When Guidelines Meet Reality: The Combined Impact of Assay Variability and Prescribing Differences on TSH Management in Thyroid Cancer
Simple Summary
Abstract
1. Introduction
2. Material and Methods
Statistical Analysis
3. Results
3.1. Agreement Between Different TSH Immunoassays
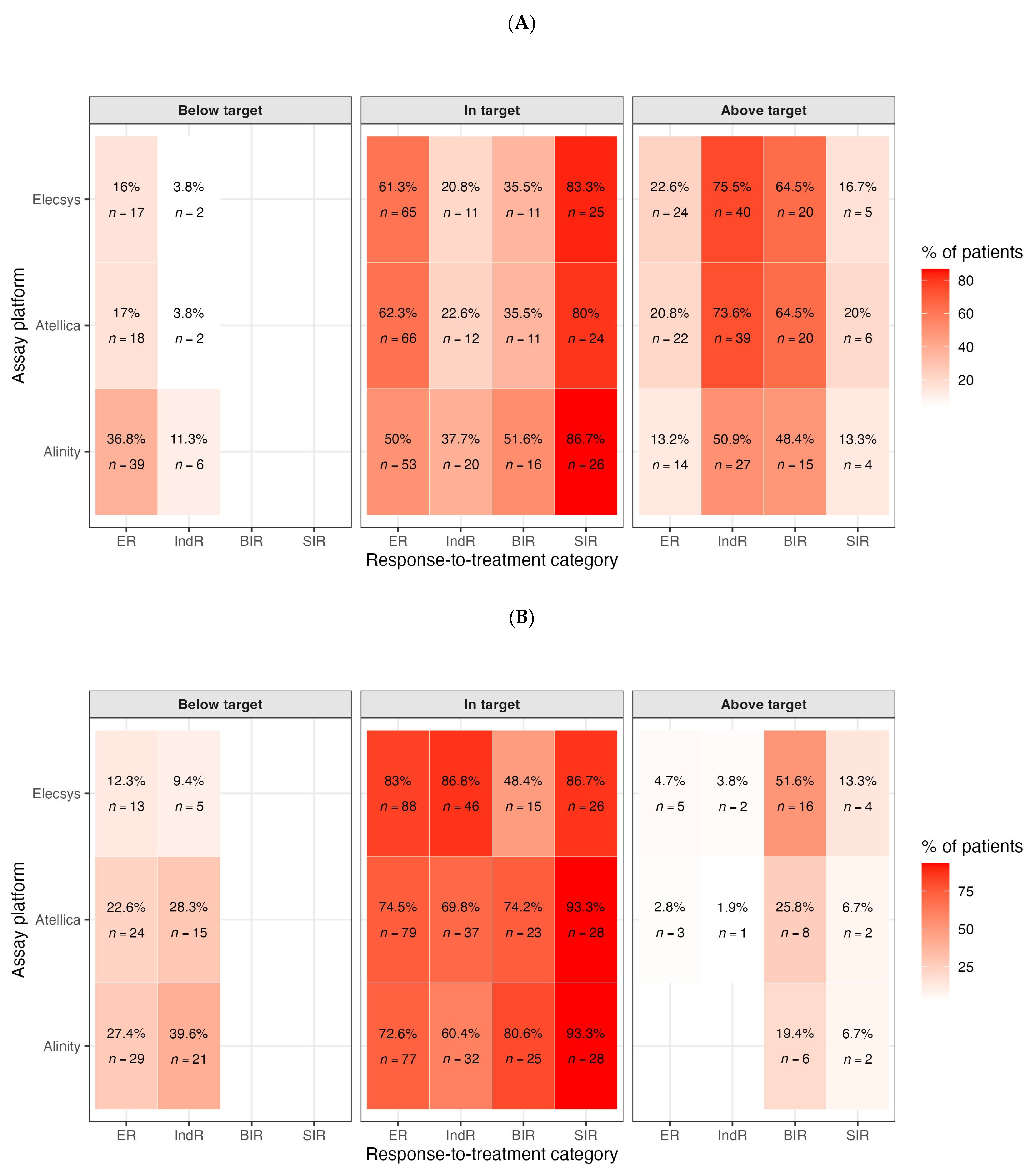
3.2. TSH Values Outside Target Ranges by Response Class
4. Discussion
5. Conclusions
Author Contributions
Funding
Institutional Review Board Statement
Informed Consent Statement
Data Availability Statement
Conflicts of Interest
References
- Vaccarella, S.; Franceschi, S.; Bray, F.; Wild, C.P.; Plummer, M.; Dal Maso, L. Worldwide Thyroid-Cancer Epidemic? The Increasing Impact of Overdiagnosis. N. Engl. J. Med. 2016, 375, 614–617. [Google Scholar] [CrossRef]
- Ahn, H.S.; Kim, H.J.; Welch, H.G. Korea’s Thyroid-Cancer “Epidemic” — Screening and Overdiagnosis. N. Engl. J. Med. 2014, 371, 1765–1767. [Google Scholar] [CrossRef]
- Leboulleux, S.; Bournaud, C.; Chougnet, C.N.; Zerdoud, S.; Al Ghuzlan, A.; Catargi, B.; Do Cao, C.; Kelly, A.; Barge, M.-L.; Lacroix, L.; et al. Thyroidectomy without Radioiodine in Patients with Low-Risk Thyroid Cancer. N. Engl. J. Med. 2022, 386, 923–932. [Google Scholar] [CrossRef] [PubMed]
- Du, P.; Jiao, X.; Zhou, Y.; Li, Y.; Kang, S.; Zhang, D.; Zhang, J.; Lv, L. Low versus high radioiodine activity to ablate the thyroid after thyroidectomy for cancer: A meta-analysis of randomized controlled trials. Endocrine 2014, 48, 96–105. [Google Scholar] [CrossRef] [PubMed]
- Leboulleux, S.; Bournaud, C.; Chougnet, C.N.; Lamartina, L.; Zerdoud, S.; Do Cao, C.; Catargi, B.; Dygai, I.; Kelly, A.; Barge, M.-L.; et al. Thyroidectomy without radioiodine in patients with low-risk thyroid cancer: 5 years of follow-up of the prospective randomised ESTIMABL2 trial. Lancet Diabetes Endocrinol. 2025, 13, 38–46. [Google Scholar] [CrossRef]
- Pacini, F.; Fuhrer, D.; Elisei, R.; Handkiewicz-Junak, D.; Leboulleux, S.; Luster, M.; Schlumberger, M.; Smit, J.W. 2022 ETA Consensus Statement: What are the indications for post-surgical radioiodine therapy in differentiated thyroid cancer? Eur. Thyroid. J. 2022, 11, e210046. [Google Scholar] [CrossRef]
- Campennì, A.; Giovanella, L.; Siracusa, M.; Stipo, M.E.; Alibrandi, A.; Cucinotta, M.; Ruggeri, R.M.; Baldari, S. Is Malignant Nodule Topography an Additional Risk Factor for Metastatic Disease in Low-Risk Differentiated Thyroid Cancer? Thyroid 2014, 24, 1607–1611. [Google Scholar] [CrossRef]
- Filetti, S.; Durante, C.; Hartl, D.; Leboulleux, S.; Locati, L.D.; Newbold, K.; Papotti, M.G.; Berruti, A. Thyroid cancer: ESMO Clinical Practice Guidelines for diagnosis, treatment and follow-up. Ann. Oncol. 2019, 30, 1856–1883. [Google Scholar] [CrossRef] [PubMed]
- Matsuzu, K.; Sugino, K.; Masudo, K.; Nagahama, M.; Kitagawa, W.; Shibuya, H.; Ohkuwa, K.; Uruno, T.; Suzuki, A.; Magoshi, S.; et al. Thyroid Lobectomy for Papillary Thyroid Cancer: Long-term Follow-up Study of 1,088 Cases. World J. Surg. 2013, 38, 68–79. [Google Scholar] [CrossRef]
- Song, X.; Meng, Z.; Jia, Q.; Zhang, L.; Xu, K.; Tan, J.; Zhang, G.; Zheng, W.; Li, X.; Zhang, J. Different Radioiodine Dose for Remnant Thyroid Ablation in Patients With Differentiated Thyroid Cancer: A Meta-Analysis. Clin. Nucl. Med. 2015, 40, 774–779. [Google Scholar] [CrossRef]
- Tang, J.; Kong, D.; Cui, Q.; Wang, K.; Zhang, D.; Liao, X.; Gong, Y.; Wu, G. The role of radioactive iodine therapy in papillary thyroid cancer: An observational study based on SEER. OncoTargets Ther. 2018, 11, 3551–3560. [Google Scholar] [CrossRef]
- Avram, A.M.; Giovanella, L.; Greenspan, B.; Lawson, S.A.; Luster, M.; Van Nostrand, D.; Peacock, J.G.; Ovčariček, P.P.; Silberstein, E.; Tulchinsky, M.; et al. SNMMI Procedure Standard/EANM Practice Guideline for Nuclear Medicine Evaluation and Therapy of Differentiated Thyroid Cancer: Abbreviated Version. J. Nucl. Med. 2022, 63, 15N–35N. [Google Scholar]
- Krajewska, J.; Chmielik, E.; Jarząb, B. Dynamic Risk Stratification in the Follow-up of Thyroid Cancer: What Is Still to Be Discovered in 2017? Endocr. Relat. Cancer 2017, 24, R387–R402. [Google Scholar] [CrossRef]
- Song, H.; Mosci, C.; Akatsu, H.; Basina, M.; Dosiou, C.; Iagaru, A. Diagnostic 123I Whole Body Scan Prior to Ablation of Thyroid Remnant in Patients With Papillary Thyroid Cancer: Implications for Clinical Management. Clin. Nucl. Med. 2018, 43, 705–709. [Google Scholar] [CrossRef]
- Brassard, M.; Borget, I.; Edet-Sanson, A.; Giraudet, A.-L.; Mundler, O.; Toubeau, M.; Bonichon, F.; Borson-Chazot, F.; Leenhardt, L.; Schvartz, C.; et al. Long-Term Follow-Up of Patients with Papillary and Follicular Thyroid Cancer: A Prospective Study on 715 Patients. J. Clin. Endocrinol. Metab. 2011, 96, 1352–1359. [Google Scholar] [CrossRef]
- Qu, Y.; Huang, R.; Li, L. Low- and high-dose radioiodine therapy for low-/intermediate-risk differentiated thyroid cancer: A preliminary clinical trial. Ann. Nucl. Med. 2016, 31, 71–83. [Google Scholar] [CrossRef]
- Cabanillas, M.E.; McFadden, D.G.; Durante, C. Thyroid Cancer. Lancet 2016, 388, 2783–2795. [Google Scholar] [CrossRef] [PubMed]
- Carling, T.; Udelsman, R. Thyroid Cancer. Annu. Rev. Med. 2014, 65, 125–137. [Google Scholar] [CrossRef] [PubMed]
- Petranović Ovčariček, P.; Campenni, A.; de Keizer, B.; Deandreis, D.; Kreissl, M.C.; Vrachimis, A.; Tuncel, M.; Giovanella, L. Molecular Theranostics in Radioiodine-Refractory Differentiated Thyroid Cancer. Cancers 2023, 15, 4290. [Google Scholar] [CrossRef]
- Goldman, M.B.; Monson, R.R.; Maloof, F. Cancer Mortality in Women with Thyroid Disease. Cancer Res. 1990, 50, 2283–2289. [Google Scholar] [PubMed]
- Schmidt, M.; Bartenstein, P.; Bucerius, J.; Dietlein, M.; Drzezga, A.; Herrmann, K.; Lapa, C.; Lorenz, K.; Musholt, T.J.; Nagarajah, J.; et al. Individualized treatment of differentiated thyroid cancer: The value of surgery in combination with radioiodine imaging and therapy—A German position paper from Surgery and Nuclear Medicine. Nuklearmedizin 2022, 61, 87–96. [Google Scholar] [CrossRef]
- Freudenthal, B.; Williams, G.R. Thyroid Stimulating Hormone Suppression in the Long-Term Follow-up of Differentiated Thyroid Cancer. Clin. Oncol. 2017, 29, 325–328. [Google Scholar] [CrossRef] [PubMed]
- Biondi, B.; Cooper, D.S. Benefits of Thyrotropin Suppression versus the Risks of Adverse Effects in Differentiated Thyroid Cancer. Thyroid 2010, 20, 135–146. [Google Scholar] [CrossRef] [PubMed]
- Rawlins, M.L.; Roberts, W.L. Performance Characteristics of Six Third-Generation Assays for Thyroid-Stimulating Hormone. Clin. Chem. 2004, 50, 2338–2344. [Google Scholar] [CrossRef][Green Version]
- Haugen, B.R.; Alexander, E.K.; Bible, K.C.; Doherty, G.M.; Mandel, S.J.; Nikiforov, Y.E.; Pacini, F.; Randolph, G.W.; Sawka, A.M.; Schlumberger, M.; et al. 2015 American Thyroid Association Management Guidelines for Adult Patients with Thyroid Nodules and Differentiated Thyroid Cancer: The American Thyroid Association Guidelines Task Force on Thyroid Nodules and Differentiated Thyroid Cancer. Thyroid 2016, 26, 1–133. [Google Scholar] [CrossRef]
- Gubbi, S.; Al-Jundi, M.; Foerster, P.; Cardenas, S.; Butera, G.; Auh, S.; Wright, E.C.; Klubo-Gwiezdzinska, J. The Effect of Thyrotropin Suppression on Survival Outcomes in Patients with Differentiated Thyroid Cancer: A Systematic Review and Meta-Analysis. Thyroid 2024, 34, 674–686. [Google Scholar] [CrossRef]
- Ringel, M.D.; Sosa, J.A.; Baloch, Z.; Bischoff, L.; Bloom, G.; Brent, G.A.; Brock, P.L.; Chou, R.; Flavell, R.R.; Goldner, W.; et al. 2025 American Thyroid Association Management Guidelines for Adult Patients with Differentiated Thyroid Cancer. Thyroid 2025, 35, 841–985. [Google Scholar] [CrossRef]
- Papaleontiou, M.; Chen, D.W.; Banerjee, M.; Reyes-Gastelum, D.; Hamilton, A.S.; Ward, K.C.; Haymart, M.R. Thyrotropin Suppression for Papillary Thyroid Cancer: A Physician Survey Study. Thyroid 2021, 31, 1383–1390. [Google Scholar] [CrossRef]
- Thewjitcharoen, Y.; Chatchomchuan, W.; Wanothayaroj, E.; Butadej, S.; Nakasatien, S.; Krittiyawong, S.; Rajatanavin, R.; Himathongkam, T. Clinical Inertia in Thyrotropin Suppressive Therapy for Low-Risk Differentiated Thyroid Cancer: A Real-World Experience at an Endocrine Center in Bangkok. Medicine 2024, 103, e38290. [Google Scholar] [CrossRef]
- Qiang, J.K.; Sutradhar, R.; Everett, K.; Eskander, A.; Lega, I.C.; Zahedi, A.; Lipscombe, L. Association Between Serum Thyrotropin and Cancer Recurrence in Differentiated Thyroid Cancer: A Population-Based Retrospective Cohort Study. Thyroid 2025, 35, 208–215. [Google Scholar] [CrossRef] [PubMed]
- Haymart, M.R.; Esfandiari, N.H.; Stang, M.T.; Sosa, J.A. Controversies in the Management of Low-Risk Differentiated Thyroid Cancer. Endocr. Rev. 2017, 38, 351–378. [Google Scholar] [CrossRef] [PubMed]
- Ursem, S.R.; Boelen, A.; Hillebrand, J.J.; den Elzen, W.P.J.; Heijboer, A.C. How Low Can We (Reliably) Go? A Method Comparison of Thyroid-Stimulating Hormone Assays with a Focus on Low Concentrations. Eur. Thyroid. J. 2023, 12, e230123. [Google Scholar] [CrossRef]
- Thienpont, L.M.; Van Uytfanghe, K.; De Grande, L.A.C.; Reynders, D.; Das, B.; Faix, J.D.; MacKenzie, F.; Decallonne, B.; Hishinuma, A.; Lapauw, B.; et al. Harmonization of Serum Thyroid-Stimulating Hormone Measurements Paves the Way for the Adoption of a More Uniform Reference Interval. Clin. Chem. 2017, 63, 1248–1260. [Google Scholar] [CrossRef] [PubMed]
- Cowper, B.; Lyle, A.N.; Vesper, H.W.; Van Uytfanghe, K.; Burns, C. Standardisation and Harmonisation of Thyroid-Stimulating Hormone Measurements: Historical, Current, and Future Perspectives. Clin. Chem. Lab. Med. 2024, 62, 824–829. [Google Scholar] [CrossRef] [PubMed]



| Response | Criteria | AdRR | TSH Target ATA 2015 | TSH Target ATA 2025 |
|---|---|---|---|---|
| ER | Imaging: negative onT4-Tg <0.2 ug/L OR Stim-Tg <1 ug/L AND negative TgAb | <5% | 0.5–2.0 mIU/L | within the RR |
| IndR | imaging: nonspecific findings onT4-Tg 0.2–1 ug/L OR Stim-Tg 1–10 ug/L OR stable/declining TgAb | 15–20% | 0.1–0.5 mIU/L | within the RR |
| BIR | Imaging: no evidence of disease. onT4-Tg >1 ug/L OR Stim-Tg >10 ng/mL OR rising TgAb | ~20% | 0.1–0.5 mIU/L | below the RR |
| SIR | Imaging: persistent or new locoregional or distant metastases Any Tg/TgAb value | 50–85% | <0.1 mIU/L | below the RR |
| Assays | Manufacturer | Technology | LoD | LoQ | Measuring Range (mIU/L) | RR (mIU/L) |
|---|---|---|---|---|---|---|
| Elecsys | Roche | ECLIA | 0.005 | 0.005 | 0.005–100 | 0.27–4.20 |
| Atellica | Siemens | CLIA | 0.003 | 0.004 | 0.004–100 | 0.55–4.78 |
| Alinity | Abbott | CMIA | 0.007 | 0.01 | 0.01–100 | 0.35–4.94 |
| n (%) | |
|---|---|
| Total patients | 220 |
| Female | 124 (56%) |
| Male | 96 (43%) |
| Age (years) | 50.3 ± 20.40 |
| DTC histotypes | 220 |
| PTC | 181 (82%) |
| FTC | 33 (15%) |
| Others | 6 (3%) |
| Stage (AJCC) | |
| I | 109 (50%) |
| II | 74 (34%) |
| III | 26 (11%) |
| IV | 11 (5%) |
| Response to treatment (ATA) | |
| ER | 106 (48%) |
| IndR | 53 (24%) |
| BIR | 31 (14%) |
| SIR | 30 (14%) |
Disclaimer/Publisher’s Note: The statements, opinions and data contained in all publications are solely those of the individual author(s) and contributor(s) and not of MDPI and/or the editor(s). MDPI and/or the editor(s) disclaim responsibility for any injury to people or property resulting from any ideas, methods, instructions or products referred to in the content. |
© 2025 by the authors. Licensee MDPI, Basel, Switzerland. This article is an open access article distributed under the terms and conditions of the Creative Commons Attribution (CC BY) license (https://creativecommons.org/licenses/by/4.0/).
Share and Cite
Petranović Ovčariček, P.; Campennì, A.; D’Aurizio, F.; Imperiali, M.; Alibrandi, A.; Ruggeri, R.M.; Bonanno, L.; Giovanella, L. When Guidelines Meet Reality: The Combined Impact of Assay Variability and Prescribing Differences on TSH Management in Thyroid Cancer. Cancers 2025, 17, 3912. https://doi.org/10.3390/cancers17243912
Petranović Ovčariček P, Campennì A, D’Aurizio F, Imperiali M, Alibrandi A, Ruggeri RM, Bonanno L, Giovanella L. When Guidelines Meet Reality: The Combined Impact of Assay Variability and Prescribing Differences on TSH Management in Thyroid Cancer. Cancers. 2025; 17(24):3912. https://doi.org/10.3390/cancers17243912
Chicago/Turabian StylePetranović Ovčariček, Petra, Alfredo Campennì, Federica D’Aurizio, Mauro Imperiali, Angela Alibrandi, Rosaria Maddalena Ruggeri, Lilla Bonanno, and Luca Giovanella. 2025. "When Guidelines Meet Reality: The Combined Impact of Assay Variability and Prescribing Differences on TSH Management in Thyroid Cancer" Cancers 17, no. 24: 3912. https://doi.org/10.3390/cancers17243912
APA StylePetranović Ovčariček, P., Campennì, A., D’Aurizio, F., Imperiali, M., Alibrandi, A., Ruggeri, R. M., Bonanno, L., & Giovanella, L. (2025). When Guidelines Meet Reality: The Combined Impact of Assay Variability and Prescribing Differences on TSH Management in Thyroid Cancer. Cancers, 17(24), 3912. https://doi.org/10.3390/cancers17243912

