Total Psoas Area and Total Muscular Parietal Area Affect Long-Term Survival of Patients Undergoing Pneumonectomy for Non-Small Cell Lung Cancer
Abstract
Simple Summary
Abstract
1. Introduction
2. Material and Methods
2.1. Patients
2.2. Collected Data
2.3. CT Scan
2.4. Sarcopenia
2.5. Statistical Analysis
3. Results
3.1. Patient Population
3.2. Morphometric Measurements
3.3. Outcome
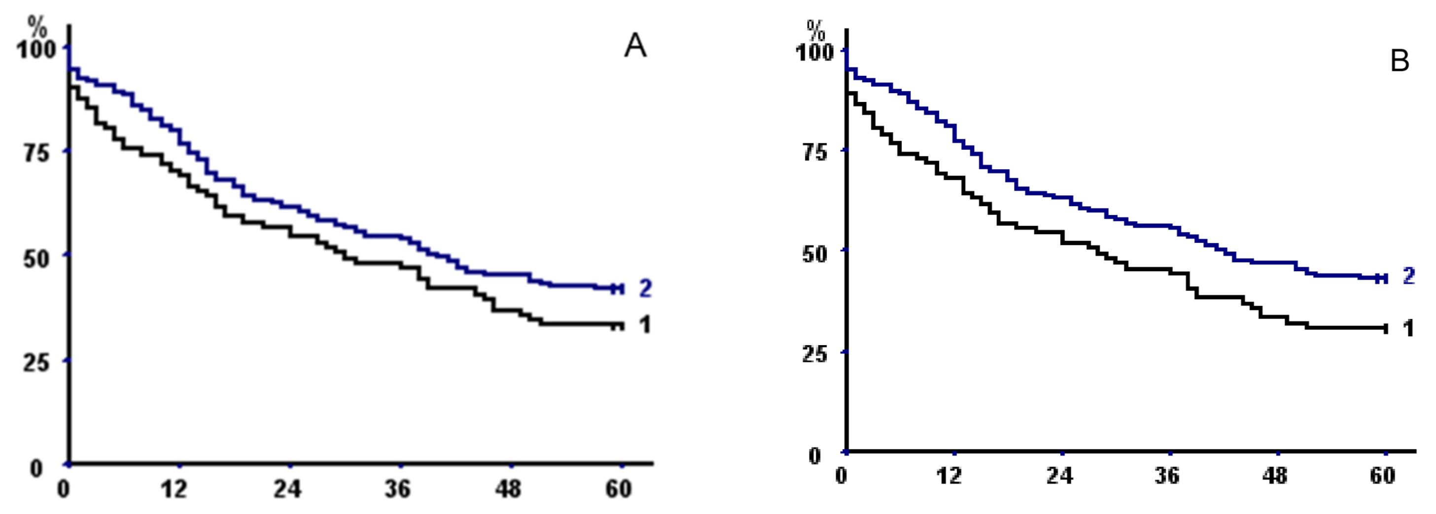
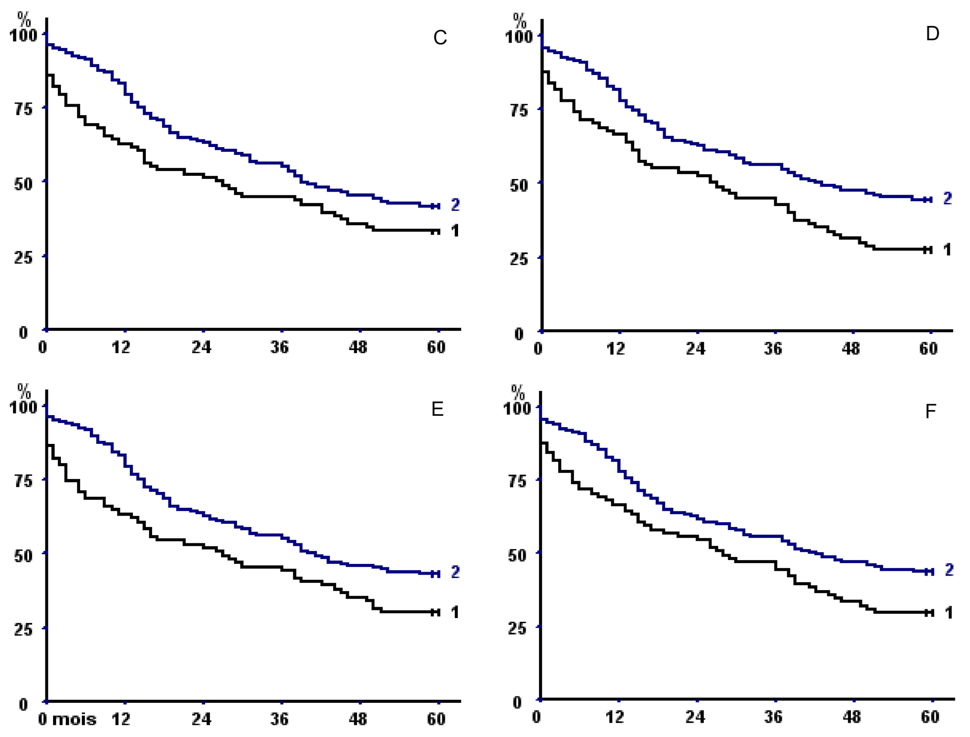
3.4. Long-Term Survivors
3.5. Fat: Exploratory Analysis
3.6. The Impact of Postoperative Complications on Long-Term Outcome
4. Discussion
4.1. Mechanisms
4.2. Limitations
Author Contributions
Funding
Institutional Review Board Statement
Informed Consent Statement
Data Availability Statement
Conflicts of Interest
Abbreviations
| ADK | adenocarcinoma |
| ARDS | acute respiratory distress syndrome |
| ARF | acute respiratory failure |
| CCI | Charlson Comorbidity Index |
| COPD | chronic obstructive pulmonary disease |
| CT | computed tomography |
| FEV1 | forced expiratory volume |
| FVC | forced vital capacity |
| MV | mechanic ventilation |
| PPO FEV1 | predictive postoperative FEV1 |
| TMA | total muscle area |
| TPA | total psoas area |
| TPMA | total parietal muscle area |
| SCC | squamous cell carcinoma |
| SD | standard deviation |
| SMI | skeletal muscle index |
References
- Sugarbaker, D.J.; Haywood-Watson, R.J.; Wald, O. Pneumonectomy for Non-Small Cell Lung Cancer. Surg. Oncol. Clin. N. Am. 2016, 25, 533–551. [Google Scholar] [CrossRef] [PubMed]
- Alifano, M.; Cusumano, G.; Strano, S.; Magdeleinat, P.; Bobbio, A.; Giraud, F.; Lebeau, B.; Regnard, J.-F. Lobectomy with pulmonary artery resection: Morbidity, mortality, and long-term survival. J. Thorac. Cardiovasc. Surg. 2009, 137, 1400–1405. [Google Scholar] [CrossRef] [PubMed][Green Version]
- Janet-Vendroux, A.; Loi, M. Which is the Role of Pneumonectomy in the Era of Parenchymal-Sparing Procedures? Early/Long-Term Survival and Functional Results of a Single-Center Experience. Lung 2015, 193, 965–973. [Google Scholar] [CrossRef] [PubMed]
- Blanc, K.; Dechartres, A.; Zaimi, R.; Lefebvre, A.; Janet-Vendroux, A.; Fournel, L.; Dermine, H.; Lorut, C.; Becanne, X.; Hamelin-Canny, E.; et al. Patients experiencing early acute respiratory failure have high postoperative mortality after pneumonectomy. J. Thorac. Cardiovasc. Surg. 2018, 156, 2368–2376. [Google Scholar] [CrossRef]
- Blanc, K.; Zaimi, R.; Dechartres, A.; Lefebvre, A.; Janet-Vendroux, A.; Hamelin-Canny, E.; Roche, N.; Alifano, M.; Rabbat, A. Early acute respiratory distress syndrome after pneumonectomy: Presentation, management, and short- and long-term outcomes. J. Thorac. Cardiovasc. Surg. 2018, 156, 1706–1714.e5. [Google Scholar] [CrossRef] [PubMed]
- Daffrè, E.; Prieto, M. Normalized pulmonary artery diameter predicts occurrence of postpneumonectomyrespiratory failure, ARDS and mortality. Cancers 2020, 12, 1515. [Google Scholar] [CrossRef] [PubMed]
- Detterbeck, F.C.; Postmus, P.E.; Tanoue, L.T. The Stage Classification of Lung Cancer: Diagnosis and Management of Lung Cancer, American College of Chest Physicians evidence-based clinical practice guidelines. Chest 2013, 143 (Suppl. 5), e191S–e210S. [Google Scholar] [CrossRef]
- Hervochon, R.; Bobbio, A. Body Mass Index and Total Psoas Area Affect Outcomes in Patients Undergoing Pneumonectomy for Cancer. Ann. Thorac. Surg. 2017, 103, 287–295. [Google Scholar] [CrossRef]
- Icard, P.; Iannelli, A. Sarcopenia in resected non-small cell lung cancer: Let’s move to patient-directed strategies. J. Thorac. Dis. 2018, 10 (Suppl. 26), S3138–S3142. [Google Scholar] [CrossRef]
- Cruz-Jentoft, A.J.; Bahat, G. Sarcopenia: Revised European consensus on definition and diagnosis. Age Ageing. 2019, 48, 16–31. [Google Scholar] [CrossRef]
- Martini, K.; Chassagnon, G.; Fournel, L.; Prieto, M.; Hoang-Thi, T.-N.; Halm, N.; Bobbio, A.; Revel, M.-P.; Alifano, M. Sarcopenia as independent risk factor of postpneumonectomy respiratory failure, ARDS and mortality. Lung Cancer 2020, 149, 130–136. [Google Scholar] [CrossRef]
- Foldyna, B.; Troschel, F.M.; Addison, D.; Fintelmann, F.J.; Elmariah, S.; Furman, D.; Eslami, P.; Ghoshhajra, B.; Lu, M.T.; Murthy, V.L.; et al. Computed tomography-based fat and muscle characteristics are associated with mortality after transcatheter aortic valve replacement. J. Cardiovasc. Comput. Tomogr. 2018, 12, 223–228. [Google Scholar] [CrossRef]
- Icard, P.; Schussler, O.; Loi, M.; Bobbio, A.; Lupo, A.M.; Wislez, M.; Iannelli, A.; Fournel, L.; Damotte, D.; Alifano, M. Pre-Disease and Pre-Surgery BMI, Weight Loss and Sarcopenia Impact Survival of Resected Lung Cancer Independently of Tumor Stage. Cancers 2020, 12, 266. [Google Scholar] [CrossRef]
- Goldstraw, P.; Chansky, K.; Crowley, J.; Rami-Porta, R.; Asamura, H.; Eberhardt, W.E.; Nicholson, A.G.; Groome, P.; Mitchell, A.; Bolejack, V.; et al. The IASLC Lung Cancer Staging Project: Proposals for Revision of the TNM Stage Groupings in the Forthcoming (Eighth) Edition of the TNM Classification for Lung Cancer. J. Thorac. Oncol. 2016, 11, 39–51. [Google Scholar] [CrossRef]
- Available online: https://www.insee.fr (accessed on 25 March 2021).
- Hasselager, R.; Gögenur, I.; Hasselager, R. Core muscle size assessed by perioperative abdominal CT scan is related to mortality, postoperative complications, and hospitalization after major abdominal surgery: A systematic review. Langenbecks Arch. Surg. 2014, 399, 287–295. [Google Scholar] [CrossRef]
- Suzuki, Y.; Okamoto, T.; Fujishita, T.; Katsura, M.; Akamine, T.; Takamori, S.; Morodomi, Y.; Tagawa, T.; Shoji, F.; Maehara, Y. Clinical implications of sarcopenia in patients undergoing complete resection for early non-small cell lung cancer. Lung Cancer 2016, 101, 92–97. [Google Scholar] [CrossRef]
- Madariaga, M.L.L.; Troschel, F.M.; Best, T.D.; Knoll, S.J.; Gaissert, H.A.; Fintelmann, F.J. Low Thoracic Skeletal Muscle Area Predicts Morbidity After Pneumonectomy for Lung Cancer. Ann. Thorac. Surg. 2020, 109, 907–913. [Google Scholar] [CrossRef]
- Alifano, M.; Mansuet-Lupo, A. Systemic inflammation, nutritional status and tumor immune microenvironment determine outcome of resected non-small cell lung cancer. PLoS ONE 2014, 9, e106914. [Google Scholar] [CrossRef]
- Jagoe, R.T.; Redfern, C.P.F.; Roberts, R.G.; Gibson, G.J.; Goodship, T.H.J. Skeletal muscle mRNA levels for cathepsin B, but not components of the ubiquitin‒proteasome pathway, are increased in patients with lung cancer referred for thoracotomy. Clin. Sci. 2002, 102, 353. [Google Scholar] [CrossRef]
- Argilés, J.M.; Busquets, S.; Stemmler, B.; López-Soriano, F.J. Cancer cachexia: Understanding the molecular basis. Nat. Rev. Cancer 2014, 14, 754–762. [Google Scholar] [CrossRef]
- Taguchi, S.; Akamatsu, N.; Nakagawa, T.; Gonoi, W.; Kanatani, A.; Miyazaki, H.; Fujimura, T.; Fukuhara, H.; Kume, H.; Homma, Y. Sarcopenia Evaluated Using the Skeletal Muscle Index Is a Significant Prognostic Factor for Metastatic Urothelial Carcinoma. Clin. Genitourin. Cancer 2016, 14, 237–243. [Google Scholar] [CrossRef]






| Features | Total Sample = 238 |
|---|---|
| Age | 63 ± 10.3 |
| Sex: Men/Women | 169 (71%)/69 (29%) |
| Current/Never Smokers (n = 237) | 217 (91.6%)/20 (8.4%) |
| Cumulative Tobacco Consumption (Pack/Years) (n = 220) | 40.0 (30.0–53.8) |
| Right/Left side | 108 (45.4%)/130 (54.6%) |
| Weight (kg) | 70.4 ± 13.8 |
| Height (cm) | 169 ± 9.2 |
| BMI (kg/m2) | 24.7 ± 4.2; median 25 |
| Obesity | 30 (12.8%) |
| Underweight/Normal Weight/Overweight | 204 (87.2%) |
| Diabetes, Yes/No (n = 235) | 20 (8.5%)/215 (91.5%) |
| Hypertension, Yes/No (n = 235) | 83 (35.3%)/152 (64.7%) |
| Ischemic Heart Disease, Yes/No (n = 235) | 41 (17.5%)/194 (82.5%) |
| Charlson Comorbidity Index (n = 216) | 5.2 ± 1.8; median 5.0 |
| Baseline Modified Borg Dyspnea Scale >2 (n = 237) Yes/No | 43 (18.1%)/194 (81.9%) |
| FEV1 (% of predicted) (n = 237) | 78.7 ± 17.4 |
| FEV1/FVC ratio (n = 234) | 70.9 ± 13.1 |
| Predictive Postoperative FEV1 (ppoFEV1) (n = 182) | 50.37 ± 11.37 |
| KCO (% of predicted) (n = 100) | 79.9 ± 22.3 |
| Induction Chemotherapy Yes/No (n = 235) | 71 (30.2%)/164 (69.8%) |
| Induction Radiotherapy Yes/No (n = 235) | 4 (1.7%)/231 (98.3%) |
| Histology (n = 238): | |
| Adenocarcinoma | 76 (31.9%) |
| No-Adenocarcinoma | 162 (68.1%) |
| Pathologic stage (n = 238) | |
| 0 | 1 (0.4%) |
| I | 19 (8%) |
| II | 54 (22.7%) |
| III | 155 (65.1%) |
| IV | 9 (3.4%) |
| pT (n = 237) | |
| T0 | 2 (0.8%) |
| T1 | 23 (9.7%) |
| T2 | 63 (26.6%) |
| T3 | 97 (40.9%) |
| T4 | 52 (21.9%) |
| pN (n = 238) | |
| N0 | 54 (22.7%) |
| N1 | 95 (39.9%) |
| N2 | 89 (37.4%) |
| pM (n = 238) | |
| Mx | 1 (0.4%) |
| M0 | 228 (95.8%) |
| M1 | 9 (3.8%) |
| Overall (Mean ± SD) | Men (Mean ± SD) | Women (Mean ± SD) | p-Value | |
|---|---|---|---|---|
| Muscle areas (cm2) | ||||
| Total psoas area at L3 | 16.6 ± 5.3 | 18.5 ± 4.8 | 11.9 ± 2.7 | <0.0000001 |
| 33rd percentile | 14 | 16.2 | 10.6 | |
| Total parietal muscle area at L3 | 131.8 ± 29.9 | 143.6 ± 25.6 | 103.0 ± 17.6 | <0.0000001 |
| 33rd percentile | 114.2 | 134.5 | 98.2 | |
| Total muscle area at L3 | 148.4 ± 34.0 | 162.1 ± 28.8 | 114.9 ± 19.1 | <0.0000001 |
| 33rd percentile | 127.7 | 151.6 | 109.2 | |
| Muscle area with fat exclusion (cm2) | ||||
| Psoas area at L3 with fat exclusion | 15.9 ± 5.1 | 17.7 ± 4.8 | 11.5 ± 2.7 | <0.0000001 |
| 33rd percentile | 13.8 | 15.6 | 10.4 | |
| Parietal area at L3 with fat exclusion | 118.0 ± 26.5 | 128.8 ± 22.5 | 91.5 ± 13.9 | <0.0000001 |
| 33rd percentile | 101.6 | 120.3 | 87 | |
| Total muscle area at L3 with fat exclusion | 133.9 ± 30.5 | 146.5 ± 25.8 | 103.0 ± 15.6 | <0.0000001 |
| 33rd percentile | 115.6 | 136.7 | 97.6 | |
| Skeletal muscle index, SMI (cm2/m2) | ||||
| SMI—psoas area at L3 with fat exclusion | 5.5 ± 1.6 | 6.0 ± 1.6 | 4.5 ± 1.1 | <0.0000001 |
| SMI—total psoas area at L3 | 5.8 ± 1.6 | 6.2 ± 1.6 | 4.6 ± 1.1 | <0.0000001 |
| SMI—parietal area at L3 with fat exclusion | 41.2 ± 8.1 | 43.5 ± 8.0 | 35.4 ± 4.7 | <0.0000001 |
| SMI—total parietal muscle area at L3 | 46.0 ± 9.2 | 48.5 ± 9.0 | 39.9 ± 6 | <0.0000001 |
| SMI—total muscle area at L3 with fat exclusion | 46.7 ± 9.2 | 49.4 ± 9.0 | 39.9 ± 5.4 | <0.0000001 |
| 33rd percentile | 41.8 | 45.5 | 37.5 | |
| SMI—total muscle area at L3 | 51.8 ± 10.3 | 54.7 ± 10.1 | 44.5 ± 6.8 | <0.0000001 |
| 33rd percentile | 46.7 | 50 | 41 | |
| Sarcopenia on psoas and parietal muscle | 47 | 36 | 11 | 0.35 |
| Sarcopenia either psoas or parietal + neither psoas and parietal | 191 | 133 | 58 | |
| Sarcopenia on psoas and parietal muscle with fat exclusion | 49 | 36 | 13 | 0.67 |
| Sarcopenia either psoas or parietal with fat exclusion + neither psoas and parietal with fat exclusion | 189 | 133 | 56 |
| Features | Psoas Sarcopenia | p-Value | Parietal Muscle Sarcopenia | p-Value | Total Muscle Area Sarcopenia | p-Value | Sarcopenia of Both Psoas and Parietal Muscles | p-Value | ||||
|---|---|---|---|---|---|---|---|---|---|---|---|---|
| Yes | No | Yes | No | Yes | No | Yes | No | |||||
| Age | 65.8 ± 9.2 | 61.5 ± 10.5 | 0.0015 | 66.9 ± 10.7 | 61.1 ± 9.6 | 0.000046 | 66.8 ± 10.9 | 61.1 ± 9.4 | 0.0000048 | 67.7 ± 9.0 | 61.8 ± 10.3 | 0.00023 |
| Men | 58 (71.6%) | 111 (70.7%) | 0.88 | 55 (70.5%) | 114 (71.3%) | 0.91 | 55 (69.6%) | 114 (71.7%) | 0.74 | 36 (76.6%) | 133 (69.6%) | 0.35 |
| Women | 23 (28.4%) | 46 (29.3%) | 23 (29.5%) | 46 (28.8%) | 24 (30.4%) | 45 (28.3%) | 11 (23.4%) | 58 (30.4%) | ||||
| Smokers (n = 291) | ||||||||||||
| Yes | 23 (31.1%) | 33 (22.8%) | 0.18 | 18 (25.8%) | 38 (25.5%) | 0.97 | 20 (28.2%) | 36 (24.3%) | 0.54 | 13 (31%) | 43 (24.3%) | 0.37 |
| No | 51 (68.9%) | 112 (77.2%) | 52 (74.3%) | 111 (74.5%) | 51 (71.8%) | 112 (75.7%) | 29 (69.1%) | 134 (75.7%) | ||||
| Cumulative tobacco consumption | 43.6 ± 22.1 | 43.6 ± 22.2 | 0.82 | 42.5 ± 23 | 44.1 ± 21.7 | 0.54 | 42.7 ± 23.0 | 44.1 ± 21.7 | 0.55 | 47.0 ± 23.8 | 42.9 ± 21.7 | 0.32 |
| (Pack/Years) (n = 291) | ||||||||||||
| Right side | 35 (43.2%) | 73 (46.5%) | 0.63 | 43 (55.1%) | 65 (40.6%) | 0.035 | 44 (55.7%) | 64 (40.3%) | 0.024 | 24 (51.1%) | 84 (44%) | 0.38 |
| Left side | 46 (56.8%) | 84 (53.5%) | 35 (44.9%) | 95 (59.4%) | 35 (44.3%) | 95 (59.7%) | 23 (48.9%) | 107 (56%) | ||||
| Weight (kg) | 63.6 ± 10.4 | 73.9 ± 14 | <0.0000001 | 61.6 ± 11 | 74.7 ± 12.9 | <0.0000001 | 60.8 ± 9.8 | 75.2 ± 12.9 | <0.0000001 | 60.2 ± 10 | 72.9 ± 13.4 | <0.0000001 |
| Height (cm) | 169.1 ± 8.5 | 168.9 ± 9.5 | 0.75 | 166.8 ± 9.7 | 170.1 ± 8.7 | 0.036 | 166.5 ± 9.5 | 170.2 ± 8.8 | 0.013 | 169.1 ± 9.0 | 168.9 ± 9.2 | 0.74 |
| BMI (kg/m2) | 22.5 ± 3.6 | 25.8 ± 4.1 | <0.0000001 | 22.3 ± 3.8 | 25.8 ± 3.9 | <0.0000001 | 22.1 ± 3.5 | 25.9 ± 3.9 | <0.0000001 | 21.2 ± 3.4 | 25.4 ± 4.0 | <0.0000001 |
| Obesity | ||||||||||||
| Yes | 2 (2.5%) | 28 (18.2%) | 0.00067 | 2 (2.6%) | 28 (17.8%) | 0.0011 | 1 (1.28%) | 29 (18.6%) | 0.00019 | 0 | 30 (16.0%) | 0.0037 |
| No | 78 (97.5%) | 126 (81.8%) | 75 (97.4%) | 129 (82.2%) | 77 (98.7%) | 127 (81.4%) | 46 (100%) | 158 (84.0%) | ||||
| Diabetes (n = 235) | ||||||||||||
| Yes | 8 (10%) | 12 (7.7%) | 0.56 | 7 (9.3%) | 13 (8.1%) | 0.76 | 7 (9.2%) | 13 (8.2%) | 0.79 | 5 (10.9%) | 15 (7.9%) | 0.73 |
| No | 72 (90%) | 143 (92.3%) | 68 (90.7%) | 147 (91.9%) | 69 (90.8%) | 146 (91.8%) | 41 (89.1%) | 174 (92.1%) | ||||
| Hypertension (n = 235) | ||||||||||||
| Yes | 31 (38.6%) | 52 (33.6%) | 0.43 | 32 (42.7%) | 51 (31.9%) | 0.11 | 33 (43.4%) | 50 (31.5%) | 0.072 | 17 (37%) | 66 (34.9%) | 0.8 |
| No | 49 (61.6%) | 103 (66.5%) | 43 (57.3%) | 109 (68.1%) | 43 (56.6%) | 109 (68.5%) | 29 (63%) | 123 (65.1%) | ||||
| Ischemic heart disease (n = 235) | ||||||||||||
| Yes | 17 (21.2%) | 24 (15.5%) | 0.27 | 15 (20%) | 26 (16.3%) | 0.48 | 16 (21.1%) | 25 (15.7%) | 0.31 | 10 (21.7%) | 31 (16.4%) | 0.39 |
| No | 63 (78.8%) | 131 (84.5%) | 60 (80%) | 134 (83.7%) | 60 (78.9%) | 134 (84.3%) | 36 (78.3%) | 158 (83.6%) | ||||
| Charlson Comorbidity Index (n = 216) | 5.5 ± 1.7 | 5 ± 1.8 | 0.036 | 5.6 ± 1.9 | 4.9 ± 1.7 | 0.015 | 5.6 ± 1.8 | 4.9 ± 1.7 | 0.0073 | 5.8 ± 1.7 | 5.0 ± 1.8 | 0.011 |
| Baseline Modified Borg Dyspnea Scale >2 (n = 237) | ||||||||||||
| Yes | 19 (23.8%) | 24 (15.3%) | 0.11 | 15 (19.5%) | 28 (17.5%) | 0.71 | 16 (20.5%) | 27 (17%) | 0.51 | 11 (23.9%) | 32 (16.7%) | 0.26 |
| No | 61 (76.2%) | 133 (84.7%) | 62 (80.5%) | 132 (82.5%) | 62 (78.5%) | 132 (83%) | 35 (76.1%) | 159 (83.3%) | ||||
| FEV1 (% of predicted) (n = 237) | 77.4 ± 18.4 | 79.3 ± 16.8 | 0.45 | 75.1 ± 16.8 | 80.4 ± 17.4 | 0.026 | 75.2 ± 17.4 | 80.4 ± 17.1 | 0.029 | 74.1 ± 18.0 | 79.8 ± 17.0 | 0.051 |
| FEV1/FVC ratio (n = 234) | 69.7 ± 13.1 | 71.5 ± 13.0 | 0.31 | 71.7 ± 14.4 | 70.4 ± 12.3 | 0.52 | 71.7 ± 14.5 | 70.4 ± 12.3 | 0.51 | 68.2 ± 13.6 | 71.5 ± 12.8 | 0.12 |
| Predictive postoperative FEV1 (ppoFEV1) (n = 182) | 50.6 ± 9.3 | 50.3 ± 12.3 | 0.41 | 50.4 ± 10.9 | 50.4 ± 11.6 | 0.79 | 50.1 ± 10.7 | 50.5 ± 11.6 | 0.86 | 50.3 ± 9.5 | 50.4 ± 11.7 | 0.68 |
| KCO (% of predicted) (n = 100) | 78.8 ± 28.8 | 80.5 ± 17.8 | 0.091 | 79.0 ± 25.2 | 80.4 ± 20.5 | 0.28 | 79.3 ± 25.4 | 80.2 ± 20.3 | 0.33 | 77.3 ± 30.4 | 80.5 ± 19.5 | 0.059 |
| Induction chemotherapy (n = 235) | ||||||||||||
| Yes | 21 (26.3%) | 50 (32.3%) | 0.34 | 21 (28.0%) | 50 (31.3%) | 0.61 | 23 (30.3%) | 48 (30.2%) | 0.99 | 9 (19.6%) | 62 (32.8%) | 0.079 |
| No | 59 (73.7%) | 105 (67.7%) | 54 (72.0%) | 110 (68.7%) | 53 (69.7%) | 111 (69.8%) | 37 (80.4%) | 127 (67.2%) | ||||
| Induction radiotherapy (n = 235) | ||||||||||||
| Yes | 0 | 4 (2.6%) | 0.36 | 0 | 4 (2.5%) | 0.4 | 0 | 4 (2.5%) | 0.39 | 0 | 4 (2.1%) | 0.72 |
| No | 80 (100%) | 141 (97.4%) | 75 (100%) | 156 (97.5%) | 76 (100%) | 155 (97.5%) | 46 (100%) | 185 (97.9%) | ||||
| Histology (n = 238): | ||||||||||||
| Adenocarcinoma | 19 (23.5%) | 57 (36.3%) | 0.37 | 22 (28.2%) | 54 (33.8%) | 0.89 | 23 (29.1%) | 53 (33.3%) | 0.97 | 8 (17.0%) | 68 (35.6%) | 0.17 |
| No-Adenocarcinoma | 62 (76.5%) | 100 (63.7%) | 56 (71.8%) | 106 (66.2%) | 56 (70.9%) | 106 (66.7%) | 39 (8.5%) | 123 (7.3%) | ||||
| Pathologic stage (n = 238) | ||||||||||||
| 0 | - | 1 (0.6%) | - | 1 (0.6%) | 0.45 | - | 1 (0.6%) | 0.36 | - | 1 (0.5%) | 0.63 | |
| I | 10 (12.3%) | 9 (5.7%) | 0.38 | 9 (11.5%) | 10 (6.3%) | 9 (11.4%) | 10 (6.3%) | 7 (14.9%) | 12 (6.3%) | |||
| II | 19 (23.5%) | 35 (22.3%) | 16 (20.5%) | 38 (23.8%) | 20 (25.3%) | 34 (21.4%) | 10 (21.3%) | 44 (23.0%) | ||||
| III | 50 (61.7%) | 105 (66.9%) | 52 (66.7%) | 103 (64.4%) | 49 (62.0%) | 106 (66.7%) | 29 (61.7%) | 126 (66.0%) | ||||
| IV | 2 (2.5%) | 7 (4.5%) | 1 (1.3%) | 8 (5.0%) | 1 (1.3%) | 8 (5.0%) | 1 (2.1%) | 8 (4.2%) | ||||
| pT (n = 237) | ||||||||||||
| T0 | 1 (1.2%) | 1 (0.7%) | 0.42 | - | 2 (1.3%) | 0.45 | - | 2 (1.2%) | 0.063 | - | 2 (1.0%) | 0.041 |
| T1 | 10 (12.3%) | 13 (8.3%) | 14 (18.2%) | 9 (5.6%) | 13 (16.7%) | 10 (6.3%) | 9 (19.1%) | 14 (7.4%) | ||||
| T2 | 19 (23.5%) | 44 (28.2%) | 15 (19.5%) | 48 (30.0%) | 16 (20.5%) | 47 (29.6%) | 10 (21.3%) | 53 (27.9%) | ||||
| T3 | 29 (35.8%) | 68543.6%) | 29 (37.6%) | 68 (42.5%) | 30 (38.5%) | 67 (42.1%) | 14 (29.8%) | 83 (43.7%) | ||||
| T4 | 22 (27.2%) | 30 (19.2%) | 19 (24.7%) | 33 (20.6%) | 19 (24.3%) | 33 (20.8%) | 14 (29.8%) | 38 (20.0%) | ||||
| pN (n = 238) | ||||||||||||
| N0 | 23 (28.4%) | 31 (19.7%) | 0.3 | 21 (26.9%) | 33 (20.6%) | 0.19 | 23 (29.1%) | 31 (19.5%) | 0.068 | 14 (29.8%) | 40 (20.9%) | 0.23 |
| N1 | 31 (38.3%) | 64 (40.8%) | 37 (43.6%) | 61 (38.1%) | 34 (43.0%) | 61 (38.4%) | 20 (42.5%) | 75 (39.3%) | ||||
| N2 | 27 (33.3%) | 62 (39.5%) | 23 (29.5%) | 66 (41.3%) | 22 (27.9%) | 67 (42.1%) | 13 (27.7%) | 76 (39.8%) | ||||
| pM (n = 238) | ||||||||||||
| Mx | - | 1 (0.6%) | 0.72 | - | 1 (0.6%) | 0.47 | - | 1 (0.6%) | 0.45 | - | 1 (0.5%) | 0.85 |
| M0 | 79 (97.5%) | 149 (95.0%) | 77 (98.7%) | 151 (94.4%) | 78 (98.7%) | 150 (94.4%) | 46 (97.9%) | 182 (95.3%) | ||||
| M1 | 2 (2.5%) | 7 (4.4%) | 1 (1.3%) | 8 (5.0%) | 1 (1.3%) | 8 (45.0%) | 1 (2.1%) | 8 (4.2%) | ||||
| Features | Fat Excluded Psoas Sarcopenia | p-Value | Fat Excluded Parietal Muscle Sarcopenia | p-Value | Fat Excluded Total Muscle Area Sarcopenia | p-Value | Fat Excluded Sarcopenia of Both Psoas and Parietal Muscles | p-Value | ||||
|---|---|---|---|---|---|---|---|---|---|---|---|---|
| Yes | No | Yes | No | Yes | No | Yes | No | |||||
| Age | 65.4 ± 9.9 | 61.4 ± 10.3 | 0.0084 | 65.4 ± 11.3 | 61.7 ± 9.6 | 0.0018 | 65.4 ± 11.2 | 61.7 ± 9.5 | 0.0019 | 66.3 ± 10.2 | 62.1 ± 10.2 | 0.0046 |
| Men | 56 (69.1%) | 113 (72.0%) | 0.65 | 56 (70.0%) | 113 (72.0%) | 0.75 | 56 (69.1%) | 113 (72.0%) | 0.65 | 36 (73.5%) | 133 (70.4%) | 0.67 |
| Women | 25 (30.9%) | 44 (28.0%) | 24 (30.0%) | 44 (28.0%) | 25 (30.9%) | 44 (28.0%) | 13 (26.5%) | 56 (29.6%) | ||||
| Smokers (n = 291) | ||||||||||||
| Yes | 73 (90.1%) | 144 (92.3%) | 0.57 | 67 (84.8%) | 149 (94.9%) | 0.0086 | 69 (86.3%) | 148 (94.3%) | 0.036 | 4 (83.7%) | 176 (93.6%) | 0.052 |
| No | 8 (9.9%) | 12 (7.7%) | 12 (15.2%) | 8 (5.1%) | 11 (13.7%) | 9 (5.7%) | 8 (16.3%) | 12 (6.4%) | ||||
| Cumulative tobacco consumption | 43.8 ± 20.9 | 43.54 ± 22.6 | 0.96 | 41.2 ± 24.4 | 44.8 ± 21.0 | 0.14 | 40.6 ± 23.7 | 45.1 ± 21.2 | 0.086 | 47.8 ± 24.78 | 42.6 ± 21.4 | 0.2 |
| (Pack/Years) (n = 291) | ||||||||||||
| Right side | 37 (45.7%) | 71 (45.2%) | 0.95 | 42 (52.5%) | 66 (42.0%) | 0.13 | 42 (51.9%) | 66 (42.0%) | 0.15 | 26 (53.1%) | 82 (43.4%) | 0.23 |
| Left side | 44 (54.3%) | 86 (54.8%) | 38 (47.5%) | 91 (58.0%) | 39 (48.1%) | 91 (58.0%) | 23 (46.9%) | 107 (56.6%) | ||||
| Weight (kg) | 62.4 ± 10.3 | 75.5 ± 13.5 | <0.0000001 | 59.8 ± 9.4 | 75.9 ± 12.3 | <0.0000001 | 59.7 ± 9.3 | 75.9 ± 12.4 | <0.0000001 | 58.4 ± 8.8 | 73.5 ± 13.1 | <0.0000001 |
| Height (cm) | 168.2 ± 8.8 | 169.4 ± 9.4 | 0.48 | 166.6 ± 10.0 | 170.2 ± 8.5 | 0.027 | 166.5 ± 9.9 | 170.3 ± 8.5 | 0.015 | 168.1 ± 9.3 | 169.2 ± 9.2 | 0.63 |
| BMI (kg/m2) | 22.3 ± 3.5 | 25.9 ± 4.0 | <0.0000001 | 21.6 ± 3.3 | 26.2 ± 3.7 | <0.0000001 | 21.7 ± 3.3 | 26.2 ± 3.8 | <0.0000001 | 20.8 ± 3.1 | 25.4 ± 4.0 | <0.0000001 |
| Obesity | ||||||||||||
| Yes | 2 (2.5%) | 28 (18.2%) | 0.00067 | 0 | 30 (19.5%) | 0.000026 | 0 | 30 (19.5%) | 0.000024 | 0 | 30 (16.1%) | 0.0029 |
| No | 78 (97.5%) | 126 (81.8%) | 79 (100%) | 124 (80.5%) | 80 (100%) | 124 (80.5%) | 48 (100) | 156 (83.9%) | ||||
| Diabetes (n = 235) | ||||||||||||
| Yes | 8 (9.9%) | 12 (7.8%) | 0.59 | 7 (9.0%) | 13 (8.3%) | 0.87 | 8 (10.1%) | 12 (7.7%) | 0.53 | 5 (10.2%) | 15 (8.1%) | 0.85 |
| No | 73 (90.1%) | 142 (92.2%) | 71 (91.0%) | 143 (91.7%) | 71 (89.9%) | 146 (92.83%) | 44 (89.8%) | 171 (91.9%) | ||||
| Hypertension (n = 235) | ||||||||||||
| Yes | 30 (37.0%) | 53 (34.4%) | 0.69 | 29 (37.2%) | 54 (34.6%) | 0.7 | 30 (38.0%) | 53 (34.0%) | 0.54 | 17 (34.7%) | 66 (35.5%) | 0.92 |
| No | 51 (63.0%) | 101 (65.6%) | 49 (62.8%) | 102 (65.4%) | 49 (62.0%) | 103 (66.0%) | 32 (65.3%) | 120 (65.5%) | ||||
| Ischemic heart disease (n = 235) | ||||||||||||
| Yes | 16 (19.7%) | 25 (16.2%) | 0.5 | 16 (20.5%) | 25 (16.0%) | 0.39 | 17 (21.5%) | 24 (15.4%) | 0.24 | 10 (20.4%) | 31 (16.7%) | 0.54 |
| No | 65 (80.3%) | 129 (83.8%) | 62 (79.5%) | 131 (84.0%) | 62 (78.5%) | 132 (84.6%) | 39 (79.6%) | 155 (83.3%) | ||||
| Charlson Comorbidity Index (n = 216) | 5.4 ± 1.7 | 5 ± 1.8 | 0.066 | 5.4 ± 1.9 | 5.0 ± 1.7 | 0.16 | 5.4 ± 1.8 | 5.0 ± 1.8 | 0.14 | 5.6 ± 1.7 | 5.0 ± 1.8 | 0.038 |
| Baseline Modified Borg Dyspnea Scale >2 (n = 237) | ||||||||||||
| Yes | 20 (25.0%) | 23 (14.7%) | 0.051 | 16 (20.3%) | 27 (17.2%) | 0.57 | 16 (20.0%) | 27 (17.2%) | 0.6 | 13 (27.1%) | 30 (15.9%) | 0.072 |
| No | 60 (75.0%) | 134 (85.3%) | 63 (79.7%) | 130 (82.8%) | 64 (80.0%) | 130 (82.8%) | 35 (72.9%) | 159 (84.1%) | ||||
| FEV1 (% of predicted) (n = 237) | 76.7 ± 17.7 | 79.7 ± 17.1 | 0.22 | 76.5 ± 17.0 | 79.9 ± 17.5 | 0.16 | 76.9 ± 17.6 | 79.6 ± 17.2 | 0.27 | 74.0 ± 17.3 | 79.9 ± 17.2 | 0.033 |
| FEV1/FVC ratio (n = 234) | 69.5 ± 12.4 | 71.6 ± 13.3 | 0.37 | 71.4 ± 13.0 | 70.6 ± 13.1 | 0.64 | 71.6 ± 13.3 | 70.4 ± 12.9 | 0.5 | 67.8 ± 11.6 | 71.7 ± 13.3 | 0.14 |
| Predictive postoperative FEV1 (ppoFEV1) (n = 182) | 49.6 ± 9.5 | 50.8 ± 12.2 | 0.9 | 50.9 ± 10.8 | 50.2 ± 11.7 | 0.5 | 50.5 ± 10.4 | 50.3 ± 11.8 | 0.65 | 49.0 ± 10.6 | 50.7 ± 11.5 | 0.39 |
| KCO (% of predicted) (n = 100) | 77.8 ± 28.7 | 81.2 ± 17.2 | 0.046 | 77.0 ± 25.0 | 81.7 ± 20.4 | 0.055 | 76.3 ± 25.7 | 82.3 ± 19.3 | 0.028 | 75.7 ± 28.9 | 81.4 ± 19.2 | 0.022 |
| Induction chemotherapy (n = 235) | ||||||||||||
| Yes | 22 (27.2%) | 49 (31.8%) | 0.46 | 26 (33.3%) | 45 (28.9%) | 0.48 | 26 (32.9%) | 45 (28.9%) | 0.52 | 12 (24.5%) | 59 (31.7%) | 0.33 |
| No | 59 (72.8%) | 105 (68.2%) | 52 (66.7%) | 111 (71.1%) | 53 (67.1%) | 111 (71.1%) | 37 (75.5%) | 127 (68.3%) | ||||
| Induction radiotherapy (n = 235) | ||||||||||||
| Yes | 0 | 4 (2.6%) | 0.35 | 0 | 4 (2.6%) | 0.37 | 0 | 4 (2.6%) | 0.37 | 0 | 4 (2.1%) | 0.68 |
| No | 81 (100%) | 150 (97.4%) | 78 (100%) | 152 (97.4%) | 79 (100%) | 152 (97.4%) | 49 (100%) | 182 (97.9%) | ||||
| Histology (n = 238): | ||||||||||||
| Adenocarcinoma | 22 (27.2%) | 54 (34.4%) | 0.75 | 27 (33.8%) | 48 (30.6%) | 0.92 | 26 (32.1%) | 50 (31.8%) | 0.91 | 13 (26.5%) | 63 (33.3%) | 0.79 |
| No-Adenocarcinoma | 59 (72.8%) | 103 (65.6%) | 53 (66.2%) | 109 (69.4%) | 55 (67.9%) | 107 (68.2%) | 36 (73.5%) | 126 (66.7%) | ||||
| Pathologic stage (n = 238) | ||||||||||||
| 0 | - | 1 (0.6%) | 0.38 | - | 1 (0.6%) | 0.41 | - | 1 (0.6%) | 0.41 | - | 1 (0.5%) | 0.66 |
| I | 10 (12.3%) | 9 (5.7%) | 9 (11.2%) | 10 (6.4%) | 9 (11.1%) | 10 (6.4%) | 7 (14.3%) | 12 (6.4%) | ||||
| II | 19 (23.5%) | 35 (22.3%) | 20 (25.0%) | 34 (21.7%) | 20 (24.7%) | 34 (21.7%) | 10 (20.4%) | 44 (23.3%) | ||||
| III | 50 (61.7%) | 105 (66.9%) | 50 (62.5%) | 104 (66.2%) | 51 (63.0%) | 104 (66.2%) | 31 (63.3%) | 124 (65.6%) | ||||
| IV | 2 (2.5%) | 7 (4.5%) | 1 (1.3%) | 8 (5.1%) | 1 (1.2%) | 8 (5.1%) | 1 (2.0%) | 8 (4.2%) | ||||
| pT (n = 237) | ||||||||||||
| T0 | 1 (1.2%) | 1 (0.7%) | 0.42 | - | 2 (1.3%) | 0.4 | - | 2 (1.3%) | 0.14 | - | 2 (1.0%) | 0.2 |
| T1 | 10 (12.3%) | 13 (8.3%) | 11 (13.9%) | 12 (7.6%) | 12 (15.0%) | 11 (7.0%) | 8 (16.3%) | 15 (8.0%) | ||||
| T2 | 19 (23.5%) | 44 (28.2%) | 19 (24.1%) | 44 (28.0%) | 18 (22.5%) | 45 (28.7%) | 11 (22.4%) | 52 (27.7%) | ||||
| T3 | 29 (35.8%) | 68 (43.6%) | 30 (37.9%) | 67 (42.7%) | 29 (36.2%) | 68 (43.3%) | 16 (32.7%) | 81 (43.1%) | ||||
| T4 | 22 (27.2%) | 30 (19.2%) | 19 (24.1%) | 32 (20.4%) | 21 (26.3%) | 31 (19.7%) | 14 (28.6%) | 38 (20.2%) | ||||
| pN (n = 238) | ||||||||||||
| N0 | 24 (29.6%) | 30 (19.1%) | 0.18 | 24 (30.0%) | 30 (19.1%) | 0.05 | 22 (27.2%) | 32 (20.4%) | 0.27 | 16 (32.7%) | 38 (20.1%) | 0.13 |
| N1 | 29 (35.8%) | 66 (42.0%) | 34 (42.5%) | 61 (38.9%) | 34 (42.0%) | 61 (38.9%) | 19 (38.8%) | 76 (40.2%) | ||||
| N2 | 28 (34.6%) | 61 (38.9%) | 22 (27.5%) | 66 (42.0%) | 25 (30.8%) | 64 (40.8%) | 14 (28.6%) | 75 (39.7%) | ||||
| pM (n = 238) | ||||||||||||
| Mx | - | 1 (0.6%) | 0.72 | - | 1 (0.6%) | 0.43 | - | 1 (0.6%) | 0.43 | - | 1 (0.5%) | 0.83 |
| M0 | 79 (97.5%) | 149 (95.0%) | 79 (98.7%) | 148 (94.3%) | 80 (98.7%) | 148 (94.3%) | 48 (97.9%) | 180 (95.3%) | ||||
| M1 | 2 (2.5%) | 7 (4.4%) | 1 (1.3%) | 8 (5.1%) | 1 (1.3%) | 8 (5.1%) | 1 (2.1%) | 8 (4.2%) | ||||
| Features | 5 Years Overall Survival (95% CI) Total Sample = 238 | p-Value |
|---|---|---|
| Age (median 64 years) | 0.0019 | |
| ≤64 | 49.6 (41.05–58.19) | |
| >64 | 27.0 (19.64–35.95) | |
| Sex: | 0.0011 | |
| Women | 56.5 (44.79–67.57) | |
| Men | 32.0 (25.39–39.32) | |
| Current/Never Smokers (n = 227) | 0.21 | |
| Current | 37.3 (31.16–43.93) | |
| Never | 55 (34.21–74.18) | |
| Cumulative tobacco consumption (Pack/Years) (n = 220) (median 40) | 0.96 | |
| ≤40 | 37.5 (29–35) | |
| >40 | 39 (30.02–48.8) | |
| Right/Left side | 0.22 | |
| Right | 35.2 (26.83–44.56) | |
| Left | 42.3 (34.16–50.90) | |
| Underweight | 22.2 (6.32–54.74) | 0.0096 |
| Normal weight/Overweight/Obesity | 39.6 (33.39–46.07) | |
| Diabetes Yes/No (n = 235) | 0.58 | |
| Yes | 30 (14.55–51.9) | |
| No | 35.5 (33.24–46.2) | |
| Hypertension Yes/No (n = 235) | 0.017 | |
| Yes | 27.7 (19.23–38.16) | |
| No | 44.7 (3.06–52.67) | |
| Ischemic heart disease Yes/No (n = 235) | 0.000076 | |
| Yes | 14.6 (6.88–28.4) | |
| No | 43.8 (37.02–50.85) | |
| Charlson Comorbidity Index (n = 216) | 0.005 | |
| ≤5 | 46.5 (38.01–55.11) | |
| >5 | 25.8 (17.88–35.8) | |
| Baseline Modified Borg Dyspnea Scale >2 (n = 237) Yes/No | 0.18 | |
| Yes | 48.8 (34.62–63.25) | |
| No | 37.1 (30.63–44.1) | |
| FEV1 (% of predicted) (n = 237) | 0.34 | |
| ≥80 | 42.7 (33.28–52.7) | |
| <80 | 36.2 (28.7–44.37) | |
| FEV1/FVC ratio (n = 234) | 0.19 | |
| ≥70 | 41.9 (33.7–50.49) | |
| <70 | 36.2 (27.64–45.72) | |
| Predictive postoperative FEV1 (ppoFEV1) (n = 182) | 0.074 | |
| ≤50 | 34.3 (25.82–43.95) | |
| >50 | 46.3 (35.75–57.1) | |
| KCO (% of predicted) (n = 100) | 0.32 | |
| ≤80 | 32.7 (21.81–45.90) | |
| >80 | 40.9 (27.69–55.59) | |
| Induction chemotherapy Yes/No (n = 235) | 0.068 | |
| Yes | 29.6 (20.23–41.02) | |
| No | 42.7 (35.37–50.34) | |
| Induction radiotherapy Yes/No (n = 235) | 0.068 | |
| Yes | 29.6 (20.23–41.02) | |
| No | 42.7 (35.37–50.34) | |
| Histology (n = 238): | 0.9 | |
| Adenocarcinoma | 39.5 (29.25–50.71) | |
| No-adenocarcinoma | 38.9 (31.72–46.57) | |
| Pathologic stage (n = 238) | 0.015 | |
| I–II | 45.2 (34.31–56.58) | |
| IIIA | 20.6 (31.71–50.08) | |
| IIIB | 30.6 (19.52–44.53) | |
| IV | 11.1 (1.99–43.5) | |
| pT (n = 237) | ||
| T1-T2 | 44.2 (34.16–54.71) | 0.068 |
| T3-T4 | 34.9 (27.71–48.85) | |
| pN (n = 238) | 0.2 | |
| N0 | 42.6 (30.33–55.84) | |
| N1 | 44.2 (34.64–54.23) | |
| N2 | 31.5 (22.75–41.7) | |
| pM (n = 238) | 0.003 | |
| M0 | 40.4 (34.19–50.71) | |
| M1 | 12.5 (2.24–47.09) |
| Features | 5 Years Overall Survival (95% CI) Total Sample = 238 | p-Value |
|---|---|---|
| Total psoas area with fat exclusion (FE-TPA) | 0.15 | |
| Yes | 33.3 (24.03–44.15) | |
| No | 42.0 (34.6–49.86) | |
| Total psoas area (TAP) | 0.034 | |
| Yes | 30.9 (21.86–41.6) | |
| No | 43.3 (35.81–51.13) | |
| Total parietal muscle area with fat exclusion (FE-TPMA) | 0.054 | |
| Yes | 33.3 (23.87–44.36) | |
| No | 41.9 (34.51–49.62) | |
| Total parietal muscle area (TPMA) | 0.005 | |
| Yes | 27.5 (18.92–38.14) | |
| No | 44.6 (37.03–52.4) | |
| Total muscle area with fat exclusion (FE-TMA) | 0.017 | |
| Yes | 30.4 (21.34–41.23) | |
| No | 43.4 (35.94–51.17) | |
| Total muscle area (TMA) | 0.018 | |
| yes | 29.6 (20.79–40.31) | |
| No | 43.9 (36.42–51.77) | |
| Sarcopenia on both (FE-SARC) with fat exclusion | 0.041 | |
| Yes | 29.8 (18.65–43.58) | |
| No | 41.4 (34.61–48.45) | |
| Sarcopenia on both (SARC) | 0.00024 | |
| Yes | 20.4 (11.48–33.64) | |
| No | 43.9 (37.03–51.04) |
| Model 1 | Relative Risk | 95% IC | p-Value | |
|---|---|---|---|---|
| Pathologic stage | I–II | 0.0013 | ||
| IIIA | 1.39 | (1.14–1.70) | ||
| IIIB | 1.93 | (1.29–2.89) | ||
| IV | 2.59 | (1.47–4.92) | ||
| Sex | Men | 1.95 | (1.30–2.92) | 0.0012 |
| Sarcopenia | Total | 1.71 | (1.17–2.52) | 0.006 |
| Age | >64 years | 1.48 | (1.06–2.06) | 0.04 |
| Model 2 | ||||
| Pathologic stage | I–II | 0.0011 | ||
| IIIA | 1.39 | (1.14–1.70) | ||
| IIIB | 1.94 | (1.30–2.89) | ||
| IV | 2.70 | (1.49–4.91) | ||
| Sex | Men | 1.89 | (1.26–2.85) | 0.0022 |
| Sarcopenia | Total | 1.54 | (1.10–2.16) | 0.0012 |
| Age | >64 years | 1.48 | (1.06–2.06) | 0.04 |
| CCI | >5 | 1.51 | (1.08–2.10) | 0.0015 |
Publisher’s Note: MDPI stays neutral with regard to jurisdictional claims in published maps and institutional affiliations. |
© 2021 by the authors. Licensee MDPI, Basel, Switzerland. This article is an open access article distributed under the terms and conditions of the Creative Commons Attribution (CC BY) license (https://creativecommons.org/licenses/by/4.0/).
Share and Cite
Daffrè, E.; Prieto, M.; Martini, K.; Hoang-Thi, T.-N.; Halm, N.; Dermine, H.; Bobbio, A.; Chassagnon, G.; Revel, M.P.; Alifano, M. Total Psoas Area and Total Muscular Parietal Area Affect Long-Term Survival of Patients Undergoing Pneumonectomy for Non-Small Cell Lung Cancer. Cancers 2021, 13, 1888. https://doi.org/10.3390/cancers13081888
Daffrè E, Prieto M, Martini K, Hoang-Thi T-N, Halm N, Dermine H, Bobbio A, Chassagnon G, Revel MP, Alifano M. Total Psoas Area and Total Muscular Parietal Area Affect Long-Term Survival of Patients Undergoing Pneumonectomy for Non-Small Cell Lung Cancer. Cancers. 2021; 13(8):1888. https://doi.org/10.3390/cancers13081888
Chicago/Turabian StyleDaffrè, Elisa, Mathilde Prieto, Katharina Martini, Trieu-Nghi Hoang-Thi, Nara Halm, Hervè Dermine, Antonio Bobbio, Guillaume Chassagnon, Marie Pierre Revel, and Marco Alifano. 2021. "Total Psoas Area and Total Muscular Parietal Area Affect Long-Term Survival of Patients Undergoing Pneumonectomy for Non-Small Cell Lung Cancer" Cancers 13, no. 8: 1888. https://doi.org/10.3390/cancers13081888
APA StyleDaffrè, E., Prieto, M., Martini, K., Hoang-Thi, T.-N., Halm, N., Dermine, H., Bobbio, A., Chassagnon, G., Revel, M. P., & Alifano, M. (2021). Total Psoas Area and Total Muscular Parietal Area Affect Long-Term Survival of Patients Undergoing Pneumonectomy for Non-Small Cell Lung Cancer. Cancers, 13(8), 1888. https://doi.org/10.3390/cancers13081888

