Nitrogen Removal Characteristics of a Cold-Tolerant Aerobic Denitrification Bacterium, Pseudomonas sp. 41
Abstract
:1. Introduction
2. Results and Discussion
2.1. Isolation and Identification of Strain 41
2.2. Functional Genes Involved in Denitrification
2.3. Aerobic Denitrification Capability of Strain 41
2.4. Nitrate Metabolic Pathways of Strain 41
2.5. Effects of Single Factors on the Denitrification Characteristics of Strain 41
2.5.1. Carbon Source
2.5.2. C/N Ratio
2.5.3. Initial pH
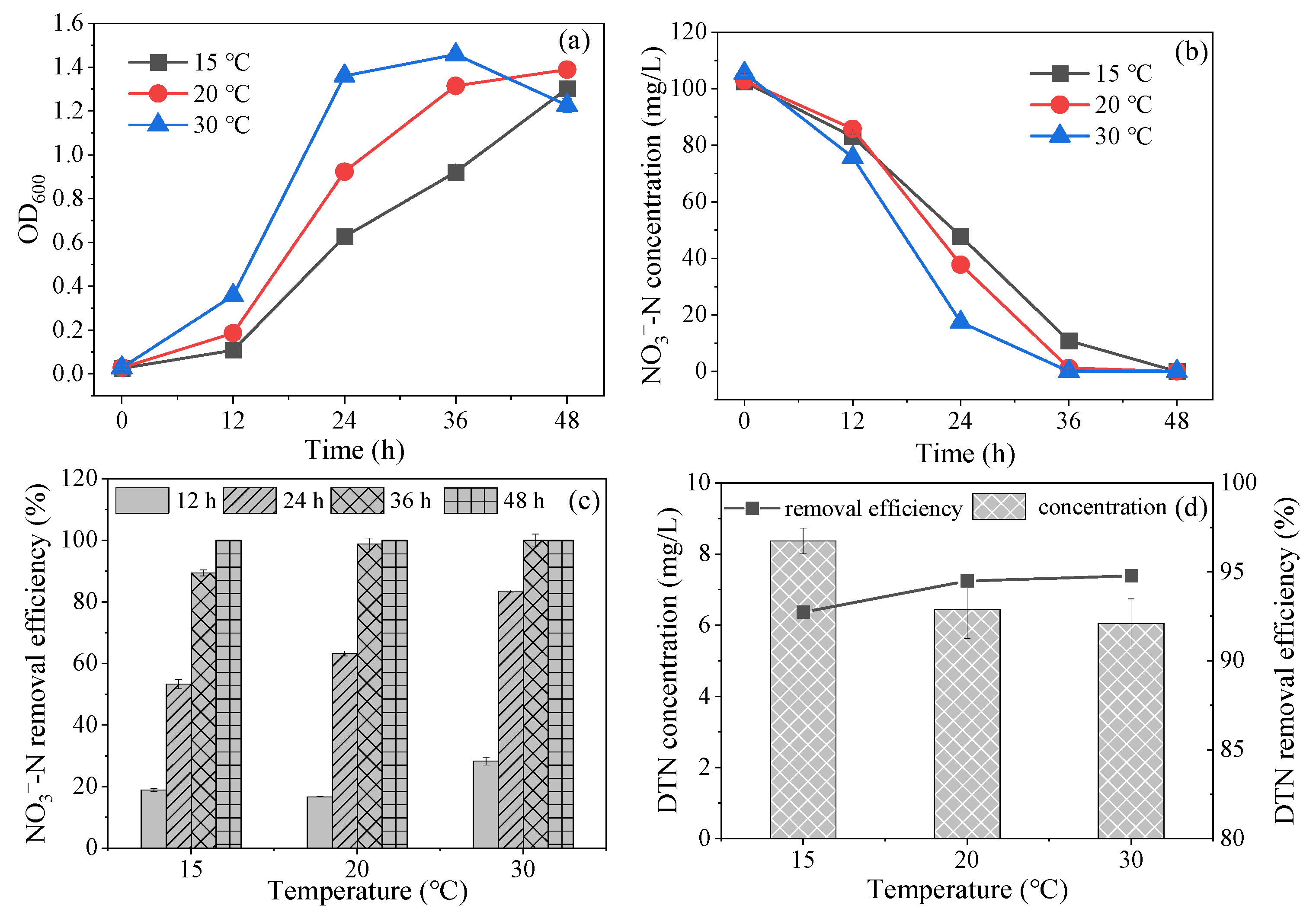
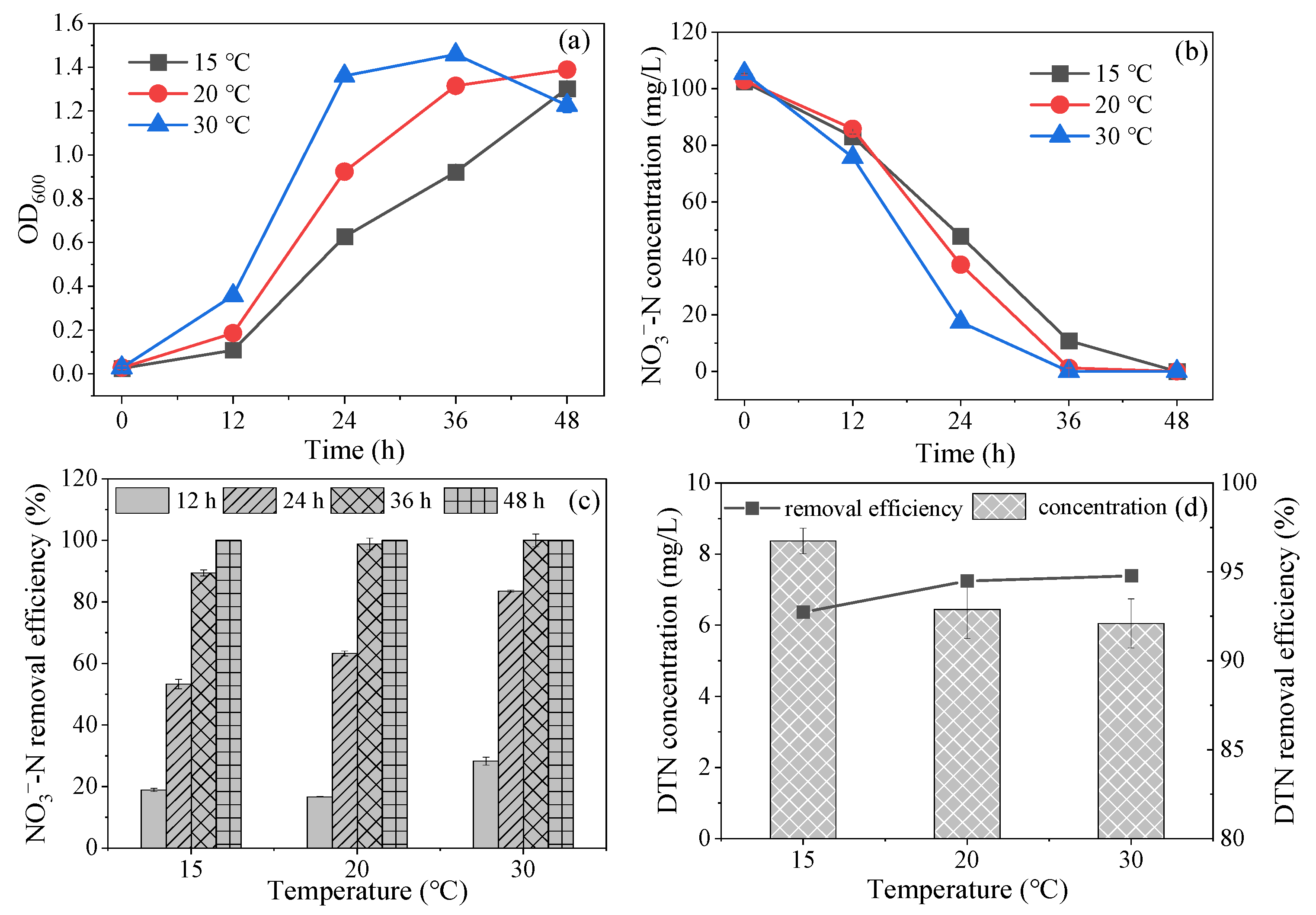
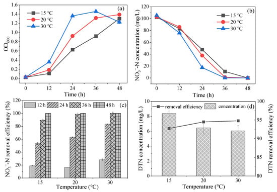
2.5.4. Temperature
2.5.5. DO
2.6. Application Performance Evaluation of Pseudomonas sp. 41 in Wastewater Treatment
3. Materials and Methods
3.1. Media
3.2. Isolation and Identification of Aerobic Denitrifiers
3.3. PCR Amplification of Functional Genes Involved in Denitrification
3.4. Assessment of Aerobic Denitrification Capacity of Strain 41
3.5. Effects of Single Factors on Aerobic Denitrification Performance of Strain 41
3.6. Application of Strain 41 in Wastewater Treatment
3.7. Analysis Methods of Physical and Chemical Indicators
4. Conclusions
Supplementary Materials
Author Contributions
Funding
Data Availability Statement
Acknowledgments
Conflicts of Interest
References
- Cao, J.; Zhang, T.; Wu, Y.; Sun, Y.; Zhang, Y.; Huang, B.; Fu, B.; Yang, E.; Zhang, Q.; Luo, J. Correlations of nitrogen removal and core functional genera in full-scale wastewater treatment plants: Influences of different treatment processes and influent characteristics. Bioresour. Technol. 2020, 297, 122455. [Google Scholar] [CrossRef] [PubMed]
- Shi, Z.; Zhang, Y.; Zhou, J.; Chen, M.; Wang, X. Biological removal of nitrate and ammonium under aerobic atmosphere by Paracoccus versutus LYM. Bioresour. Technol. 2013, 148, 144–148. [Google Scholar] [CrossRef] [PubMed]
- Ahn, Y.-H. Sustainable nitrogen elimination biotechnologies: A review. Process Biochem. 2006, 41, 1709–1721. [Google Scholar] [CrossRef]
- Yao, R.; Yuan, Q.; Wang, K. Enrichment of denitrifying bacterial community using nitrite as an electron acceptor for nitrogen removal from wastewater. Water 2019, 12, 48. [Google Scholar] [CrossRef] [Green Version]
- Lv, P.; Luo, J.; Zhuang, X.; Zhang, D.; Huang, Z.; Bai, Z. Diversity of culturable aerobic denitrifying bacteria in the sediment, water and biofilms in Liangshui River of Beijing, China. Sci. Rep. 2017, 7, 10032. [Google Scholar] [CrossRef] [Green Version]
- Kerkhof, L. A species-specific probe and a PCR assay for the marine bacterium, Pseudomonas stutzeri strain Zobell. Microb. Ecol. 1994, 27, 201–212. [Google Scholar] [CrossRef]
- Su, L.; Li, K.; Zhang, H.; Fan, M.; Ying, D.; Sun, T.; Wang, Y.; Jia, J. Electrochemical nitrate reduction by using a novel Co3O4/Ti cathode. Water Res. 2017, 120, 1–11. [Google Scholar] [CrossRef]
- Dolejš, I.; Stloukal, R.; Rosenberg, M.; Rebroš, M. Nitrogen removal by co-immobilized anammox and ammonia-oxidizing bacteria in wastewater treatment. Catalysts 2019, 9, 523. [Google Scholar] [CrossRef] [Green Version]
- Ni, H.; Arslan, M.; Wei, J.; Dai, J.; Luo, Z.; Cai, R.; Zhao, S.; Gamal El-Din, M.; Wu, Z. Treatment of printing and dyeing wastewater in biological contact oxidation reactors comprising basalt fibers and combination fillers as bio-carriers: Elucidation of bacterial communities and underlying mechanisms. Sci. Total Environ. 2021, 785, 147272. [Google Scholar] [CrossRef]
- Liu, R.; Li, S.; Gao, X.; Yu, N.; Zhao, C.; Gao, C.; Lv, W. Single and combined impacts of nickel and cadmium on the performance, microbial community and enzymatic activity of sequencing batch reactors. Sci. Total Environ. 2020, 727, 138571. [Google Scholar] [CrossRef]
- Barua, V.B.; Munir, M. A review on synchronous microalgal lipid enhancement and wastewater treatment. Energies 2021, 14, 7687. [Google Scholar] [CrossRef]
- Zumft, W.G. Cell biology and molecular basis of denitrification. Microbiol. Mol. Biol. Rev. 1997, 61, 533–616. [Google Scholar] [CrossRef] [PubMed]
- Chen, T.; Yang, X.; Sun, Q.; Hu, A.; Qin, D.; Li, J.; Wang, Y.; Yu, C.-P. Changes in wastewater treatment performance and the microbial community during the bioaugmentation of a denitrifying Pseudomonas strain in the low carbon–nitrogen ratio sequencing batch reactor. Water 2022, 14, 540. [Google Scholar] [CrossRef]
- Song, T.; Zhang, X.; Li, J.; Wu, X.; Feng, H.; Dong, W. A review of research progress of heterotrophic nitrification and aerobic denitrification microorganisms (HNADMs). Sci. Total Environ. 2021, 801, 149319. [Google Scholar] [CrossRef]
- Huang, T.; Guo, L.; Zhang, H.; Su, J.; Wen, G.; Zhang, K. Nitrogen-removal efficiency of a novel aerobic denitrifying bacterium, Pseudomonas stutzeri strain ZF31, isolated from a drinking-water reservoir. Bioresour. Technol. 2015, 196, 209–216. [Google Scholar] [CrossRef]
- Rajta, A.; Bhatia, R.; Setia, H.; Pathania, P. Role of heterotrophic aerobic denitrifying bacteria in nitrate removal from wastewater. J. Appl. Microbiol. 2020, 128, 1261–1278. [Google Scholar] [CrossRef]
- Li, D.; Liang, X.; Jin, Y.; Wu, C.; Zhou, R. Isolation and nitrogen removal characteristics of an aerobic heterotrophic nitrifying-denitrifying bacterium, Klebsiella sp. TN-10. Appl. Biochem. Biotech. 2018, 188, 540–554. [Google Scholar] [CrossRef]
- Zhou, H.; Li, X.; Xu, G.; Yu, H. Overview of strategies for enhanced treatment of municipal/domestic wastewater at low temperature. Sci. Total Environ. 2018, 643, 225–237. [Google Scholar] [CrossRef]
- He, T.; Ye, Q.; Sun, Q.; Cai, X.; Ni, J.; Li, Z.; Xie, D. Removal of nitrate in simulated water at low temperature by a novel psychrotrophic and aerobic bacterium, Pseudomonas taiwanensis Strain J. BioMed Res. Int. 2018, 2018, 4984087. [Google Scholar] [CrossRef] [Green Version]
- Zhao, T.; Chen, P.; Zhang, L.; Zhang, L.; Gao, Y.; Ai, S.; Liu, H.; Liu, X. Heterotrophic nitrification and aerobic denitrification by a novel Acinetobacter sp. TAC-1 at low temperature and high ammonia nitrogen. Bioresour. Technol. 2021, 339, 125620. [Google Scholar] [CrossRef]
- Zha, X.; Ma, J.; Lu, X. Use of a low-cost and energy-efficient device for treating low-strength wastewater at low temperatures focusing on nitrogen removal and microbial community. Sci. Total Environ. 2020, 722, 137916. [Google Scholar] [CrossRef] [PubMed]
- Zheng, Z.; Zhang, D.; Li, W.; Qin, W.; Huang, X.; Lv, L. Substrates removal and growth kinetic characteristics of a heterotrophic nitrifying-aerobic denitrifying bacterium, Acinetobacter harbinensis HITLi7T at 2 °C. Bioresour. Technol. 2018, 259, 286–293. [Google Scholar] [CrossRef] [PubMed]
- Yang, Q.; Yang, T.; Shi, Y.; Xin, Y.; Zhang, L.; Gu, Z.; Li, Y.; Ding, Z.; Shi, G. The nitrogen removal characterization of a cold-adapted bacterium: Bacillus simplex Hb. Bioresour. Technol. 2021, 323, 124554. [Google Scholar] [CrossRef] [PubMed]
- Huang, X.; Weisener, C.G.; Ni, J.; He, B.; Xie, D.; Li, Z. Nitrate assimilation, dissimilatory nitrate reduction to ammonium, and denitrification coexist in Pseudomonas putida Y-9 under aerobic conditions. Bioresour. Technol. 2020, 312, 123597. [Google Scholar] [CrossRef]
- Guo, Y.; Wang, Y.; Zhang, Z.; Huang, F.; Chen, S. Physiological and transcriptomic insights into the cold adaptation mechanism of a novel heterotrophic nitrifying and aerobic denitrifying-like bacterium Pseudomonas indoloxydans YY-1. Int. Biodeter. Biodegr. 2018, 134, 16–24. [Google Scholar] [CrossRef]
- Zhang, D.; Liu, Y.; Han, Y.; Zhang, Y.; Jia, X.; Li, W.; Li, D.; Jing, L. Nitrate removal from low C/N wastewater at low temperature by immobilized Pseudomonas sp. Y39-6 with versatile nitrate metabolism pathways. Bioresour. Technol. 2021, 326, 124794. [Google Scholar] [CrossRef]
- Yang, M.; Lu, D.; Qin, B.; Liu, Q.; Zhao, Y.; Liu, H.; Ma, J. Highly efficient nitrogen removal of a coldness-resistant and low nutrient needed bacterium, Janthinobacterium sp. M-11. Bioresour. Technol. 2018, 256, 366–373. [Google Scholar] [CrossRef]
- Chen, H.; Zhou, W.; Zhu, S.; Liu, F.; Qin, L.; Xu, C.; Wang, Z. Biological nitrogen and phosphorus removal by a phosphorus-accumulating bacteria Acinetobacter sp. strain C-13 with the ability of heterotrophic nitrification-aerobic denitrification. Bioresour. Technol. 2021, 322, 124507. [Google Scholar] [CrossRef]
- Yang, T.; Xin, Y.; Zhang, L.; Gu, Z.; Li, Y.; Ding, Z.; Shi, G. Characterization on the aerobic denitrification process of Bacillus strains. Biomass Bioenerg. 2020, 140, 105677. [Google Scholar] [CrossRef]
- Ruan, Y.; Awasthi, M.K.; Cai, L.; Lu, H.; Xu, X.; Li, W. Simultaneous aerobic denitrification and antibiotics degradation by strain Marinobacter hydrocarbonoclasticus RAD-2. Bioresour. Technol. 2020, 313, 123609. [Google Scholar] [CrossRef]
- Zhang, W.; Yan, C.; Shen, J.; Wei, R.; Gao, Y.; Miao, A.; Xiao, L.; Yang, L. Characterization of aerobic denitrifying bacterium Pseudomonas mendocina strain GL6 and its potential application in wastewater treatment plant effluent. Int. J. Environ. Res. Public Health 2019, 16, 364. [Google Scholar] [CrossRef] [PubMed] [Green Version]
- Braker, G.; Zhou, J.; Wu, L.; Devol, A.H.; Tiedje, J.M. Nitrite reductase genes (nirK and nirS) as functional markers to investigate diversity of denitrifying bacteria in pacific northwest marine sediment communities. Appl. Environ. Microbiol. 2000, 66, 2096–2104. [Google Scholar] [CrossRef] [PubMed] [Green Version]
- Wang, X.; Wang, W.; Zhang, Y.; Sun, Z.; Zhang, J.; Chen, G.; Li, J. Simultaneous nitrification and denitrification by a novel isolated Pseudomonas sp. JQ-H3 using polycaprolactone as carbon source. Bioresour. Technol. 2019, 288, 121506. [Google Scholar] [CrossRef] [PubMed]
- Lei, X.; Jia, Y.; Chen, Y.; Hu, Y. Simultaneous nitrification and denitrification without nitrite accumulation by a novel isolated Ochrobactrum anthropic LJ81. Bioresour. Technol. 2018, 272, 442–450. [Google Scholar] [CrossRef]
- Zhao, B.; Cheng, D.Y.; Tan, P.; An, Q.; Guo, J.S. Characterization of an aerobic denitrifier Pseudomonas stutzeri strain XL-2 to achieve efficient nitrate removal. Bioresour. Technol. 2018, 250, 564–573. [Google Scholar] [CrossRef]
- Zhang, Y.; Wang, X.; Wang, W.; Sun, Z.; Li, J. Investigation of growth kinetics and partial denitrification performance in strain Acinetobacter johnsonii under different environmental conditions. Roy. Soc. Open Sci. 2019, 6, 191275. [Google Scholar] [CrossRef] [Green Version]
- Yang, M.; Lu, D.; Yang, J.; Zhao, Y.; Zhao, Q.; Sun, Y.; Liu, H.; Ma, J. Carbon and nitrogen metabolic pathways and interaction of cold-resistant heterotrophic nitrifying bacteria under aerobic and anaerobic conditions. Chemosphere 2019, 234, 162–170. [Google Scholar] [CrossRef]
- Xia, L.; Li, X.; Fan, W.; Wang, J. Heterotrophic nitrification and aerobic denitrification by a novel Acinetobacter sp. ND7 isolated from municipal activated sludge. Bioresour. Technol. 2020, 301, 122749. [Google Scholar] [CrossRef]
- Feng, Y.; Feng, J.; Shu, Q.L. Isolation and characterization of heterotrophic nitrifying and aerobic denitrifying Klebsiella pneumoniae and Klebsiella variicola strains from various environments. J. Appl. Microbiol. 2018, 124, 1195–1211. [Google Scholar] [CrossRef]
- Ye, Q.; Li, K.; Li, Z.; Yi, X.; He, T.; Tang, W.; Xiang, S. Heterotrophic nitrification-aerobic denitrification performance of strain Y-12 under low temperature and high concentration of inorganic nitrogen conditions. Water 2017, 9, 835. [Google Scholar] [CrossRef] [Green Version]
- Deng, M.; Zhao, X.; Senbati, Y.; Song, K.; He, X. Nitrogen removal by heterotrophic nitrifying and aerobic denitrifying bacterium Pseudomonas sp. DM02: Removal performance, mechanism and immobilized application for real aquaculture wastewater treatment. Bioresour. Technol. 2021, 322, 124555. [Google Scholar] [CrossRef] [PubMed]
- Zhang, M.; Li, A.; Yao, Q.; Wu, Q.; Zhu, H. Nitrogen removal characteristics of a versatile heterotrophic nitrifying-aerobic denitrifying bacterium, Pseudomonas bauzanensis DN13-1, isolated from deep-sea sediment. Bioresour. Technol. 2020, 305, 122626. [Google Scholar] [CrossRef] [PubMed]
- Xie, F.; Thiri, M.; Wang, H. Simultaneous heterotrophic nitrification and aerobic denitrification by a novel isolated Pseudomonas mendocina X49. Bioresour. Technol. 2020, 319, 124198. [Google Scholar] [CrossRef] [PubMed]
- Sun, Y.; Li, A.; Zhang, X.; Ma, F. Regulation of dissolved oxygen from accumulated nitrite during the heterotrophic nitrification and aerobic denitrification of Pseudomonas stutzeri T13. Appl. Microbiol. Biotechnol. 2015, 99, 3243–3248. [Google Scholar] [CrossRef]
- Man, Q.; Zhang, P.; Huang, W.; Zhu, Q.; He, X.; Wei, D. A heterotrophic nitrification-aerobic denitrification bacterium Halomonas venusta TJPU05 suitable for nitrogen removal from high-salinity wastewater. Front. Env. Sci. Eng. 2022, 16, 69. [Google Scholar] [CrossRef]
- Idi, A.; Ibrahim, Z.; Mohamad, S.E.; Majid, Z.A. Biokinetics of nitrogen removal at high concentrations by Rhodobacter sphaeroides ADZ101. Int. Biodeter. Biodegr. 2015, 105, 245–251. [Google Scholar] [CrossRef]
- Lang, X.; Li, Q.; Ji, M.; Yan, G.; Guo, S. Isolation and niche characteristics in simultaneous nitrification and denitrification application of an aerobic denitrifier, Acinetobacter sp. YS2. Bioresour. Technol. 2020, 302, 122799. [Google Scholar] [CrossRef]
- Ren, J.; Bai, X.; Liu, Y.; Huang, X. Simultaneous nitrification and aerobic denitrification by a novel isolated Ochrobactrum anthropi HND19. Bioresour. Technol. 2021, 340, 125582. [Google Scholar] [CrossRef]
- Ruan, Y.; Taherzadeh, M.J.; Kong, D.; Lu, H.; Zhao, H.; Xu, X.; Liu, Y.; Cai, L. Nitrogen removal performance and metabolic pathways analysis of a novel aerobic denitrifying halotolerant Pseudomonas balearica strain RAD-17. Microorganisms 2020, 8, 72. [Google Scholar] [CrossRef] [Green Version]
- Li, Y.; Wang, Y.; Fu, L.; Gao, Y.; Zhao, H.; Zhou, W. Aerobic-heterotrophic nitrogen removal through nitrate reduction and ammonium assimilation by marine bacterium Vibrio sp. Y1-5. Bioresour. Technol. 2017, 230, 103–111. [Google Scholar] [CrossRef]
- Wang, H.; Chen, N.; Feng, C.; Deng, Y. Insights into heterotrophic denitrification diversity in wastewater treatment systems: Progress and future prospects based on different carbon sources. Sci. Total Environ. 2021, 780, 146521. [Google Scholar] [CrossRef] [PubMed]
- Li, C.; Yang, J.; Wang, X.; Wang, E.; Li, B.; He, R.; Yuan, H. Removal of nitrogen by heterotrophic nitrification–aerobic denitrification of a phosphate accumulating bacterium Pseudomonas stutzeri YG-24. Bioresour. Technol. 2015, 182, 18–25. [Google Scholar] [CrossRef] [PubMed]
- Guo, L.; Chen, Q.; Fang, F.; Hu, Z.; Wu, J.; Miao, A.; Xiao, L.; Chen, X.; Yang, L. Application potential of a newly isolated indigenous aerobic denitrifier for nitrate and ammonium removal of eutrophic lake water. Bioresour. Technol. 2013, 142, 45–51. [Google Scholar] [CrossRef]
- Shu, H.; Sun, H.; Huang, W.; Zhao, Y.; Ma, Y.; Chen, W.; Sun, Y.; Chen, X.; Zhong, P.; Yang, H.; et al. Nitrogen removal characteristics and potential application of the heterotrophic nitrifying-aerobic denitrifying bacteria Pseudomonas mendocina S16 and Enterobacter cloacae DS’5 isolated from aquaculture wastewater ponds. Bioresour. Technol. 2021, 345, 126541. [Google Scholar] [CrossRef] [PubMed]
- Wen, G.; Wang, T.; Li, K.; Wang, H.; Wang, J.; Huang, T. Aerobic denitrification performance of strain Acinetobacter johnsonii WGX-9 using different natural organic matter as carbon source: Effect of molecular weight. Water Res. 2019, 164, 114956. [Google Scholar] [CrossRef] [PubMed]
- Lei, Y.; Wang, Y.; Liu, H.; Xi, C.; Song, L. A novel heterotrophic nitrifying and aerobic denitrifying bacterium, Zobellella taiwanensis DN-7, can remove high-strength ammonium. Appl. Microbiol. Biotechnol. 2016, 100, 4219–4229. [Google Scholar] [CrossRef]
- Fu, W.; Wang, Q.; Chen, S.; Wang, Y.; Wang, Y.; Duan, P.; Yi, G.; Liu, C.; Zhang, X.; Rao, Z. Isolation and identification of an efficient aerobic denitrifying Pseudomonas stutzeri strain and characterization of its nitrite degradation. Catalysts 2021, 11, 1214. [Google Scholar] [CrossRef]
- Zhao, K.; Tian, X.; Li, H.; Dong, S.; Jiang, W. Characterization of a novel marine origin aerobic nitrifying–denitrifying bacterium isolated from shrimp culture ponds. Aquac. Res. 2019, 50, 1770–1781. [Google Scholar] [CrossRef]
- Liu, Y.; Ai, G.-M.; Miao, L.-L.; Liu, Z.-P. Marinobacter strain NNA5, a newly isolated and highly efficient aerobic denitrifier with zero N2O emission. Bioresour. Technol. 2016, 206, 9–15. [Google Scholar] [CrossRef]
- Yang, L.; Wang, X.-H.; Cui, S.; Ren, Y.-X.; Yu, J.; Chen, N.; Xiao, Q.; Guo, L.-K.; Wang, R.-H. Simultaneous removal of nitrogen and phosphorous by heterotrophic nitrification-aerobic denitrification of a metal resistant bacterium Pseudomonas putida strain NP5. Bioresour. Technol. 2019, 285, 121360. [Google Scholar] [CrossRef]
- Kim, M.; Jeong, S.-Y.; Yoon, S.J.; Cho, S.J.; Kim, Y.H.; Kim, M.J.; Ryu, E.Y.; Lee, S.-J. Aerobic denitrification of Pseudomonas putida AD-21 at different C/N ratios. J. Biosci. Bioeng. 2008, 106, 498–502. [Google Scholar] [CrossRef] [PubMed]
- Ren, Y.-X.; Yang, L.; Liang, X. The characteristics of a novel heterotrophic nitrifying and aerobic denitrifying bacterium, Acinetobacter junii YB. Bioresour. Technol. 2014, 171, 1–9. [Google Scholar] [CrossRef] [PubMed]
- Timmermans, P.; van Haute, A. Denitrification with methanol-fundamental study of the growth and denitrification capacity of Hyphomicrobium spp. Water Res. 1983, 17, 1249–1255. [Google Scholar] [CrossRef]
- Fan, Y.; Su, J.; Zheng, Z.; Gao, J.; Ali, A. Denitrification performance and mechanism of a novel isolated Acinetobacter sp. FYF8 in oligotrophic ecosystem. Bioresour. Technol. 2021, 320, 124280. [Google Scholar] [CrossRef]
- Yang, J.-R.; Wang, Y.; Chen, H.; Lyu, Y.-K. Ammonium removal characteristics of an acid-resistant bacterium Acinetobacter sp. JR1 from pharmaceutical wastewater capable of heterotrophic nitrification-aerobic denitrification. Bioresour. Technol. 2019, 274, 56–64. [Google Scholar] [CrossRef]
- Ren, J.; Wei, C.; Ma, H.; Dai, M.; Fan, J.; Liu, Y.; Wu, Y.; Han, R. The nitrogen-removal efficiency of a novel high-efficiency salt-tolerant aerobic denitrifier, Halomonas alkaliphile hrl-9, isolated from a seawater biofilter. Int. J. Environ. Res. Public Health 2019, 16, 4451. [Google Scholar] [CrossRef] [Green Version]
- Ren, J.; Ma, H.; Liu, Y.; Ruan, Y.; Wei, C.; Song, J.; Wu, Y.; Han, R. Characterization of a novel marine aerobic denitrifier Vibrio spp. AD2 for efficient nitrate reduction without nitrite accumulation. Environ. Sci. Pollut. Res. 2021, 28, 30807–30820. [Google Scholar] [CrossRef]
- Ji, B.; Yang, K.; Zhu, L.; Jiang, Y.; Wang, H.; Zhou, J.; Zhang, H. Aerobic denitrification: A review of important advances of the last 30 years. Biotechnol. Bioproc. E. 2015, 20, 643–651. [Google Scholar] [CrossRef]
- Chen, S.; He, S.; Wu, C.; Du, D. Characteristics of heterotrophic nitrification and aerobic denitrification bacterium Acinetobacter sp. T1 and its application for pig farm wastewater treatment. J. Biosci. Bioeng. 2019, 127, 201–205. [Google Scholar] [CrossRef]
- Flemming, H.-C.; Wuertz, S. Bacteria and archaea on earth and their abundance in biofilms. Nat. Rev. Microbiol. 2019, 17, 247–260. [Google Scholar] [CrossRef]
- Zhang, J.; Miao, Y.; Zhang, Q.; Sun, Y.; Wu, L.; Peng, Y. Mechanism of stable sewage nitrogen removal in a partial nitrification-anammox biofilm system at low temperatures: Microbial community and EPS analysis. Bioresour. Technol. 2020, 297, 122459. [Google Scholar] [CrossRef] [PubMed]
- Dairawan, M.; Shetty, P.J. The evolution of DNA extraction methods. Am. J. Biomed. Sci. 2020, 8, 39–46. [Google Scholar] [CrossRef]
- Weisburg, W.G.; Barns, S.M.; Pelletier, D.A.; Lane, D.J. 16S ribosomal DNA amplification for phylogenetic study. J. Bacteriol. 1991, 173, 697–703. [Google Scholar] [CrossRef] [PubMed] [Green Version]
- Zhang, N.; Zhang, Y.; Bohu, T.; Wu, S.; Bai, Z.; Zhuang, X. Nitrogen removal characteristics and constraints of an alphaproteobacteria with potential for high nitrogen content heterotrophic nitrification-aerobic denitrification. Microorganisms 2022, 10, 235. [Google Scholar] [CrossRef]









| Strain | Source | Temperature | Reference | 
|---|---|---|---|
| Acinetobacter sp. TAC-1 | Swine wastewater | 5 °C | [20] | 
| Acinetobacter harbinensis HITLi7T | Songhua River | 2 °C | [22] | 
| Bacillus simplex H-b | Frozen soil | 10 °C | [23] | 
| Pseudomonas putida Y-9 | Flooded paddy soil | 15 °C | [24] | 
| Pseudomonas indoloxydans YY-1 | Bioreactor | 5 °C | [25] | 
| Pseudomonas sp. Y39-6 | Groundwater | 4 °C | [26] | 
| Janthinobacterium sp. M-11 | Surface water | 2 °C | [27] | 
| N Types | NO3−-N (mg/L) | NO2−-N (mg/L) | NH4+-N (mg/L) | DTN (mg/L) | Intracellular N (mg/L) | Gaseous N (mg/L) | Error (%) | 
|---|---|---|---|---|---|---|---|
| Initial N | 102.36 ± 1.67 | 0 | 0.76 ± 0.32 | 110.36 ± 0.58 | 7.24 ± 0.26 | / | 6.56 | 
| Final N | 0 | 0 | 0.60 ± 0.11 | 8.01 ± 1.70 | 57.77 ± 0.98 | 48.58 ± 0.66 | 6.71 | 
| Publisher’s Note: MDPI stays neutral with regard to jurisdictional claims in published maps and institutional affiliations. | 
© 2022 by the authors. Licensee MDPI, Basel, Switzerland. This article is an open access article distributed under the terms and conditions of the Creative Commons Attribution (CC BY) license (https://creativecommons.org/licenses/by/4.0/).
Share and Cite
Lv, P.; Wei, B.; Ma, W.; Luo, X. Nitrogen Removal Characteristics of a Cold-Tolerant Aerobic Denitrification Bacterium, Pseudomonas sp. 41. Catalysts 2022, 12, 412. https://doi.org/10.3390/catal12040412
Lv P, Wei B, Ma W, Luo X. Nitrogen Removal Characteristics of a Cold-Tolerant Aerobic Denitrification Bacterium, Pseudomonas sp. 41. Catalysts. 2022; 12(4):412. https://doi.org/10.3390/catal12040412
Chicago/Turabian StyleLv, Pengyi, Bohui Wei, Wenkai Ma, and Xiao Luo. 2022. "Nitrogen Removal Characteristics of a Cold-Tolerant Aerobic Denitrification Bacterium, Pseudomonas sp. 41" Catalysts 12, no. 4: 412. https://doi.org/10.3390/catal12040412
APA StyleLv, P., Wei, B., Ma, W., & Luo, X. (2022). Nitrogen Removal Characteristics of a Cold-Tolerant Aerobic Denitrification Bacterium, Pseudomonas sp. 41. Catalysts, 12(4), 412. https://doi.org/10.3390/catal12040412
 
         
                                                
 
                         
       