Systematic Review and Metanalysis of Oncomarkers in IPF Patients and Serial Changes of Oncomarkers in a Prospective Italian Real-Life Case Series
Abstract
Simple Summary
Abstract
1. Introduction
2. Results
2.1. Systematic Review and Metanalysis
2.1.1. Search of the Literature
2.1.2. Meta-Analysis Results
2.2. Original Contribution
Study Population
3. Discussion
4. Materials and Methods
4.1. Systematic Review and Metanalysis
4.1.1. Search of the Literature
4.1.2. Study Selection
4.1.3. Data Collection and Meta-Analysis
4.2. Original Contribution
4.2.1. Study Population
4.2.2. Methods
4.2.3. Statistical Analysis
5. Conclusions
Author Contributions
Funding
Institutional Review Board Statement
Informed Consent Statement
Conflicts of Interest
References
- Raghu, G.; Remy-Jardin, M.; Myers, J.L.; Richeldi, L.; Ryerson, C.J.; Lederer, D.J.; Behr, J.; Cottin, V.; Danoff, S.K.; Morell, F.; et al. Diagnosis of Idiopathic Pulmonary Fibrosis. An Official ATS/ERS/JRS/ALAT Clinical Practice Guideline. Am. J. Respir. Crit. Care Med. 2018, 198, e44–e68. [Google Scholar] [CrossRef] [PubMed]
- Kato, E.; Takayanagi, N.; Takaku, Y.; Kagiyama, N.; Kanauchi, T.; Ishiguro, T.; Sugita, Y. Incidence and Predictive Factors of Lung Cancer in Patients with Idiopathic Pulmonary Fibrosis. ERJ Open Res. 2018, 4. [Google Scholar] [CrossRef] [PubMed]
- Wynn, T.A. Integrating Mechanisms of Pulmonary Fibrosis. J. Exp. Med. 2011, 208, 1339–1350. [Google Scholar] [CrossRef] [PubMed]
- Spagnolo, P.; Tonelli, R.; Cocconcelli, E.; Stefani, A.; Richeldi, L. Idiopathic Pulmonary Fibrosis: Diagnostic Pitfalls and Therapeutic Challenges. Multidiscip. Respir. Med. 2012, 7, 42. [Google Scholar] [CrossRef] [PubMed]
- Vancheri, C.; Cottin, V.; Kreuter, M.; Hilberg, O. IPF, Comorbidities and Management Implications. Sarcoidosis Vasc. Diffuse Lung Dis. Off. J. WASOG 2015, 32 (Suppl. 1), 17–23. [Google Scholar]
- Maher, T.M.; Oballa, E.; Simpson, J.K.; Porte, J.; Habgood, A.; Fahy, W.A.; Flynn, A.; Molyneaux, P.L.; Braybrooke, R.; Divyateja, H.; et al. An Epithelial Biomarker Signature for Idiopathic Pulmonary Fibrosis: An Analysis from the Multicentre PROFILE Cohort Study. Lancet Respir. Med. 2017, 5, 946–955. [Google Scholar] [CrossRef]
- Balestro, E.; Castelli, G.; Bernardinello, N.; Cocconcelli, E.; Biondini, D.; Fracasso, F.; Rea, F.; Saetta, M.; Baraldo, S.; Spagnolo, P. CA 19-9 Serum Levels in Patients with End-Stage Idiopathic Pulmonary Fibrosis (IPF) and Other Interstitial Lung Diseases (ILDs): Correlation with Functional Decline. Chron. Respir. Dis. 2020, 17, 1479973120958428. [Google Scholar] [CrossRef]
- Dai, H.; Liu, J.; Liang, L.; Ban, C.; Jiang, J.; Liu, Y.; Ye, Q.; Wang, C. Increased Lung Cancer Risk in Patients with Interstitial Lung Disease and Elevated CEA and CA125 Serum Tumour Markers. Respirol. Carlton Vic. 2014, 19, 707–713. [Google Scholar] [CrossRef]
- Kodama, T.; Satoh, H.; Ishikawa, H.; Ohtsuka, M. Serum Levels of CA19-9 in Patients with Nonmalignant Respiratory Diseases. J. Clin. Lab. Anal. 2007, 21, 103–106. [Google Scholar] [CrossRef]
- Ricci, A.; Mariotta, S.; Bronzetti, E.; Bruno, P.; Vismara, L.; De Dominicis, C.; Laganà, B.; Paone, G.; Mura, M.; Rogliani, P.; et al. Serum CA 15-3 Is Increased in Pulmonary Fibrosis. Sarcoidosis Vasc. Diffuse Lung Dis. Off. J. WASOG 2009, 26, 54–63. [Google Scholar]
- d’Alessandro, M.; Bergantini, L.; Cameli, P.; Lanzarone, N.; Antonietta Mazzei, M.; Alonzi, V.; Sestini, P.; Bargagli, E. Serum KL-6 Levels in Pulmonary Langerhans’ Cell Histiocytosis. Eur. J. Clin. Investig. 2020, e13242. [Google Scholar] [CrossRef] [PubMed]
- d’Alessandro, M.; Carleo, A.; Cameli, P.; Bergantini, L.; Perrone, A.; Vietri, L.; Lanzarone, N.; Vagaggini, C.; Sestini, P.; Bargagli, E. BAL Biomarkers’ Panel for Differential Diagnosis of Interstitial Lung Diseases. Clin. Exp. Med. 2020, 20, 207–216. [Google Scholar] [CrossRef] [PubMed]
- Bergantini, L.; d’Alessandro, M.; Vietri, L.; Rana, G.D.; Cameli, P.; Acerra, S.; Sestini, P.; Bargagli, E. Utility of Serological Biomarker’ Panels for Diagnostic Accuracy of Interstitial Lung Diseases. Immunol. Res. 2020. [Google Scholar] [CrossRef] [PubMed]
- d’Alessandro, M.; Bergantini, L.; Cameli, P.; Vietri, L.; Lanzarone, N.; Alonzi, V.; Pieroni, M.; M Refini, R.; Sestini, P.; Bonella, F.; et al. Krebs von Den Lungen-6 as Biomarker for Disease Severity Assessment in Interstitial Lung Disease: A Comprehensive Review. Biomark. Med. 2020. [Google Scholar] [CrossRef]
- Rusanov, V.; Kramer, M.R.; Raviv, Y.; Medalion, B.; Guber, A.; Shitrit, D. The Significance of Elevated Tumor Markers among Patients with Idiopathic Pulmonary Fibrosis before and after Lung Transplantation. Chest 2012, 141, 1047–1054. [Google Scholar] [CrossRef]
- Liu, Y.; Zhu, M.; Geng, J.; Ban, C.; Zhang, S.; Chen, W.; Ren, Y.; He, X.; Chen, W.; Dai, H. Incidence and Radiologic-Pathological Features of Lung Cancer in Idiopathic Pulmonary Fibrosis. Clin. Respir. J. 2018, 12, 1700–1705. [Google Scholar] [CrossRef]
- Yokoyama, A.; Kohno, N.; Kondo, K.; Ueda, S.; Hirasawa, Y.; Watanabe, K.; Takada, Y.; Hiwada, K. Comparative Evaluation of Sialylated Carbohydrate Antigens, KL-6, CA19-9 and SLX as Serum Markers for Interstitial Pneumonia. Respirol. Carlton Vic. 1998, 3, 199–202. [Google Scholar] [CrossRef]
- Kruit, A.; Gerritsen, W.B.M.; Pot, N.; Grutters, J.C.; van den Bosch, J.M.M.; Ruven, H.J.T. CA 15-3 as an Alternative Marker for KL-6 in Fibrotic Lung Diseases. Sarcoidosis Vasc. Diffuse Lung Dis. Off. J. WASOG 2010, 27, 138–146. [Google Scholar]
- Ohta, S.; Okamoto, M.; Fujimoto, K.; Sakamoto, N.; Takahashi, K.; Yamamoto, H.; Kushima, H.; Ishii, H.; Akasaka, K.; Ono, J.; et al. The Usefulness of Monomeric Periostin as a Biomarker for Idiopathic Pulmonary Fibrosis. PLoS ONE 2017, 12, e0174547. [Google Scholar] [CrossRef]
- Kuwano, K.; Maeyama, T.; Inoshima, I.; Ninomiya, K.; Hagimoto, N.; Yoshimi, M.; Fujita, M.; Nakamura, N.; Shirakawa, K.; Hara, N. Increased Circulating Levels of Soluble Fas Ligand Are Correlated with Disease Activity in Patients with Fibrosing Lung Diseases. Respirol. Carlton Vic. 2002, 7, 15–21. [Google Scholar] [CrossRef]
- Kennedy, B.; Branagan, P.; Moloney, F.; Haroon, M.; O’Connell, O.J.; O’Connor, T.M.; O’Regan, K.; Harney, S.; Henry, M.T. Biomarkers to Identify ILD and Predict Lung Function Decline in Scleroderma Lung Disease or Idiopathic Pulmonary Fibrosis. Sarcoidosis Vasc. Diffuse Lung Dis. Off. J. WASOG 2015, 32, 228–236. [Google Scholar]
- Hu, Y.; Wang, L.-S.; Jin, Y.-P.; Du, S.-S.; Du, Y.-K.; He, X.; Weng, D.; Zhou, Y.; Li, Q.-H.; Shen, L.; et al. Serum Krebs von Den Lungen-6 Level as a Diagnostic Biomarker for Interstitial Lung Disease in Chinese Patients. Clin. Respir. J. 2017, 11, 337–345. [Google Scholar] [CrossRef] [PubMed]
- Bargagli, E.; Margollicci, M.; Nikiforakis, N.; Luddi, A.; Perrone, A.; Grosso, S.; Rottoli, P. Chitotriosidase Activity in the Serum of Patients with Sarcoidosis and Pulmonary Tuberculosis. Respir. Int. Rev. Thorac. Dis. 2007, 74, 548–552. [Google Scholar] [CrossRef] [PubMed]
- Bargagli, E.; Maggiorelli, C.; Rottoli, P. Human Chitotriosidase: A Potential New Marker of Sarcoidosis Severity. Respir. Int. Rev. Thorac. Dis. 2008, 76, 234–238. [Google Scholar] [CrossRef] [PubMed]
- Bargagli, E.; Bennett, D.; Maggiorelli, C.; Di Sipio, P.; Margollicci, M.; Bianchi, N.; Rottoli, P. Human Chitotriosidase: A Sensitive Biomarker of Sarcoidosis. J. Clin. Immunol. 2013, 33, 264–270. [Google Scholar] [CrossRef] [PubMed]
- Bargagli, E.; Margollicci, M.; Luddi, A.; Nikiforakis, N.; Perari, M.G.; Grosso, S.; Perrone, A.; Rottoli, P. Chitotriosidase Activity in Patients with Interstitial Lung Diseases. Respir. Med. 2007, 101, 2176–2181. [Google Scholar] [CrossRef]
- Bargagli, E.; Bianchi, N.; Margollicci, M.; Olivieri, C.; Luddi, A.; Coviello, G.; Grosso, S.; Rottoli, P. Chitotriosidase and Soluble IL-2 Receptor: Comparison of Two Markers of Sarcoidosis Severity. Scand. J. Clin. Lab. Investig. 2008, 68, 479–483. [Google Scholar] [CrossRef]
- Cameli, P.; Gonnelli, S.; Bargagli, E.; d’Alessandro, M.; Bergantini, L.; Favetta, V.; Tomai Pitinca, M.D.; Lisi, E.; Refini, R.M.; Pieroni, M.; et al. The Role of Urinary Calcium and Chitotriosidase in a Cohort of Chronic Sarcoidosis Patients. Respir. Int. Rev. Thorac. Dis. 2020, 99, 207–212. [Google Scholar] [CrossRef]
- Bargagli, E.; Madioni, C.; Bianchi, N.; Refini, R.M.; Cappelli, R.; Rottoli, P. Serum Analysis of Coagulation Factors in IPF and NSIP. Inflammation 2014, 37, 10–16. [Google Scholar] [CrossRef]
- Landi, C.; Bargagli, E.; Carleo, A.; Bianchi, L.; Gagliardi, A.; Prasse, A.; Perari, M.G.; Refini, R.M.; Bini, L.; Rottoli, P. A System Biology Study of BALF from Patients Affected by Idiopathic Pulmonary Fibrosis (IPF) and Healthy Controls. Proteom. Clin. Appl. 2014, 8, 932–950. [Google Scholar] [CrossRef]
- Bargagli, E.; Olivieri, C.; Nikiforakis, N.; Cintorino, M.; Magi, B.; Perari, M.G.; Vagaggini, C.; Spina, D.; Prasse, A.; Rottoli, P. Analysis of Macrophage Migration Inhibitory Factor (MIF) in Patients with Idiopathic Pulmonary Fibrosis. Respir. Physiol. Neurobiol. 2009, 167, 261–267. [Google Scholar] [CrossRef] [PubMed]
- Bergantini, L.; Cameli, P.; d’Alessandro, M.; Vagaggini, C.; Refini, R.M.; Landi, C.; Pieroni, M.G.; Spalletti, M.; Sestini, P.; Bargagli, E. NK and NKT-like Cells in Granulomatous and Fibrotic Lung Diseases. Clin. Exp. Med. 2019, 19, 487–494. [Google Scholar] [CrossRef] [PubMed]
- Vietri, L.; Fui, A.; Bergantini, L.; d’Alessandro, M.; Cameli, P.; Sestini, P.; Rottoli, P.; Bargagli, E. Serum Amyloid A: A Potential Biomarker of Lung Disorders. Respir. Investig. 2020, 58, 21–27. [Google Scholar] [CrossRef] [PubMed]
- Vietri, L.; Bennett, D.; Cameli, P.; Bergantini, L.; Cillis, G.; Sestini, P.; Bargagli, E.; Rottoli, P. Serum Amyloid A in Patients with Idiopathic Pulmonary Fibrosis. Respir. Investig. 2019, 57, 430–434. [Google Scholar] [CrossRef]
- Vietri, L.; Cameli, P.; Perruzza, M.; Cekorja, B.; Bergantini, L.; d’Alessandro, M.; Refini, R.M.; Pieroni, M.; Fossi, A.; Bennett, D.; et al. Pirfenidone in Idiopathic Pulmonary Fibrosis: Real-Life Experience in the Referral Centre of Siena. Ther. Adv. Respir. Dis. 2020, 14, 1753466620906326. [Google Scholar] [CrossRef]
- White, E.S.; Xia, M.; Murray, S.; Dyal, R.; Flaherty, C.M.; Flaherty, K.R.; Moore, B.B.; Cheng, L.; Doyle, T.J.; Villalba, J.; et al. Plasma Surfactant Protein-D, Matrix Metalloproteinase-7, and Osteopontin Index Distinguishes Idiopathic Pulmonary Fibrosis from Other Idiopathic Interstitial Pneumonias. Am. J. Respir. Crit. Care Med. 2016, 194, 1242–1251. [Google Scholar] [CrossRef]
- Rosas, I.O.; Richards, T.J.; Konishi, K.; Zhang, Y.; Gibson, K.; Lokshin, A.E.; Lindell, K.O.; Cisneros, J.; Macdonald, S.D.; Pardo, A.; et al. MMP1 and MMP7 as Potential Peripheral Blood Biomarkers in Idiopathic Pulmonary Fibrosis. PLoS Med. 2008, 5, e93. [Google Scholar] [CrossRef]
- Fan, Y.; He, R.; Zou, L.; Meng, J. Clinical value of biomarkers in diagnosis and treatment of idiopathic pulmonary fibrosis. Nan Fang Yi Ke Da Xue Xue Bao 2020, 40, 1062–1065. [Google Scholar] [CrossRef]
- Fahim, A.; Crooks, M.G.; Wilmot, R.; Campbell, A.P.; Morice, A.H.; Hart, S.P. Serum Carcinoembryonic Antigen Correlates with Severity of Idiopathic Pulmonary Fibrosis. Respirol. Carlton Vic. 2012, 17, 1247–1252. [Google Scholar] [CrossRef]
- Kasper, M.; Haroske, G. Alterations in the Alveolar Epithelium after Injury Leading to Pulmonary Fibrosis. Histol. Histopathol. 1996, 11, 463–483. [Google Scholar]
- Dobashi, N.; Fujita, J.; Murota, M.; Ohtsuki, Y.; Yamadori, I.; Yoshinouchi, T.; Ueda, R.; Bandoh, S.; Kamei, T.; Nishioka, M.; et al. Elevation of Anti-Cytokeratin 18 Antibody and Circulating Cytokeratin 18: Anti-Cytokeratin 18 Antibody Immune Complexes in Sera of Patients with Idiopathic Pulmonary Fibrosis. Lung 2000, 178, 171–179. [Google Scholar] [CrossRef] [PubMed]
- Stock, C.J.W.; Hoyles, R.K.; Daccord, C.; Kokosi, M.; Visca, D.; De Lauretis, A.; Alfieri, V.; Kouranos, V.; Margaritopoulos, G.; George, P.M.; et al. Serum Markers of Pulmonary Epithelial Damage in Systemic Sclerosis-Associated Interstitial Lung Disease and Disease Progression. Respirol. Carlton Vic. 2020. [Google Scholar] [CrossRef] [PubMed]
- Shepley, B.R.; Ainslie, P.N.; Hoiland, R.L.; Donnelly, J.; Sekhon, M.S.; Zetterberg, H.; Blennow, K.; Bain, A.R. Negligible Influence of Moderate to Severe Hyperthermia on Blood-Brain Barrier Permeability and Neuronal-Parenchymal Integrity in Healthy Men. J. Appl. Physiol. Bethesda Md 1985 2021. [Google Scholar] [CrossRef]








| IPF (n = 24) | Non-IPF (n = 25) | |
|---|---|---|
| Age (yr) | 73.80 ± 7.79 1 | 62.43 ± 13.63 |
| Sex (M/F) | 22/2 2 | 14/11 |
| Smoking history (>5 p/yr) | 18/24 | 12/25 |
| Familiarity for ILD (yes/no) | 2/24 | 1/25 |
| Cough (VAS > 3/10 cm) | 22/24 | 17/25 |
| Dyspnea (mMRC > 1/4) | 16/24 | 14/25 |
| Velcro sound (yes/no) | 23/24 3 | 8/25 |
| Clubbing (yes/no) | 3/24 | 1/25 |
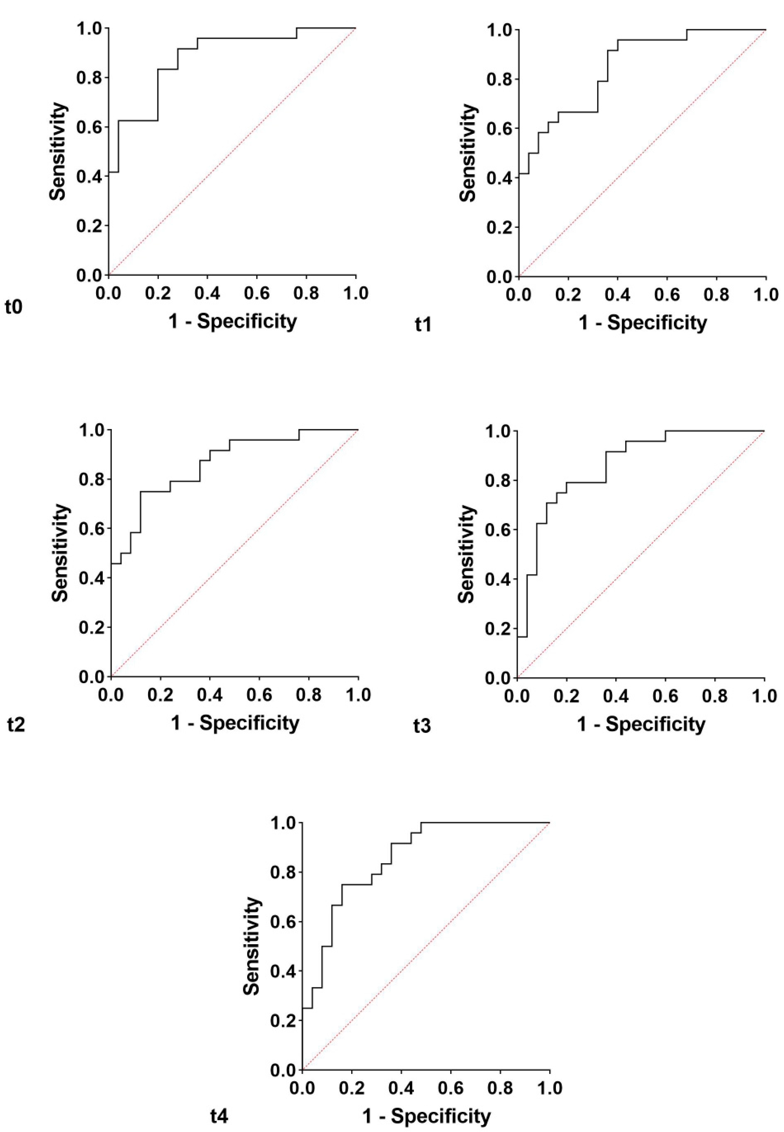
| IPF vs. Non-IPF | AUC | p Value | Cut-Off Value | Sensitivity | Specificity |
|---|---|---|---|---|---|
| NSE, t0 | 76 | 0.0016 | 7.75 | 72 | 70.8 |
| NSE, t1 | 77.1 | 0.0012 | 4.96 | 68 | 79.2 |
| NSE, t2 | 76.7 | 0.0014 | 7.95 | 72 | 66.7 |
| NSE, t3 | 77.4 | 0.0010 | 4.65 | 72 | 75 |
| NSE, t4 | 71.6 | 0.0096 | 5 | 72 | 70.8 |
| CEA, t0 | 94 | <0.0001 | 2.55 | 96 | 87.5 |
| CEA, t1 | 99.7 | <0.0001 | 2.85 | 96 | 95.8 |
| CEA, t2 | 95.6 | <0.0001 | 2.85 | 92 | 95.5 |
| CEA, t3 | 98.8 | <0.0001 | 2.85 | 88 | 95.8 |
| CEA, t4 | 98.1 | <0.0001 | 3.3 | 88 | 95.8 |
| Ca19.9, t0 | 78.4 | 0.0006 | 12.6 | 76 | 79.2 |
| Ca19.9, t1 | 77 | 0.0012 | 11.9 | 72 | 79.2 |
| Ca19.9, t2 | 78.2 | 0.0007 | 11.2 | 68 | 79.2 |
| Ca19.9, t3 | 79.6 | 0.0004 | 9.7 | 68 | 79.2 |
| Ca19.9, t4 | 81.6 | 0.0002 | 8.3 | 68 | 83.3 |
| Ca15-3, t3 | 69.9 | 0.0168 | 31.6 | 72 | 54.2 |
| Ca15-3, t4 | 67.7 | 0.0340 | 29.3 | 60 | 62.5 |
| Ca125, t0 | 71.4 | 0.0114 | 8.8 | 68 | 66.7 |
| Ca125, t1 | 72.1 | 0.0008 | 8.7 | 68 | 66.7 |
| Ca125, t2 | 74.2 | 0.0036 | 9.3 | 68 | 66.7 |
| Ca125, t3 | 73.8 | 0.0042 | 7.2 | 72 | 66.7 |
| Ca125, t4 | 71.5 | 0.0099 | 9.5 | 76 | 62.5 |
| IPF | Rho Coefficient | p Value | Non-IPF | Rho Coefficient | p Value | ||
|---|---|---|---|---|---|---|---|
| t0 | t0 | ||||||
| CEA | TLC | −0.48 | 0.018 | Chito | FVC | 0.476 | 0.016 |
| Cyfra21.1 | DLCO | −0.43 | 0.036 | FEV1 | 0.425 | 0.034 | |
| t1 | TLC | 0.422 | 0.035 | ||||
| Chito | DLCO | 0.511 | 0.011 | t1 | |||
| Cyfra21.1 | DLCO | −0.44 | 0.031 | Chito | FVC | 0.605 | 0.001 |
| t2 | FEV1 | 0.662 | 0.0003 | ||||
| CEA | FVC | −0.501 | 0.013 | TLC | 0.515 | 0.008 | |
| CEA | FEV1 | −0.524 | 0.009 | DLCO | 0.490 | 0.013 | |
| Cyfra21.1 | FEV1 | −0.430 | 0.036 | t2 | |||
| t3 | Chito | FVC | 0.636 | 0.0006 | |||
| Chito | FVC | 0.416 | 0.043 | FEV1 | 0.710 | 0.0001 | |
| Chito | FEV1 | 0.429 | 0.037 | TLC | 0.522 | 0.0075 | |
| CEA | FVC | −0.682 | 0.0002 | DLCO | 0.477 | 0.0252 | |
| CEA | FEV1 | −0.811 | 0.000001 | NSE | TLC | −0.480 | 0.015 |
| CEA | DLCO | −0.647 | 0.001 | CEA | FEV1 | −0.529 | 0.007 |
| Ca19.9 | FVC | −0.458 | 0.024 | TLC | −0.418 | 0.038 | |
| Ca15-3 | FEV1 | −0.439 | 0.032 | DLCO | −0.423 | 0.035 | |
| t4 | Ca19.9 | TLC | −0.411 | 0.041 | |||
| Chito | FEV1 | 0.54 | 0.006 | t3 | |||
| CEA | FVC | −0.803 | 0.000002 | Chito | FVC | 0.635 | 0.0006 |
| CEA | FEV1 | −0.852 | 0.0000001 | FEV1 | 0.783 | 0.000004 | |
| CEA | TLC | −0.464 | 0.022 | TLC | 0.579 | 0.002 | |
| CEA | DLCO | −0.520 | 0.009 | DLCO | 0.509 | 0.0093 | |
| Cyfra21.1 | FVC | −0.427 | 0.037 | NSE | TLC | −0.510 | 0.009 |
| FEV1 | −0.505 | 0.012 | DLCO | −0.410 | 0.0417 | ||
| CEA | TLC | −0.461 | 0.02 | ||||
| Ca19.9 | TLC | −0.461 | 0.0387 | ||||
| Ca125 | TLC | −0.408 | 0.0431 | ||||
| t4 | |||||||
| Chito | FVC | 0.614 | 0.001 | ||||
| FEV1 | 0.711 | 0.00007 | |||||
| TLC | 0.598 | 0.002 | |||||
| DLCO | 0.485 | 0.014 | |||||
| NSE | TLC | −0.431 | 0.032 | ||||
| Ca19.9 | TLC | −0.419 | 0.037 | ||||
| Ca125 | TLC | −0.405 | 0.045 | ||||
Publisher’s Note: MDPI stays neutral with regard to jurisdictional claims in published maps and institutional affiliations. |
© 2021 by the authors. Licensee MDPI, Basel, Switzerland. This article is an open access article distributed under the terms and conditions of the Creative Commons Attribution (CC BY) license (http://creativecommons.org/licenses/by/4.0/).
Share and Cite
d’Alessandro, M.; Bergantini, L.; Torricelli, E.; Cameli, P.; Lavorini, F.; Pieroni, M.; Refini, R.M.; Sestini, P.; Bargagli, E. Systematic Review and Metanalysis of Oncomarkers in IPF Patients and Serial Changes of Oncomarkers in a Prospective Italian Real-Life Case Series. Cancers 2021, 13, 539. https://doi.org/10.3390/cancers13030539
d’Alessandro M, Bergantini L, Torricelli E, Cameli P, Lavorini F, Pieroni M, Refini RM, Sestini P, Bargagli E. Systematic Review and Metanalysis of Oncomarkers in IPF Patients and Serial Changes of Oncomarkers in a Prospective Italian Real-Life Case Series. Cancers. 2021; 13(3):539. https://doi.org/10.3390/cancers13030539
Chicago/Turabian Styled’Alessandro, Miriana, Laura Bergantini, Elena Torricelli, Paolo Cameli, Federico Lavorini, Maria Pieroni, Rosa Metella Refini, Piersante Sestini, and Elena Bargagli. 2021. "Systematic Review and Metanalysis of Oncomarkers in IPF Patients and Serial Changes of Oncomarkers in a Prospective Italian Real-Life Case Series" Cancers 13, no. 3: 539. https://doi.org/10.3390/cancers13030539
APA Styled’Alessandro, M., Bergantini, L., Torricelli, E., Cameli, P., Lavorini, F., Pieroni, M., Refini, R. M., Sestini, P., & Bargagli, E. (2021). Systematic Review and Metanalysis of Oncomarkers in IPF Patients and Serial Changes of Oncomarkers in a Prospective Italian Real-Life Case Series. Cancers, 13(3), 539. https://doi.org/10.3390/cancers13030539

