Profiling Plasma Extracellular Vesicle Metabotypes and miRNAs: An Unobserved Clue for Predicting Relapse in Patients with Early-Stage NSCLC
Simple Summary
Abstract
1. Introduction
2. Materials and Methods
2.1. Clinical Samples
2.2. Isolation of Extracellular Vesicles
2.3. Isolation of Total RNA and cDNA Synthesis
2.4. Quantification of miRNA Expression by RT-qPCR
2.5. Data and Text Mining
2.6. Untargeted Metabolomics
2.7. Statistical Analysis
3. Results
3.1. Gene–miRNA–lncRNA Associations Unveil Candidate NSCLC Biomarkers
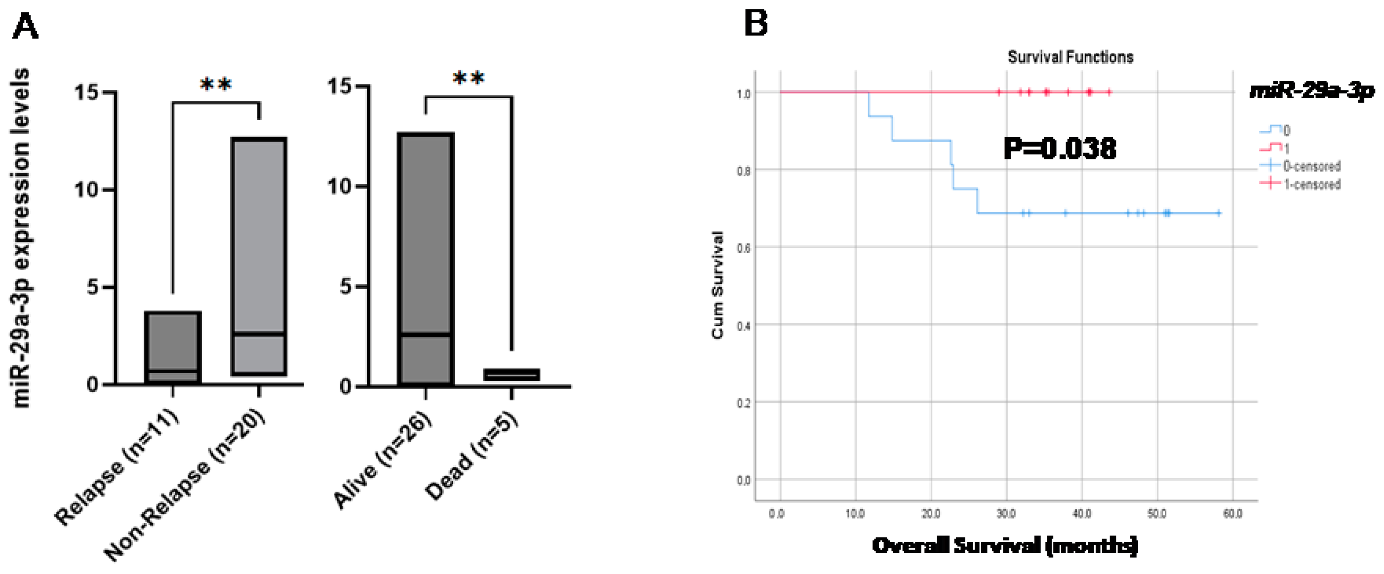
3.2. Prognostic Significance of Differentially Expressed miR-29a-3p in Plasma EVs of Early-Stage NSCLC Patients
3.3. Expression of LncRNA H19 in NSCLC Plasma EVs and Plasma cfRNA
4. Discussion
5. Conclusions
Supplementary Materials
Author Contributions
Funding
Institutional Review Board Statement
Informed Consent Statement
Data Availability Statement
Acknowledgments
Conflicts of Interest
References
- Mithoowani, H.; Febbraro, M. Non-Small-Cell Lung Cancer in 2022: A Review for General Practitioners in Oncology. Curr. Oncol. 2022, 29, 1828–1839. [Google Scholar] [CrossRef] [PubMed]
- Wu, Y.-L.; Tsuboi, M.; He, J.; John, T.; Grohe, C.; Majem, M.; Goldman, J.W.; Laktionov, K.; Kim, S.-W.; Kato, T.; et al. Osimertinib in Resected EGFR-Mutated Non–Small-Cell Lung Cancer. N. Engl. J. Med. 2020, 383, 1711–1723. [Google Scholar] [CrossRef] [PubMed]
- Herbst, R.S.; Morgensztern, D.; Boshoff, C. The biology and management of non-small cell lung cancer. Nature 2018, 553, 446–454. [Google Scholar] [CrossRef] [PubMed]
- Alduais, Y.; Zhang, H.; Fan, F.; Chen, J.; Chen, B. Non-small cell lung cancer (NSCLC): A review of risk factors, diagnosis, and treatment. Medicine 2023, 102, e32899. [Google Scholar] [CrossRef]
- Markou, A.; Tzanikou, E.; Lianidou, E. The potential of liquid biopsy in the management of cancer patients. Semin. Cancer Biol. 2022, 84, 69–79. [Google Scholar] [CrossRef]
- Heidrich, I.; Deitert, B.; Werner, S.; Pantel, K. Liquid biopsy for monitoring of tumor dormancy and early de-tection of disease recurrence in solid tumors. Cancer Metastasis Rev. 2023, 42, 161–182. [Google Scholar] [CrossRef]
- Frullanti, E.; Serrano, M.J. Editorial: Current trends and future perspectives about liquid biopsy. Front. Genet. 2023, 14, 1345876. [Google Scholar] [CrossRef]
- Li, L.; Jiang, H.; Zeng, B.; Wang, X.; Bao, Y.; Chen, C.; Ma, L.; Yuan, J. Liquid biopsy in lung cancer. Clin. Chim. Acta 2024, 554, 117757. [Google Scholar] [CrossRef]
- Shin, H.; Choi, B.H.; Shim, O.; Kim, J.; Park, Y.; Cho, S.K.; Kim, H.K.; Choi, Y. Single test-based diagnosis of multiple cancer types using Exosome-SERS-AI for early-stage cancers. Nat. Commun. 2023, 14, 1644. [Google Scholar] [CrossRef]
- Jiang, Y.; Wei, S.; Geng, N.; Qin, W.; He, X.; Wang, X.; Qi, Y.; Song, S.; Wang, P. Evaluation of circulating small extracellular vesicle-derived miRNAs as diagnostic biomarkers for differentiating between different patho-logical types of early lung cancer. Sci. Rep. 2022, 12, 17201. [Google Scholar] [CrossRef]
- Panagiotara, A.; Markou, A.; Lianidou, E.S.; Patrinos, G.P.; Katsila, T. Exosomes: A Cancer Theranostics Road Map. Public Health Genom. 2017, 20, 116–125. [Google Scholar] [CrossRef] [PubMed]
- Wiklander, O.P.B.; Nordin, J.Z.; O’Loughlin, A.; Gustafsson, Y.; Corso, G.; Mäger, I.; Vader, P.; Lee, Y.; Sork, H.; Seow, Y.; et al. Extracellular vesicle in vivo biodistribution is determined by cell source, route of administration and targeting. J. Extracell. Vesicles 2015, 4, 26316. [Google Scholar] [CrossRef] [PubMed]
- Thind, A.; Wilson, C. Exosomal miRNAs as cancer biomarkers and therapeutic targets. J. Extracell. Vesicles 2016, 5, 31292. [Google Scholar] [CrossRef] [PubMed]
- Whiteside, T.L. Validation of plasma-derived small extracellular vesicles as cancer biomarkers. Nat. Rev. Clin. Oncol. 2020, 17, 719–720. [Google Scholar] [CrossRef]
- Lee, J.S.; Hur, J.Y.; Kim, I.A.; Kim, H.J.; Choi, C.M.; Lee, J.C.; Kim, W.S.; Lee, K.Y. Liquid biopsy using the su-pernatant of a pleural effusion for EGFR genotyping in pulmonary adenocarcinoma patients: A comparison between cell-free DNA and extracellular vesicle-derived DNA. BMC Cancer 2018, 18, 1236. [Google Scholar] [CrossRef]
- Smolarz, M.; Widlak, P. Serum Exosomes and Their miRNA Load—A Potential Biomarker of Lung Cancer. Cancers 2021, 13, 1373. [Google Scholar] [CrossRef]
- Alexandre, D.; Teixeira, B.; Rico, A.; Valente, S.; Craveiro, A.; Baptista, P.V.; Cruz, C. Molecular Beacon for De-tection miRNA-21 as a Biomarker of Lung Cancer. Int. J. Mol. Sci. 2022, 23, 3330. [Google Scholar] [CrossRef]
- Ab Razak, N.S.; Ab Mutalib, N.S.; Mohtar, M.A.; Abu, N. Impact of Chemotherapy on Extracellular Vesicles: Understanding the Chemo-EVs. Front. Oncol. 2019, 9, 1113. [Google Scholar] [CrossRef]
- Collino, S.; Martin, F.-P.; Moco, S. Metabonomics in Clinical Practice. In Metabonomics and Gut Microbiota in Nutrition and Disease; Kochhar, S., Martin, F.-P., Eds.; Springer: London, UK, 2015; pp. 25–44. ISBN 978-1-4471-6538-5. [Google Scholar]
- Del Coco, L.; Majellaro, M.; Boccarelli, A.; Cellamare, S.; Altomare, C.D.; Fanizzi, F.P. Novel Antiproliferative Biphenyl Nicotinamide: NMR Metabolomic Study of its Effect on the MCF-7 Cell in Comparison with Cisplatin and Vinblastine. Molecules 2020, 25, 3502. [Google Scholar] [CrossRef]
- Koch, K.; Hartmann, R.; Tsiampali, J.; Uhlmann, C.; Nickel, A.-C.; He, X.; Kamp, M.A.; Sabel, M.; Barker, R.A.; Steiger, H.-J.; et al. A comparative pharmaco-metabolomic study of glutaminase inhibitors in glioma stem-like cells confirms biological effectiveness but reveals differences in target-specificity. Cell Death Discov. 2020, 6, 20. [Google Scholar] [CrossRef]
- Wei, B.; Wang, C.; Teng, T.; Guo, P.; Chen, M.; Xia, F.; Liu, H.; Xie, J.; Feng, J.; Huang, H. Chemotherapeutic ef-ficacy of cucurmosin for pancreatic cancer as an alternative of gemcitabine: A comparative metabolomic study. Gland. Surg. 2020, 9, 1428–1442. [Google Scholar] [CrossRef] [PubMed]
- Lu, S.; Lu, R.; Song, H.; Wu, J.; Liu, X.; Zhou, X.; Yang, J.; Zhang, H.; Tang, C.; Guo, H.; et al. Metabolomic study of natrin-induced apoptosis in SMMC-7721 hepatocellular carcinoma cells by ultra-performance liquid chromatography-quadrupole/time-of-flight mass spectrometry. Int. J. Biol. Macromol. 2019, 124, 1264–1273. [Google Scholar] [CrossRef] [PubMed]
- Dai, Y.; Liu, Y.; Li, J.; Jin, M.; Yang, H.; Huang, G. Shikonin inhibited glycolysis and sensitized cisplatin treatment in non-small cell lung cancer cells via the exosomal pyruvate kinase M2 pathway. Bioengineered 2022, 13, 13906–13918. [Google Scholar] [CrossRef] [PubMed]
- Wang, D.; Zhao, C.; Xu, F.; Zhang, A.; Jin, M.; Zhang, K.; Liu, L.; Hua, Q.; Zhao, J.; Liu, J.; et al. Cispla-tin-resistant NSCLC cells induced by hypoxia transmit resistance to sensitive cells through exosomal PKM2. Theranostics 2021, 11, 2860–2875. [Google Scholar] [CrossRef]
- Lee, Y.; El Andaloussi, S.; Wood, M.J.A. Exosomes and microvesicles: Extracellular vesicles for genetic infor-mation transfer and gene therapy. Hum. Mol. Genet. 2012, 21, R125–R134. [Google Scholar] [CrossRef]
- Makarova, J.; Turchinovich, A.; Shkurnikov, M.; Tonevitsky, A. Extracellular miRNAs and Cell-Cell Communication: Problems and Prospects. Trends Biochem. Sci. 2021, 46, 640–651. [Google Scholar] [CrossRef]
- Tabet, F.; Vickers, K.C.; Cuesta Torres, L.F.; Wiese, C.B.; Shoucri, B.M.; Lambert, G.; Catherinet, C.; Prado-Lourenco, L.; Levin, M.G.; Thacker, S.; et al. HDL-transferred microRNA-223 regulates ICAM-1 expression in endothelial cells. Nat. Commun. 2014, 5, 3292. [Google Scholar] [CrossRef]
- Arroyo, J.D.; Chevillet, J.R.; Kroh, E.M.; Ruf, I.K.; Pritchard, C.C.; Gibson, D.F.; Mitchell, P.S.; Bennett, C.F.; Pogosova-Agadjanyan, E.L.; Stirewalt, D.L.; et al. Argonaute2 complexes carry a population of circulating microRNAs independent of vesicles in human plasma. Proc. Natl. Acad. Sci. USA 2011, 108, 5003–5008. [Google Scholar] [CrossRef]
- Zhao, Y.; Jin, L.-J.; Zhang, X.-Y. Exosomal miRNA-205 promotes breast cancer chemoresistance and tumorigenesis through E2F1. Aging 2021, 13, 18498–18514. [Google Scholar] [CrossRef]
- Huang, D.; Qu, D. Early diagnostic and prognostic value of serum exosomal miR-1246 in non-small cell lung cancer. Int. J. Clin. Exp. Pathol. 2020, 13, 1601–1607. [Google Scholar]
- Kanaoka, R.; Iinuma, H.; Dejima, H.; Sakai, T.; Uehara, H.; Matsutani, N.; Kawamura, M. Usefulness of Plasma Exosomal MicroRNA-451a as a Noninvasive Biomarker for Early Prediction of Recurrence and Prognosis of Non-Small Cell Lung Cancer. Oncology 2018, 94, 311–323. [Google Scholar] [CrossRef] [PubMed]
- Singh, Y.; Subbarao, N.; Jaimini, A.; Hathaway, Q.A.; Kunovac, A.; Erickson, B.; Swarup, V.; Singh, H.N. Genome-wide expression reveals potential biomarkers in breast cancer bone metastasis. J. Integr. Bioinform. 2022, 19, 20210041. [Google Scholar] [CrossRef] [PubMed]
- Hashemi, M.; Khosroshahi, E.M.; Chegini, M.K.; Abedi, M.; Matinahmadi, A.; Hosnarody, Y.S.D.; Rezaei, M.; Saghari, Y.; Fattah, E.; Abdi, S.; et al. miRNAs and exosomal miRNAs in lung cancer: New emerging players in tumor progression and therapy response. Pathol. Res. Pract. 2023, 251, 154906. [Google Scholar] [CrossRef]
- Cheng, D.; Wang, B.; Wu, L.; Chen, R.; Zhao, W.; Fang, C.; Ji, M. Exosomal non-coding RNAs-mediated EGFR-TKIs resistance in NSCLC with EGFR mutation. Med. Oncol. 2023, 40, 254. [Google Scholar] [CrossRef]
- Hisakane, K.; Seike, M.; Sugano, T.; Matsuda, K.; Kashiwada, T.; Nakamichi, S.; Matsumoto, M.; Miyanaga, A.; Noro, R.; Kubota, K.; et al. Serum-derived exosomal miR-125a-3p predicts the response to anti-programmed cell death-1/programmed cell death-ligand 1 monotherapy in patients with non-small cell lung cancer. Gene 2023, 857, 147177. [Google Scholar] [CrossRef]
- Katsila, T.; Juliachs, M.; Gregori, J.; Macarulla, T.; Villarreal, L.; Bardelli, A.; Torrance, C.; Elez, E.; Tabernero, J.; Villanueva, J. Circulating pEGFR Is a Candidate Response Biomarker of Cetuximab Therapy in Colorectal Cancer. Clin. Cancer Res. 2014, 20, 6346–6356. [Google Scholar] [CrossRef]
- Ronneberger, O.; Fischer, P.; Brox, T. U-Net: Convolutional Networks for Biomedical Image Segmentation. arXiv 2015, arXiv:1505.04597. [Google Scholar]
- Simonyan, K.; Zisserman, A. Very Deep Convolutional Networks for Large-Scale Image Recognition. arXiv 2015, arXiv:1409.1556. [Google Scholar]
- Pizer, S.M.; Amburn, E.P.; Austin, J.D.; Cromartie, R.; Geselowitz, A.; Greer, T.; ter Haar Romeny, B.; Zimmerman, J.B.; Zuiderveld, K. Adaptive histogram equalization and its variations. Comput. Vis. Graph. Image Process. 1987, 39, 355–368. [Google Scholar] [CrossRef]
- Dice, L.R. Measures of the Amount of Ecologic Association Between Species. Ecology 1945, 26, 297–302. [Google Scholar] [CrossRef]
- Fleiss Joseph, L.; Levin, B.; Cho, P.M. Statistical Methods for Rates and Proportions. The Measurement of Interrater Agreement. Wiley Ser. Probab. Stat. 2003, 2, 598–626. [Google Scholar] [CrossRef]
- Schürz, M.; Danmayr, J.; Jaritsch, M.; Klinglmayr, E.; Benirschke, H.M.; Matea, C.; Zimmerebner, P.; Rauter, J.; Wolf, M.; Gomes, F.G. EVAnalyzer: High content imaging for rigorous characterisation of single extracellular vesicles using standard laboratory equipment and a new open-source ImageJ/Fiji plugin. J. Extracell. Vesicles 2022, 11, e12282. [Google Scholar] [CrossRef] [PubMed]
- Abadi, M.; Agarwal, A.; Barham, P.; Brevdo, E.; Chen, Z.; Citro, C.; Corrado, G.S.; Davis, A.; Dean, J.; Devin, M.; et al. TensorFlow: Large-Scale Machine Learning on Heterogeneous Distributed Systems. arXiv 2016, arXiv:1603.04467v2. [Google Scholar]
- Sourvinou, I.S.; Markou, A.; Lianidou, E.S. Quantification of Circulating miRNAs in Plasma. J. Mol. Diagn. 2013, 15, 827–834. [Google Scholar] [CrossRef]
- Kuner, R.; Muley, T.; Meister, M.; Ruschhaupt, M.; Buness, A.; Xu, E.C.; Schnabel, P.; Warth, A.; Poustka, A.; Sültmann, H.; et al. Global gene expression analysis reveals specific patterns of cell junctions in non-small cell lung cancer subtypes. Lung Cancer 2009, 63, 32–38. [Google Scholar] [CrossRef]
- Barrett, T.; Wilhite, S.E.; Ledoux, P.; Evangelista, C.; Kim, I.F.; Tomashevsky, M.; Marshall, K.A.; Phillippy, K.H.; Sherman, P.M.; Holko, M.; et al. NCBI GEO: Archive for functional genomics data sets—Update. Nucleic Acids Res. 2012, 41, D991–D995. [Google Scholar] [CrossRef]
- Huang, H.Y.; Lin, Y.C.D.; Cui, S.; Huang, Y.; Tang, Y.; Xu, J.; Bao, J.; Li, Y.; Wen, J.; Zuo, H.; et al. miRTarBase update 2022: An informative resource for experimentally validated miRNA-target interactions. Nucleic Acids Res. 2022, 50, D222–D230. [Google Scholar] [CrossRef]
- Zhao, H.; Yin, X.; Xu, H.; Liu, K.; Liu, W.; Wang, L.; Zhang, C.; Bo, L.; Lan, X.; Lin, S.; et al. LncTarD 2.0: An up-dated comprehensive database for experimentally-supported functional lncRNA–target regulations in human diseases. Nucleic Acids Res. 2023, 51, D199–D207. [Google Scholar] [CrossRef]
- Kehl, T.; Kern, F.; Backes, C.; Fehlmann, T.; Stöckel, D.; Meese, E.; Lenhof, H.-P.; Keller, A. miRPathDB 2.0: A novel release of the miRNA Pathway Dictionary Database. Nucleic Acids Res. 2020, 48, D142–D147. [Google Scholar] [CrossRef]
- Chalikiopoulou, C.; Gómez-Tamayo, J.C.; Katsila, T. Untargeted Metabolomics for Disease-Specific Signatures. In Mass Spectrometry for Metabolomics; González-Domínguez, R., Ed.; Springer: New York, NY, USA, 2023; Volume 2571, pp. 71–81. ISBN 978-1-07-162698-6. [Google Scholar]
- Bafiti, V.; Ouzounis, S.; Siapi, E.; Grypari, I.M.; Theofanopoulos, A.; Panagiotopoulos, V.; Zolota, V.; Kardamakis, D.; Katsila, T. Bioenergetic Profiling in Glioblastoma Multiforme Patients with Different Clinical Outcomes. Metabolites 2023, 13, 362. [Google Scholar] [CrossRef]
- Yurekten, O.; Payne, T.; Tejera, N.; Amaladoss, F.X.; Martin, C.; Williams, M.; O'Donovan, C. MetaboLights: Open data repository for metabolomics. Nucleic Acids Res. 2024, 52, D640–D646. [Google Scholar] [CrossRef] [PubMed]
- Livak, K.J.; Schmittgen, T.D. Analysis of relative gene expression data using real-time quantitative PCR and the 2−ΔΔCT Method. Methods 2001, 25, 402–408. [Google Scholar] [CrossRef] [PubMed]
- Pang, Z.; Chong, J.; Zhou, G.; de Lima Morais, D.A.; Chang, L.; Barrette, M.; Gauthier, C.; Jacques, P.-É.; Li, S.; Xia, J. MetaboAnalyst 5.0: Narrowing the gap between raw spectra and functional insights. Nucleic Acids Res. 2021, 49, W388–W396. [Google Scholar] [CrossRef] [PubMed]
- Pang, Z.; Yao, L.; Zhou, G.; Hui, F.; Xu, L.; Viau, C.; Spigelman, A.F.; MacDonald, P.E.; Wishart, D.S.; Li, S.; et al. MetaboAnalyst 6.0: Towards a unified platform for metabolomics data processing, analysis and interpretation. Nucleic Acids Res. 2024, 52, W398–W406. [Google Scholar] [CrossRef]
- Li, S.; Park, Y.; Duraisingham, S.; Strobel, F.H.; Khan, N.; Soltow, Q.A.; Jones, D.P.; Pulendran, B. Predicting Network Activity from High Throughput Metabolomics. PLoS Comput. Biol. 2013, 9, e1003123. [Google Scholar] [CrossRef]
- Teng, Y.; Gao, L.; Loveless, R.; Rodrigo, J.P.; Strojan, P.; Willems, S.M.; Nathan, C.-A.; Mäkitie, A.A.; Saba, N.F.; Ferlito, A. The Hidden Link of Exosomes to Head and Neck Cancer. Cancers 2021, 13, 5802. [Google Scholar] [CrossRef]
- Yi, G.; Luo, H.; Zheng, Y.; Liu, W.; Wang, D.; Zhang, Y. Exosomal Proteomics: Unveiling Novel Insights into Lung Cancer. Aging Dis. 2024; in press. [Google Scholar] [CrossRef]
- Peng, S.-L.; Wang, R.; Zhou, Y.-L.; Wei, W.; Zhong, G.-H.; Huang, X.-T.; Yang, S.; Liu, Q.-D.; Liu, Z.-G. Insight of a Metabolic Prognostic Model to Identify Tumor Environment and Drug Vulnerability for Lung Adenocarcinoma. Front. Immunol. 2022, 13, 872910. [Google Scholar] [CrossRef]
- Huang, D.; Zhuo, J.; Ye, C.; Su, X.; Chen, Y.; Li, C.; Lin, L.; Liu, L.; Zhao, H.; Luo, T.; et al. Variations in pleural microbiota and metabolic phenotype associated with malignant pleural effusion in human lung adenocarci-noma. Thorac. Cancer 2023, 14, 2045–2056. [Google Scholar] [CrossRef]
- Sun, R.; Fei, F.; Wang, M.; Jiang, J.; Yang, G.; Yang, N.; Jin, D.; Xu, Z.; Cao, B.; Li, J. Integration of metabolomics and machine learning revealed tryptophan metabolites are sensitive biomarkers of pemetrexed efficacy in non-small cell lung cancer. Cancer Med. 2023, 12, 19245–19259. [Google Scholar] [CrossRef]
- Chen, R.; Li, Z.; Yuan, Y.; Zhu, Z.; Zhang, J.; Tian, X.; Zhang, X. A comprehensive analysis of metabolomics and transcriptomics in non-small cell lung cancer. PLoS ONE 2020, 15, e0232272. [Google Scholar]
- Gluba-Sagr, A.; Franczyk, B.; Rysz-Górzyńska, A.; Olszewski, R.; Rysz, J. The Role of Selected lncRNAs in Lipid Metabolism and Cardiovascular Disease Risk. Int. J. Mol. Sci. 2024, 25, 9244. [Google Scholar] [CrossRef] [PubMed]
- Dalgaard, L.T.; Sørensen, A.E.; Hardikar, A.A.; Joglekar, M.V. The microRNA-29 family: Role in metabolism and metabolic disease. Am. J. Physiol. Cell Physiol. 2022, 323, C367–C377. [Google Scholar] [CrossRef] [PubMed]
- Lin, G.; Lin, L.; Lin, H.; Xu, Y.; Chen, W.; Liu, Y.; Wu, J.; Chen, S.; Lin, Q.; Zeng, Y.; et al. C1QTNF6 regulated by miR-29a-3p promotes proliferation and migration in stage I lung adenocarcinoma. BMC Pulm. Med. 2022, 22, 285. [Google Scholar] [CrossRef] [PubMed]
- Mao, X.; Xu, S.; Wang, H.; Xiao, P.; Li, S.; Wu, J.; Sun, J.; Jin, C.; Shen, M.; Shi, Y.; et al. Integrated analysis reveals critical cisplatin-resistance regulators E2F7 contributed to tumor progression and metastasis in lung adenocarcinoma. Cancer Cell Int. 2024, 24, 173. [Google Scholar] [CrossRef]
- Abrehdari-Tafreshi, Z.; Arefian, E.; Rakhshani, N.; Najafi, S.M.A. The Role of miR-29a and miR-143 on the Anti-apoptotic MCL-1/cIAP-2 Genes Expression in EGFR Mutated Non-small Cell Lung Carcinoma Patients. Biochem. Genet. 2024; in press. [Google Scholar] [CrossRef]
- Zhang, K.; Han, X.; Hu, W.; Su, C.; He, B. miR-29a-3p inhibits the malignant characteristics of non-small cell lung cancer cells by reducing the activity of the Wnt/β-catenin signaling pathway. Oncol. Lett. 2022, 24, 379. [Google Scholar] [CrossRef]
- Razi, S.; Mozdarani, H.; Behzadi Andouhjerdi, R. Evaluation of the Potential Diagnostic Role of the Lnc-MIAT, miR-29a-3p, and FOXO3a ceRNA Networks as Noninvasive Circulatory Bioindicator in Ductal Carcinoma Breast Cancer. Breast Cancer 2023, 17, 11782234231184378. [Google Scholar] [CrossRef]
- Ghafouri-Fard, S.; Shoorei, H.; Bahroudi, Z.; Abak, A.; Taheri, M. The role of H19 lncRNA in conferring chemoresistance in cancer cells. Biomed. Pharmacother. 2021, 138, 111447. [Google Scholar] [CrossRef]
- Luo, J.; Li, Q.; Pan, J.; Li, L.; Fang, L.; Zhang, Y. Expression level of long noncoding RNA H19 in plasma of pa-tients with nonsmall cell lung cancer and its clinical significance. J. Cancer Res. Ther. 2018, 14, 860–863. [Google Scholar] [CrossRef]
- Zhou, H.; Shen, W.; Zou, H.; Lv, Q.; Shao, P. Circulating exosomal long non-coding RNA H19 as a potential novel diagnostic and prognostic biomarker for gastric cancer. J. Int. Med. Res. 2020, 48, 030006052093429. [Google Scholar] [CrossRef]
- Zhong, G.; Wang, K.; Li, J.; Xiao, S.; Wei, W.; Liu, J. Determination of Serum Exosomal H19 as a Noninvasive Biomarker for Breast Cancer Diagnosis. Onco Targets Ther. 2020, 13, 2563–2571. [Google Scholar] [CrossRef] [PubMed]




| Patient | Age (years) | Smoking | Tumor Size (cm) | Histological Type | TNM | Disease Stage | Relapse | Death | DFS | OS |
|---|---|---|---|---|---|---|---|---|---|---|
| 1 | 60 | - | 2.6 | SCC | T1aN0M0 | IA | 1 | 0 | 14.2 | 58.1 |
| 2 | 54 | yes | 1.8 | SCc | T1bN0M0 | IA | 0 | 0 | 51.6 | 51.6 |
| 3 | 47 | - | 7 | AdenoCA | T2bN0M0 | IB | 0 | 0 | 51.4 | 51.4 |
| 4 | 74 | - | 2 | SCC | T1N0M0 | IA | 1 | 0 | 15.0 | 51.2 |
| 5 | 67 | - | 4 | AdenoCA | T2aN0M0 | IB | 1 | 1 | 13.8 | 15.8 |
| 6 | 52 | yes | 8 | SCC | T4N1M0 | IIIA | 1 | 1 | 10.0 | 14.8 |
| 7 | 76 | yes | 3.8 | SCC | T2aN2M0 | IIIA | 1 | 1 | 6.5 | 11.7 |
| 8 | 68 | yes | 4 | SCC | T2aN0M0 | IB | 1 | 1 | 14.0 | 26.1 |
| 9 | 73 | - | 1.8 | AdenoCA | T1bN1M0 | IIB | 1 | 1 | 31.5 | 40.4 |
| 10 | 65 | - | 9 | SCC | T4N1M0 | IIIA | 0 | 0 | 48.2 | 48.2 |
| 11 | 39 | no | 3 | AdenoCA | T1cN0M0 | IA | 1 | 0 | 35.4 | 47.5 |
| 12 | 61 | yes | 3.5 | SCC | T2aN0M0 | IB | 0 | 0 | 47.4 | 47.4 |
| 13 | 73 | yes | 5.5 | SCC | T3N0M0 | IIB | 1 | 0 | 47.2 | 47.2 |
| 14 | 66 | yes | 4 | LCNEC | T3N1M0 | IIIA | 1 | 1 | 8.7 | 22.9 |
| 15 | 75 | yes | 3 | AdenoCA | T2aN2MO | IIIA | 1 | 1 | 12.1 | 36.1 |
| 16 | 73 | no | 5.5 | SCC | T3N0M0 | IIB | 1 | 0 | 12.4 | 46.1 |
| 17 | 59 | no | 4 | AdenoCA | T2N1M0 | IIB | 1 | 1 | 12.2 | 21.8 |
| 18 | 48 | - | 1.2 | AdenoCA | T1bN0M0 | IA | 0 | 0 | 41.2 | 41.2 |
| 19 | 67 | yes | 1 | AdenoCA | T1aN0M0 | IA | 0 | 0 | 40.9 | 40.9 |
| 20 | 73 | - | 7.4 | SCC | T4N0M0 | IIIA | 0 | 1 | 31.8 | 31.8 |
| 21 | 70 | - | 2.8 | SCC | T1cN0M0 | IA | 0 | 0 | 40.8 | 40.8 |
| 22 | 64 | - | 3.4 | AdenoCA | T2aN1M0 | IIB | 1 | 1 | 11.4 | 29.0 |
| 23 | 57 | yes | 2.1 | AdenoCA | T1cN1MO | IIB | 1 | 0 | 38.2 | 38.2 |
| 24 | 69 | yes | 3.4 | SCC | T2aN2M0 | IIIA | 1 | 1 | 9.5 | 22.6 |
| 25 | 63 | yes | 3.2 | AdenoCA | T2aN0M0 | IB | 0 | 0 | 37.8 | 37.8 |
| 26 | 72 | yes | 2.8 | SCC | T1cN0M0 | IA | 1 | 0 | 7.3 | 37.8 |
| 27 | 62 | - | 3.5 | AdenoCA | T2aN0M0 | IB | 0 | 0 | 35.5 | 35.5 |
| 28 | 72 | - | 2.5 | AdenoCA | T1cN0M0 | IA | 0 | 0 | 35.2 | 35.2 |
| 29 | 75 | yes | 2.5 | SCC | T1cN0M0 | IA | 0 | 0 | 35.2 | 35.2 |
| 30 | 79 | yes | 2.1 | AdenoCA | T2aN0M0 | IB | 0 | 0 | 33.0 | 33.0 |
| 31 | 56 | yes | 3.1 | AdenoCA | T2aN0M1 | 0 | 0 | 33.0 | 33.0 | |
| 32 | 73 | no | 8.5 | SCC | T4N0M0 | IIIA | 0 | 0 | 33.0 | 33.0 |
Disclaimer/Publisher’s Note: The statements, opinions and data contained in all publications are solely those of the individual author(s) and contributor(s) and not of MDPI and/or the editor(s). MDPI and/or the editor(s) disclaim responsibility for any injury to people or property resulting from any ideas, methods, instructions or products referred to in the content. |
© 2024 by the authors. Licensee MDPI, Basel, Switzerland. This article is an open access article distributed under the terms and conditions of the Creative Commons Attribution (CC BY) license (https://creativecommons.org/licenses/by/4.0/).
Share and Cite
Bafiti, V.; Thanou, E.; Ouzounis, S.; Kotsakis, A.; Georgoulias, V.; Lianidou, E.; Katsila, T.; Markou, A. Profiling Plasma Extracellular Vesicle Metabotypes and miRNAs: An Unobserved Clue for Predicting Relapse in Patients with Early-Stage NSCLC. Cancers 2024, 16, 3729. https://doi.org/10.3390/cancers16223729
Bafiti V, Thanou E, Ouzounis S, Kotsakis A, Georgoulias V, Lianidou E, Katsila T, Markou A. Profiling Plasma Extracellular Vesicle Metabotypes and miRNAs: An Unobserved Clue for Predicting Relapse in Patients with Early-Stage NSCLC. Cancers. 2024; 16(22):3729. https://doi.org/10.3390/cancers16223729
Chicago/Turabian StyleBafiti, Vivi, Eleni Thanou, Sotiris Ouzounis, Athanasios Kotsakis, Vasilis Georgoulias, Evi Lianidou, Theodora Katsila, and Athina Markou. 2024. "Profiling Plasma Extracellular Vesicle Metabotypes and miRNAs: An Unobserved Clue for Predicting Relapse in Patients with Early-Stage NSCLC" Cancers 16, no. 22: 3729. https://doi.org/10.3390/cancers16223729
APA StyleBafiti, V., Thanou, E., Ouzounis, S., Kotsakis, A., Georgoulias, V., Lianidou, E., Katsila, T., & Markou, A. (2024). Profiling Plasma Extracellular Vesicle Metabotypes and miRNAs: An Unobserved Clue for Predicting Relapse in Patients with Early-Stage NSCLC. Cancers, 16(22), 3729. https://doi.org/10.3390/cancers16223729

