Engineering the Mechanically Mixed BaMnO3-CeO2 Catalyst for NO Direct Decomposition: Effect of Thermal Treatment on Catalytic Activity
Abstract
1. Introduction
2. Results and Discussion
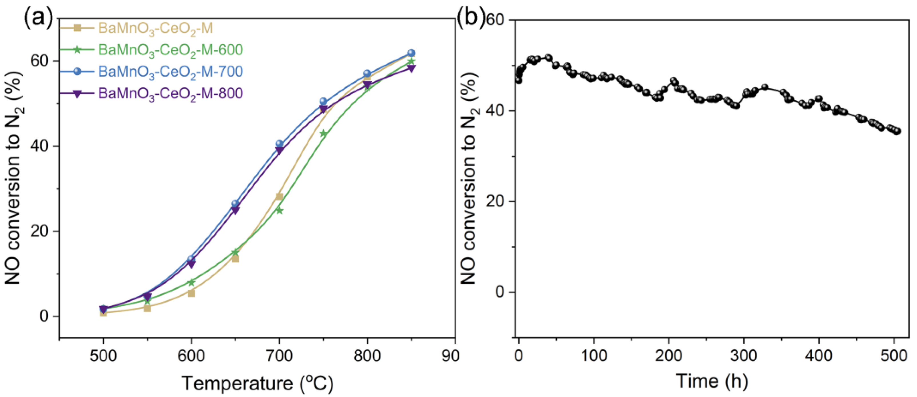
2.1. Catalytic Performance
2.2. XRD and SSA
2.3. XPS and UV Raman Spectra
2.4. Chemisorption Properties
3. Experimental
3.1. Catalyst Preparation
3.2. Catalytic Performance Test
3.3. Catalyst Characterization
4. Conclusions
Author Contributions
Funding
Institutional Review Board Statement
Informed Consent Statement
Data Availability Statement
Conflicts of Interest
References
- Gholami, F.; Tomas, M.; Gholami, Z.; Vakili, M. Technologies for the nitrogen oxides reduction from flue gas: A review. Sci. Total Environ. 2020, 714, 136712. [Google Scholar] [CrossRef] [PubMed]
- Wise, H.; Frech, M.F. Kinetics of decomposition of nitric oxide at elevated temperatures. I. Rate measurements in a Quartz Vessel. J. Chem. Phys. 1952, 20, 22–24. [Google Scholar] [CrossRef]
- Xie, P.; Ji, W.; Li, Y.; Zhang, C. NO direct decomposition: Progress, challenges and opportunities. Catal. Sci. Technol. 2021, 11, 374–391. [Google Scholar] [CrossRef]
- Zhang, Y.; Cao, G.; Yang, X. Advances in De-NOx methods and catalysts for direct catalytic decomposition of NO: A review. Energy Fuels 2021, 35, 6443–6464. [Google Scholar] [CrossRef]
- Amirnazmi, A.; Benson, J.; Boudart, M. Oxygen inhibition in the decomposition of NO on metal oxides and platinum. J. Catal. 1973, 30, 55–65. [Google Scholar] [CrossRef]
- Peck, T.; Roberts, C.; Reddy, G. Contrasting effects of potassium addition on M3O4 (M = Co, Fe, and Mn) oxides during direct NO decomposition catalysis. Catalysts 2020, 10, 561. [Google Scholar] [CrossRef]
- Jirátová, K.; Pacultová, K.; Karásková, K.; Balabánová, J.; Obalová, L. Direct decomposition of NO over Co-Mn-Al mixed oxides: Effect of Ce and/or K promoters. Catalysts 2020, 10, 808. [Google Scholar] [CrossRef]
- Karásková, K.; Pacultová, K.; Bílková, T.; Fridrichová, D.; Koštejn, M.; Peikertová, P.; Stelmachowski, P.; Kukula, P.; Obalová, L. Effect of zinc on the structure and activity of the cobalt oxide catalysts for NO decomposition. Catalysts 2023, 13, 18. [Google Scholar] [CrossRef]
- Karásková, K.; Pacultová, K.; Klegova, A.; Fridrichová, D.; Valášková, M.; Jirátová, K.; Stelmachowski, P.; Kotarba, A.; Obalová, L. Magnesium effect in K/Co-Mg-Mn-Al mixed oxide catalyst for direct NO decomposition. Catalysts 2020, 10, 931. [Google Scholar] [CrossRef]
- Roberts, C.; Paidi, V.; Shepit, M.; Peck, T.; Masias, K.; van Lierop, J.; Reddy, G. Effect of Cu substitution on the structure and reactivity of CuxCo3-xO4 spinel catalysts for direct NOx decomposition. Catal. Today 2021, 360, 204–212. [Google Scholar] [CrossRef]
- Reddy, G.; Peck, T.; Roberts, C. CeO2–MxOy (M = Fe, Co, Ni, and Cu)-based oxides for direct NO decomposition. J. Phys. Chem. C 2019, 123, 28695–28706. [Google Scholar] [CrossRef]
- Ishihara, T.; Ando, M.; Sada, K.; Takiishi, K.; Yamada, K.; Nishiguchi, H.; Takita, Y. Direct decomposition of NO into N2 and O2 over La(Ba)Mn(In)O3 perovskite oxide. J. Catal. 2003, 220, 104–114. [Google Scholar] [CrossRef]
- Fang, S.; Takagaki, A.; Watanabe, M.; Ishihara, T. The direct decomposition of NO into N2 and O2 over copper doped Ba3Y4O9. Catal. Sci. Technol. 2020, 10, 2513–2522. [Google Scholar] [CrossRef]
- Xie, P.; Yong, X.; Wei, M.; Li, Y.; Zhang, C. High performance catalysts BaCoO3-CeO2 prepared by the one-pot method for NO direct decomposition. Chem. Cat. Chem. 2020, 12, 4297–4303. [Google Scholar] [CrossRef]
- Xie, P.; Yong, X.; Li, Y.; Liu, S.; Zhang, C. Tailoring the BaCoO3-CeO2 catalyst for NO direct decomposition: Factors determining catalytic activity. J. Catal. 2021, 400, 301–309. [Google Scholar] [CrossRef]
- Ji, W.; Xie, P.; Li, Y.; Zhang, C. Highly efficient NO direct decomposition over BaMnO3-CeO2 composite catalysts. Appl. Catal. A Gen. 2022, 634, 118543. [Google Scholar] [CrossRef]
- Teraoka, Y.; Harada, T.; Kagawa, S. Reaction mechanism of direct decomposition of nitric oxide over Co- and Mn-based perovskite-type oxides. J. Chem. Soc. Faraday Trans. 1998, 94, 1887–1891. [Google Scholar] [CrossRef]
- Tofan, C.; Klvana, D.; Kirchnerova, J. Direct decomposition of nitric oxide over perovskite-type catalysts: Part II. Effect of oxygen in the feed on the activity of three selected compositions. Appl. Catal. A Gen. 2002, 226, 225–240. [Google Scholar] [CrossRef]
- Moulder, J.; Chastain, J.; King, R. Handbook of X Ray Photoelectron Spectroscopy: A Reference Book of Standard Spectra for Identification and Interpretation of XPS Data; Perkin-Elmer Corporation: Eden Prairie, MN, USA, 1992; pp. 213–242. [Google Scholar]
- Cao, E.; Feng, Y.; Guo, Z.; Wang, H.; Song, G.; Zhang, Y.; Hao, W.; Sun, L.; Nie, Z. Ethanol sensing characteristics of (La,Ba)(Fe,Ti)O3 nanoparticles with impurity phases of BaTiO3 and BaCO3. J. Sol. Gel Sci. Technol. 2020, 96, 431–440. [Google Scholar] [CrossRef]
- Torregrosa-Rivero, V.; Albaladejo-Fuentes, V.; Sanchez-Adsuar, M.; Illan-Gomez, M. Copper doped BaMnO3 perovskite catalysts for NO oxidation and NO2-assisted diesel soot removal. RSC Adv. 2017, 7, 35228–35238. [Google Scholar] [CrossRef]
- Zhang, C.; Wang, C.; Zhan, W.; Guo, Y.; Guo, Y.; Lu, G.; Baylet, A.; Giroir-Fendler, A. Catalytic oxidation of vinyl chloride emission over LaMnO3 and LaB0.2Mn0.8O3 (B = Co, Ni, Fe) catalysts. Appl. Catal. B Environ. 2013, 129, 509–516. [Google Scholar] [CrossRef]
- Zhu, X.; Zhang, S.; Yang, Y.; Zheng, C.; Zhou, J.; Gao, X.; Tu, X. Enhanced performance for plasma-catalytic oxidation of ethyl acetate over La1-xCexCoO3+δ catalysts. Appl. Catal. B Environ. 2017, 213, 97–105. [Google Scholar] [CrossRef]
- Tang, Q.; Jiang, L.; Liu, J.; Wang, S.; Sun, G. Effect of surface manganese valence of manganese oxides on the activity of the oxygen reduction reaction in alkaline media. ACS Catal. 2014, 4, 457–463. [Google Scholar] [CrossRef]
- Sato, T.; Komanoya, T. Selective oxidation of alcohols with molecular oxygen catalyzed by Ru/MnOx/CeO2 under mild conditions. Catal. Commun. 2009, 10, 1095–1098. [Google Scholar] [CrossRef]
- Luo, M.; Yan, Z.; Jin, L.; He, M. Raman spectroscopic study on the structure in the surface and the bulk shell of CexPr1-xO2-δ mixed oxides. J. Phys. Chem. B 2006, 110, 13068–13071. [Google Scholar] [CrossRef]
- Lin, X.; Li, S.; He, H.; Wu, Z.; Wu, J.; Chen, L.; Ye, D.; Fu, M. Evolution of oxygen vacancies in MnOx-CeO2 mixed oxides for soot oxidation. Appl. Catal. B Environ. 2018, 223, 91–102. [Google Scholar] [CrossRef]
- Poojitha, B.; Rathore, A.; Kumar, A.; Saha, S. Signatures of magnetostriction and spin-phonon coupling in magnetoelectric hexagonal 15R-BaMnO3. Phys. Rev. B 2020, 102, 134436. [Google Scholar] [CrossRef]
- Liu, H.; Li, S.; Wang, W.; Yu, W.; Zhang, W.; Ma, C.; Jia, C. Partially sintered copper-ceria as excellent catalyst for the high-temperature reverse water gas shift reaction. Nat. Commun. 2022, 13, 1–11. [Google Scholar] [CrossRef]
- Royer, S.; Alamdari, H.; Duprez, D.; Kaliaguine, S. Oxygen storage capacity of La1−xA′xBO3 perovskites (with A′ = Sr, Ce; B = Co, Mn)—Relation with catalytic activity in the CH4 oxidation reaction. Appl. Catal. B Environ. 2005, 58, 273–288. [Google Scholar] [CrossRef]
- Ghelamallah, M.; Kacimi, S.; Granger, P. Effects of alkaline earth metals on the surface, structure, and reactivity of α-alumina. Arab. J. Geosci. 2018, 11, 1–6. [Google Scholar] [CrossRef]
- Zhu, J.; Mao, D.; Li, J.; Xie, X.; Yang, X.; Wu, Y. Recycle-new possible mechanism of NO decomposition over perovskite(-like) oxides. J. Mol. Catal. A Chem. 2005, 233, 29–34. [Google Scholar] [CrossRef]
- Medvedev, D.; Murashkina, A.; Pikalova, E.; Demin, A.; Podias, A.; Tsiakaras, P. BaCeO3: Materials development, properties and application. Prog. Mater. Sci. 2014, 60, 72–129. [Google Scholar] [CrossRef]








| Catalyst | CeO2 Grain Size (nm) | SSA (m2 g−1) | Mn4+ | Mn3+ | OII | Ce4+ | ID/IF2g |
|---|---|---|---|---|---|---|---|
| CeO2 | 24.8 | 26 | - | - | 36.1% | 67.1% | 0.26 |
| BaMnO3 | - | 8 | 53.5% | 46.5% | 60.7% | - | - |
| BaMnO3-CeO2-M | 24.3 | 26 | 44.4% | 55.6% | 28.7% | 65.3% | 0.27 |
| BaMnO3-CeO2-M-600 | - | 24 | 38.9% | 61.1% | 30.1% | 74.1% | 0.31 |
| BaMnO3-CeO2-M-700 | 22.9 | 22 | 30.9% | 69.1% | 36.3% | 74.8% | 0.47 |
| BaMnO3-CeO2-M-800 | 26.6 | 17 | 39.7% | 60.3% | 35.9% | 78.9% | 0.44 |
| BaMnO3-CeO2-O | - | 52 | 22.4% | 77.6% | 45.3% | 88.7% | 0.65 |
Disclaimer/Publisher’s Note: The statements, opinions and data contained in all publications are solely those of the individual author(s) and contributor(s) and not of MDPI and/or the editor(s). MDPI and/or the editor(s) disclaim responsibility for any injury to people or property resulting from any ideas, methods, instructions or products referred to in the content. |
© 2023 by the authors. Licensee MDPI, Basel, Switzerland. This article is an open access article distributed under the terms and conditions of the Creative Commons Attribution (CC BY) license (https://creativecommons.org/licenses/by/4.0/).
Share and Cite
Ning, H.; Ji, W.; Li, Y.; Zhang, C. Engineering the Mechanically Mixed BaMnO3-CeO2 Catalyst for NO Direct Decomposition: Effect of Thermal Treatment on Catalytic Activity. Catalysts 2023, 13, 259. https://doi.org/10.3390/catal13020259
Ning H, Ji W, Li Y, Zhang C. Engineering the Mechanically Mixed BaMnO3-CeO2 Catalyst for NO Direct Decomposition: Effect of Thermal Treatment on Catalytic Activity. Catalysts. 2023; 13(2):259. https://doi.org/10.3390/catal13020259
Chicago/Turabian StyleNing, Huanghao, Wenxue Ji, Yongdan Li, and Cuijuan Zhang. 2023. "Engineering the Mechanically Mixed BaMnO3-CeO2 Catalyst for NO Direct Decomposition: Effect of Thermal Treatment on Catalytic Activity" Catalysts 13, no. 2: 259. https://doi.org/10.3390/catal13020259
APA StyleNing, H., Ji, W., Li, Y., & Zhang, C. (2023). Engineering the Mechanically Mixed BaMnO3-CeO2 Catalyst for NO Direct Decomposition: Effect of Thermal Treatment on Catalytic Activity. Catalysts, 13(2), 259. https://doi.org/10.3390/catal13020259
