Prognostic Impact of Circulating Methylated Homeobox A9 DNA in Patients Undergoing Treatment for Recurrent Ovarian Cancer
Abstract
:Simple Summary
Abstract
1. Introduction
2. Materials and Methods
2.1. Patient Eligibility
2.2. Analysis of Meth-HOXA9
2.3. Treatment Efficacy
2.4. Statistical Analysis
3. Results
3.1. Patient Characteristics
3.2. Meth-HOXA9
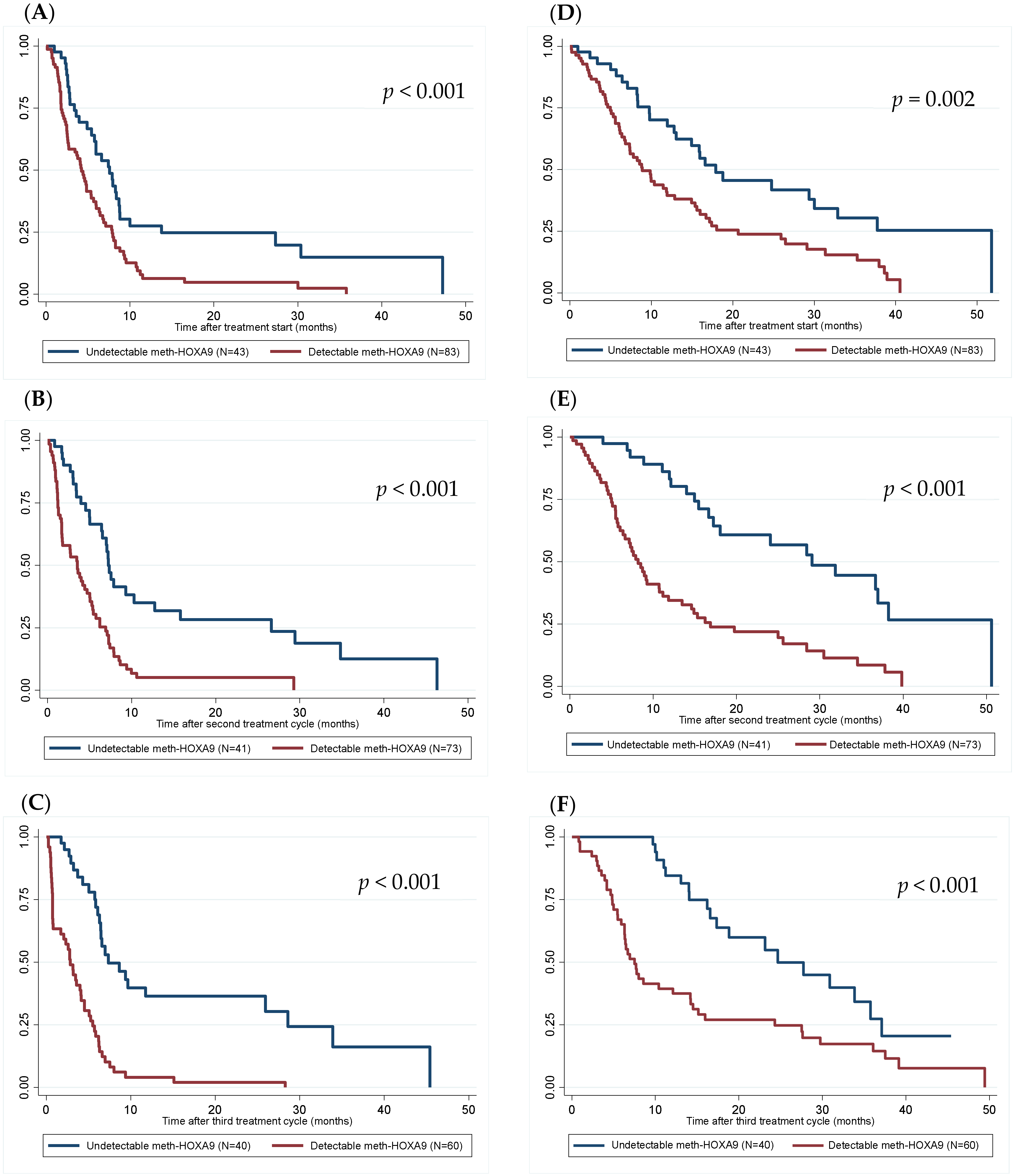
3.3. Prognostic Role of Meth-HOXA9 in Recurrent OC
3.4. Meth-HOXA9 Dynamics during Treatment
3.5. Meth-HOXA9 and Platinum-Resistant Disease
3.6. Treatment Efficacy
4. Discussion
5. Conclusions
Supplementary Materials
Author Contributions
Funding
Institutional Review Board Statement
Informed Consent Statement
Data Availability Statement
Acknowledgments
Conflicts of Interest
References
- Francis, J.A.; Coakley, N.; Elit, L.; Mackay, H. Systemic therapy for recurrent epithelial ovarian cancer: A clinical practice guideline. Curr. Oncol. 2017, 24, e540–e546. [Google Scholar] [CrossRef] [PubMed] [Green Version]
- Ledermann, J.A.; Raja, F.A.; Fotopoulou, C.; Gonzalez-Martin, A.; Colombo, N.; Sessa, C. Newly diagnosed and relapsed epithelial ovarian carcinoma: ESMO clinical practice guidelines for diagnosis, treatment and follow-up. Ann. Oncol. 2013, 24, vi24–vi32. [Google Scholar] [CrossRef] [PubMed]
- Corrado, G.; Salutari, V.; Palluzzi, E.; Distefano, M.G.; Scambia, G.; Ferrandina, G. Optimizing treatment in recurrent epithelial ovarian cancer. Expert Rev. Anticancer Ther. 2017, 17, 1147–1158. [Google Scholar] [CrossRef]
- Moss, E.L.; Hollingworth, J.; Reynolds, T.M. The role of CA125 in clinical practice. J. Clin. Pathol. 2005, 58, 308–312. [Google Scholar] [CrossRef] [PubMed] [Green Version]
- Yang, W.-L.; Lu, Z.; Bast Jr, R.C.; Moss, E.L.; Hollingworth, J.; Reynolds, T.M. The role of biomarkers in the management of epithelial ovarian cancer. J. Clin. Pathol. 2017, 58, 577–591. [Google Scholar] [CrossRef]
- Rustin, G.J.S.; Hall, M.R. Is CA125 useful in monitoring patients with platinum-resistant ovarian cancer? Ann. Oncol. 2016, 27, 1365–1366. [Google Scholar] [CrossRef] [PubMed]
- Lindemann, K.; Kristensen, G.; Mirza, M.R.; Davies, L.; Hilpert, F.; Romero, I.; Ayhan, A.; Burges, A.; Rubio, M.J.; Raspagliesi, F.; et al. Poor concordance between CA-125 and RECIST at the time of disease progression in patients with platinum-resistant ovarian cancer: Analysis of the AURELIA trial. Ann. Oncol. 2016, 27, 1505–1510. [Google Scholar] [CrossRef] [PubMed]
- Alexandrov, L.B.; Nik-Zainal, S.; Wedge, D.C.; Aparicio, S.A.J.R.; Behjati, S.; Biankin, A.V.; Bignell, G.R.; Bolli, N.; Borg, A.; Børresen-Dale, A.L.; et al. Signatures of mutational processes in human cancer. Nature 2013, 500, 415–421. [Google Scholar] [CrossRef] [Green Version]
- Bell, D.; Berchuck, A.; Birrer, M.; Chien, J.; Cramer, D.W.; Dao, F.; Dhir, R.; Disaia, P.; Gabra, H.; Glenn, P.; et al. Integrated genomic analyses of ovarian carcinoma. Nature 2011, 474, 609–615. [Google Scholar] [CrossRef]
- Vogelstein, B.; Papadopoulos, N.; Velculescu, V.E.; Zhou, S.; Diaz, L.A.J.; Kinzler, K.W. Cancer Genome Landscapes. Science 2013, 339, 1546–1558. [Google Scholar] [CrossRef]
- Yang, M.; Forbes, M.E.; Bitting, R.L.; O’Neill, S.S.; Chou, P.C.; Topaloglu, U.; Miller, L.D.; Hawkins, G.A.; Grant, S.C.; DeYoung, B.R.; et al. Incorporating blood-based liquid biopsy information into cancer staging: Time for a TNMB system? Ann. Oncol. 2018, 29, 311–323. [Google Scholar] [CrossRef] [PubMed] [Green Version]
- Asante, D.B.; Calapre, L.; Ziman, M.; Meniawy, T.M.; Gray, E.S. Liquid biopsy in ovarian cancer using circulating tumor DNA and cells: Ready for prime time? Cancer Lett. 2020, 468, 59–71. [Google Scholar] [CrossRef] [PubMed]
- Bhardwaj, B.K.; Thankachan, S.; Venkatesh, T.; Suresh, P.S. Liquid biopsy in ovarian cancer. Clin. Chim. Acta 2020, 510, 28–34. [Google Scholar] [CrossRef] [PubMed]
- Jakobsen, A.; Andersen, R.F.; Hansen, T.F.; Jensen, L.H.; Faaborg, L.; Steffensen, K.D.; Thomsen, C.B.; Wen, S.W.C. Early ctDNA response to chemotherapy. A potential surrogate marker for overall survival. Eur. J. Cancer 2021, 149, 128–133. [Google Scholar] [CrossRef]
- Barton, C.A.; Hacker, N.F.; Clark, S.J.; O’Brien, P.M. DNA methylation changes in ovarian cancer: Implications for early diagnosis, prognosis and treatment. Gynecol. Oncol. 2008, 109, 129–139. [Google Scholar] [CrossRef]
- Wu, Q.; Lothe, R.A.; Ahlquist, T.; Silins, I.; Tropé, C.G.; Micci, F.; Nesland, J.M.; Suo, Z.; Lind, G.E. DNA methylation profiling of ovarian carcinomas and their in vitro models identifies HOXA9, HOXB5, SCGB3A1, and CRABP1 as novel targets. Mol. Cancer 2007, 6, 45. [Google Scholar] [CrossRef] [Green Version]
- Montavon, C.; Gloss, B.S.; Warton, K.; Barton, C.A.; Statham, A.L.; Scurry, J.P.; Tabor, B.; Nguyen, T.V.; Qu, W.; Samimi, G.; et al. Prognostic and diagnostic significance of DNA methylation patterns in high grade serous ovarian cancer. Gynecol. Oncol. 2012, 124, 582–588. [Google Scholar] [CrossRef]
- Singh, A.; Gupta, S.; Badarukhiya, J.A.; Sachan, M. Detection of aberrant methylation of HOXA9 and HIC1 through multiplex MethyLight assay in serum DNA for the early detection of epithelial ovarian cancer. Int. J. Cancer 2020, 147, 1740–1752. [Google Scholar] [CrossRef]
- Bhatlekar, S.; Fields, J.Z.; Boman, B.M. HOX genes and their role in the development of human cancers. J. Mol. Med. 2014, 92, 811–823. [Google Scholar] [CrossRef]
- Rusan, M.; Andersen, R.F.; Jakobsen, A.; Steffensen, K.D. Circulating HOXA9-methylated tumour DNA: A novel biomarker of response to poly (ADP-ribose) polymerase inhibition in BRCA-mutated epithelial ovarian cancer. Eur. J. Cancer 2020, 125, 121–129. [Google Scholar] [CrossRef]
- Thomsen, C.B.; Andersen, R.F.; Steffensen, K.D.; Adimi, P.; Jakobsen, A. Delta tocotrienol in recurrent ovarian cancer. A phase II trial. Pharmacol. Res. 2019, 141, 392–396. [Google Scholar] [CrossRef]
- McShane, L.M.; Altman, D.G.; Sauerbrei, W.; Taube, S.E.; Gion, M.; Clark, G.M. REporting recommendations for tumour MARKer prognostic studies (REMARK). Eur. J. Cancer 2005, 41, 1690–1696. [Google Scholar] [CrossRef] [PubMed] [Green Version]
- Simon, R.M.; Paik, S.; Hayes, D.F. Use of archived specimens in evaluation of prognostic and predictive biomarkers. J. Natl. Cancer Inst. 2009, 101, 1446–1452. [Google Scholar] [CrossRef] [PubMed] [Green Version]
- Eisenhauer, E.A.; Therasse, P.; Bogaerts, J.; Schwartz, L.H.; Sargent, D.; Ford, R.; Dancey, J.; Arbuck, S.; Gwyther, S.; Mooney, M.; et al. New response evaluation criteria in solid tumours: Revised RECIST guideline (version 1.1). Eur. J. Cancer 2009, 45, 228–247. [Google Scholar] [CrossRef] [PubMed]
- Rustin, G.J.S.; Vergote, I.; Eisenhauer, E.; Pujade-Lauraine, E.; Quinn, M.; Thigpen, T.; du Bois, A.; Kristensen, G.; Jakobsen, A.; Sagae, S.; et al. Definitions for Response and Progression in Ovarian Cancer Clinical Trials Incorporating RECIST 1.1 and CA 125 Agreed by the Gynecological Cancer Intergroup (GCIG). Int. J. Gynecol. Cancer 2011, 21, 419–423. [Google Scholar] [CrossRef]
- Wen, S.W.C.; Andersen, R.F.; Hansen, T.F.; Nyhus, C.H.; Hager, H.; Hilberg, O.; Jakobsen, A. The prognostic impact of circulating homeobox A9 methylated DNA in advanced non-small cell lung cancer. Transl. Lung Cancer Res. 2021, 10, 855–865. [Google Scholar] [CrossRef]
- Wen, S.W.C.; Andersen, R.F.; Petersen, L.M.S.; Hager, H.; Hilberg, O.; Jakobsen, A.; Hansen, T.F. Comparison of mutated kras and methylated HOXA9 tumor-specific dna in advanced lung adenocarcinoma. Cancers 2020, 12, 3728. [Google Scholar] [CrossRef]
- Pallisgaard, N.; Spindler, K.L.G.; Andersen, R.F.; Brandslund, I.; Jakobsen, A. Controls to validate plasma samples for cell free DNA quantification. Clin. Chim. Acta 2015, 446, 141–146. [Google Scholar] [CrossRef]
- Roperch, J.P.; Incitti, R.; Forbin, S.; Bard, F.; Mansour, H.; Mesli, F.; Baumgaertner, I.; Brunetti, F.; Sobhani, I. Aberrant methylation of NPY, PENK, and WIF1 as a promising marker for blood-based diagnosis of colorectal cancer. BMC Cancer 2013, 13, 566. [Google Scholar] [CrossRef] [Green Version]
- Clinical and Laboratory Standards Institute. Evaluation of Detection Capability for Clinical Laboratory Measurement Procedures; Approved Guideline-Second Edition, CLSI Document EP17-A2; Clinical and Laboratory Standards Institute: Wayne, PA, USA, 2012. [Google Scholar]
- Faaborg, L.; Fredslund Andersen, R.; Waldstrøm, M.; Høgdall, E.; Høgdall, C.; Adimi, P.; Jakobsen, A.; Dahl Steffensen, K. Analysis of HOXA9 methylated ctDNA in ovarian cancer using sense-antisense measurement. Clin. Chim. Acta 2021, 522, 152–157. [Google Scholar] [CrossRef]
- Werner, B.; Yuwono, N.; Duggan, J.; Liu, D.; David, C.; Srirangan, S.; Provan, P.; DeFazio, A.; Arora, V.; Farrell, R.; et al. Cell-free DNA is abundant in ascites and represents a liquid biopsy of ovarian cancer. Gynecol. Oncol. 2021, 162, 720–727. [Google Scholar] [CrossRef] [PubMed]
- Sharbatoghli, M.; Vafaei, S.; Aboulkheyr Es, H.; Asadi-Lari, M.; Totonchi, M.; Madjd, Z. Prediction of the treatment response in ovarian cancer: A ctDNA approach. J. Ovarian Res. 2020, 13, 124. [Google Scholar] [CrossRef] [PubMed]
- Merker, J.D.; Oxnard, G.R.; Compton, C.; Diehn, M.; Hurley, P.; Lazar, A.J.; Lindeman, N.; Lockwood, C.M.; Rai, A.J.; Schilsky, R.L.; et al. Circulating tumor DNA analysis in patients with cancer: American society of clinical oncology and college of American pathologists joint review. J. Clin. Oncol. 2018, 36, 1631–1641. [Google Scholar] [CrossRef] [PubMed]
- Oikkonen, J.; Zhang, K.; Salminen, L.; Schulman, I.; Lavikka, K.; Andersson, N.; Ojanperä, E.; Hietanen, S.; Grénman, S.; Lehtonen, R.; et al. Prospective Longitudinal ctDNA Workflow Reveals Clinically Actionable Alterations in Ovarian Cancer. JCO Precis. Oncol. 2019, 3, 1–12. [Google Scholar] [CrossRef] [PubMed]
- Sozzi, G.; Roz, L.; Conte, D.; Mariani, L.; Andriani, F.; Verderio, P.; Pastorino, U. Effects of prolonged storage of whole plasma or isolated plasma DNA on the results of circulating DNA quantification assays. J. Natl. Cancer Inst. 2005, 97, 1848–1850. [Google Scholar] [CrossRef] [Green Version]
- Thompson, J.C.; Carpenter, E.L.; Silva, B.A.; Rosenstein, J.; Chien, A.L.; Quinn, K.; Espenschied, C.R.; Mak, A.; Kiedrowski, L.A.; Lefterova, M.; et al. Serial Monitoring of Circulating Tumor DNA by Next-Generation Gene Sequencing as a Biomarker of Response and Survival in Patients With Advanced NSCLC Receiving Pembrolizumab-Based Therapy. JCO Precis. Oncol. 2021, 5, 510–524. [Google Scholar] [CrossRef]
- Jia, N.; Sun, Z.; Gao, X.; Cheng, Y.; Zhou, Y.; Shen, C.; Chen, W.; Wang, X.; Shi, R.; Li, N.; et al. Serial monitoring of circulating tumor DNA in patients with metastatic colorectal cancer to predict the therapeutic response. Front. Genet. 2019, 10, 470. [Google Scholar] [CrossRef] [Green Version]
- Provencio, M.; Serna-Blasco, R.; Franco, F.; Calvo, V.; Royuela, A.; Auglytė, M.; Sánchez-Hernández, A.; de Julián Campayo, M.; García-Girón, C.; Dómine, M.; et al. Analysis of circulating tumour DNA to identify patients with epidermal growth factor receptor–positive non-small cell lung cancer who might benefit from sequential tyrosine kinase inhibitor treatment. Eur. J. Cancer 2021, 149, 61–72. [Google Scholar] [CrossRef]


| Variable | All Patients (n = 126) | Detectable Meth-HOXA9 (n = 83) | Undetectable Meth-HOXA9 (n = 43) | p-Value | 
|---|---|---|---|---|
| Age, mean (range) | 68 (38–92) | 69 (47–92) | 65 (38–80) | 0.021 | 
| FIGO stage at diagnosis | ||||
| I | 4 (3.2%) | 2 (2.4%) | 2 (4.7%) | |
| II | 4 (3.2%) | 2 (2.4%) | 2 (4.7%) | |
| III | 41 (32.5%) | 25 (30.1%) | 16 (37.2%) | |
| IV | 77 (61.1%) | 54 (65.1%) | 23 (53.5%) | 0.524 | 
| Histology | ||||
| Low-grade serous | 7 (5.6%) | 4 (4.8%) | 3 (7.0%) | |
| High-grade serous | 108 (85.7%) | 72 (86.7%) | 36 (83.7) | |
| Endometrioid | 4 (3.2%) | 3 (3.6%) | 1 (2.3%) | |
| Mucinous | 3 (2.4%) | 2 (2.4%) | 1 (2.3%) | |
| Clear cell | 2 (1.6%) | 1 (1.2%) | 1 (2.3%) | |
| Other | 2 (1.6%) | 1 (1.2%) | 1 (2.3%) | 0.851 | 
| CA125 (kUI/L), mean (range) | 1220 (6–30,072) | 1656 (6–30,072) | 405 (11–3600) | 0.003 | 
| Previous lines of chemotherapy | ||||
| 1 | 63 (50.0%) | 36 (43.4%) | 27 (62.8%) | |
| 2–3 | 49 (38.9%) | 36 (43.4%) | 13 (30.2%) | |
| 4–5 | 14 (11.1%) | 11 (13.3%) | 3 (7.0%) | 0.111 | 
| Platinum sensitive | ||||
| Yes | 49 (38.9%) | 30 (36.1%) | 19 (44.2%) | |
| No | 77 (61.1%) | 53 (63.9%) | 24 (55.8%) | 0.38 | 
| Treatment regimen | ||||
| Carboplatin | 21 (16.7%) | 15 (18.1%) | 6 (14.0%) | |
| Carboplatin + Liposomal Doxorubicin | 27 (21.4%) | 14 (16.9%) | 13 (30.2%) | |
| Carboplatin + Paclitaxel | 1 (0.79%) | 1 (1.2%) | 0 (0.0%) | |
| Liposomal Doxorubicin | 25 (19.4%) | 11 (13.3%) | 14 (32.6%) | |
| Topotecan | 29 (23.0%) | 22 (26.5%) | 7 (16.3%) | |
| Treosulfan | 14 (11.1%) | 13 (15.7%) | 1 (2.3%) | |
| Paclitaxel (weekly) | 4 (3.2%) | 3 (3.6%) | 1 (2.3%) | |
| Gemcitabine | 3 (2.4%) | 2 (2.4%) | 1 (2.3%) | |
| Vinorelbine | 1 (0.79%) | 1 (1.2%) | 0 (0.0%) | |
| Bevacizumab (monotherapy) | 1 (0.79%) | 1 (1.2%) | 0 (0.0%) | 0.04 | 
| Performance status | ||||
| 0–1 | 98 (77.8%) | 63 (75.9%) | 35 (81.4%) | |
| 2 | 28 (22.2%) | 20 (24.1%) | 8 (18.6%) | 0.482 | 
| BRCA 1/2 status | ||||
| BRCA 1 positive | 18 (14.3%) | 13 (15.7%) | 5 (11.6%) | |
| BRCA 2 positive | 5 (4.0%) | 4 (4.8%) | 1 (2.3%) | |
| BRCA 1/2 negative | 75 (59.5%) | 49 (59.0%) | 26 (60.5%) | |
| Unknown BRCA status | 28 (22.2%) | 17 (20.5%) | 11 (25.6%) | 0.812 | 
| BMI, mean (range) | 25 (16–44) | 25 (16–44) | 26 (20–42) | 0.125 | 
| Variable | OS, Baseline (n = 126) | OS, Second Treatment Cycle 2 (n = 114) | OS After Three Treatment Cycles (at Response Evaluation, n = 100) | |||
|---|---|---|---|---|---|---|
| HR (95% CI) | p-Value | HR (95% CI) | p-Value | HR (95% CI) | p-Value | |
| Meth-HOXA9 status | ||||||
| Undetectable | Reference | Reference | Reference | |||
| Detectable | 1.89 (1.18–3.01) | 0.008 | 2.99 (1.73–5.18) | <0.001 | 2.17 (1.18–3.98) | 0.013 | 
| Performance status | ||||||
| 0–1 | Reference | Reference | Reference | |||
| 2 | 3.16 (1.93–5.20) | <0.001 | 2.56 (1.41–4.65) | 0.002 | 2.73 (1.36–5.48) | 0.005 | 
| Platinum sensitive | ||||||
| No | Reference | Reference | Reference | |||
| Yes | 0.44 (0.26–0.73) | 0.002 | 0.51 (0.29–0.88) | 0.015 | 0.72 (0.40–1.29) | 0.270 | 
| Previous lines of chemotherapy | ||||||
| 1–3 | Reference | Reference | Reference | |||
| 4–5 | 2.68 (1.40–5.15) | 0.003 | 3.30 (1.56–6.98) | 0.002 | 3.52 (1.47–8.41) | 0.005 | 
| CA125 (kUI/L), at baseline | ||||||
| >500 kUI/L | Reference | Reference | Reference | |||
| ≤500 kUI/L | 0.74 (0.47–1.16) | 0.185 | 0.92 (0.56–1.52) | 0.747 | 0.82 (0.47–1.42) | 0.477 | 
| Time of Evaluation | Meth-HOXA9 Increase | Meth-HOXA9 Decrease | Meth-HOXA9 Stable | Meth-HOXA9 Becomes Undetectable | Meth-HOXA9 Remains Undetectable | p-Value | ||
|---|---|---|---|---|---|---|---|---|
| From baseline to 2nd treatment cycle (n = 114) | 17 (14.9%) | 25 (21.9%) | 38 (33.3%) | 6 (5.3%) | 28 (24.6%) | <0.001 | ||
| OS; from treatment start | 5.3 months | 11.9 months | 33.0 months | |||||
| From 2nd to 3rd treatment cycle (n = 99) | 14 (14.1%) | 4 (4.0%) | 51 (51.5%) | 2 (2.0%) | 28 (28.3%) | <0.001 | ||
| OS; from second treatment cycle | 5.5 months | 10.8 months | 29.1 months | |||||
| From 3rd treatment cycle to evaluation (n = 89) | 12 (13.5%) | 6 (6.7%) | 40 (44.9%) | 5 (5.6%) | 26 (29.2%) | 0.050 | ||
| OS; from third treatment cycle | 5.5 months | 12.1 months | 24.7 months | 
| Publisher’s Note: MDPI stays neutral with regard to jurisdictional claims in published maps and institutional affiliations. | 
© 2022 by the authors. Licensee MDPI, Basel, Switzerland. This article is an open access article distributed under the terms and conditions of the Creative Commons Attribution (CC BY) license (https://creativecommons.org/licenses/by/4.0/).
Share and Cite
Faaborg, L.; Andersen, R.F.; Waldstrøm, M.; Henriksen, J.R.; Adimi, P.; Jakobsen, A.; Steffensen, K.D. Prognostic Impact of Circulating Methylated Homeobox A9 DNA in Patients Undergoing Treatment for Recurrent Ovarian Cancer. Cancers 2022, 14, 1766. https://doi.org/10.3390/cancers14071766
Faaborg L, Andersen RF, Waldstrøm M, Henriksen JR, Adimi P, Jakobsen A, Steffensen KD. Prognostic Impact of Circulating Methylated Homeobox A9 DNA in Patients Undergoing Treatment for Recurrent Ovarian Cancer. Cancers. 2022; 14(7):1766. https://doi.org/10.3390/cancers14071766
Chicago/Turabian StyleFaaborg, Louise, Rikke Fredslund Andersen, Marianne Waldstrøm, Jon Røikjær Henriksen, Parvin Adimi, Anders Jakobsen, and Karina Dahl Steffensen. 2022. "Prognostic Impact of Circulating Methylated Homeobox A9 DNA in Patients Undergoing Treatment for Recurrent Ovarian Cancer" Cancers 14, no. 7: 1766. https://doi.org/10.3390/cancers14071766
APA StyleFaaborg, L., Andersen, R. F., Waldstrøm, M., Henriksen, J. R., Adimi, P., Jakobsen, A., & Steffensen, K. D. (2022). Prognostic Impact of Circulating Methylated Homeobox A9 DNA in Patients Undergoing Treatment for Recurrent Ovarian Cancer. Cancers, 14(7), 1766. https://doi.org/10.3390/cancers14071766
 
         
                                                


 
       