Exploring Helium Ions’ Potential for Post-Mastectomy Left-Sided Breast Cancer Radiotherapy
Abstract
Simple Summary
Abstract
1. Introduction
2. Materials and Methods
2.1. Explorative Treatment Planning with Particle Therapy
- at least 95% of prescribed dose to all clinical target volume (CTV);
- at least 95% of prescribed dose to lymph node regions volume;
- V20Gy < 8% to the heart;
- at most 3 Gy as mean dose to the heart;
- at most 10 Gy as mean dose to the left anterior descending artery (LAD);
- the LAD V30Gy < 2% and D2 < 30 Gy;
- at most 12 Gy as left lung mean dose;
- V20Gy < 20% to the left lung;
- at most 3 Gy as mean doses to contralateral lung and breast.
- (a)
- mean dose value;
- (b)
- D2, representing the dose that covers 2% of the volume;
- (c)
- V20Gy, referring to the fractional volume of the organ receiving 20 Gy. In our analysis this index was exclusively considered for the ipsilateral lung.
2.2. NTCP Evaluation
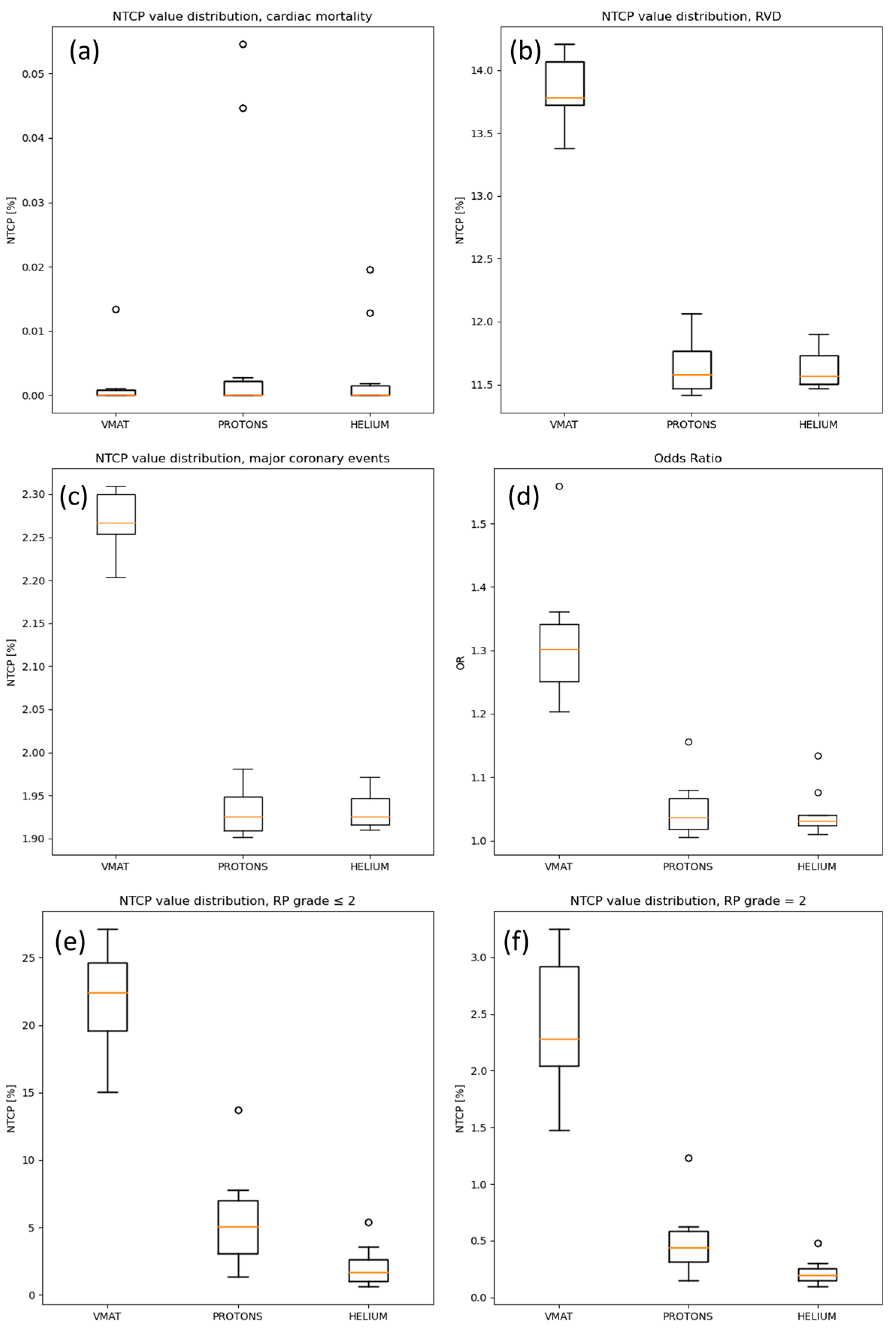
2.2.1. Heart
- Cardiac mortality
- Heart Valvular Dysfunction (RVD)
- Major coronary events
2.2.2. LAD
- Coronary stenosis
2.2.3. Left Lung
- RP with grade ≤ 2where the parameters set were D50 = 16.3 Gy, γ = 1.08 and s = 0.15 from Rancati et al. [8]; and
- RP with grade = 2with D50 = 30.1 Gy, γ = 0.966 and s = 0.012 from Gagliardi et al. [9].
2.3. Statistical Analysis
3. Results
3.1. Organs at Risk Analysis
3.1.1. Heart
3.1.2. LAD
3.1.3. Left Lung
3.1.4. Contralateral Lung
3.1.5. Contralateral Breast
4. Discussion
5. Conclusions
Supplementary Materials
Author Contributions
Funding
Institutional Review Board Statement
Informed Consent Statement
Data Availability Statement
Acknowledgments
Conflicts of Interest
Appendix A
| p-Value (Two Sided) | |||
|---|---|---|---|
| Dosimetric Indices | VMAT vs. Proton | VMAT vs. Helium Ions | Proton vs. Helium Ions |
| CTV coverage | 0.0019 | 0.0019 | 0.37 |
| IMN coverage | 0.25 | 0.25 | 0.25 |
| Heart | |||
| mean dose | 0.0019 | 0.0019 | 0.38 |
| D2 | 0.004 | 0.0019 | 0.027 |
| LAD | |||
| mean dose | 0.0019 | 0.0019 | 0.27 |
| D02 | 0.0019 | 0.0019 | 0.019 |
| Left Lung | |||
| mean dose | 0.0019 | 0.0019 | 0.0019 |
| D2 | 0.0019 | 0.0019 | 0.019 |
| V20Gy | 0.004 | 0.0019 | 0.0019 |
| Contralateral lung | 0.0019 | 0.0019 | 0.21 |
| Contralateral breast | 0.0019 | 0.0019 | 0.0019 |
| p-Value (Two Sided) | |||
|---|---|---|---|
| Clinical Endpoints | VMAT vs. Proton | VMAT vs. Helium Ions | Proton vs. Helium Ions |
| Coronary stenosis | 0.0019 | 0.0019 | 0.27 |
| RVD | 0.0019 | 0.0019 | 0.92 |
| major coronary events | 0.0019 | 0.0019 | 0.38 |
| RP grade ≤ 2 | 0.0019 | 0.0019 | 0.0019 |
| RP grade = 2 | 0.0019 | 0.0019 | 0.0019 |
References
- Arnold, M.; Morgan, E.; Rumgay, H.; Mafra, A.; Singh, D.; Laversanne, M.; Vignat, J.; Gralow, J.R.; Cardoso, F.; Siesling, S.; et al. Current and Future Burden of Breast Cancer: Global Statistics for 2020 and 2040. Breast 2022, 66, 15–23. [Google Scholar] [CrossRef] [PubMed]
- Gagliardi, G.; Lax, I.; Ottolenghi, A.; Rutqvist, L.E. Long-Term Cardiac Mortality after Radiotherapy of Breast Cancer—Application of the Relative Seriality Model. Br. J. Radiol. 1996, 69, 839–846. [Google Scholar] [CrossRef] [PubMed]
- Cella, L.; Palma, G.; Deasy, J.O.; Oh, J.H.; Liuzzi, R.; D’Avino, V.; Conson, M.; Pugliese, N.; Picardi, M.; Salvatore, M.; et al. Complication Probability Models for Radiation-Induced Heart Valvular Dysfunction: Do Heart-Lung Interactions Play a Role? PLoS ONE 2014, 9, e111753. [Google Scholar] [CrossRef]
- Darby, S.C.; Ewertz, M.; McGale, P.; Bennet, A.M.; Blom-Goldman, U.; Brønnum, D.; Correa, C.; Cutter, D.; Gagliardi, G.; Gigante, B.; et al. Risk of Ischemic Heart Disease in Women after Radiotherapy for Breast Cancer. N. Engl. J. Med. 2013, 368, 987–998. [Google Scholar] [CrossRef] [PubMed]
- Zureick, A.H.; Grzywacz, V.P.; Almahariq, M.F.; Silverman, B.R.; Vayntraub, A.; Chen, P.Y.; Gustafson, G.S.; Jawad, M.S.; Dilworth, J.T. Dose to the Left Anterior Descending Artery Correlates with Cardiac Events after Irradiation for Breast Cancer. Int. J. Radiat. Oncol. Biol. Phys. 2022, 114, 130–139. [Google Scholar] [CrossRef]
- Nilsson, G.; Holmberg, L.; Garmo, H.; Duvernoy, O.; Sjögren, I.; Lagerqvist, B.; Blomqvist, C. Distribution of Coronary Artery Stenosis after Radiation for Breast Cancer. J. Clin. Oncol. 2012, 30, 380–386. [Google Scholar] [CrossRef]
- Moignier, A.; Broggio, D.; Derreumaux, S.; Beaudré, A.; Girinsky, T.; Paul, J.F.; Drubay, D.; Lefkopoulos, D.; Franck, D.; Aubert, B.; et al. Coronary Stenosis Risk Analysis Following Hodgkin Lymphoma Radiotherapy: A Study Based on Patient Specific Artery Segments Dose Calculation. Radiother. Oncol. 2015, 117, 467–472. [Google Scholar] [CrossRef]
- Rancati, T.; Wennberg, B.; Lind, P.; Svane, G.; Gagliardi, G. Early Clinical and Radiological Pulmonary Complications Following Breast Cancer Radiation Therapy: NTCP Fit with Four Different Models. Radiother. Oncol. 2007, 82, 308–316. [Google Scholar] [CrossRef]
- Gagliardi, G.; Bjöhle, J.; Lax, I.; Ottolenghi, A.; Eriksson, F.; Liedberg, A.; Lind, P.; Rutqvist, L.E. Radiation Pneumonitis after Breast Cancer Irradiation: Analysis of the Complication Probability Using the Relative Seriality Model. Int. J. Radiat. Oncol. Biol. Phys. 2000, 46, 373–381. [Google Scholar] [CrossRef]
- Paganetti, H.; Depauw, N.; Johnson, A.; Forman, R.B.; Lau, J.; Jimenez, R. The Risk for Developing a Secondary Cancer after Breast Radiation Therapy: Comparison of Photon and Proton Techniques. Radiother. Oncol. 2020, 149, 212–218. [Google Scholar] [CrossRef]
- Paganetti, H.; Beltran, C.; Both, S.; Dong, L.; Flanz, J.; Furutani, K.; Grassberger, C.; Grosshans, D.R.; Knopf, A.C.; Langendijk, J.A.; et al. Roadmap: Proton Therapy Physics and Biology. Phys. Med. Biol. 2021, 66, 05RM01. [Google Scholar] [CrossRef] [PubMed]
- Dutz, A.; Lühr, A.; Agolli, L.; Troost, E.G.C.; Krause, M.; Baumann, M.; Vermeren, X.; Geismar, D.; Schapira, E.F.; Bussière, M.; et al. Development and Validation of NTCP Models for Acute Side-Effects Resulting from Proton Beam Therapy of Brain Tumours. Radiother. Oncol. 2019, 130, 164–171. [Google Scholar] [CrossRef] [PubMed]
- PTCOG—Facilities in Operation. Available online: https://www.ptcog.site/index.php/facilities-in-operation-public (accessed on 13 October 2023).
- Tessonnier, T.; Ecker, S.; Besuglow, J.; Naumann, J.; Mein, S.; Longarino, F.K.; Ellerbrock, M.; Ackermann, B.; Winter, M.; Brons, S.; et al. Commissioning of Helium Ion Therapy and the First Patient Treatment with Active Beam Delivery. Int. J. Radiat. Oncol. Biol. Phys. 2023, 116, 935–948. [Google Scholar] [CrossRef]
- Mairani, A.; Mein, S.; Blakely, E.; Debus, J.; Durante, M.; Ferrari, A.; Fuchs, H.; Georg, D.; Grosshans, D.R.; Guan, F.; et al. Roadmap: Helium Ion Therapy. Phys. Med. Biol. 2022, 67, 15TR02. [Google Scholar] [CrossRef] [PubMed]
- Tessonnier, T.; Mairani, A.; Brons, S.; Haberer, T.; Debus, J.; Parodi, K. Experimental Dosimetric Comparison of 1H, 4He, 12C and 16O Scanned Ion Beams. Phys. Med. Biol. 2017, 62, 3958–3982. [Google Scholar] [CrossRef]
- Fogliata, A.; Bolsi, A.; Cozzi, L. Critical Appraisal of Treatment Techniques Based on Conventional Photon Beams, Intensity Modulated Photon Beams and Proton Beams for Therapy of Intact Breast. Radiother. Oncol. 2002, 62, 137–145. [Google Scholar] [CrossRef]
- Lalani, N.; Alqarni, S.; Jimenez, R.B. The Potential of Proton Therapy for Locally Advanced Breast Cancer: Clinical and Technical Considerations. Curr. Oncol. 2023, 30, 2869–2878. [Google Scholar] [CrossRef]
- Lin, L.L.; Vennarini, S.; Dimofte, A.; Ravanelli, D.; Shillington, K.; Batra, S.; Tochner, Z.; Both, S.; Freedman, G. Proton Beam versus Photon Beam Dose to the Heart and Left Anterior Descending Artery for Left-Sided Breast Cancer. Acta Oncol. 2015, 54, 1032–1039. [Google Scholar] [CrossRef]
- Mutter, R.W.; Choi, J.I.; Jimenez, R.B.; Kirova, Y.M.; Fagundes, M.; Haffty, B.G.; Amos, R.A.; Bradley, J.A.; Chen, P.Y.; Ding, X.; et al. Proton Therapy for Breast Cancer: A Consensus Statement from the Particle Therapy Cooperative Group Breast Cancer Subcommittee. Int. J. Radiat. Oncol. Biol. Phys. 2021, 111, 337–359. [Google Scholar] [CrossRef]
- Bekelman, J.E.; Lu, H.; Pugh, S.; Baker, K.; Berg, C.D.; De Gonzalez, A.B.; Braunstein, L.Z.; Bosch, W.; Chauhan, C.; Ellenberg, S.; et al. Pragmatic Randomised Clinical Trial of Proton versus Photon Therapy for Patients with Non-Metastatic Breast Cancer: The Radiotherapy Comparative Effectiveness (RadComp) Consortium Trial Protocol. BMJ Open 2019, 9, e025556. [Google Scholar] [CrossRef]
- Arbeitsgemeinschaft Gynäkologische Onkologie, e.V. Diagnostik Und Therapie Früher Und Fortgeschrittener Mammakarzinome. Available online: www.ago-online.de (accessed on 13 October 2023).
- Leitlinienprogramm Onkologie. Interdisziplinäre S3-Leitlinie für Die Früherkennung, Diagnostik, Therapie und Nachsorge des Mammakarzinoms; Leitlinienprogramm Onkologie: Berlin, Germany, 2021. [Google Scholar]
- Offersen, B.V.; Boersma, L.J.; Kirkove, C.; Hol, S.; Aznar, M.C.; Biete Sola, A.; Kirova, Y.M.; Pignol, J.P.; Remouchamps, V.; Verhoeven, K.; et al. ESTRO Consensus Guideline on Target Volume Delineation for Elective Radiation Therapy of Early Stage Breast Cancer. Radiother. Oncol. 2015, 114, 3–10. [Google Scholar] [CrossRef] [PubMed]
- Kase, Y.; Kanai, T.; Matsumoto, Y.; Furusawa, Y.; Okamoto, H.; Asaba, T.; Sakama, M.; Shinoda, H. Microdosimetric Measurements and Estimation of Human Cell Survival for Heavy-Ion Beams. Radiat. Res. 2006, 166, 629–638. [Google Scholar] [CrossRef] [PubMed]
- van Leeuwen, C.M.; Oei, A.L.; Crezee, J.; Bel, A.; Franken, N.A.P.; Stalpers, L.J.A.; Kok, H.P. The Alfa and Beta of Tumours: A Review of Parameters of the Linear-Quadratic Model, Derived from Clinical Radiotherapy Studies. Radiat. Oncol. 2018, 13, 96. [Google Scholar] [CrossRef] [PubMed]
- ICRU Recording, and Reporting Proton-Beam Therapy ICRU Report 78. Available online: https://www.icru.org/report/prescribing-recording-and-reporting-proton-beam-therapy-icru-report-78/ (accessed on 13 October 2023).
- Jäkel, O.; Bert, C.; Fossati, P.; Kamada, T.; Karger, C.P.; Matsufuji, N.; Scholz, M. ICRU Report 93: Prescribing, Recording, and Reporting Light Ion Beam Therapy. Available online: https://www.icru.org/report/icru-report-93-prescribing-recording-and-reporting-light-ion-beam-therapy/ (accessed on 13 October 2023).
- Marteinsdottir, M.; Wang, C.-C.; McNamara, A.; Depauw, N.; Shin, J.; Paganetti, H. The Impact of Variable Relative Biological Effectiveness in Proton Therapy for Left-Sided Breast Cancer When Estimating Normal Tissue Complications in the Heart and Lung. Phys. Med. Biol. 2021, 66, 035023. [Google Scholar] [CrossRef] [PubMed]
- Källman, P.; Ågren, A.; Brahme, A. Tumour and Normal Tissue Responses to Fractionated Non-Uniform Dose Delivery. Int. J. Radiat. Biol. 1992, 62, 249–262. [Google Scholar] [CrossRef]
- Poortmans, P.M.; Collette, S.; Kirkove, C.; Van Limbergen, E.; Budach, V.; Struikmans, H.; Collette, L.; Fourquet, A.; Maingon, P.; Valli, M.; et al. Internal Mammary and Medial Supraclavicular Irradiation in Breast Cancer. N. Engl. J. Med. 2015, 373, 317–327. [Google Scholar] [CrossRef]
- Coles, C.E.; Haviland, J.S.; Kirby, A.M. Internal Mammary Node Irradiation in Breast Cancer: Does Benefit Outweigh Risk? Lancet Oncol. 2020, 21, 1541–1543. [Google Scholar] [CrossRef]
- Zhang, Y.; Huang, Y.; Ding, S.; Yuan, X.; Shu, Y.; Liang, J.; Mao, Q.; Jiang, C.; Li, J. A Dosimetric and Radiobiological Evaluation of VMAT Following Mastectomy for Patients with Left-Sided Breast Cancer. Radiat. Oncol. 2021, 16, 171. [Google Scholar] [CrossRef]
- Duma, M.N.; Baumann, R.; Budach, W.; Dunst, J.; Feyer, P.; Fietkau, R.; Haase, W.; Harms, W.; Hehr, T.; Krug, D.; et al. Heart-Sparing Radiotherapy Techniques in Breast Cancer Patients: A Recommendation of the Breast Cancer Expert Panel of the German Society of Radiation Oncology (DEGRO). Strahlenther. Onkol. 2019, 195, 861–871. [Google Scholar] [CrossRef]
- Musielak, M.; Suchorska, W.M.; Fundowicz, M.; Milecki, P.; Malicki, J. Future Perspectives of Proton Therapy in Minimizing the Toxicity of Breast Cancer Radiotherapy. J. Pers. Med. 2020, 11, 410. [Google Scholar] [CrossRef]
- Luo, L.; Cuaron, J.; Braunstein, L.; Gillespie, E.; Kahn, A.; McCormick, B.; Mah, D.; Chon, B.; Tsai, H.; Powell, S.; et al. Early Outcomes of Breast Cancer Patients Treated with Post-Mastectomy Uniform Scanning Proton Therapy. Radiother. Oncol. 2019, 132, 250–256. [Google Scholar] [CrossRef]
- Gokula, K.; Earnest, A.; Wong, L.C. Meta-Analysis of Incidence of Early Lung Toxicity in 3-Dimensional Conformal Irradiation of Breast Carcinomas. Radiat. Oncol. 2013, 8, 268. [Google Scholar] [CrossRef] [PubMed]
- Wennberg, B.; Gagliardi, G.; Sundbom, L.; Svane, G.; Lind, P. Early Response of Lung in Breast Cancer Irradiation: Radiologic Density Changes Measured by CT and Symptomatic Radiation Pneumonitis. Int. J. Radiat. Oncol. Biol. Phys. 2002, 52, 1196–1206. [Google Scholar] [CrossRef] [PubMed]
- Stovall, M.; Smith, S.A.; Langholz, B.M.; Boice, J.D.; Shore, R.E.; Andersson, M.; Buchholz, T.A.; Capanu, M.; Bernstein, L.; Lynch, C.F.; et al. Dose to the Contralateral Breast from Radiotherapy and Risk of Second Primary Breast Cancer in the WECARE Study. Int. J. Radiat. Oncol. Biol. Phys. 2008, 72, 1021–1030. [Google Scholar] [CrossRef] [PubMed]
- Belkacémi, Y.; Gligorov, J.; Ozsahin, M.; Marsiglia, H.; De Lafontan, B.; Laharie-Mineur, H.; Aimard, L.; Antoine, E.C.; Cutuli, B.; Namer, M.; et al. Concurrent Trastuzumab with Adjuvant Radiotherapy in HER2-Positive Breast Cancer Patients: Acute Toxicity Analyses from the French Multicentric Study. Ann. Oncol. 2008, 19, 1110–1116. [Google Scholar] [CrossRef]
- Jongen, Y.; Abs, M.; Blondin, A.; Kleeven, W.; Zaremba, S.; Vandeplassche, D.; Aleksandrov, V.; Gursky, S.; Karamyshev, O.; Karamysheva, G.; et al. Compact Superconducting Cyclotron C400 for Hadron Therapy. Nucl. Instrum. Methods Phys. Res. Sect. A Accel. Spectrom. Detect. Assoc. Equip. 2010, 624, 47–53. [Google Scholar] [CrossRef]
- Volz, L.; Sheng, Y.; Durante, M.; Graeff, C. Considerations for Upright Particle Therapy Patient Positioning and Associated Image Guidance. Front. Oncol. 2022, 12, 930850. [Google Scholar] [CrossRef] [PubMed]
- Qubala, A.; Schwahofer, A.; Jersemann, S.; Eskandarian, S.; Harrabi, S.; Naumann, P.; Winter, M.; Ellerbrock, M.; Shafee, J.; Abtehi, S.; et al. Optimizing the Patient Positioning Workflow of Patients with Pelvis, Limb, and Chest/Spine Tumors at an Ion-Beam Gantry Based on Optical Surface Guidance. Adv. Radiat. Oncol. 2023, 8, 101105. [Google Scholar] [CrossRef]
- Gao, R.W.; Mullikin, T.C.; Aziz, K.A.; Afzal, A.; Smith, N.L.; Routman, D.M.; Gergelis, K.R.; Harmsen, W.S.; Remmes, N.B.; Tseung, H.S.W.C.; et al. Postmastectomy Intensity Modulated Proton Therapy: 5-Year Oncologic and Patient-Reported Outcomes. Int. J. Radiat. Oncol. Biol. Phys. 2023, 117, 846–856. [Google Scholar] [CrossRef]
- Loap, P.; Beddok, A.; Cao, K.I.; Goudjil, F.; Fourquet, A.; Dendale, R.; Kirova, Y. Clinical Practice of Breast Cancer Protontherapy: A Single-Centre Experience from Selection to Treatment. Cancer/Radiother. 2021, 25, 358–365. [Google Scholar] [CrossRef]
- Cartechini, G.; Fracchiolla, F.; Menegotti, L.; Scifoni, E.; La Tessa, C.; Schwarz, M.; Farace, P.; Tommasino, F. Proton Pencil Beam Scanning Reduces Secondary Cancer Risk in Breast Cancer Patients with Internal Mammary Chain Involvement Compared to Photon Radiotherapy. Radiat. Oncol. 2020, 15, 228. [Google Scholar] [CrossRef] [PubMed]
- De Rose, F.; Cozzi, L.; Meattini, I.; Fogliata, A.; Franceschini, D.; Franzese, C.; Tomatis, S.; Becherini, C.; Livi, L.; Scorsetti, M. The Potential Role of Intensity-Modulated Proton Therapy in the Regional Nodal Irradiation of Breast Cancer: A Treatment Planning Study. Clin. Oncol. 2020, 32, 26–34. [Google Scholar] [CrossRef]
- Jimenez, R.B.; Hickey, S.; DePauw, N.; Yeap, B.Y.; Batin, E.; Gadd, M.A.; Specht, M.; Isakoff, S.J.; Smith, B.L.; Liao, E.C.; et al. Phase II Study of Proton Beam Radiation Therapy for Patients with Breast Cancer Requiring Regional Nodal Irradiation. J. Clin. Oncol. 2019, 37, 2778–2785. [Google Scholar] [CrossRef] [PubMed]
- Silvus, A.; Haefner, J.; Altman, M.B.; Zhao, T.; Perkins, S.; Zhang, T. Dosimetric Evaluation of Dose Shaping by Adaptive Aperture and Its Impact on Plan Quality. Med. Dosim. 2023. [Google Scholar] [CrossRef] [PubMed]
- Grewal, H.S.; Ahmad, S.; Jin, H. Performance Evaluation of Adaptive Aperture’s Static and Dynamic Collimation in a Compact Pencil Beam Scanning Proton Therapy System: A Dosimetric Comparison Study for Multiple Disease Sites. Med. Dosim. 2021, 46, 179–187. [Google Scholar] [CrossRef] [PubMed]
- Marteinsdottir, M.; Paganetti, H. Applying a Variable Relative Biological Effectiveness (RBE) Might Affect the Analysis of Clinical Trials Comparing Photon and Proton Therapy for Prostate Cancer. Phys. Med. Biol. 2019, 64, 115027. [Google Scholar] [CrossRef]
- Chen, Y.; Grassberger, C.; Li, J.; Hong, T.S.; Paganetti, H. Impact of Potentially Variable RBE in Liver Proton Therapy. Phys. Med. Biol. 2018, 63, 195001. [Google Scholar] [CrossRef]
- Giovannini, G.; Böhlen, T.; Cabal, G.; Bauer, J.; Tessonnier, T.; Frey, K.; Debus, J.; Mairani, A.; Parodi, K. Variable RBE in Proton Therapy: Comparison of Different Model Predictions and Their Influence on Clinical-like Scenarios. Radiat. Oncol. 2016, 11, 68. [Google Scholar] [CrossRef]
- Tommasino, F.; Durante, M.; D’Avino, V.; Liuzzi, R.; Conson, M.; Farace, P.; Palma, G.; Schwarz, M.; Cella, L.; Pacelli, R. Model-Based Approach for Quantitative Estimates of Skin, Heart, and Lung Toxicity Risk for Left-Side Photon and Proton Irradiation after Breast-Conserving Surgery. Acta Oncol. 2017, 56, 730–736. [Google Scholar] [CrossRef]
- DeCesaris, C.M.; Rice, S.R.; Bentzen, S.M.; Jatczak, J.; Mishra, M.V.; Nichols, E.M. Quantification of Acute Skin Toxicities in Patients with Breast Cancer Undergoing Adjuvant Proton versus Photon Radiation Therapy: A Single Institutional Experience. Int. J. Radiat. Oncol. Biol. Phys. 2019, 104, 1084–1090. [Google Scholar] [CrossRef]
- Fattahi, S.; Mullikin, T.C.; Aziz, K.A.; Afzal, A.; Smith, N.L.; Francis, L.N.; Harmsen, W.S.; Routman, D.M.; Remmes, N.B.; Ahmed, S.K.; et al. Proton Therapy for the Treatment of Inflammatory Breast Cancer. Radiother. Oncol. 2022, 171, 77–83. [Google Scholar] [CrossRef] [PubMed]
- Wang, C.C.; McNamara, A.L.; Shin, J.; Schuemann, J.; Grassberger, C.; Taghian, A.G.; Jimenez, R.B.; MacDonald, S.M.; Paganetti, H. End-of-Range Radiobiological Effect on Rib Fractures in Patients Receiving Proton Therapy for Breast Cancer. Int. J. Radiat. Oncol. Biol. Phys. 2020, 107, 449–454. [Google Scholar] [CrossRef]
- Kopp, B.; Mein, S.; Tessonnier, T.; Besuglow, J.; Harrabi, S.; Heim, E.; Abdollahi, A.; Haberer, T.; Debus, J.; Mairani, A. Rapid Effective Dose Calculation for Raster-Scanning 4He Ion Therapy with the Modified Microdosimetric Kinetic Model (MMKM). Phys. Medica 2021, 81, 273–284. [Google Scholar] [CrossRef] [PubMed]
- Boerma, M.; Sridharan, V.; Mao, X.W.; Nelson, G.A.; Cheema, A.K.; Koturbash, I.; Singh, S.P.; Tackett, A.J.; Hauer-Jensen, M. Effects of Ionizing Radiation on the Heart. Mutat. Res.-Rev. Mutat. Res. 2016, 770, 319–327. [Google Scholar] [CrossRef] [PubMed]
- Scheenstra, A.E.H.; Rossi, M.M.G.; Belderbos, J.S.A.; Damen, E.M.F.; Lebesque, J.V.; Sonke, J.J. Alpha/Beta Ratio for Normal Lung Tissue as Estimated from Lung Cancer Patients Treated with Stereotactic Body and Conventionally Fractionated Radiation Therapy. Int. J. Radiat. Oncol. Biol. Phys. 2014, 88, 224–228. [Google Scholar] [CrossRef] [PubMed]
- Van Dyk, J.; Mah, K.; Keane, T.J. Radiation-Induced Lung Damage: Dose-Time-Fractionation Considerations. Radiother. Oncol. 1989, 14, 55–69. [Google Scholar] [CrossRef] [PubMed]
- Fowler, J.F. Radiation-Induced Lung Damage: Dose-Time Fractionation Considerations. Radiother. Oncol. 1990, 18, 184–187. [Google Scholar] [CrossRef]
- Meattini, I.; Becherini, C.; Boersma, L.; Kaidar-Person, O.; Marta, G.N.; Montero, A.; Offersen, B.V.; Aznar, M.C.; Belka, C.; Brunt, A.M.; et al. European Society for Radiotherapy and Oncology Advisory Committee in Radiation Oncology Practice Consensus Recommendations on Patient Selection and Dose and Fractionation for External Beam Radiotherapy in Early Breast Cancer. Lancet Oncol. 2022, 23, e21–e31. [Google Scholar] [CrossRef]
- Alterio, D.; La Rocca, E.; Volpe, S.; Camarda, A.M.; Casbarra, A.; Russell-Edu, W.; Zerella, M.A.; Orecchia, R.; Galimberti, V.; Veronesi, P.; et al. Hypofractionated Proton Therapy in Breast Cancer: Where Are We? A Critical Review of the Literature. Breast Cancer Res. Treat. 2022, 192, 249–263. [Google Scholar] [CrossRef]
- Bradley, J.A.; Gracie, J.; Vega, R.B.M.; Brooks, E.D.; Burchianti, T.; Oladeru, O.T.; Liang, X.; Mendenhall, N.P. Proton Therapy in the Treatment of Men with Breast Cancer. Int. J. Part. Ther. 2023, 10, 94–104. [Google Scholar] [CrossRef]
- Taylor, C.W.; Zhe, W.; Macaulay, E.; Jagsi, R.; Duane, F.; Darby, S.C. Exposure of the Heart in Breast Cancer Radiation Therapy: A Systematic Review of Heart Doses Published during 2003 to 2013. Int. J. Radiat. Oncol. 2015, 93, 845–853. [Google Scholar] [CrossRef]
- Iwata, Y.; Shirai, T.; Mizushima, K.; Matsuba, S.; Yang, Y.; Noda, E.; Urata, M.; Muramatsu, M.; Katagiri, K.; Yonai, S.; et al. Design of a Compact Superconducting Accelerator for Advanced Heavy-Ion Therapy. Nucl. Instrum. Methods Phys. Res. Sect. A Accel. Spectrom. Detect. Assoc. Equip. 2023, 1053, 168312. [Google Scholar] [CrossRef]
- Mandrillon, J.; Abs, M.; Cailliau, P.; Deprez, S.; Donzel, X.; Goose, G.; Jongen, Y.; Kleeven, W.; Koffel, L.; Nuttens, V.E.; et al. Status on NHa C400 Cyclotron for Hadrontherapy. JACoW 2022, 264–268. [Google Scholar] [CrossRef]


| Coverage % | |||||||
|---|---|---|---|---|---|---|---|
| Technique | CTV | IMN | L1 | L2 | L3 | L4 | PectoralN |
| VMAT | 93.1 (90.6–95.4) | 88.6 (68.2–99.7) | 98.7 (97.5–100.0) | 97.8 (93.6–100.0) | 98.9 (93.5–100.0) | 99.1 (97.8–100.0) | 99.2 (96.0–100.0) |
| Proton | 99.9 * (99.9–100.0) | 94.7 (90.0–97.4) | 100.0 (100.0–100.0) | 100.0 (100.0–100.0) | 100.0 (100.0–100.0) | 97.8 (92.8–99.6) | 100.0 (100.0–100.0) |
| Helium | 99.8 * (99.8–100.0) | 95.7 (89.7–100.0) | 100.0 (100.0–100.0) | 100.0 (100.0–100.0) | 99.5 (96.6–100.0) | 99.0 (98.2–100.0) | 100.0 (100.0–100.0) |
| Dosimetric Analysis | |||
|---|---|---|---|
| VMAT | Proton | Helium | |
| Heart | |||
| mean dose [Gy] | 2.61 (2.16–2.91) | 0.22 * (0.01–0.57) | 0.23 * (0.07–0.51) |
| D2 [Gy] | 6.75 (4.53–9.25) | 2.71 * (0.05–7.79) | 1.46 * (0.34–3.38) |
| LAD | |||
| mean dose [Gy] | 5.64 (3.87–9.28) | 0.96 * (0.10–3.02) | 0.86 * (0.20–2.63) |
| D2 [Gy] | 11.88 (5.46–27.19) | 5.54 * (0.73–17.09) | 4.05 *‡ (0.36–14.52) |
| Left Lung | |||
| mean dose [Gy] | 10.68 (9.35–11.75) | 6.37 * (4.39–8.86) | 4.93 *‡ (3.60–6.63) |
| D2 [Gy] | 44.97 (41.85–47.16) | 38.25 * (34.03–40.73) | 36.00 *‡ (30.94–40.51) |
| V20Gy (%) | 18.04 (15.57–19.21) | 12.00 * (7.98–17.79) | 8.59 *‡ (6.04–12.47) |
| Right Lung | |||
| mean dose [Gy] | 2.56 (1.20–3.52) | 0.15* (0.01–0.35) | 0.11 * (0.02–0.30) |
| Contralateral Breast | |||
| mean dose [Gy] | 2.89 (2.52–3.36) | 0.22 * (0.07–0.42) | 0.04 *‡ (0.00–0.08) |
| NTCP (%) | |||
|---|---|---|---|
| Clinical Endpoints | VMAT | Proton | Helium |
| Cardiac mortality | 0.0 (0.0–0.0) | 0.0 (0.0–0.1) | 0.0 (0.0–0.0) |
| RVD | 13.8 (13.4–14.2) | 11.6 * (11.4–12.1) | 11.6 * (11.5–11.9) |
| Major coronary events | 2.27 (2.20–2.31) | 1.93 * (1.90–1.98) | 1.93 * (1.91–1.97) |
| Odds Ratio | |||
|---|---|---|---|
| Clinical Endpoint | VMAT | Proton | Helium |
| Coronary stenosis | 1.31 (1.20–1.56) | 1.05 * (1.00–1.15) | 1.04 * (1.01–1.13) |
| NTCP (%) | |||
|---|---|---|---|
| Clinical Endpoints | VMAT | Proton | Helium |
| Left Lung | |||
| RP grade ≤ 2 | 21.9 (15.0–27.1) | 5.4 * (1.4–13.7) | 2.1 *‡ (0.6–5.4) |
| RP grade = 2 | 2.4 (1.5–3.3) | 0.5 * (0.2–1.2) | 0.2 *‡ (0.1–0.5) |
| This Work | ||||
|---|---|---|---|---|
| Heart | LAD | Left Lung | ||
| Mean Dose [Gy] | V20Gy [%] | |||
| VMAT | 2.61 (2.16–2.91) | 5.64 (3.87–9.28) | 10.68 (9.35–11.75) | 18.04 (15.57–19.21) |
| Proton | 0.22 (0.01–0.57) | 0.96 (0.10–3.02) | 6.37 (4.39–8.86) | 12.00 (7.98–17.79) |
| Helium | 0.23 (0.07–0.51) | 0.86 (0.20–2.63) | 4.93 (3.60–6.63) | 8.59 (6.04–12.47) |
| Gao et al. (2023)—Mayo Clinic [44] | ||||
| IMPT | 0.62 (0.37–0.89) | 2.11 (1.15–3.43) | 7.54 (7.01–8.43) | 14 (12.0–15.0) |
| Loap et al. (2021)—Institute Curie [45] | ||||
| VMAT | 3.3 | 6.4 | 11.0 | |
| Proton | 0.4 | 0.4 | 7.9 | |
| Cartechini et al. (2020)—TIFPA [46] | ||||
| VMAT | 16.4 (14.8–18.0) | |||
| Proton | 8.4 (8.1–8.7) | |||
| De Rose et al. (2020)—Humanitas Research Hospital and Cancer Center [47] | ||||
| VMAT | 3.9 ± 0.9 | 10.8 ± 1.1 | ||
| IMPT | 0.4 ± 0.3 | 6.2 ± 0.8 | ||
| Jimenez et al. (2019) Massachusetts General Hospital, Boston [48] | ||||
| Proton | 0.5 (0.10–1.70) | 1.16 (0.09–12.00) | 7.72 (2.39–13.80) | 14.5 (8.76–22.24) |
| Marteinsdottir et al. 2021 [29] | ||||
| VMAT | 3.9 (3.3–5.5) | 6.2 (5.5–12.8) | 12.8 (10.1–14.1) | 22.9 (15.4–26.2) |
| Proton | 0.5 (0.2–1.1) | 0.5 (0.1–2.6) | 8.7 (5.8–9.1) | 16.3 (9.3–18.2) |
| This Work | |||
|---|---|---|---|
| NTCP Values | |||
| Clinical Endpoints | VMAT | Proton | Helium |
| cardiac mortality [%] | 0.0 (0.0–0.0) | 0.0 (0.0–0.1) | 0.0 (0.0–0.0) |
| RVD [%] | 13.8 (13.4–14.2) | 11.6 (11.4–12.1) | 11.6 (11.5–11.9) |
| major coronary events [%] | 2.27 (2.20–2.31) | 1.93 (1.90–1.98) | 1.93 (1.91–1.97) |
| coronary stenosis (OR) | 1.31 (1.20–1.56) | 1.05 (1.00–1.15) | 1.04 (1.01–1.13) |
| RP grade ≤ 2 [%] | 21.9 (15.0–27.1) | 5.4 (1.4–13.7) | 2.1 (0.6–5.4) |
| RP grade = 2 [%] | 2.4 (1.5–3.3) | 0.5 (0.2–1.2) | 0.2 (0.1–0.5) |
| Marteinsdottir et al. 2021 [29] | |||
| cardiac mortality [%] | 0.0 (0.0–0.1) | 0.0 (0.0–0.0) | |
| major coronary events [%] | 2.1 (2.0–2.2) | 1.7 (1.6–1.8) | |
| coronary stenosis (OR) | 1.5 (1.3–2.7) | 1.1 (1.0–1.2) | |
| RP grade ≤ 2 [%] | 32.6 (16.7–40.9) | 12.1 (3.0–14.1) | |
| RP grade = 2 [%] | 4.2 (1.9–5.9) | 1.1 (0.3–1.3) | |
Disclaimer/Publisher’s Note: The statements, opinions and data contained in all publications are solely those of the individual author(s) and contributor(s) and not of MDPI and/or the editor(s). MDPI and/or the editor(s) disclaim responsibility for any injury to people or property resulting from any ideas, methods, instructions or products referred to in the content. |
© 2024 by the authors. Licensee MDPI, Basel, Switzerland. This article is an open access article distributed under the terms and conditions of the Creative Commons Attribution (CC BY) license (https://creativecommons.org/licenses/by/4.0/).
Share and Cite
Bonaccorsi, S.G.; Tessonnier, T.; Hoeltgen, L.; Meixner, E.; Harrabi, S.; Hörner-Rieber, J.; Haberer, T.; Abdollahi, A.; Debus, J.; Mairani, A. Exploring Helium Ions’ Potential for Post-Mastectomy Left-Sided Breast Cancer Radiotherapy. Cancers 2024, 16, 410. https://doi.org/10.3390/cancers16020410
Bonaccorsi SG, Tessonnier T, Hoeltgen L, Meixner E, Harrabi S, Hörner-Rieber J, Haberer T, Abdollahi A, Debus J, Mairani A. Exploring Helium Ions’ Potential for Post-Mastectomy Left-Sided Breast Cancer Radiotherapy. Cancers. 2024; 16(2):410. https://doi.org/10.3390/cancers16020410
Chicago/Turabian StyleBonaccorsi, Santa Gabriella, Thomas Tessonnier, Line Hoeltgen, Eva Meixner, Semi Harrabi, Juliane Hörner-Rieber, Thomas Haberer, Amir Abdollahi, Jürgen Debus, and Andrea Mairani. 2024. "Exploring Helium Ions’ Potential for Post-Mastectomy Left-Sided Breast Cancer Radiotherapy" Cancers 16, no. 2: 410. https://doi.org/10.3390/cancers16020410
APA StyleBonaccorsi, S. G., Tessonnier, T., Hoeltgen, L., Meixner, E., Harrabi, S., Hörner-Rieber, J., Haberer, T., Abdollahi, A., Debus, J., & Mairani, A. (2024). Exploring Helium Ions’ Potential for Post-Mastectomy Left-Sided Breast Cancer Radiotherapy. Cancers, 16(2), 410. https://doi.org/10.3390/cancers16020410

