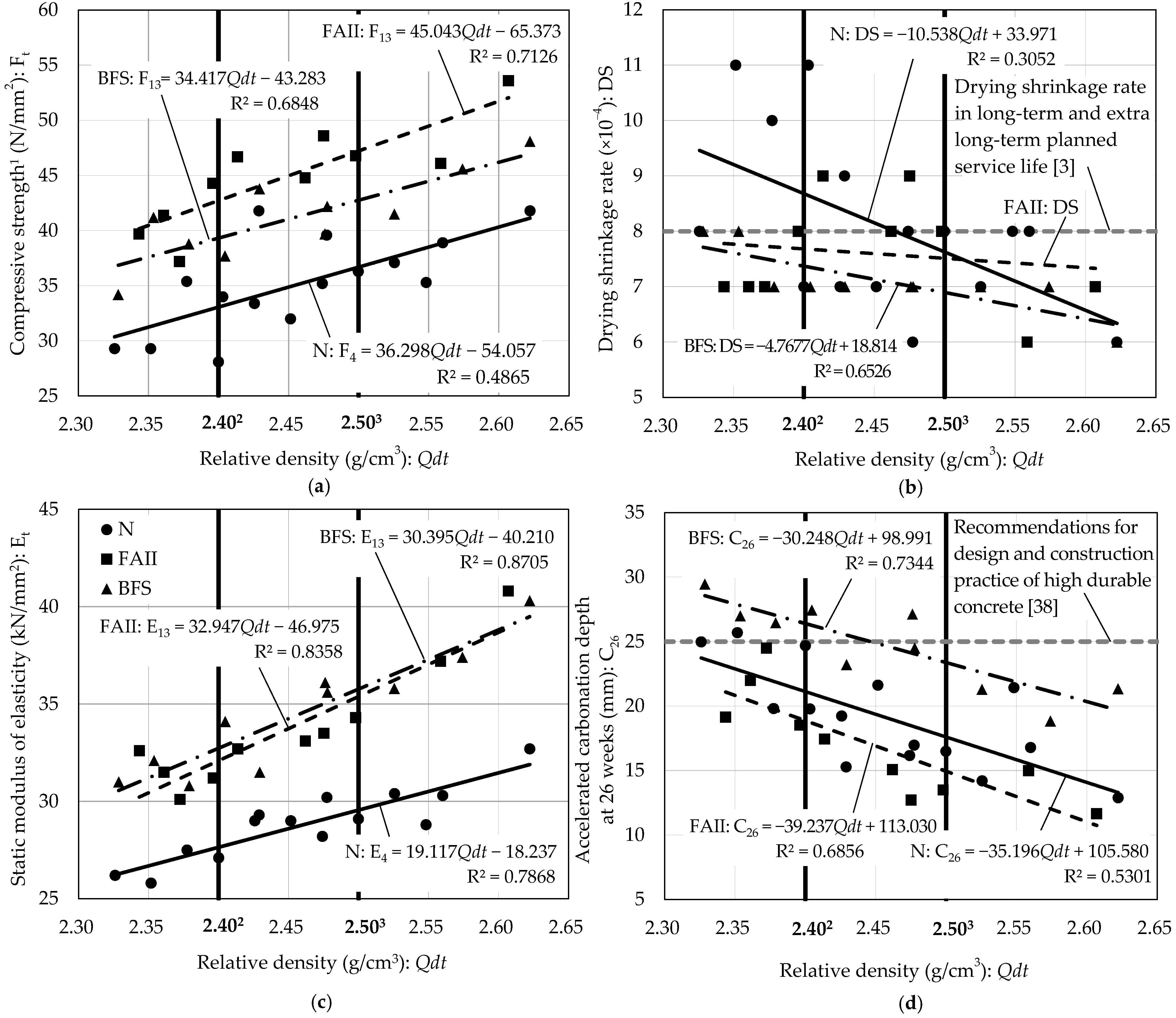
4.4. Performance Evaluation using Relative Quality Index
5. Conclusions
- (1)
- For fresh mortar with recycled fine aggregate class L, the target value was satisfied by varying the amount of chemical admixture. With FA, the temperature of the mortar was lower;
- (2)
- As the replacement ratio of recycled fine aggregate class L increased, the compressive strength of the mortar decreased However, when FAII was used to substitute fine aggregate, the long-term compressive strength became higher because of the mineral admixture;
- (3)
- When BFS was used as the BB type, the length change rate became low. As the replacement ratio of recycled fine aggregate class L increased, accelerated carbonation increased. However, by using FAII as a fine-aggregate substitute, because higher binder weight increases compressive strength, carbonation could be suppressed;
- (4)
- Considering the fresh concrete with low-quality recycled aggregate, even when the replacement ratio was high, the target quality could be satisfied by varying the amount of chemical admixture. When the replacement ratio of recycled aggregate was increased, the chloride-ion content increased;
- (5)
- With an increase in the recycled aggregate replacement ratio, the compressive strength and static modulus of elasticity decreased. However, the decrease in the development of compressive strength and the static modulus of elasticity in long-term age can be reduced by substituting FAII for the fine aggregate and using BFS as BB type;
- (6)
- When the replacement of recycled coarse and fine aggregate class L was each higher than 50%, the drying shrinkage rate increased and carbonation became faster. However, the drying shrinkage rate became lower when BFS was used as the BB type, and carbonation could be suppressed using FAII as a fine-aggregate substitute;
- (7)
- For frost damage resistance, the primary performance of concrete could be satisfied when the air content was within an appropriate range. However, when BFS was used as the BB type, and the replacement ratio of recycled fine aggregate class L was high, it was necessary to consider a decreased change of air content with time;
- (8)
- Regarding the relative density and the primary performance of RAC, there were certain variations; however, in general, a correlation could be obtained. When FAII and BFS were used, the performance design could be evaluated using the relative quality index method.
Funding
Data Availability Statement
Acknowledgments
Conflicts of Interest
Appendix A
References
- Result of Actual Status Investigation into Construction Waste in Fiscal 2018 (Census); Ministry of Land, Infrastructure, Transport and Tourism: Tokyo, Japan, 2020.
- Dosho, Y.; Tachi, H.; Mura, Y.; Sakazume, Y. Measurement to reduce hexavalent chromium leached from recycled coarse aggregate residue aggregate–Recycling system of concrete waste incurred from building demolition. AIJ J. Technol. Des. 2011, 17, 803–808. [Google Scholar] [CrossRef][Green Version]
- Japanese Architectural Standard Specification, JASS 5 Reinforced Concrete Work; Architectural Institute of Japan (AIJ): Tokyo, Japan, 2018.
- Japanese Industrial Standards, Recycled Aggregate Concrete-Class M, JIS A 5022; The Japanese Standards Association (JSA): Tokyo, Japan, 2018.
- Dosho, Y. Contributions of Concrete Recycling Technology toward Sustainable Development: Standards and Technologies Related to Recycled Aggregate Concrete in Japan. J. Mater. Eng. Struct. 2020, 7, 525–549. [Google Scholar]
- Recommendations for Practice of Concrete with Fly Ash; Architectural Institute of Japan (AIJ): Tokyo, Japan, 2007.
- Recommendation for Design and Practice of Reinforced Concrete Building with Portland Blast-Furnace Slag Cement or Ground Granulated Blast-Furnace Slag; Architectural Institute of Japan (AIJ): Tokyo, Japan, 2017.
- Dosho, Y. Study on the evaluation and suppression of alkali-silika reaction of concrete using low-quality recycled aggregate–Recycling system of concrete waste incurred from building demolition. AIJ J. Technol. Des. 2020, 26, 434–439. [Google Scholar] [CrossRef]
- Dosho, Y.; Mine, H.; Matsumoto, K.; Yamamoto, T. Study on strength contribution rate of concrete using fly ash. Proc. Jpn. Concr. Inst. 2019, 41, 221–226. [Google Scholar]
- Japanese Industrial Standards, Environmental Management for Concrete and Concrete Structure–Part 1: General principles, JIS Q 13315-1; The Japanese Standards Association (JSA): Tokyo, Japan, 2017.
- Japanese Industrial Standards, Environmental Management for Concrete and Concrete Structure–Part 2: System boundary and unventory data, JIS Q 13315-2; The Japanese Standards Association (JSA): Tokyo, Japan, 2017.
- Japanese Industrial Standards, Environmental Management for Concrete and Concrete Structure–Part 4: Environmental Design of Concrete Structure, JIS Q 13315-4; The Japanese Standards Association (JSA): Tokyo, Japan, 2017.
- Japanese Industrial Standards, Portland Cement, JIS R 5210; The Japanese Standards Association (JSA): Tokyo, Japan, 2009.
- Japanese Industrial Standards, Fly Ash for Use in Concrete, JIS A 6201; The Japanese Standards Association (JSA): Tokyo, Japan, 2015.
- Japanese Industrial Standards, Ground Granulated Blast-Furnace Slag for Concrete, JIS A 6206; The Japanese Standards Association (JSA): Tokyo, Japan, 2013.
- Japanese Industrial Standards, Methods of Test for Density and Water Absorption of Fine Aggregate, JIS A 1109; The Japanese Standards Association (JSA): Tokyo, Japan, 2006.
- Japanese Industrial Standards, Methods of Test for Density and Water Absorption of Coarse Aggregate, JIS A 1110; The Japanese Standards Association (JSA): Tokyo, Japan, 2006.
- Japanese Industrial Standards, Method of Test for Sieve Analysis of Aggregates, JIS A 1102; The Japanese Standards Association (JSA): Tokyo, Japan, 2014.
- Japanese Industrial Standards, Method of Test for Amount of Material Passing Test Sieve 75 μm in Aggregates, JIS A 1103; The Japanese Standards Association (JSA): Tokyo, Japan, 2014.
- Japanese Industrial Standards, Methods of Test for Bulk Density of Aggregates and Solid Content in Aggregates, JIS A 1104; The Japanese Standards Association (JSA): Tokyo, Japan, 2006.
- Japanese Industrial Standards, Crushed Stone and Manufactured Sand for Concrete, JIS A 5005; The Japanese Standards Association (JSA): Tokyo, Japan, 2009.
- Japanese Industrial Standards, Recycled Concrete Using Recycled Aggregate Class L, JIS A 5023; The Japanese Standards Association (JSA): Tokyo, Japan, 2012.
- Japanese Industrial Standards, Portland Fly-Ash Cement, JIS R 5213; The Japanese Standards Association (JSA): Tokyo, Japan, 2009.
- Japanese Industrial Standards, Portland Blast-Furnace Cement, JIS R 5211; The Japanese Standards Association (JSA): Tokyo, Japan, 2009.
- Japanese Industrial Standards, Physical Testing Methods for Cement, JIS R 5201; The Japanese Standards Association (JSA): Tokyo, Japan, 2015.
- Japanese Industrial Standards, Ready-Mixed Concrete, JIS A 5308; The Japanese Standards Association (JSA): Tokyo, Japan, 2014.
- Japanese Industrial Standards, Method of Test for Air Content of Fresh Concrete by Pressure Method, JIS A 1128; The Japanese Standards Association (JSA): Tokyo, Japan, 2005.
- Japanese Industrial Standards, Method of Test for Unit Mass and Air Content of Fresh Concrete by Mass Method, JIS A 1116; The Japanese Standards Association (JSA): Tokyo, Japan, 2005.
- Japanese Industrial Standards, Method of Measurement for Temperature of Fresh Concrete, JIS A 1156; The Japanese Standards Association (JSA): Tokyo, Japan, 2006.
- Japanese Industrial Standards, Methods of Measurement for Length Change of Mortar and Concrete-Part 3. Method with Dial Gauge, JIS A 1129-3; The Japanese Standards Association (JSA): Tokyo, Japan, 2010.
- Japanese Industrial Standards, Method of Accelerated Carbonation Test for Concrete, JIS A 1153; The Japanese Standards Association (JSA): Tokyo, Japan, 2012.
- Recommendation for Practice of Hot Weather Concreting; Architectural Institute of Japan (AIJ): Tokyo, Japan, 2019.
- Wachi, M.; Yonezawa, T.; Mitsui, K.; Inoue, K. Influence of SO3 amount on the physical properties of concrete using blast-furnace slag high content cement. Proc. Jpn. Concr. Inst. 2011, 33, 203–208. [Google Scholar]
- Japanese Industrial Standards, Method of Test for Slump of Concrete, JIS A 1101; The Japanese Standards Association (JSA): Tokyo, Japan, 2005.
- Japanese Industrial Standards, Method of Test for Compressive Strength of Concrete, JIS A 1108; The Japanese Standards Association (JSA): Tokyo, Japan, 2006.
- Japanese Industrial Standards, Method of Test for Static Modulus of Elasticity of Concrete, JIS A 1149; The Japanese Standards Association (JSA): Tokyo, Japan, 2017.
- Japanese Industrial Standards, Method of Test for Resistance of Concrete to Freezing and Thawing, JIS A 1148; The Japanese Standards Association (JSA): Tokyo, Japan, 2010.
- Recommendations for Design and Construction Practice of High Durable Concrete; Architectural Institute of Japan (AIJ): Tokyo, Japan, 1991.
- Dosho, Y.; Kikuchi, M.; Masuda, A.; Koyama, A.; Miura, T. Applicability of recycled fine aggregate concrete for structural concrete–Influence of properties of original mortar on qualities of recycled fine aggregate and recycled aggregate concrete. J. Struct. Constr. Eng. 1997, 502, 15–22. [Google Scholar] [CrossRef]
- Dosho, Y.; Kikuchi, M.; Masuda, A.; Koyama, A. Influence of properties of original concrete on qualities of recycled aggregate concrete. J. Struct. Constr. Eng. 1996, 485, 1–10. [Google Scholar]








| RAC Category | Coarse Aggregate | Fine Aggregate |
|---|---|---|
| RAC–Class H1 | 100% or an amount of recycled coarse aggregate class H | Normal fine aggregate |
| RAC–Class H2 | 100% or an amount of recycled coarse aggregate class H | 100% or an amount of recycled fine aggregate class H |
| Normal coarse aggregate | ||
| RAC–Class M1 1 | 100% or an amount of recycled coarse aggregate class M | Normal fine aggregate |
| An amount of recycled coarse aggregate class L (Replacement ratio ≤ 50%) 2 | ||
| RAC–Class M2 | 100% or an amount of recycled coarse aggregate class M | 100% or an amount of recycled fine aggregate class M |
| An amount of recycled fine aggregate class L (Replacement ratio ≤ 30%) 2 | ||
| An amount of recycled coarse aggregate class L (Replacement ratio ≤ 50%) 2 | 100% or an amount of recycled fine aggregate class M | |
| An amount of recycled fine aggregate class L (Replacement ratio ≤ 30%) 2 | ||
| Normal coarse aggregate | 100% or an amount of recycled fine aggregate class M | |
| An amount of recycled fine aggregate class L (Replacement ratio ≤ 30%) 2 | ||
| RAC–Class L | 100% or an amount of recycled coarse aggregate class L | 100% or an amount of recycled fine aggregate class L |
| Item | N | FAII 1 | BFS |
|---|---|---|---|
| Physical Property | |||
| Density (g/cm3) | 3.16 | 2.29 | 2.91 |
| Blaine fineness (cm2/g) | - | 3570 | - |
| Specific surface area (cm2/g) | 3300 | - | 4260 |
| Moisture content (%) | - | 0.5≧ | - |
| Methylene blue absorption (mg/g) | - | 0.23 | - |
| Activity index on 91 day (%) | - | - | 116 |
| Ignition loss (%) | 2.29 | 1.8 | 0.08 |
| Mortar flow ratio (%) | - | - | 100 |
| Chemical Property | |||
| SiO2 (%) | - | 60.1 | - |
| MgO (%) | 1.49 | 1.69 | 5.70 |
| Al2O3 (%) | - | 22.37 | - |
| Fe2O3 (%) | - | 6.07 | - |
| CaO (%) | - | 4.18 | - |
| SO3 (%) | 2.13 | - | 2.09 |
| Cl− (%) | 0.011 | - | 0.004 |
| Na2O (%) | 0.35 | 1.43 | 0.29 |
| K2O (%) | 0.56 | 1.00 | 0.26 |
| Type | Original Concrete 1 | Factory | Manufacture Method |
|---|---|---|---|
| Recycled coarse aggregate class L: RLG | Foundation of building | A | Crush, classify |
| Recycled fine aggregate class L: RLS1 | |||
| Recycled fine aggregate class L: RLS2 | Foundation of house | B |
| Specimen | Mix Proportion | Unit Weight (kg/m3) | Chemical Admixture (B×%) | |||||||||||||
|---|---|---|---|---|---|---|---|---|---|---|---|---|---|---|---|---|
| Binder | Replacement ratio of Mineral Admixture 1 (%) | Replacement ratio of RLS (%) | W/B (%) | W | C | FAII (CMS) | BFS | NS1 | CS | RLS1 | RLS2 | FAII (FAS) | Air Entraining and Water Reducing 2 | Air Content Adjusment 3 | ||
| CMS | FAS | |||||||||||||||
| N-NS-50 | N | - | 0 | 50 | 245 | 490 | - | - | 1443 | - | - | - | - | 0.20 | - | |
| N-CS-50 | 0 | 270 | 540 | - | 1352 | - | - | 0.30 | ||||||||
| N-RLS150-50 | 50 | 245 | 490 | 720 | - | 616 | 0.20 | |||||||||
| N-RLS250-50 | 50 | 270 | 540 | - | 676 | - | 596 | 0.30 | ||||||||
| N-RLS1100-50 | 100 | 245 | 490 | - | - | 1232 | - | 0.20 | ||||||||
| N-RLS2100-50 | 100 | 270 | 540 | - | - | - | 1193 | 0.30 | ||||||||
| FA15-NS-50 | N, FAII | 15 | - | 0 | 245 | 417 | 74 | - | 1420 | - | - | - | - | 0.35 | ||
| FA15-CS-50 | 0 | 270 | 459 | 81 | - | 1327 | - | - | 0.70 | |||||||
| FA15-RLS150-50 | 50 | 245 | 417 | 74 | 710 | - | 606 | - | 0.18 | |||||||
| FA15-RLS250-50 | 50 | 270 | 459 | 81 | - | 663 | - | 585 | 0.70 | |||||||
| FA15-RLS1100-50 | 100 | 245 | 417 | 74 | - | - | 1212 | - | 0.18 | |||||||
| FA30-NS-50 | 30 | - | 0 | 245 | 343 | 147 | 1397 | - | - | - | 0.30 | |||||
| FA30-CS-50 | 0 | 270 | 378 | 162 | - | 1301 | - | - | 0.90 | |||||||
| FA30-RLS125-50 | 25 | 245 | 343 | 147 | 1048 | - | 298 | - | 0.15 | |||||||
| FA30-RLS150-50 | 50 | 245 | 343 | 147 | 698 | - | 596 | - | 0.15 | |||||||
| FA30-RLS250-50 | 50 | 270 | 378 | 162 | - | 650 | - | 574 | 0.90 | |||||||
| FA30-RLS175-50 | 75 | 245 | 343 | 147 | 349 | - | 895 | - | 0.15 | |||||||
| FA30-RLS1100-50 | 100 | 245 | 343 | 147 | - | - | 1193 | - | 0.15 | |||||||
| FS20-CS-50 | - | 20 | 0 | 270 | 540 | - | - | 1062 | - | - | 135 | 0.90 | ||||
| FS20-RLS250-50 | 50 | 270 | 540 | - | - | 464 | - | 528 | 0.90 | |||||||
| FS20-RLS2100-50 | 100 | 270 | 540 | - | - | - | 1056 | - | 0.90 | |||||||
| FA15FS20-CS-50 | 15 | 20 | 0 | 270 | 459 | 81 | - | 1036 | - | 596 | 0.85 | 0.004 | ||||
| FA15FS20-RLS250-50 | 50 | 270 | 459 | 81 | - | 451 | - | 517 | 0.85 | 0.004 | ||||||
| FA30FS20-CS-50 | 30 | 20 | 0 | 270 | 378 | 162 | - | 1011 | - | - | 0.70 | 0.006 | ||||
| FA30FS20-RLS250-50 | 50 | 270 | 378 | 162 | - | 438 | - | 505 | 0.70 | 0.006 | ||||||
| BFS40NS-50 | N, BFS | 40 | - | 0 | 245 | 294 | - | 196 | 1429 | - | - | - | - | 0.20 | - | |
| BFS40-CS-50 | 0 | 270 | 324 | 216 | - | 1337 | - | - | 0.40 | |||||||
| BFS40-RLS150-50 | 50 | 245 | 294 | 196 | 714 | - | 610 | - | 0.20 | |||||||
| BFS40-RLS250-50 | 50 | 270 | 324 | 216 | - | 668 | - | 590 | 0.40 | |||||||
| BFS40-RLS1100-50 | 100 | 245 | 294 | 196 | - | - | 1220 | - | 0.20 | |||||||
| BFS70-NS-50 | 70 | 0 | 245 | 147 | 343 | 1419 | - | - | - | 0.30 | ||||||
| BFS70-CS-50 | 0 | 270 | 162 | 378 | - | 1325 | - | - | 0.70 | |||||||
| BFS70-RLS150-50 | 50 | 245 | 147 | 343 | 709 | - | 606 | - | 0.20 | |||||||
| BFS70-RLS250-50 | 50 | 270 | 162 | 378 | - | 663 | - | 584 | 0.70 | |||||||
| BFS70-RLS1100-50 | 100 | 245 | 147 | 343 | - | - | 1211 | - | 0.20 | |||||||
| Condition | Experiment | Test Method | Note |
|---|---|---|---|
| Fresh mortar | Flow value | JIS R 5201 [25] | |
| Air content | According to JIS A 1128 [27] | Equipment volume 1000 ml | |
| Density | JIS A 1116 [28] | ||
| Temperature | JIS A 1156 [29] | ||
| Chloride-ion content | JASS 5 T-502 [3] | Electrode current measurement method | |
| Hardened mortar | Compressive strength | JIS A 5308 Annex C [26] | At 1 week, 4 weeks, and 13 weeks |
| Static modulus of elasticity | Compressor meter | ||
| Length change rate | JIS A 1129-3 [30] | ||
| Accelerated carbonation depth | According to JIS A 1153 [31] |
| Specimen | Flow Value (mm) | Air Content (%) | Density (kg/m3) | Temperature (°C) | Chloride-Ion Content (kg/m3) |
|---|---|---|---|---|---|
| N-NS-50 | 175 | 4.5 | 2275 | 21.1 | 0.04 |
| N-CS-50 | 173 | 4.9 | 2308 | 25.1 | 0.06 |
| N-RLS150-50 | 197 | 6.0 | 2090 | 21.1 | 0.12 |
| N-RLS250-50 | 185 | 4.1 | 2181 | 23.0 | 0.07 |
| N-RLS1100-50 | 200 | 3.4 | 1990 | 21.1 | 0.14 |
| N-RLS2100-50 | 201 | 6.0 | 1994 | 25.4 | 0.07 |
| FA15-NS-50 | 173 | 4.3 | 2210 | 17.1 | 0.03 |
| FA15-CS-50 | 188 | 4.4 | 2248 | 18.6 | 0.05 |
| FA15-RLS150-50 | 175 | 4.0 | 2190 | 16.5 | 0.04 |
| FA15-RLS250-50 | 201 | 5.4 | 2134 | 19.9 | 0.06 |
| FA15-RLS1100-50 | 206 | 5.8 | 2060 | 16.9 | 0.02 |
| FA30-NS-50 | 174 | 4.6 | 2290 | 16.9 | 0.02 |
| FA30-CS-50 | 199 | 5.5 | 2213 | 19.2 | 0.08 |
| FA30-RLS125-50 | 193 | 4.5 | 2160 | 14.9 | 0.03 |
| FA30-RLS150-50 | 175 | 3.8 | 2190 | 16.1 | 0.02 |
| FA30-RLS250-50 | 197 | 6.0 | 2090 | 18.2 | 0.05 |
| FA30-RLS175-50 | 201 | 3.0 | 2130 | 16.1 | 0.05 |
| FA30-RLS1100-50 | 205 | 3.2 | 2080 | 16.0 | 0.02 |
| FS20-CS-50 | 184 | 3.1 | 2260 | 18.6 | 0.02 |
| FS20-RLS250-50 | 198 | 4.0 | 2155 | 19.3 | 0.06 |
| FS20-RLS2100-50 | 175 | 3.8 | 2108 | 20.3 | 0.08 |
| FA15FS20-CS-50 | 189 | 4.6 | 2188 | 20.2 | 0.05 |
| FA15FS20-RLS250-50 | 193 | 4.7 | 2117 | 19.8 | 0.06 |
| FA30FS20-CS-50 | 209 | 3.2 | 2206 | 19.7 | 0.05 |
| FA30FS20-RLS250-50 | 193 | 4.7 | 2129 | 19.8 | 0.06 |
| BFS40-NS-50 | 191 | 3.4 | 2332 | 23.5 | 0.04 |
| BFS40-CS-50 | 185 | 3.7 | 2293 | 19.5 | 0.04 |
| BFS40-RLS150-50 | 196 | 3.2 | 2236 | 23.6 | 0.02 |
| BFS40-RLS250-50 | 194 | 4.0 | 2197 | 19.9 | 0.06 |
| BFS40-RLS1100-50 | 187 | 4.7 | 2274 | 23.5 | 0.02 |
| BFS70-NS-50 | 172 | 5.6 | 2212 | 26.1 | 0.08 |
| BFS70-CS-50 | 192 | 5.6 | 2221 | 23.7 | 0.09 |
| BFS70-RLS150-50 | 175 | 4.6 | 2121 | 24.8 | 0.09 |
| BFS70-RLS250-50 | 188 | 6.0 | 2131 | 24.7 | 0.07 |
| BFS70-RLS1100-50 | 195 | 4.8 | 2281 | 21.2 | 0.06 |
| Specimen | Mix Proportion | Unit Weight (kg/m3) | Chemical Admixture (B×%) 2 | |||||||||||||||||
|---|---|---|---|---|---|---|---|---|---|---|---|---|---|---|---|---|---|---|---|---|
| Binder | Mineral Admixture | Replacement Ratio(%) | W/B (%) | s/a (%) | W | C | BFS | NS1 | NS2 | NG1 | NG2 | RLG | RLS1 | FAII 1 (FAS) | AE | FA AE | ACA | AF | ||
| RLG | RLS1 | |||||||||||||||||||
| NGNS-55 | N | - | 0 | 0 | 55 | 46.3 | 175 | 318 | - | 824 | - | 974 | - | - | - | - | 1.00 | - | 0.002 | 0 |
| NGRLS25-55 | 25 | 618 | - | 974 | - | - | 175 | 1.00 | 0.002 | 0.0005 | ||||||||||
| NGRLS50-55 | 50 | 412 | - | 974 | - | - | 349 | 1.00 | 0.002 | 0.0005 | ||||||||||
| NGRLS75-55 | 75 | 206 | - | 974 | - | - | 524 | 1.00 | 0.003 | 0.0005 | ||||||||||
| NGRLS100-55 | 100 | - | - | 974 | - | - | 698 | 1.00 | 0.002 | 0 | ||||||||||
| RLG25NS-55 | 25 | 0 | - | 824 | 731 | - | 220 | - | 1.00 | 0.002 | 0.0005 | |||||||||
| RLG25RLS25-55 | 25 | 618 | - | 731 | - | 220 | 175 | 1.00 | 0.002 | 0.0005 | ||||||||||
| RLG25RLS50-55 | 50 | 412 | - | 731 | - | 220 | 349 | 1.00 | 0.002 | 0.0005 | ||||||||||
| RLG25RLS75-55 | 75 | 206 | - | 731 | - | 220 | 524 | 1.00 | 0.002 | 0 | ||||||||||
| RLG50NS-55 | 50 | 0 | 824 | - | 487 | - | 440 | - | 1.00 | 0.002 | 0.0005 | |||||||||
| RLG50RLS25-55 | 25 | 618 | - | 487 | - | 440 | 175 | 1.00 | 0.002 | 0.0005 | ||||||||||
| RLG50RLS50-55 | 50 | 412 | - | 487 | - | 440 | 349 | 1.00 | 0.002 | 0 | ||||||||||
| RLG75NS-55 | 75 | 0 | 824 | - | 244 | - | 659 | - | 1.00 | 0.002 | 0.0005 | |||||||||
| RLG75RLS25-55 | 25 | 618 | - | 244 | - | 659 | 175 | 1.00 | 0.002 | 0 | ||||||||||
| RLG100NS-55 | 100 | 0 | 824 | - | - | - | 879 | - | 1.00 | 0.002 | 0 | |||||||||
| FANGNS-55 | N, FAII | FAII = (N + FAII) × 20% | 0 | 0 | 43.4 | 175 | 318 | 733 | - | 974 | - | - | - | 80 | 1.00 | 0.2 | - | 0 | ||
| FANGRLS50-55 | 50 | 367 | - | 974 | - | - | 311 | 1.00 | 0.3 | - | 0.0005 | |||||||||
| FANGRLS100-55 | 100 | - | - | 974 | - | - | 621 | 1.00 | 0.3 | - | 0.0005 | |||||||||
| FARLG25NS-55 | 25 | 0 | 733 | - | 731 | - | 220 | - | 1.00 | 0.3 | - | 0.0005 | ||||||||
| FARLG25RLS75-55 | 75 | 183 | - | 731 | - | 220 | 466 | 1.00 | 0.3 | - | 0.0005 | |||||||||
| FARLG50NS-55 | 50 | 0 | 733 | - | 487 | - | 440 | - | 1.00 | 0.3 | - | 0.0005 | ||||||||
| FARLG50RLS50-55 | 50 | 367 | - | 487 | - | 440 | 311 | 1.00 | 0.3 | - | 0.0005 | |||||||||
| FARLG75NS-55 | 75 | 0 | 733 | - | 244 | - | 659 | - | 1.00 | 0.3 | - | 0.0005 | ||||||||
| FARLG75RLS25-55 | 25 | 550 | - | 244 | - | 659 | 155 | 1.00 | 0.3 | - | 0.0005 | |||||||||
| FARLG100NS-55 | 100 | 0 | 733 | - | - | - | 879 | - | 1.00 | 0.3 | - | 0 | ||||||||
| BFSNGNS-55 3 | N, BFS | BFS = N × 40% | 0 | 0 | 46.4 | 172 | 188 | 125 | 827 | - | 974 | - | - | - | - | 1.00 | - | 0.002 | 0 | |
| - | 788 | - | 1017 | - | - | 1.00 | 0.002 | 0 | ||||||||||||
| BFSNGRLS50-55 | 50 | 414 | - | 974 | - | - | 351 | 1.00 | 0.002 | 0.0005 | ||||||||||
| BFSNGRLS100-55 3 | 100 | - | - | 974 | - | - | 701 | 1.00 | 0.002 | 0.0005 | ||||||||||
| - | - | - | 1017 | - | 663 | 1.00 | 0.002 | 0 | ||||||||||||
| BFSRLG25NS-55 | 25 | 0 | 827 | - | 731 | - | 220 | - | 1.00 | 0.002 | 0.0005 | |||||||||
| BFSRLG25RLS75-55 | 75 | 207 | - | 731 | - | 220 | 526 | 1.00 | 0.002 | 0.0005 | ||||||||||
| BFSRLG50NS-55 | 50 | 0 | 827 | - | 487 | - | 440 | - | 1.00 | 0.002 | 0.0005 | |||||||||
| BFSRLG50RLS50-55 3 | 50 | 414 | - | 487 | - | 440 | 351 | 1.00 | 0.002 | 0.0005 | ||||||||||
| - | 394 | - | 508 | 461 | 331 | 1.00 | 0.002 | 0 | ||||||||||||
| BFSRLG75NS-55 | 75 | 0 | 827 | - | 244 | - | 659 | - | 1.00 | 0.002 | 0.0005 | |||||||||
| BFSRLG75RLS25-55 | 25 | 621 | - | 244 | - | 659 | 175 | 1.00 | 0.002 | 0.0005 | ||||||||||
| BFSRLG100NS-55 | 100 | 0 | 827 | - | - | - | 879 | - | 1.00 | 0.002 | 0 | |||||||||
| Condition | Experiment | Test Method | Note |
|---|---|---|---|
| Fresh concrete | Slump | JIS A 1101 [34] | A part of the BFS specimen groups were tested for change following the time of slump and air content |
| Air content | JIS A 1128 [27] | ||
| Density | JIS A 1116 [28] | ||
| Temperature | JIS A 1156 [29] | ||
| Chloride-ion content | JIS A 5308 [26] JASS 5 T-502 [3] | Electrode current measurement method | |
| Hardened concrete | Compressive strength | JIS A 1108 [35] | At 4 weeks and 13 weeks |
| Static modulus of elasticity | JIS A 1149 [36] | At 4 weeks and 13 weeks | |
| Length change rate | JIS A 1129-3 [30] | ||
| Accelerated carbonation depth | JIS A 1153 [31] | ||
| Durability factor | JIS A 1148 [37] | Method A |
| Specimen | Slump (cm) | Air Content (%) 1 | Density (kg/m3) | Temperature (°C) | Chloride-ion Content (kg/m3) 2 |
|---|---|---|---|---|---|
| NGNS-55 | 18.5 | 4.0 (-) | 2304 | 28.6 | 0.03 |
| NGRLS25-55 | 20.0 | 5.2 (0.4) | 2296 | 24.4 | 0.06 |
| NGRLS50-55 | 19.0 | 5.5 (0.4) | 2240 | 25.7 | 0.15 |
| NGRLS75-55 | 20.0 | 4.8 (0.3) | 2234 | 21.6 | 0.11 |
| NGRLS100-55 | 20.5 | 4.2 (0.7) | 2221 | 27.7 | 0.13 |
| RLG25NS-55 | 16.5 | 5.4 (0.2) | 2273 | 24.2 | 0.09 |
| RLG25RLS25-55 | 19.0 | 5.0 (0.6) | 2237 | 24.3 | 0.10 |
| RLG25RLS50-55 | 20.0 | 5.7 (0.4) | 2266 | 24.4 | 0.11 |
| RLG25RLS75-55 | 20.0 | 4.2 (0.7) | 2217 | 27.2 | 0.09 |
| RLG50NS-55 | 16.0 | 5.6 (0.4) | 2267 | 23.7 | 0.17 |
| RLG50RLS25-55 | 17.5 | 5.6 (0.4) | 2240 | 25.1 | 0.11 |
| RLG50RLS50-55 | 19.0 | 4.9 (0.6) | 2187 | 28.0 | 0.23 |
| RLG75NS-55 | 17.0 | 4.6 (0.4) | 2269 | 22.3 | 0.12 |
| RLG75RLS25-55 | 20.0 | 4.5 (0.6) | 2243 | 25.0 | 0.12 |
| RLG100NS-55 | 18.5 | 4.5 (0.4) | 2246 | 27.7 | 0.12 |
| FANGNS-55 | 18.0 | 5.7 (-) | 2270 | 25.6 | 0.02 |
| FANGRLS50-55 | 17.0 | 5.1 (0.4) | 2191 | 18.2 | 0.18 |
| FANGRLS100-55 | 20.5 | 4.0 (0.5) | 2237 | 17.7 | 0.17 |
| FARLG25NS-55 | 19.5 | 5.5 (0.4) | 2241 | 24.5 | 0.12 |
| FARLG25RLS75-55 | 18.5 | 5.4 (0.6) | 2171 | 26.9 | 0.24 |
| FARLG50NS-55 | 17.0 | 5.7 (0.3) | 2227 | 20.0 | 0.22 |
| FARLG50RLS50-55 | 19.0 | 5.5 (0.5) | 2179 | 16.8 | 0.18 |
| FARLG75NS-55 | 20.0 | 4.4 (0.6) | 2269 | 23.2 | 0.16 |
| FARLG75RLS25-55 | 18.5 | 5.4 (0.7) | 2173 | 27.3 | 0.15 |
| FARLG100NS-55 | 20.0 | 5.5 (0.4) | 2183 | 26.7 | 0.27 |
| BFSNGNS-55 | 20.0 | 5.2 (0.2) | 2304 | 26.4 | 0.06 |
| BFSNGRLS50-55 | 18.0 | 5.6 (0.4) | 2273 | 22.7 | 0.12 |
| BFSNGRLS100-55 | 17.5 | 4.3 (0.8) | 2119 | 20.3 | 0.15 |
| BFSRLG25NS-55 | 18.5 | 5.7 (0.3) | 2260 | 24.9 | 0.14 |
| BFSRLG25RLS75-55 | 19.0 | 5.1 (0.5) | 2229 | 25.0 | 0.22 |
| BFSRLG50NS-55 | 20.0 | 5.6 (0.4) | 2257 | 24.7 | 0.12 |
| BFSRLG50RLS50-55 | 20.5 | 4.5 (0.6) | 2187 | 17.1 | 0.11 |
| BFSRLG75NS-55 | 20.0 | 4.4 (0.5) | 2269 | 23.2 | 0.12 |
| BFSRLG75RLS25-55 | 19.0 | 5.4 (0.7) | 2199 | 23.3 | 0.11 |
| BFSRLG100NS-55 | 18.5 | 5.3 (0.5) | 2137 | 25.5 | 0.09 |
| Time (min) | Slump (cm) | Air Content (%) | ||||||||||
|---|---|---|---|---|---|---|---|---|---|---|---|---|
| BFSNGNS-55 | BFSRLG50RLS50-55 | BFSNGRLS100-55 | BFSNGNS-55 | BFSRLG50RLS50-55 | BFSNGRLS100-55 | |||||||
| Result | Difference | Result | Difference | Result | Difference | Result | Difference | Result | Difference | Result | Difference | |
| 0 | 19.0 | - | 22.0 | - | 20.0 | - | 8.4 | - | 8.9 | - | 4.7 | - |
| 15 | 18.5 | 0.5 | 20.0 | 2.0 | 19.5 | 0.5 | 5.7 | 2.7 | 6.9 | 2.0 | 3.7 | 1.0 |
| 30 | 17.5 | 1.0 | 18.0 | 2.0 | 17.0 | 2.5 | 3.8 | 1.9 | 4.7 | 2.2 | 2.6 | 1.1 |
| 45 | 15.0 | 2.5 | 17.0 | 1.0 | 18.0 | 1.0 | 2.9 | 0.9 | 3.9 | 0.8 | 2.0 | 0.6 |
| 60 | 12.0 | 3.0 | 9.5 | 7.5 | 12.0 | 6.0 | 2.6 | 0.3 | 3.5 | 0.4 | 1.8 | 0.2 |
| 90 | 0.5 | 11.5 | 5.0 | 4.5 | 2.0 | 10.0 | 2.1 | 0.5 | 2.6 | 0.9 | 1.7 | 0.1 |
Publisher’s Note: MDPI stays neutral with regard to jurisdictional claims in published maps and institutional affiliations. |
© 2021 by the author. Licensee MDPI, Basel, Switzerland. This article is an open access article distributed under the terms and conditions of the Creative Commons Attribution (CC BY) license (https://creativecommons.org/licenses/by/4.0/).
Share and Cite
Dosho, Y. Effect of Mineral Admixtures on the Performance of Low-Quality Recycled Aggregate Concrete. Crystals 2021, 11, 596. https://doi.org/10.3390/cryst11060596
Dosho Y. Effect of Mineral Admixtures on the Performance of Low-Quality Recycled Aggregate Concrete. Crystals. 2021; 11(6):596. https://doi.org/10.3390/cryst11060596
Chicago/Turabian StyleDosho, Yasuhiro. 2021. "Effect of Mineral Admixtures on the Performance of Low-Quality Recycled Aggregate Concrete" Crystals 11, no. 6: 596. https://doi.org/10.3390/cryst11060596
APA StyleDosho, Y. (2021). Effect of Mineral Admixtures on the Performance of Low-Quality Recycled Aggregate Concrete. Crystals, 11(6), 596. https://doi.org/10.3390/cryst11060596
