Sign in to use this feature.

Years

Between: -

Subjects

remove_circle_outline
remove_circle_outline
remove_circle_outline
remove_circle_outline
remove_circle_outline
remove_circle_outline
remove_circle_outline
remove_circle_outline
remove_circle_outline

Journals

remove_circle_outline
remove_circle_outline
remove_circle_outline
remove_circle_outline
remove_circle_outline
remove_circle_outline
remove_circle_outline
remove_circle_outline
remove_circle_outline
remove_circle_outline
remove_circle_outline

Article Types

Countries / Regions

remove_circle_outline
remove_circle_outline
remove_circle_outline
remove_circle_outline
remove_circle_outline

Search Results (589)

Search Parameters:
Keywords = thyroid-stimulating hormone

Order results
Result details
Results per page
Select all
Export citation of selected articles as:
13 pages, 1201 KB  
Article
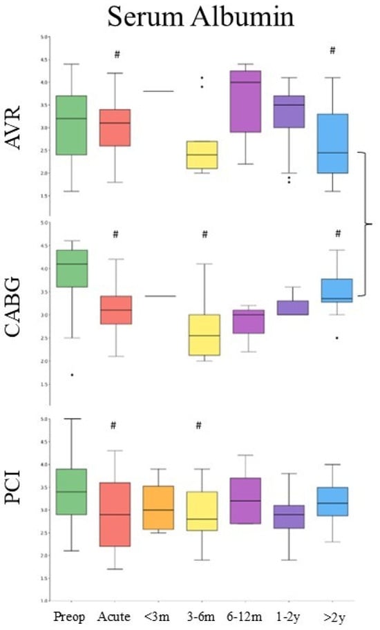
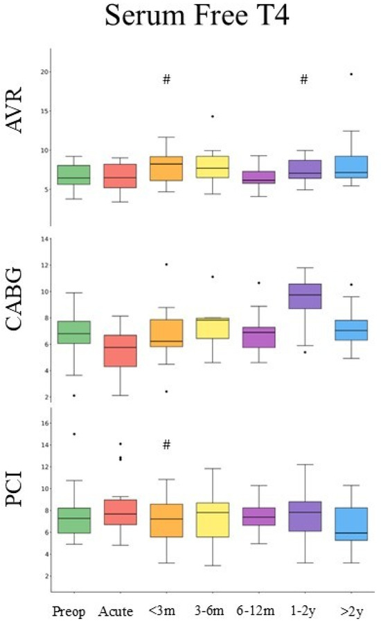
Longitudinal Changes in Thyroid Hormones and Serum Albumin Following CABG, AVR, and PCI: An Exploratory Electronic Medical Record Study
by Pareek Aayushi, Hossam Gad, Abdelhamed Elgazar and Krzysztof Laudanski
Med. Sci. 2026, 14(2), 196; https://doi.org/10.3390/medsci14020196 - 14 Apr 2026
Abstract
Background: Surgical trauma disrupts hormone networks, but the duration required for these systems to recover remains unclear. We hypothesize that significant perioperative stress would trigger protracted abnormalities of the thyroid axis extending past 28 days. Methods: This retrospective exploratory study analyzed opportunistically obtained [...] Read more.
Background: Surgical trauma disrupts hormone networks, but the duration required for these systems to recover remains unclear. We hypothesize that significant perioperative stress would trigger protracted abnormalities of the thyroid axis extending past 28 days. Methods: This retrospective exploratory study analyzed opportunistically obtained thyroid-related laboratory values (free T3 [FT3], free T4 [FT4], and thyroid-stimulating hormone [TSH]) and serum albumin from electronic medical records of patients undergoing CABG, AVR, or PCI between 2017 and 2022. Preprocedural baseline values were compared with post-procedural serum levels measured during the acute peri-procedural period (0–30 days), early recovery (31–90 days), intermediate recovery (91–180 days), late recovery (181–365 days), medium-term follow-up (1–2 years), and long-term follow-up (>2 years). Results: Free T3 demonstrated early suppression across all procedures, most pronounced in CABG during the acute peri-procedural period, with partial recovery at later timepoints. AVR showed moderate suppression at early and long-term follow-up, while PCI demonstrated minimal and inconsistent changes. Free T4 remained relatively stable across procedures, with limited significant post hoc differences after adjustment. TSH showed significant temporal variability in CABG and AVR but not in PCI. Serum albumin demonstrated marked early decline, most pronounced in CABG, with partial recovery over time, whereas AVR showed delayed long-term suppression. Data availability declined substantially at later timepoints across all biomarkers. Conclusions: In this retrospective exploratory analysis, CABG was associated with the most pronounced early perturbations in thyroid and albumin trajectories, while PCI and AVR demonstrated more heterogeneous temporal patterns. These findings are hypothesis-generating and should be interpreted cautiously given non-protocolized laboratory follow-up, substantial missingness, and potential selection bias. Full article
Show Figures

Figure 1

24 pages, 2299 KB  
Article
Alterations of Growth Performance, Blood Parameters, and Antioxidant Function of Brown Adipose Tissue in Mice Exposed to Cold
by Xuekai Zhang, Xiao Jin, Zhipeng Han, Min Jiang and Binlin Shi
Antioxidants 2026, 15(4), 476; https://doi.org/10.3390/antiox15040476 - 11 Apr 2026
Viewed by 240
Abstract
Cold exposure is an unavoidable stressor in cold regions, leading to growth retardation, oxidative damage, and endocrine disruption. This study investigated changes in blood parameters and antioxidant function in the brown adipose tissue (BAT) of mice exposed to cold. Sixteen naturally mated female [...] Read more.
Cold exposure is an unavoidable stressor in cold regions, leading to growth retardation, oxidative damage, and endocrine disruption. This study investigated changes in blood parameters and antioxidant function in the brown adipose tissue (BAT) of mice exposed to cold. Sixteen naturally mated female mice (aged 70 days) were selected and divided into a control group (CON, n = 8, 25 ± 1 °C) and a cold exposure group (CE, n = 8, 4 ± 1 °C). Each pregnant female gave birth to approximately 12 pups, and the litter (dams and pups co-housed) served as the independent experimental unit, with both euthanized for sampling when the pups reached 20 days of age. Results showed that cold exposure increased ADFI and ADG but decreased the feed conversion rate (FCR) in lactating mice. It also decreased platelet count (PLT) and mean corpuscular hemoglobin concentration (MCHC), elevated lactate dehydrogenase (LDH) activity, and decreased TG and non-esterified fatty acid (NEFA) levels. Hormonal changes included increased adrenocorticotropic hormone (ACTH), apelin 12 (AP12), INS, NE, decreased cortisol (COR), LEP, and thyroid-stimulating hormone (TSH). In pups, cold exposure inhibited growth, reduced PLT, plateletcrit (PCT), red blood cells (RBC), and hemoglobin (HGB), altered lipid profiles, and induced hormonal shifts. Notably, cold exposure enhanced the BAT antioxidant capacity in pups, increasing the total antioxidant capacity (T-AOC) and antioxidant enzyme activities, as supported by gene expression. These findings suggest that, despite growth suppression, mice maintain homeostasis by modulating blood parameters and enhancing BAT antioxidant function to mitigate cold-induced damage. Full article
Show Figures

Figure 1

17 pages, 941 KB  
Review
Molecular and Cellular Effects of Therapies for Thyroid Eye Disease on Ocular Surface and Adnexal Homeostasis
by Monika Sarnat-Kucharczyk, Wojciech Luboń, Dorota Wyględowska-Promieńska and Adrian Smędowski
Cells 2026, 15(7), 622; https://doi.org/10.3390/cells15070622 - 31 Mar 2026
Viewed by 336
Abstract
Thyroid eye disease (TED) is an autoimmune inflammatory disorder primarily affecting orbital tissues, but ocular surface and adnexal involvement represent a frequent and clinically significant component of disease burden. Beyond mechanical exposure resulting from eyelid retraction and proptosis, TED-associated ocular surface disease arises [...] Read more.
Thyroid eye disease (TED) is an autoimmune inflammatory disorder primarily affecting orbital tissues, but ocular surface and adnexal involvement represent a frequent and clinically significant component of disease burden. Beyond mechanical exposure resulting from eyelid retraction and proptosis, TED-associated ocular surface disease arises from complex interactions between immune activation, epithelial stress, glandular dysfunction, and altered neuro-epithelial signaling. Increasing use of systemic immunomodulatory therapies, biologics, and orbital radiotherapy has improved control of orbital inflammation; however, their molecular and cellular effects on ocular surface homeostasis remain incompletely defined. This review summarizes current evidence on the cellular and molecular mechanisms underlying ocular surface dysfunction in TED and examines how disease-modifying therapies influence epithelial integrity, tear film stability, meibomian and lacrimal gland function, and local immune signaling. Key pathways discussed include cytokine-mediated inflammation, thyroid-stimulating hormone receptor and insulin-like growth factor-1 receptor crosstalk, pro-fibrotic signaling, neuro-inflammatory mechanisms, and epithelial stress responses involving mitogen-activated protein kinase and nuclear factor kappa B pathways. We further highlight the challenge of disentangling therapy-induced molecular effects from persistent exposure-related mechanical stress. Understanding how TED therapies modulate ocular surface and adnexal homeostasis is essential for optimizing integrated management strategies that address both orbital inflammation and long-term ocular surface stability. Full article
Show Figures

Figure 1

10 pages, 463 KB  
Article
Evaluation of the Effects of COVID-19 Infection and COVID-19 mRNA Vaccine on Ovarian Reserve
by Zafer Basibuyuk, Ceren Cebi Basibuyuk, Seyma Okumus, Mahmut Oncul and Kutsiye Pelin Ocal
J. Clin. Med. 2026, 15(7), 2614; https://doi.org/10.3390/jcm15072614 - 29 Mar 2026
Viewed by 314
Abstract
Objectives: This study aimed to investigate whether COVID-19 infection or COVID-19 mRNA vaccination affects ovarian reserve and reproductive hormone profiles in reproductive-aged women. Methods: This retrospective longitudinal (before–after observational) single-center study included women aged 16–44 years who presented to a tertiary [...] Read more.
Objectives: This study aimed to investigate whether COVID-19 infection or COVID-19 mRNA vaccination affects ovarian reserve and reproductive hormone profiles in reproductive-aged women. Methods: This retrospective longitudinal (before–after observational) single-center study included women aged 16–44 years who presented to a tertiary center between January 2021 and September 2023. Participants either had a confirmed COVID-19 infection by a positive polymerase chain reaction (PCR) test or had received two doses of a COVID-19 mRNA vaccine without prior infection. Women with available ovarian reserve parameters within six months of infection or vaccination were included. Anti-Müllerian hormone (AMH), follicle-stimulating hormone (FSH), luteinizing hormone (LH), estradiol (E2), prolactin (PRL), thyroid-stimulating hormone (TSH), total testosterone, and free testosterone levels were evaluated at baseline and reassessed six months later. Menstrual cycle characteristics were recorded. Parametric and non-parametric statistical tests were applied as appropriate. Results: No statistically significant differences were observed in AMH, FSH, LH, E2, PRL, TSH, total testosterone, or free testosterone levels before and after COVID-19 infection or vaccination (all p > 0.05). Comparisons between infection and vaccination groups across age subgroups (<25, 25–35, ≥35 years) revealed no significant differences in ovarian reserve parameters. Menstrual irregularities were reported in 38.0% of women following infection and 18.6% following vaccination. All reported menstrual changes were transient and resolved within six months. Conclusions: COVID-19 infection and mRNA vaccination were not associated with detrimental effects on ovarian reserve or reproductive hormone profiles. Although transient menstrual irregularities were observed, no long-term adverse reproductive impact was detected. Larger prospective studies are warranted to confirm these findings. Full article
(This article belongs to the Section Obstetrics & Gynecology)
Show Figures

Figure 1

15 pages, 1024 KB  
Article
Unmeasurable Stimulated Thyroglobulin Before Radioactive Iodine Ablation Predicts Excellent Long-Term Outcomes in Patients with Differentiated Thyroid Cancer
by Yi Sia and Radu Mihai
Cancers 2026, 18(7), 1058; https://doi.org/10.3390/cancers18071058 - 25 Mar 2026
Viewed by 288
Abstract
Background: There is ongoing interest in limiting the extent of treatment for patients with low-risk differentiated thyroid cancer (DTC) and in redesigning individualised follow-up strategies. This study assessed long-term outcomes in patients with excellent response to surgical treatment demonstrated by reaching unmeasurable [...] Read more.
Background: There is ongoing interest in limiting the extent of treatment for patients with low-risk differentiated thyroid cancer (DTC) and in redesigning individualised follow-up strategies. This study assessed long-term outcomes in patients with excellent response to surgical treatment demonstrated by reaching unmeasurable stimulated thyroglobulin (sTG) levels before proceeding with radioactive iodine ablation. Methods: This is a retrospective cohort study of consecutive patients treated for DTC in a tertiary referral centre. Radioactive iodine ablation (RIA) was done after hormone withdrawal (before 2015) or after Thyrogen stimulation (in recent years). The biochemical assay for TG changed from a lower limit of detectability of 5 ng/mL to 0.2 ng/mL in 2012. Results: Of 331 patients operated on between 2001 and 2019, unmeasurable sTG was measured in 70 of 138 patients (51%) when using an assay with threshold of 5 ng/mL and in 38 of 193 patients (20%) based on the threshold of 0.2 ng/mL. Compared with patients whose sTG was >5 ng/mL, those with sTG <5 ng/mL (187 of 331 patients) were less likely to have T3–T4 tumours or positive lymph node disease (N1a–N1b) and had a lower MACIS score (5.73 ± 1.26 vs. 6.45 ± 1.69, p < 0.001) and much lower mortality with metastatic disease during follow-up for 100 ± 48 months (3/187 vs. 23/144 patients, p = 0.001). Conclusions: Patients with unmeasurable sTG have excellent prognosis, with very low incidence of adverse events. With the wide use of TG assay with a threshold of 0.2 ng/mL (or lower), this subgroup could have patient-initiated follow-up rather than embark on regular assessments. Full article
Show Figures

Figure 1

28 pages, 755 KB  
Article
Exploratory Statistical Analyses of Clinical and Biochemical Factors for Differentiated Thyroid Cancer from a Romanian Cohort
by Alexandru Dima, Irina-Oana Lixandru-Petre, Denis Iorga, Gratiela Gradisteanu Pircalabioru, Dana Cristina Terzea, Andrei Goldstein, Florina Silvia Iliescu, Mihai Dascalu, Madalina Musat and Ciprian Iliescu
Cancers 2026, 18(6), 1036; https://doi.org/10.3390/cancers18061036 - 23 Mar 2026
Viewed by 432
Abstract
Background/Objectives: Thyroid cancer (TC) is among the most common endocrine malignancies, with incidence rates increasing worldwide. However, careful inferential analysis based on refined data is needed to provide a sharper clinical and epidemiological description of this serious condition in a biologically and technologically [...] Read more.
Background/Objectives: Thyroid cancer (TC) is among the most common endocrine malignancies, with incidence rates increasing worldwide. However, careful inferential analysis based on refined data is needed to provide a sharper clinical and epidemiological description of this serious condition in a biologically and technologically evolving society. This study presents an exploratory statistical analysis of data from 1470 patients who underwent thyroid surgery for differentiated TC. Methods: The analysis combines bivariate exploration of associations between variables with univariate and multivariate analyses stratified by histological subtype. We examined pathological characteristics (tumor location, nodal metastases, distant metastases, margin involvement, lymphovascular invasion, vascular invasion, and perineural invasion), clinical characteristics (clinical stage), biochemical markers (thyroglobulin, anti-thyroglobulin antibodies, and thyroid-stimulating hormone), and demographic variables (sex assigned at birth and age). In addition, exploratory multivariable models were used to investigate factors associated with lymph node metastasis and margin involvement in papillary microcarcinoma, the diffuse sclerosing variant, and the classical variant of papillary thyroid carcinoma. Results: Notably, moderate to high effect size correlations highlight the interdependence of invasive histopathological features in thyroid cancer and their collective link to adverse surgical outcomes and prognosis. Conclusions: This study provides an analysis of associations between the variables and subtype-specific descriptive estimates, serving as a foundation for future work in tailoring personalized medicine. Full article
(This article belongs to the Special Issue Advances in Cancer Data and Statistics: 2nd Edition)
Show Figures

Figure 1

11 pages, 226 KB  
Article
Cardiorenal Biomarkers and Cerebrovascular Risk in Patients with Congenital Heart Disease
by Efrén Martínez-Quintana and Fayna Rodríguez-González
J. Clin. Med. 2026, 15(6), 2440; https://doi.org/10.3390/jcm15062440 - 23 Mar 2026
Viewed by 308
Abstract
Background/Objectives: Adults with congenital heart disease (CHD) have a substantially higher risk of ischemic stroke than the general population. Circulating biomarkers such as N-terminal pro B-type natriuretic peptide (NT-pro-BNP), high-sensitivity C-reactive protein (hs-CRP), and microalbuminuria have been associated with adverse cardiovascular outcomes [...] Read more.
Background/Objectives: Adults with congenital heart disease (CHD) have a substantially higher risk of ischemic stroke than the general population. Circulating biomarkers such as N-terminal pro B-type natriuretic peptide (NT-pro-BNP), high-sensitivity C-reactive protein (hs-CRP), and microalbuminuria have been associated with adverse cardiovascular outcomes in CHD, but their role in predicting cerebrovascular events remains uncertain. Methods: Prospective cohort study including 372 adults with CHD [median age 34 years (IQR 23–42); 57.8% male] followed at a tertiary center between 2017 and 2022. Baseline assessments included demographic characteristics, CHD anatomical complexity, cardiovascular risk factors, NT-pro-BNP, hs-CRP, lipid profile, and 24-h urinary albumin excretion. The primary endpoint was incident ischemic stroke during a median follow-up of 6.3 years (IQR 3.9–8.3). Univariable Cox proportional hazards models were used to identify predictors of stroke. Results: During follow-up, 13 patients (3.5%) experienced ischemic stroke. Patients with stroke were significantly older [51 (46–64) vs. 30 (23–40) years; p < 0.001] and had a higher prevalence of dyslipidemia (61.5% vs. 15.0%; p < 0.001). NT-pro-BNP levels were markedly higher in patients with stroke [369 (218–604) vs. 64 (21–172) pg/mL; p < 0.001]. No significant differences were observed between groups in renal function parameters, hs-CRP, thyroid-stimulating hormone, or urinary albumin excretion rate. In Cox analyses, older age and dyslipidemia were the strongest predictors of stroke (p < 0.001). Arterial hypertension, diabetes mellitus, and higher NT-pro-BNP levels were also associated with increased stroke risk (p < 0.05), whereas CHD anatomical complexity, NYHA functional class, and cyanosis were not. Conclusions: In adults with CHD, ischemic stroke was mainly associated with traditional cardiovascular risk factors and elevated NT-pro-BNP levels rather than anatomical disease complexity or functional status. Full article
(This article belongs to the Special Issue Current Challenges in Adult Congenital Heart Diseases)
10 pages, 320 KB  
Article
Management of Hypothyroidism in Pregnancy and Its Impact on Maternal and Perinatal Outcomes: A Single-Center Retrospective Cohort Study
by Chinnu George Samuel, Asma Jamil, Mohamed Bashir, Hala Abdullahi and Ibrahim Ibrahim
Life 2026, 16(3), 527; https://doi.org/10.3390/life16030527 - 22 Mar 2026
Viewed by 481
Abstract
Background: Hypothyroidism is one of the most common endocrine conditions during pregnancy and has been associated with poor obstetric and perinatal outcomes. There is still a lack of data from Middle Eastern populations, despite its clinical significance. This study aimed to evaluate thyroid [...] Read more.
Background: Hypothyroidism is one of the most common endocrine conditions during pregnancy and has been associated with poor obstetric and perinatal outcomes. There is still a lack of data from Middle Eastern populations, despite its clinical significance. This study aimed to evaluate thyroid management patterns during pregnancy and examine the association between thyroid function control and maternal and perinatal outcomes in women with hypothyroidism at a tertiary care center in Qatar. Methods: A retrospective cohort study including 379 pregnant women with hypothyroidism diagnosed between January 2019 and November 2022 was conducted at Sidra Medicine in Doha, Qatar. Based on trimester-specific Thyroid-stimulating hormone (TSH )reference values, participants were categorized as having adequately or inadequately controlled thyroid function. Data on obstetrics, biochemistry, and demographics were taken from electronic medical records (EMR). Statistical analyses were performed using chi-square tests for categorical variables and t-tests for continuous variables, with a significance threshold of p < 0.05. Results: Participants had a mean Body Mass Index (BMI) of 30.33 ± 6.14 kg/m2 and an average age of 32.65 ± 4.99 years; 54% of them were Qataris. Of the patients, 58.5% had positive thyroid antibodies and 55.7% had pre-gestational hypothyroidism. Women with pre-gestational hypothyroidism required significantly higher levothyroxine doses compared with those with gestational hypothyroidism (93.2 ± 47.5 mcg/day vs. 67.6 ± 30.1 mcg/day; p < 0.001). Treatment adjustment was demonstrated by the improvement in TSH normalization from 51.3% in the first trimester to 64.2% in the third trimester (p = 0.041). No significant associations were observed with pre-eclampsia, preterm delivery, hypertension, or placental abruption. However, women with normal third-trimester TSH had a higher prevalence of gestational diabetes mellitus (GDM) compared with those with elevated TSH (51.6% vs. 36.8%; p = 0.013). Conclusions: Appropriate trimester-specific monitoring and timely levothyroxine titration was associated with improved biochemical control without adverse maternal outcomes. Greater levothyroxine requirements in women with pre-gestational hypothyroidism emphasize the importance of early intervention. These findings highlight the potential benefit of structured thyroid monitoring and multidisciplinary care approaches in pregnancy and may help inform future regional clinical practice guidelines. Full article
(This article belongs to the Section Medical Research)
Show Figures

Figure 1

17 pages, 868 KB  
Article
Low fT3 Syndrome, Dialysis Inadequacy, and Death Occurrence in Hemodialysis Patients: Evidence of a Vicious Circle from a Prospective Bi-Center Observational Study
by Aleksandra Młodożeniec, Małgorzata Rodzoń-Norwicz, Renata Orłowska-Florek, Krystyna Tęcza, Piotr Młodożeniec, Krzysztof Gargasz and Agnieszka Gala-Błądzińska
J. Clin. Med. 2026, 15(6), 2400; https://doi.org/10.3390/jcm15062400 - 21 Mar 2026
Viewed by 310
Abstract
Background/Objectives: Non-thyroidal illness syndrome (NTIS) also known as low FT3 syndrome is characterized by altered thyroid hormone levels during severe illness, is common in end-stage renal disease, and reflects metabolic and inflammatory stress. This study evaluated the thyroid hormone profiles of patients undergoing [...] Read more.
Background/Objectives: Non-thyroidal illness syndrome (NTIS) also known as low FT3 syndrome is characterized by altered thyroid hormone levels during severe illness, is common in end-stage renal disease, and reflects metabolic and inflammatory stress. This study evaluated the thyroid hormone profiles of patients undergoing maintenance hemodialysis, assessing relationships between NTIS severity and dialysis adequacy while accounting for mineral and bone metabolism markers, anemia status, duration of dialysis therapy, and their association with the number of deaths during follow-up. Methods: This prospective bi-center study included adults receiving maintenance hemodialysis for at least 3 months. Patients treated for thyroid disease or taking medications affecting the hypothalamus–pituitary–thyroid axis were excluded. Thyroid-stimulating hormone, free triiodothyronine (fT3), and free thyroxine (fT4) levels were measured, and dialysis adequacy was assessed using spKt/V. Patients were classified as euthyroid or having NTIS (stratified by severity), and associations between clinical characteristics and the number of deceased patients during a 6-month observation period were analyzed using receiver operating characteristic (ROC) curves to determine prognostic cut-off values for thyroid hormones. Results: Among 74 patients, 50% had NTIS and exhibited significantly lower dialysis adequacy than euthyroid individuals (median spKt/V 1.0 vs. 1.1; p = 0.03), with spKt/V declining as NTIS severity increased (stages I–III, p = 0.008). NTIS severity correlated with age and pulmonary comorbidities, while mineral and bone metabolism markers were comparable between the groups. During the 6-month follow-up, 23% of the patients died, exhibiting significantly lower fT3 and fT4 levels than survivors. ROC analysis identified clinically relevant fT3 and fT4 cut-off values that were associated with the number of deaths. Conclusions: NTIS in hemodialysis patients correlates with reduced dialysis adequacy and appears to be a prognostic factor for risk of death. NTIS severity correlated with declining spKt/V, potentially reflecting disease burden, and thyroid hormone assessment may provide prognostic information. Full article
(This article belongs to the Section Nephrology & Urology)
Show Figures

Figure 1

12 pages, 261 KB  
Article
Assessment of the Thyroid Profile in the Iberian Lynx (Lynx pardinus)
by Adriana Maia, Rodrigo Serra, Ana C. Silvestre-Ferreira, Jaume Ródon, Guillermo López and Felisbina Pereira Queiroga
Vet. Sci. 2026, 13(3), 278; https://doi.org/10.3390/vetsci13030278 - 17 Mar 2026
Viewed by 279
Abstract
The Iberian lynx (Lynx pardinus), once considered the most endangered felid, has shown demographic recovery thanks to intensive conservation measures. Over the past two decades, large physiological datasets have supported both clinical management and research, yet thyroid function has remained comparatively [...] Read more.
The Iberian lynx (Lynx pardinus), once considered the most endangered felid, has shown demographic recovery thanks to intensive conservation measures. Over the past two decades, large physiological datasets have supported both clinical management and research, yet thyroid function has remained comparatively underexplored. This study provides the first reference intervals (RI) for total thyroxine (TT4) and thyroid-stimulating hormone (TSH) in captive and wild lynxes, and assesses the effects of age, sex, and environment. Serum samples from 71 individuals (32 captive, 39 wild; 32 females, 39 males) were analysed, including 32 young adults, 14 adults, and 25 geriatric animals. TT4 was measured by enzyme immunoassay, and TSH using chemiluminescence. TT4 RI was 0.80–2.00 µg/dl (captive) and 0.70–2.20 µg/dl (wild) (p = 0.065). TSH RI was 0.00–1.10 ng/ml (captive) and 0.00–0.10 ng/ml (wild), showing a significant difference (p < 0.001). Captive males had higher TT4 than females (p = 0.018), while no sex difference appeared in wild lynxes (p = 0.408). Age had no significant effect on TT4 (p = 0.462) or TSH (p = 0.739). Findings confirmed that environment and sex (captivity) influenced thyroid parameters, while age did not. These values are crucial for health monitoring and endocrine assessment in this endangered species. Full article
(This article belongs to the Special Issue Wildlife Health and Disease in Conservation—2nd Edition)
18 pages, 2895 KB  
Article
An Enhanced Electrochemiluminescence Immunoassay Platform via Optimized Magnetic Bead Uniformity for Reliable Thyroid-Stimulating Hormone Monitoring
by Hengbo Lei, Xinyu Huang, Xiang Cao, Yuguo Tang and Yang Ge
Bioengineering 2026, 13(3), 333; https://doi.org/10.3390/bioengineering13030333 - 13 Mar 2026
Viewed by 415
Abstract
Electrochemiluminescence immunoassay (ECLIA) is widely used in clinical diagnostics owing to its high sensitivity, broad dynamic range, and excellent analytical stability. However, the influence of magnetic bead deposition behavior on electrochemiluminescence (ECL) signal performance remains insufficiently characterized. In this study, a quantitative evaluation [...] Read more.
Electrochemiluminescence immunoassay (ECLIA) is widely used in clinical diagnostics owing to its high sensitivity, broad dynamic range, and excellent analytical stability. However, the influence of magnetic bead deposition behavior on electrochemiluminescence (ECL) signal performance remains insufficiently characterized. In this study, a quantitative evaluation method for magnetic bead distribution uniformity on the electrode surface was established and applied to optimize fluidic parameters in an ECLIA measurement system. By combining microscopic imaging with image analysis, magnetic bead spreading behavior under different flow conditions was systematically characterized and correlated with luminescence signal intensity. Optimization of the flow rate (18.46 µL·s−1) improved bead distribution uniformity and resulted in a 26.32% increase in luminescence intensity without altering bead coverage or assay chemistry. The optimized system was further validated using thyroid-stimulating hormone (TSH) detection, showing a linear response over 0.016–120 µIU·mL−1 (R2 > 0.996) and high consistency with a commercial analyzer (R2 = 0.998) from Roche. These results demonstrate that quantitative control of magnetic bead distribution provides an effective strategy for improving ECLIA performance and offers a general optimization framework for bead-based electrochemiluminescence systems. Full article
(This article belongs to the Section Biosignal Processing)
Show Figures

Figure 1

9 pages, 247 KB  
Article
Iron Overload and Endocrine Dysfunction in Adults with Transfusion-Dependent Beta-Thalassemia and Growth Retardation: A Correlational Study
by Muhammad Hammad, Sadaf Fardoos, Khadija Shakoor and Ali Nasir
Thalass. Rep. 2026, 16(1), 5; https://doi.org/10.3390/thalassrep16010005 - 11 Mar 2026
Viewed by 361
Abstract
Background and Objective: Iron overload remains a significant clinical concern in patients with transfusion-dependent beta-thalassemia (TDT). This study aims to characterize the iron load and endocrine profile of adult transfusion-dependent beta-thalassemia patients and to evaluate their correlation with growth retardation. Methods: [...] Read more.
Background and Objective: Iron overload remains a significant clinical concern in patients with transfusion-dependent beta-thalassemia (TDT). This study aims to characterize the iron load and endocrine profile of adult transfusion-dependent beta-thalassemia patients and to evaluate their correlation with growth retardation. Methods: A cross-sectional study was conducted at PIMS Hospital, Islamabad, involving 62 adult patients with homozygous or HbE beta-thalassemia receiving regular blood transfusions. Iron overload was assessed using serum ferritin (SF) and transferrin saturation (TS), while endocrine function was evaluated through measurements of thyroid-stimulating hormone-sensitive (TSH), free thyroxine (FT4), and insulin-like growth factor-1 (IGF-1). Data was analyzed using SPSS v26.0 and R v4.3.1, which included Pearson correlation, chi-square testing, and multivariable regression to explore associations between iron indices and endocrine dysfunction. Results: Serum ferritin demonstrated significant negative correlations with FT4 (r = −0.348, p = 0.005) and IGF-1 (r = −0.302, p = 0.015). MRI T2* pancreas values correlated positively with FT4 (r = 0.268, p = 0.037) and IGF-1 (r = 0.312, p = 0.015). Patients with ferritin > 5000 ng/mL exhibited a higher prevalence of low IGF-1 levels (89.2% vs. 64.0%, p = 0.018). No significant gender-based differences were observed in endocrine parameters. Conclusion: Pancreatic iron burden and elevated serum ferritin were significantly associated with impaired thyroid and growth axis function, highlighting the value of integrating MRI T2* and biochemical markers for early endocrine risk stratification in adult TDT patients. Full article
25 pages, 5393 KB  
Article
Potential of Zinc-L-Selenomethionine to Improve the Health of Weaned Piglets and Its Antioxidant Stress Mechanism Through Modulation of PI3K/AKT and Nrf2/Keap1 Signaling Pathways
by Shujie Liu, Yongming Li, Xin Tao, Siyuan Li, Jie Wu, Fei Ji, Ziwei Xu and Bo Deng
Int. J. Mol. Sci. 2026, 27(5), 2499; https://doi.org/10.3390/ijms27052499 - 9 Mar 2026
Viewed by 472
Abstract
Zinc-L-selenomethionine (Zn-L-SeMet), a novel organic selenium (Se) source, shows great potential in alleviating oxidative stress. This study first evaluated the potential of Zn-L-SeMet to improve the health of weaned piglets and investigated underlying molecular mechanisms. In vivo, 240 weaned piglets were assigned to [...] Read more.
Zinc-L-selenomethionine (Zn-L-SeMet), a novel organic selenium (Se) source, shows great potential in alleviating oxidative stress. This study first evaluated the potential of Zn-L-SeMet to improve the health of weaned piglets and investigated underlying molecular mechanisms. In vivo, 240 weaned piglets were assigned to five dietary groups, namely, a control group (basal diet without Se) and four groups supplemented with Zn-L-SeMet (0.1, 0.2, 0.3, or 0.4 mg Se/kg in basal diet) for 42 days. In vitro, an oxidative stress model was established using hydrogen peroxide (H2O2) in porcine intestinal epithelial cells (IPEC-J2) to investigate the mechanisms of Zn-L-SeMet against oxidative damage. The results showed that Zn-L-SeMet improved growth performance, enhanced antioxidant and immune function, stimulated thyroid hormone secretion, and upregulated expression of selenoprotein genes. In vitro, Zn-L-SeMet reduced H2O2-induced apoptosis, promoted IPEC-J2 viability, and enhanced activities of antioxidant enzymes, while reducing lactate dehydrogenase release, malondialdehyde and reactive oxygen species levels. Furthermore, Zn-L-SeMet significantly increased the expression levels of Keap1, NQO1, HO-1, ARE, p-Nrf2, p-PI3K, and p-AKT, and protein ratio of p-Nrf2/Nrf2, PI3K/PI3K, and p-AKT/AKT compared to the H2O2 group (p < 0.05). In conclusion, Zn-L-SeMet improves health status with antioxidant potential in weaned piglets, and the mechanism is associated with activation of PI3K/AKT and Nrf2/Keap1 pathways. Full article
(This article belongs to the Special Issue Research on Trace Elements in Nutrition and Health)
Show Figures

Graphical abstract

17 pages, 1404 KB  
Article
The Prognostic Significance of Low-Triiodothyronine Syndrome in Aneurysmal Subarachnoid Hemorrhage
by Adrianna Lebiedzińska, Małgorzata Burzyńska, Jowita Woźniak and Waldemar Goździk
Biomedicines 2026, 14(3), 603; https://doi.org/10.3390/biomedicines14030603 - 9 Mar 2026
Viewed by 400
Abstract
Background: Aneurysmal subarachnoid hemorrhage (aSAH) is associated with high early mortality and long-term disability. Prognostic assessment relies mainly on neurological grading scales, which may incompletely capture the systemic metabolic response to acute brain injury. Non-thyroidal illness syndrome (NTIS), particularly low triiodothyronine syndrome (LT3S), [...] Read more.
Background: Aneurysmal subarachnoid hemorrhage (aSAH) is associated with high early mortality and long-term disability. Prognostic assessment relies mainly on neurological grading scales, which may incompletely capture the systemic metabolic response to acute brain injury. Non-thyroidal illness syndrome (NTIS), particularly low triiodothyronine syndrome (LT3S), is common in critical illness, but its prognostic relevance in aSAH remains unclear. Objectives: To evaluate the prognostic impact of early thyroid hormone alterations on 30-day mortality and early clinical outcomes including delayed cerebral ischemia (DCI) in patients with aSAH, with particular emphasis on the magnitude of triiodothyronine (T3) deficiency. Methods: We conducted a retrospective single-center observational cohort study of 157 consecutive adult patients admitted with confirmed aSAH between 2014 and 2025. Serum free triiodothyronine (fT3), free thyroxine (fT4), and thyroid-stimulating hormone (TSH) were measured within 72 h of admission. Hormone values were normalized to contemporaneous reference intervals to generate continuous reference-adjusted metrics (FT3_level, TSH_level). Associations with 30-day in-hospital mortality were analyzed using logistic regression and Cox proportional hazards models adjusted for admission variables including age, sex, APACHE II score, World Federation of Neurosurgical Societies grade, Fisher grade, and treatment modality. Results: Binary LT3S classification was frequent but not independently associated with 30-day mortality. In contrast, lower FT3_level values were significantly associated with increased mortality and shorter survival time. In logistic regression analyses, each 0.1 increase in FT3_level was associated with an 18% lower odds of death (adjusted OR 0.82, 95% CI 0.69–0.97). This association persisted after adjustment for established clinical severity measures and was concordant with time-to-event analyses. FT3_level was not correlated with TSH_level, consistent with NTIS. Endovascular coiling was associated with more pronounced peripheral fT3 deficiency (p < 0.05) but was not independently associated with mortality. FT3_level was not independently associated with early neurological status or functional outcome at hospital discharge. Conclusions: Lower FT3_level values were independently associated with higher 30-day mortality, indicating that early peripheral T3 reduction reflects clinically relevant metabolic vulnerability in aSAH. Full article
Show Figures

Graphical abstract

18 pages, 742 KB  
Review
Thyrotroph Pituitary Neuroendocrine Tumors: Molecular Pathology, Diagnostic Challenges, and Receptor-Targeted Therapeutic Strategies
by Kazunori Kageyama, Keisuke Sato, Mizuki Tasso and Yuki Nakada
Cancers 2026, 18(5), 838; https://doi.org/10.3390/cancers18050838 - 4 Mar 2026
Viewed by 502
Abstract
Thyrotroph pituitary neuroendocrine tumors (PitNETs) are rare functional pituitary tumors characterized by autonomous secretion of thyroid-stimulating hormone (TSH), leading to central hyperthyroidism. Under the 2022 World Health Organization classification, these tumors are defined as PIT1-lineage PitNETs, reflecting lineage-specific differentiation and improving pathological accuracy. [...] Read more.
Thyrotroph pituitary neuroendocrine tumors (PitNETs) are rare functional pituitary tumors characterized by autonomous secretion of thyroid-stimulating hormone (TSH), leading to central hyperthyroidism. Under the 2022 World Health Organization classification, these tumors are defined as PIT1-lineage PitNETs, reflecting lineage-specific differentiation and improving pathological accuracy. Clinically, thyrotroph PitNETs often present as macroadenomas with invasive growth, making complete surgical resection challenging and necessitating multimodal treatment strategies. From a molecular oncology perspective, thyrotroph PitNETs lack recurrent driver mutations and instead exhibit heterogeneous alterations involving dysregulated cell-cycle control, impaired thyroid hormone-mediated negative feedback, and aberrant growth factor signaling. Immunohistochemically, tumor cells express PIT1 and TSH and show strong membranous expression of somatostatin receptor subtype 2, providing a biological rationale for somatostatin receptor ligand -based therapy. Somatostatin receptor ligands play a central role in the management of thyrotroph PitNETs as preoperative, adjuvant, or primary treatment and achieve effective hormonal control and tumor stabilization or shrinkage in many patients. Accurate differentiation between thyrotroph PitNETs and resistance to thyroid hormone β is essential, as these entities share biochemical features but require fundamentally different management. Advances in lineage-based tumor classification, receptor profiling, and molecular pathology have refined diagnostic strategies and enabled a more personalized, tumor-oriented therapeutic approach. This review highlights current insights into the tumor biology and treatment of thyrotroph PitNETs and discusses future perspectives for receptor-targeted and molecularly informed therapies. Full article
Show Figures

Figure 1

Back to TopTop