Survival Outcomes in Invasive Lobular Carcinoma Compared to Oestrogen Receptor-Positive Invasive Ductal Carcinoma
Abstract
Simple Summary
Abstract
1. Introduction
2. Materials and Methods
2.1. Participants
2.2. Data
2.3. Analysis
3. Results
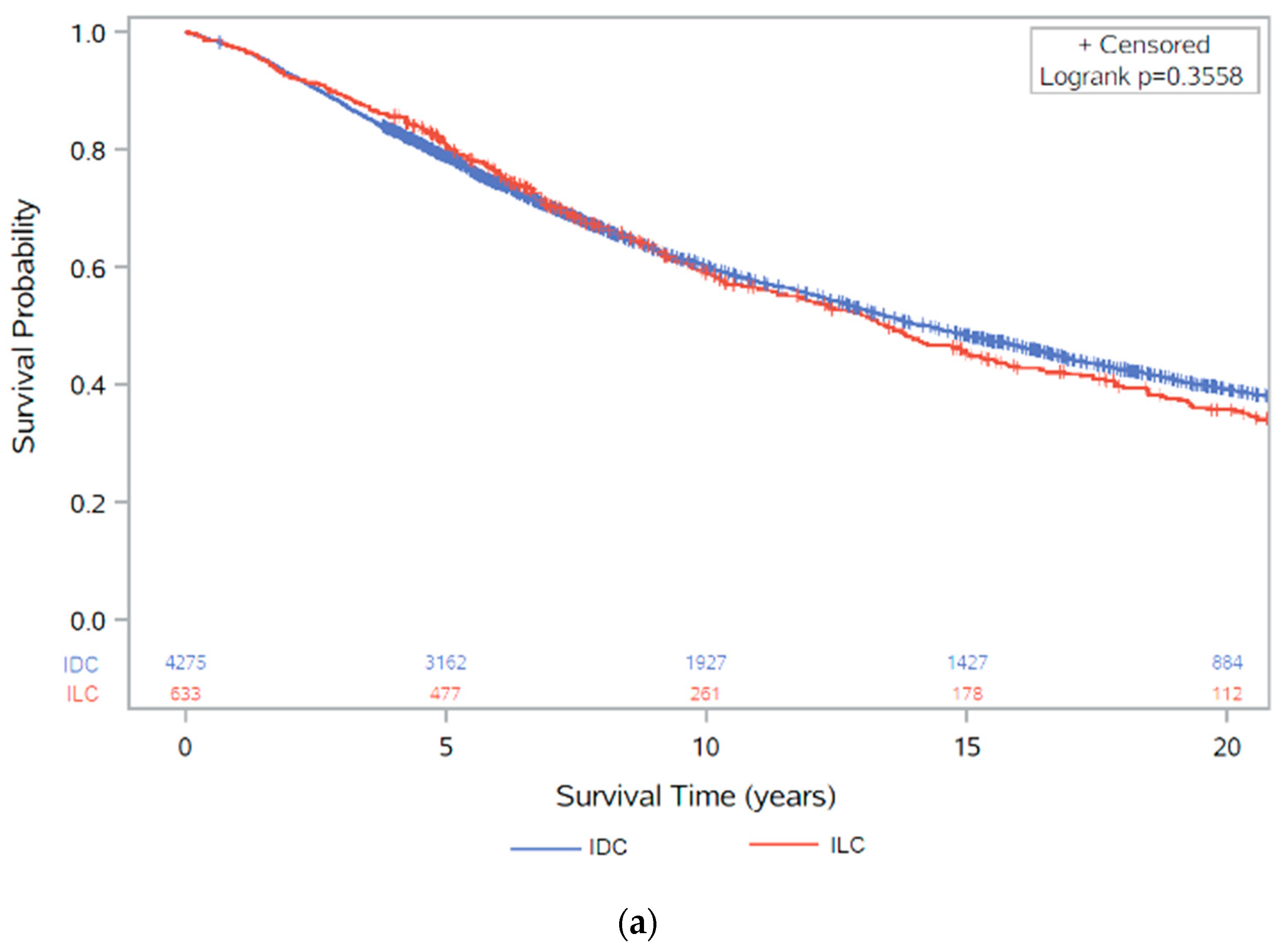
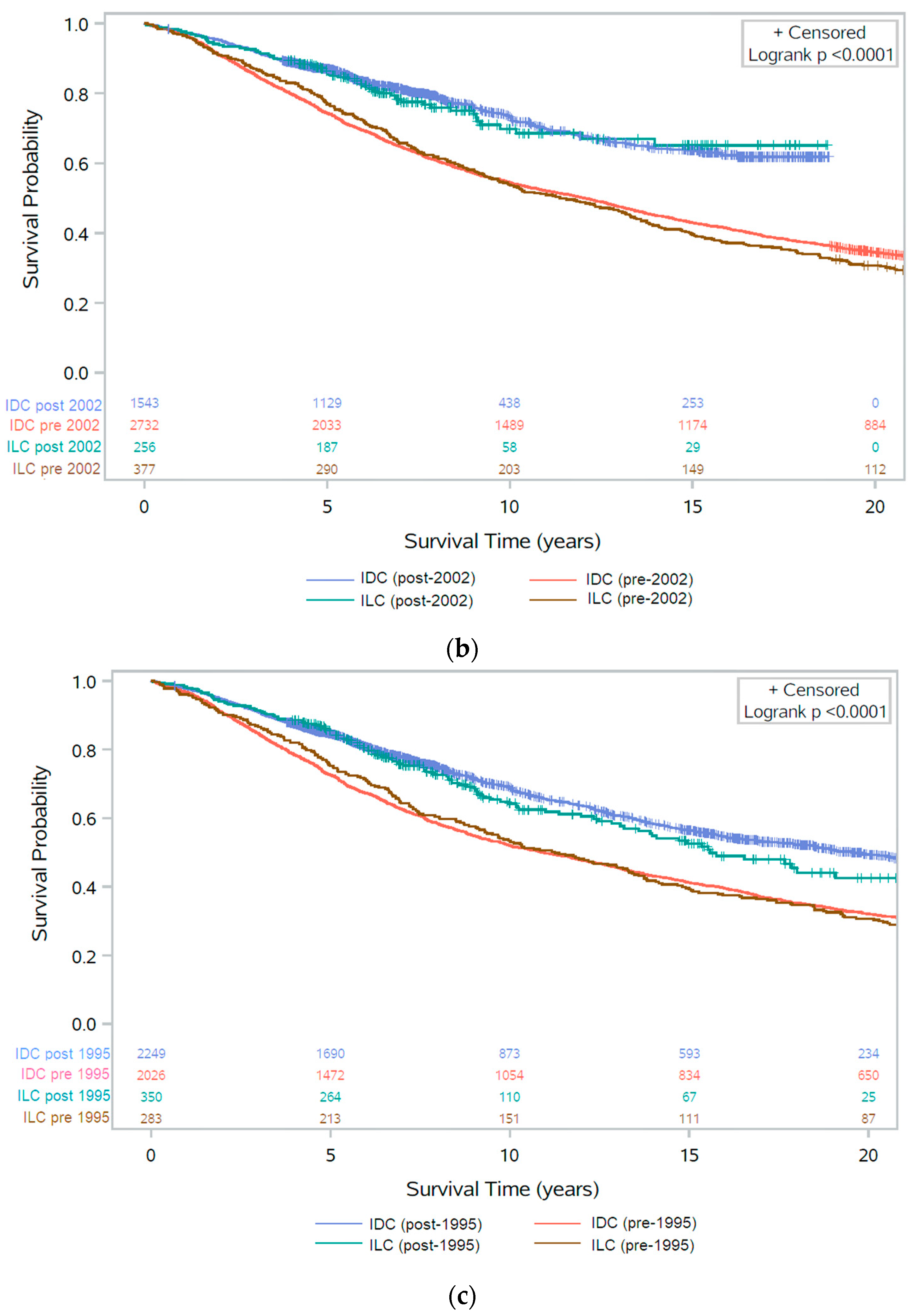
3.1. Survival after ER+ Breast Cancer
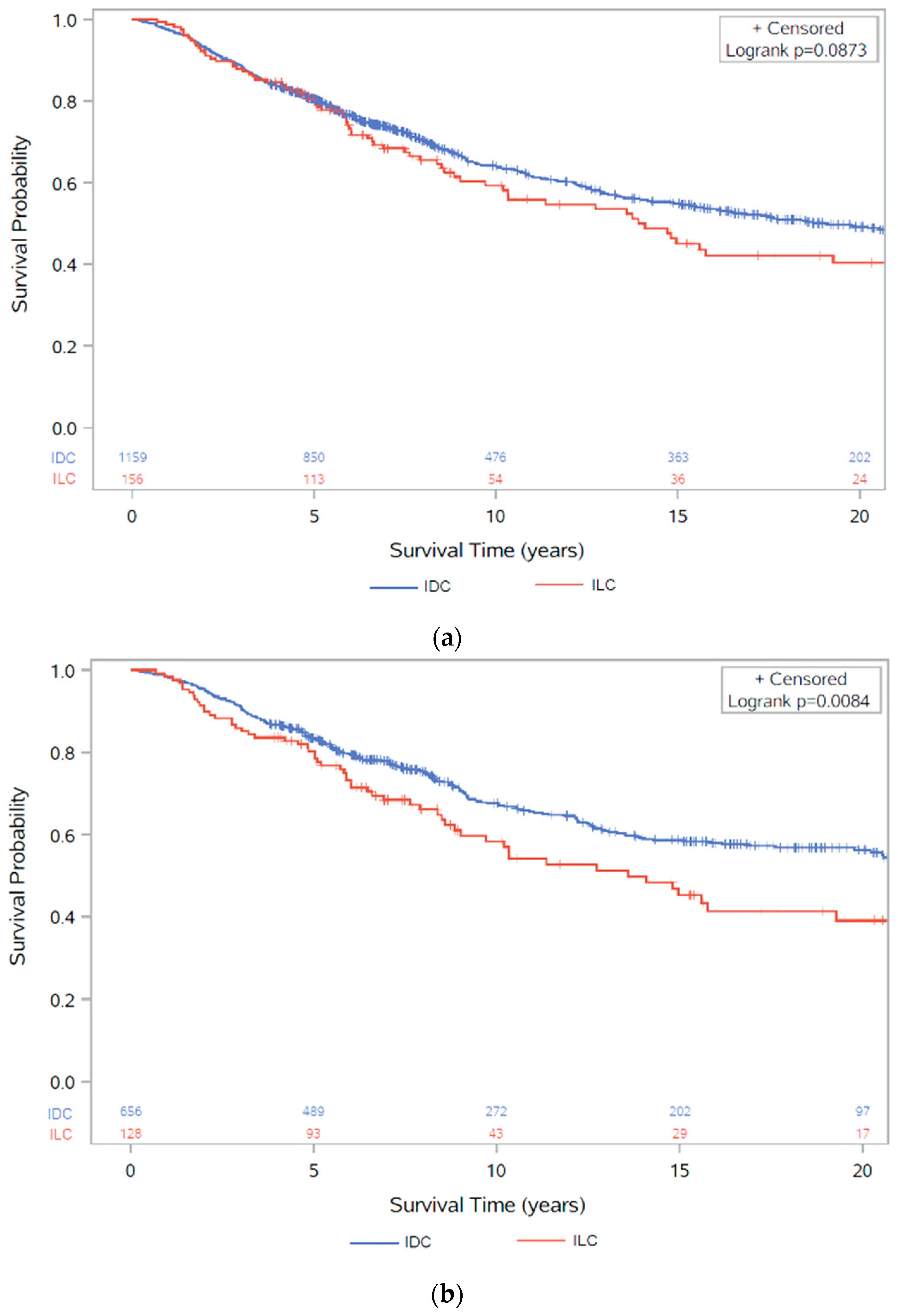
3.2. Survival after ER+ Breast Cancer Treated with Chemotherapy
3.3. Recurrences in Ductal and Lobular Breast Cancer
4. Discussion
5. Conclusions
Supplementary Materials
Author Contributions
Funding
Institutional Review Board Statement
Informed Consent Statement
Data Availability Statement
Acknowledgments
Conflicts of Interest
References
- Chen, Z.; Yang, J.; Li, S.; Lv, M.; Shen, Y.; Wang, B.; Li, P.; Yi, M.; Zhao, X.; Zhang, L.; et al. Invasive lobular carcinoma of the breast: A special histological type compared with invasive ductal carcinoma. PLoS ONE 2017, 12, e0182397. [Google Scholar] [CrossRef] [PubMed]
- Ciriello, G.; Gatza, M.L.; Beck, A.H.; Wilkerson, M.D.; Rhie, S.K.; Pastore, A.; Zhang, H.; McLellan, M.; Yau, C.; Kandoth, C.; et al. Comprehensive Molecular Portraits of Invasive Lobular Breast Cancer. Cell 2015, 163, 506–519. [Google Scholar] [CrossRef] [PubMed]
- Makki, J. Diversity of Breast Carcinoma: Histological Subtypes and Clinical Relevance. Clin. Med. Insights Pathol. 2015, 8, 23–31. [Google Scholar] [CrossRef]
- Mendelson, E.B.; Harris, K.M.; Doshi, N.; Tobon, H. Infiltrating lobular carcinoma: Mammographic patterns with pathologic correlation. AJR Am. J. Roentgenol. 1989, 153, 265–271. [Google Scholar] [CrossRef]
- Narendra, S.; Jenkins, S.M.; Khoor, A.; Nassar, A. Clinical outcome in pleomorphic lobular carcinoma: A case-control study with comparison to classic invasive lobular carcinoma. Ann. Diagn. Pathol. 2015, 19, 64–69. [Google Scholar] [CrossRef] [PubMed]
- Wolff, A.C.; Hammond, M.E.; Schwartz, J.N.; Hagerty, K.L.; Allred, D.C.; Cote, R.J.; Dowsett, M.; Fitzgibbons, P.L.; Hanna, W.M.; Langer, A.; et al. American Society of Clinical Oncology/College of American Pathologists guideline recommendations for human epidermal growth factor receptor 2 testing in breast cancer. Arch. Pathol. Lab. Med. 2007, 131, 18–43. [Google Scholar] [CrossRef]
- Ashikari, R.; Huvos, A.G.; Urban, J.A.; Robbins, G.F. Infiltrating lobular carcinoma of the breast. Cancer 1973, 31, 110–116. [Google Scholar] [CrossRef]
- Fortunato, L.; Mascaro, A.; Poccia, I.; Andrich, R.; Amini, M.; Costarelli, L.; Cortese, G.; Farina, M.; Vitelli, C. Lobular breast cancer: Same survival and local control compared with ductal cancer, but should both be treated the same way? analysis of an institutional database over a 10-year period. Ann. Surg. Oncol. 2012, 19, 1107–1114. [Google Scholar] [CrossRef]
- Piper, M.L.; Wong, J.; Fahrner-Scott, K.; Ewing, C.; Alvarado, M.; Esserman, L.J.; Mukhtar, R.A. Success rates of re-excision after positive margins for invasive lobular carcinoma of the breast. NPJ Breast Cancer 2019, 5, 29. [Google Scholar] [CrossRef]
- Arpino, G.; Bardou, V.J.; Clark, G.M.; Elledge, R.M. Infiltrating lobular carcinoma of the breast: Tumor characteristics and clinical outcome. Breast Cancer Res. 2004, 6, R149–R156. [Google Scholar] [CrossRef]
- Pestalozzi, B.C.; Zahrieh, D.; Mallon, E.; Gusterson, B.A.; Price, K.N.; Gelber, R.D.; Holmberg, S.B.; Lindtner, J.; Snyder, R.; Thurlimann, B.; et al. Distinct clinical and prognostic features of infiltrating lobular carcinoma of the breast: Combined results of 15 International Breast Cancer Study Group clinical trials. J. Clin. Oncol. 2008, 26, 3006–3014. [Google Scholar] [CrossRef]
- Mathew, A.; Rajagopal, P.S.; Villgran, V.; Sandhu, G.S.; Jankowitz, R.C.; Jacob, M.; Rosenzweig, M.; Oesterreich, S.; Brufsky, A. Distinct Pattern of Metastases in Patients with Invasive Lobular Carcinoma of the Breast. Geburtshilfe Frauenheilkd 2017, 77, 660–666. [Google Scholar] [CrossRef] [PubMed]
- Lim, S.T.; Yu, J.H.; Park, H.K.; Moon, B.I.; Ko, B.K.; Suh, Y.J. A comparison of the clinical outcomes of patients with invasive lobular carcinoma and invasive ductal carcinoma of the breast according to molecular subtype in a Korean population. World J. Surg. Oncol. 2014, 12, 56. [Google Scholar] [CrossRef] [PubMed]
- Dai, X.; Li, T.; Bai, Z.; Yang, Y.; Liu, X.; Zhan, J.; Shi, B. Breast cancer intrinsic subtype classification, clinical use and future trends. Am. J. Cancer Res. 2015, 5, 2929–2943. [Google Scholar] [PubMed]
- Mathieu, M.C.; Rouzier, R.; Llombart-Cussac, A.; Sideris, L.; Koscielny, S.; Travagli, J.P.; Contesso, G.; Delaloge, S.; Spielmann, M. The poor responsiveness of infiltrating lobular breast carcinomas to neoadjuvant chemotherapy can be explained by their biological profile. Eur. J. Cancer 2004, 40, 342–351. [Google Scholar] [CrossRef]
- Marmor, S.; Hui, J.Y.C.; Huang, J.L.; Kizy, S.; Beckwith, H.; Blaes, A.H.; Rueth, N.M.; Tuttle, T.M. Relative effectiveness of adjuvant chemotherapy for invasive lobular compared with invasive ductal carcinoma of the breast. Cancer 2017, 123, 3015–3021. [Google Scholar] [CrossRef]
- Loibl, S.; Volz, C.; Mau, C.; Blohmer, J.-U.; Costa, S.D.; Eidtmann, H.; Fasching, P.A.; Gerber, B.; Hanusch, C.; Jackisch, C.; et al. Response and prognosis after neoadjuvant chemotherapy in 1,051 patients with infiltrating lobular breast carcinoma. Breast Cancer Res. Treat. 2014, 144, 153–162. [Google Scholar] [CrossRef]
- Riba, L.A.; Russell, T.; Alapati, A.; Davis, R.B.; James, T.A. Characterizing Response to Neoadjuvant Chemotherapy in Invasive Lobular Breast Carcinoma. J. Surg. Res. 2019, 233, 436–443. [Google Scholar] [CrossRef]
- Truin, W.; Voogd, A.C.; Vreugdenhil, G.; van der Heiden-van der Loo, M.; Siesling, S.; Roumen, R.M. Effect of adjuvant chemotherapy in postmenopausal patients with invasive ductal versus lobular breast cancer. Ann. Oncol. 2012, 23, 2859–2865. [Google Scholar] [CrossRef]
- Hu, G.; Hu, G.; Zhang, C.; Lin, X.; Shan, M.; Yu, Y.; Lu, Y.; Niu, R.; Ye, H.; Wang, C.; et al. Adjuvant chemotherapy could not bring survival benefit to HR-positive, HER2-negative, pT1b-c/N0-1/M0 invasive lobular carcinoma of the breast: A propensity score matching study based on SEER database. BMC Cancer 2020, 20, 136. [Google Scholar] [CrossRef]
- Edge, S.; Byrd, D.R.; Compton, C.C.; Fritz, A.G.; Greene, F.; Trotti, A. (Eds.) AJCC Cancer Staging Manual, 7th ed.; Springer: New York, NY, USA, 2010; p. 718. [Google Scholar]
- Bane, A.L.; Tjan, S.; Parkes, R.K.; Andrulis, I.; O’Malley, F.P. Invasive lobular carcinoma: To grade or not to grade. Mod. Pathol. 2005, 18, 621–628. [Google Scholar] [CrossRef]
- Rakha, E.A.; El-Sayed, M.E.; Menon, S.; Green, A.R.; Lee, A.H.; Ellis, I.O. Histologic grading is an independent prognostic factor in invasive lobular carcinoma of the breast. Breast Cancer Res. Treat. 2008, 111, 121–127. [Google Scholar] [CrossRef] [PubMed]
- Dossus, L.; Benusiglio, P.R. Lobular breast cancer: Incidence and genetic and non-genetic risk factors. Breast Cancer Res. 2015, 17, 37. [Google Scholar] [CrossRef] [PubMed]
- Li, C.I.; Daling, J.R.; Malone, K.E.; Bernstein, L.; Marchbanks, P.A.; Liff, J.M.; Strom, B.L.; Simon, M.S.; Press, M.F.; McDonald, J.A.; et al. Relationship between Established Breast Cancer Risk Factors and Risk of Seven Different Histologic Types of Invasive Breast Cancer. Cancer Epidemiol. Biomark. Amp Prev. 2006, 15, 946–954. [Google Scholar] [CrossRef] [PubMed][Green Version]
- Ursin, G.; Bernstein, L.; Lord, S.J.; Karim, R.; Deapen, D.; Press, M.F.; Daling, J.R.; Norman, S.A.; Liff, J.M.; Marchbanks, P.A.; et al. Reproductive factors and subtypes of breast cancer defined by hormone receptor and histology. Br. J. Cancer 2005, 93, 364–371. [Google Scholar] [CrossRef]
- Kotsopoulos, J.; Chen, W.Y.; Gates, M.A.; Tworoger, S.S.; Hankinson, S.E.; Rosner, B.A. Risk factors for ductal and lobular breast cancer: Results from the nurses’ health study. Breast Cancer Res. 2010, 12, R106. [Google Scholar] [CrossRef] [PubMed]
- LiVolsi, V.A.; Kelsey, J.L.; Fischer, D.B.; Holford, T.R.; Mostow, E.D.; Goldenberg, I.S. Effect of age at first childbirth on risk of developing specific histologic subtype of breast cancer. Cancer 1982, 49, 1937–1940. [Google Scholar] [CrossRef]
- Phipps, A.I.; Li, C.I.; Kerlikowske, K.; Barlow, W.E.; Buist, D.S. Risk factors for ductal, lobular, and mixed ductal-lobular breast cancer in a screening population. Cancer Epidemiol. Biomark. Prev. 2010, 19, 1643–1654. [Google Scholar] [CrossRef]
- Wohlfahrt, J.; Mouridsen, H.; Andersen, P.K.; Melbye, M. Reproductive risk factors for breast cancer by receptor status, histology, laterality and location. Int. J. Cancer 1999, 81, 49–55. [Google Scholar] [CrossRef]
- Rosenberg, L.U.; Magnusson, C.; Lindström, E.; Wedrén, S.; Hall, P.; Dickman, P.W. Menopausal hormone therapy and other breast cancer risk factors in relation to the risk of different histological subtypes of breast cancer: A case-control study. Breast Cancer Res. BCR 2006, 8, R11. [Google Scholar] [CrossRef]
- NICE. Guidance on the Use of Trastuzumab for the Treatment of Advanced Breast Cancer; National Institute for Clinical Excellence: London, UK, 2002. [Google Scholar]
- NICE. Trastuzumab for the Adjuvant Treatment of Early Stage HER2-Positive Breast Cancer; National Institute for Health and Clinical Excellence: London, UK, 2006. [Google Scholar]
- Anampa, J.; Makower, D.; Sparano, J.A. Progress in adjuvant chemotherapy for breast cancer: An overview. BMC Med. 2015, 13, 195. [Google Scholar] [CrossRef]
- Sobinsky, J.D.; Willson, T.D.; Podbielski, F.J.; Connolly, M.M. Unusual metastatic patterns of invasive lobular carcinoma of the breast. Case Rep. Oncol. Med. 2013, 2013, 986517. [Google Scholar] [CrossRef]
- Montagna, E.; Pirola, S.; Maisonneuve, P.; De Roberto, G.; Cancello, G.; Palazzo, A.; Viale, G.; Colleoni, M. Lobular Metastatic Breast Cancer Patients With Gastrointestinal Involvement: Features and Outcomes. Clin. Breast Cancer 2018, 18, e401–e405. [Google Scholar] [CrossRef]
- Rakha, E.A.; Ellis, I.O. Lobular breast carcinoma and its variants. Semin. Diagn. Pathol. 2010, 27, 49–61. [Google Scholar] [CrossRef] [PubMed]
- Yang, C.; Lei, C.; Zhang, Y.; Zhang, J.; Ji, F.; Pan, W.; Zhang, L.; Gao, H.; Yang, M.; Li, J.; et al. Comparison of Overall Survival Between Invasive Lobular Breast Carcinoma and Invasive Ductal Breast Carcinoma: A Propensity Score Matching Study Based on SEER Database. Front. Oncol. 2020, 10. [Google Scholar] [CrossRef] [PubMed]
- Adachi, Y.; Ishiguro, J.; Kotani, H.; Hisada, T.; Ichikawa, M.; Gondo, N.; Yoshimura, A.; Kondo, N.; Hattori, M.; Sawaki, M.; et al. Comparison of clinical outcomes between luminal invasive ductal carcinoma and luminal invasive lobular carcinoma. BMC Cancer 2016, 16, 248. [Google Scholar] [CrossRef] [PubMed]
- Cristofanilli, M.; Gonzalez-Angulo, A.; Sneige, N.; Kau, S.W.; Broglio, K.; Theriault, R.L.; Valero, V.; Buzdar, A.U.; Kuerer, H.; Buchholz, T.A.; et al. Invasive lobular carcinoma classic type: Response to primary chemotherapy and survival outcomes. J. Clin. Oncol. 2005, 23, 41–48. [Google Scholar] [CrossRef] [PubMed]
- Delpech, Y.; Coutant, C.; Hsu, L.; Barranger, E.; Iwamoto, T.; Barcenas, C.H.; Hortobagyi, G.N.; Rouzier, R.; Esteva, F.J.; Pusztai, L. Clinical benefit from neoadjuvant chemotherapy in oestrogen receptor-positive invasive ductal and lobular carcinomas. Br. J. Cancer 2013, 108, 285–291. [Google Scholar] [CrossRef] [PubMed]
- Tamirisa, N.; Williamson, H.V.; Thomas, S.M.; Westbrook, K.E.; Greenup, R.A.; Plichta, J.K.; Rosenberger, L.H.; Hyslop, T.; Hwang, E.-S.S.; Fayanju, O.M. The impact of chemotherapy sequence on survival in node-positive invasive lobular carcinoma. J. Surg. Oncol. 2019, 120, 132–141. [Google Scholar] [CrossRef]
- de Nonneville, A.; Jauffret, C.; Goncalves, A.; Classe, J.M.; Cohen, M.; Reyal, F.; Mazouni, C.; Chauvet, M.P.; Chopin, N.; Colombo, P.E.; et al. Adjuvant chemotherapy in lobular carcinoma of the breast: A clinicopathological score identifies high-risk patient with survival benefit. Breast Cancer Res. Treat. 2019, 175, 379–387. [Google Scholar] [CrossRef]
- Altundag, K.; Altundag, O.; Akyurek, S.; Karakaya, E.; Turen, S. Inactivation of E-cadherin and less sensitivity of lobular breast carcinoma cells to chemotherapy. Breast 2006, 15, 300. [Google Scholar] [CrossRef]
- Isakoff, S.J.; Engelman, J.A.; Irie, H.Y.; Luo, J.; Brachmann, S.M.; Pearline, R.V.; Cantley, L.C.; Brugge, J.S. Breast cancer-associated PIK3CA mutations are oncogenic in mammary epithelial cells. Cancer Res. 2005, 65, 10992–11000. [Google Scholar] [CrossRef] [PubMed]
- Wang, T.; Xu, Y.; Sheng, S.; Yuan, H.; Ouyang, T.; Li, J.; Wang, T.; Fan, Z.; Fan, T.; Lin, B.; et al. HER2 somatic mutations are associated with poor survival in HER2-negative breast cancers. Cancer Sci. 2017, 108, 671–677. [Google Scholar] [CrossRef] [PubMed]
- Kurozumi, S.; Alsaleem, M.; Monteiro, C.J.; Bhardwaj, K.; Joosten, S.E.P.; Fujii, T.; Shirabe, K.; Green, A.R.; Ellis, I.O.; Rakha, E.A.; et al. Targetable ERBB2 mutation status is an independent marker of adverse prognosis in estrogen receptor positive, ERBB2 non-amplified primary lobular breast carcinoma: A retrospective in silico analysis of public datasets. Breast Cancer Res. 2020, 22, 85. [Google Scholar] [CrossRef] [PubMed]
- Agostinetto, E.; Caparica, R.; de Azambuja, E. CDK4/6 inhibition in HR-positive early breast cancer: Are we putting all eggs in one basket? ESMO Open 2020, 5. [Google Scholar] [CrossRef] [PubMed]
- Felts, J.L.; Zhu, J.; Han, B.; Smith, S.J.; Truica, C.I. An Analysis of Oncotype DX Recurrence Scores and Clinicopathologic Characteristics in Invasive Lobular Breast Cancer. Breast J. 2017, 23, 677–686. [Google Scholar] [CrossRef] [PubMed]
- Moss, C.; Haire, A.; Cahill, F.; Enting, D.; Hughes, S.; Smith, D.; Sawyer, E.; Davies, A.; Zylstra, J.; Haire, K.; et al. Guy’s cancer cohort—Real world evidence for cancer pathways. BMC Cancer 2020, 20, 187. [Google Scholar] [CrossRef] [PubMed]






| Characteristics | ER+ IDC (%) | ER+ ILC (%) | p-Value (x2) | ER+ IDC (%) | ER+ ILC (%) | p-Value (x2) |
|---|---|---|---|---|---|---|
| N = 4276 | N = 633 | N = 1159 | N = 156 | |||
| All ER+ patients | In those who received neo/adjuvant chemotherapy | |||||
| Age at diagnosis 1 | 57.2 (±13.7) | 59.6 (±13.0) | <0.001 | 48.6 (±10.5) | 51.2 (±9.8) | 0.037 |
| Age at diagnosis | <0.001 | 0.045 | ||||
| Below 50 | 1341 (31.4) | 154 (24.3) | 641 (55.3) | 73 (46.8) | ||
| Above 50 | 2935 (68.6) | 479 (75.7) | 518 (44.7) | 83 (53.2) | ||
| All-cause deaths | 2467 (57.7) | 364 (57.5) | 0.928 | 489 (42.2) | 75 (48.1) | 0.163 |
| Breast cancer | 1179 (27.6) | 176 (27.8) | 289 (24.9) | 45 (28.9) | ||
| Other/missing death causes | 1288 (30.1) | 188 (29.7) | 200 (17.2) | 30 (19.2) | ||
| Follow-up time 1 | 8.4 (± 9.6) | 8.3 (± 8.9) | 0.061 | 7.8 (± 8.8) | 6.9 (± 8.3) | 0.159 |
| Follow-up time | 0.043 | 0.420 | ||||
| <5 years | 1114 (26.1) | 156 (24.6) | 309 (26.6) | 43 (27.6) | ||
| 5–10 years | 1235 (28.9) | 216 (34.1) | 374 (32.3) | 59 (37.8) | ||
| 10–20 years | 1043 (24.4) | 149 (23.5) | 274 (23.6) | 30 (19.2) | ||
| 20 years + | 884 (20.7) | 112 (17.7) | 202 (17.4) | 24 (15.4) | ||
| Family History | 0.232 | 0.389 | ||||
| No family history | 2161 (50.5) | 299 (47.2) | 493 (42.5) | 57 (36.5) | ||
| 1st or 2nd degree, or both | 632 (14.8) | 98 (15.5) | 157 (13.6) | 23 (14.7) | ||
| 3rd degree | 11 (0.3) | 0 (0) | 6 (0.5) | 0 (0) | ||
| Missing | 1472 (34.4) | 236 (37.3) | 503 (43.4) | 76 (48.7) | ||
| Ethnicity | 0.055 | 0.080 | ||||
| White | 1383 (32.3) | 235 (37.1) | 426 (36.8) | 74 (47.4) | ||
| Black | 265 (6.2) | 31 (4.9) | 129 (11.1) | 10 (6.4) | ||
| Asian | 67 (1.6) | 5 (0.8) | 26 (2.2) | 1 (0.6) | ||
| Mixed | 20 (0.5) | 5 (0.8) | 9 (0.8) | 2 (1.3) | ||
| Other | 59 (1.4) | 5 (0.8) | 26 (2.2) | 3 (1.9) | ||
| Missing | 2482 (58.0) | 352 (55.6) | 543 (46.9) | 66 (42.3) | ||
| Number of births | 0.267 | 0.212 | ||||
| 0 | 639 (14.9) | 77 (12.2) | 136 (11.7) | 14 (9.0) | ||
| 1–2 | 1291 (30.2) | 192 (30.3) | 312 (26.9) | 39 (25.0) | ||
| 3–4 | 576 (13.5) | 88 (13.9) | 141 (12.2) | 20 (12.8) | ||
| 5+ | 107 (2.5) | 22 (3.5) | 21 (1.8) | 7 (4.5) | ||
| Unknown/missing | 1663 (38.9) | 254 (40.1) | 549 (47.4) | 76 (48.7) | ||
| Characteristics | ER+ IDC (%) | ER+ ILC (%) | p-Value (x2) | ER+ IDC (%) | ER+ ILC (%) | p-Value (x2) |
|---|---|---|---|---|---|---|
| N = 4276 | N = 633 | N = 1159 | N = 156 | |||
| All ER+ patients | In those who received primary chemotherapy | |||||
| Chemotherapy | 0.056 | 0.454 | ||||
| Neo-adjuvant (NACT) | 325 (7.6) | 62 (9.8) | 195 (16.8) | 30 (19.2) | ||
| Adjuvant (ACT) | 969 (22.7) | 124 (19.6) | 964 (83.2) | 126 (80.8) | ||
| HER2 Status 3 | <0.001 | <0.001 | ||||
| Negative | 2267 (53.0) | 420 (66.4) | 656 (56.6) | 128 (82.1) | ||
| Positive | 521 (12.2) | 35 (5.5) | 239 (20.6) | 17 (10.9) | ||
| Missing | 1488 (34.8) | 178 (28.1) | 264 (22.8) | 11 (7.0) | ||
| Tumour size (mm) 1 | 20.0 (±17.7) | 22.0 (±24.0) | <0.001 | 22 (±18.6) | 30 (±27.8) | <0.001 |
| T Stage | <0.001 | <0.001 | ||||
| T1 (1–20 mm) | 2179 (51.0) | 269 (42.5) | 478 (41.2) | 38 (24.4) | ||
| T2 (20–50 mm) | 1416 (33.1) | 243 (38.4) | 473 (40.8) | 72 (46.2) | ||
| T3 (50 mm+) | 173 (4.0) | 64 (10.1) | 85 (7.3) | 25 (16.0) | ||
| T4 | 341 (8.0) | 44 (6.9) | 99 (8.5) | 19 (12.2) | ||
| Missing | 167 (3.9) | 13 (2.1) | 24 (2.1) | 2 (1.3) | ||
| N Stage | 0.001 | 0.006 | ||||
| N0 | 1730 (40.5) | 276 (43.6) | 247 (21.3) | 30 (19.2) | ||
| N1 | 1182 (27.6) | 142 (22.4) | 512 (44.2) | 54 (34.6) | ||
| N2 | 372 (8.7) | 51 (8.1) | 172 (14.8) | 25 (16.0) | ||
| N3 | 220 (5.1) | 54 (8.5) | 115 (9.9) | 30 (19.2) | ||
| Missing | 772 (18.1) | 110 (17.4) | 113 (9.8) | 17 (10.9) | ||
| Grade 2 | <0.001 | <0.001 | ||||
| Grade 1 | 566 (13.2) | 14 (2.2) | 71 (6.1) | 3 (1.9) | ||
| Grade 2 | 2020 (47.2) | 563 (88.9) | 459 (39.6) | 131 (84.0) | ||
| Grade 3 | 1449 (33.9) | 56 (8.9) | 571 (49.3) | 22 (14.1) | ||
| Missing | 241 (5.6) | 0 (0) | 58 (5.0) | 0 (0) | ||
| Metastatic on diagnosis | 190 (4.4) | 31 (4.9) | 0.607 | 51 (4.4) | 7 (4.5) | 0.960 |
| Variables Included | OS HR (95% CI) | p-Value | |
|---|---|---|---|
| Crude | |||
| Invasive type | IDC | 1 reference | |
| ILC | 1.05 (0.94, 1.18) | 0.356 | |
| Multivariate 1 | |||
| Invasive type | IDC | 1 reference | |
| ILC | 0.94 (0.83, 1.04) | 0.269 | |
| Age at diagnosis | <50 | 1 reference | |
| >50 | 1.31 (1.19, 1.44) | <0.001 | |
| Grade | Grade 1 | 1 reference | |
| Grade 2 | 1.14 (1.00, 1.30) | 0.046 | |
| Grade 3 | 1.33 (1.16, 1.52) | <0.001 | |
| Missing | 0.63 (0.50, 0.81) | <0.001 | |
| Tumour size (TNM) | T1 (1–20 mm) | 1 reference | |
| T2 (20–50 mm) | 1.14 (1.04, 1.24) | 0.003 | |
| T3 (50 mm+) | 1.13 (0.95, 1.36) | 0.165 | |
| T4 | 1.36 (1.18, 1.55) | <0.001 | |
| Missing | 1.00 (0.81, 1.24) | 0.975 | |
| Nodal spread (TNM) | N0 | 1 reference | |
| N1 | 1.37 (1.24, 1.52) | <0.001 | |
| N2 | 1.66 (1.45, 1.92) | <0.001 | |
| N3 | 2.24 (1.91, 2.62) | <0.001 | |
| Missing | 1.86 (1.66, 2.08) | <0.001 | |
| HER2 Status | Negative | 1 reference | |
| Positive | 1.28 (1.13, 1.45) | <0.001 | |
| Missing | 1.50 (1.39, 1.63) | <0.001 | |
| Chemotherapy | No chemotherapy | 1 reference | |
| Neo-adjuvant | 0.40 (0.33, 0.49) | <0.001 | |
| Adjuvant | 0.69 (0.62, 0.77) | <0.001 | |
| Variables Included | OS HR (95% CI) | p-Value | |
|---|---|---|---|
| Crude | |||
| Invasive Type | IDC | 1 reference | |
| ILC | 1.24 (0.97, 1.58) | 0.088 | |
| Multivariate 1 | |||
| Invasive type | IDC | 1 reference. | |
| ILC | 1.30 (1.00, 1.70) | 0.050 | |
| Age | <50 | 1 reference. | |
| >50 | 1.38 (1.16, 1.63) | <0.001 | |
| Grade | Grade 1 | 1 reference. | |
| Grade 2 | 1.11 (0.74, 1.66) | 0.618 | |
| Grade 3 | 1.54 (1.03, 2.32) | 0.037 | |
| Missing | 0.95 (0.53, 1.69) | 0.855 | |
| Tumour size (TNM) | T1 (1–20 mm) | 1 reference. | |
| T2 (20–50 mm) | 1.21 (0.98, 1.48) | 0.070 | |
| T3 (50 mm+) | 1.31 (0.94, 1.81) | 0.106 | |
| T4 | 1.29 (0.97, 1.72) | 0.085 | |
| Missing | 1.40 (0.78, 2.50) | 0.261 | |
| Nodal spread (TNM) | N0 | 1 reference. | |
| N1 | 2.30 (1.63, 3.25) | <0.001 | |
| N2 | 3.29 (2.26, 4.81) | <0.001 | |
| N3 | 5.27 (3.62, 7.66) | <0.001 | |
| Missing | 5.73 (3.83, 8.57) | <0.001 | |
| HER2 Status | Negative | 1 reference. | |
| Positive | 1.17 (0.93, 1.47) | 0.184 | |
| Missing | 1.52 (1.24, 1.87) | <0.001 | |
| Variables Included | OS HR (95% CI) | p-Value | |
|---|---|---|---|
| Crude | |||
| Invasive type | IDC | 1 reference | |
| ILC | 1.46 (1.10, 1.93) | 0.009 | |
| Multivariate | |||
| Invasive type | IDC | 1 reference. | |
| ILC | 1.46 (1.06, 2.01) | 0.021 | |
| Age | <50 | 1 reference. | |
| >50 | 1.41 (1.12, 1.77) | 0.004 | |
| Grade | Grade 1 | 1 reference. | |
| Grade 2 | 2.15 (1.12, 4.13) | 0.022 | |
| Grade 3 | 3.35 (1.75, 6.39) | <0.001 | |
| Missing | 3.37 (1.18, 9.57) | 0.023 | |
| Tumour size (TNM) | T1 (1–20 mm) | 1 reference. | |
| T2 (20–50 mm) | 1.39 (1.05, 1.83) | 0.023 | |
| T3 (50 mm+) | 1.50 (0.98, 2.29) | 0.061 | |
| T4 | 2.10 (1.40, 3.16) | <0.001 | |
| Missing | 2.86 (0.96, 8.55) | 0.060 | |
| Nodal spread (TNM) | N0 | 1 reference. | |
| N1 | 2.07 (1.32, 3.24) | 0.001 | |
| N2 | 3.25 (2.02, 5.25) | <0.001 | |
| N3 | 6.41 (3.99, 10.31) | <0.001 | |
| Missing | 4.76 (2.76, 8.23) | <0.001 | |
| Metastatic Characteristics | IDC (%) | ILC (%) | p-Value (x2) |
|---|---|---|---|
| N = 1264 | N = 183 | ||
| Age at metastasis1 | 60.9 (±13.3) | 61.0 (±12.5) | 0.154 |
| Time to death after metastasis1 | 1.8 (±3.6) | 1.9 (±4.5) | 0.385 |
| Recurrence-free survival time1 | 3.6 (±5.8) | 4.8 (±6.0) | 0.206 |
| Metastasis-free survival time1 | 2.8 (±4.8) | 3.4 (±4.6) | 0.462 |
| Site of distant metastasis | |||
| Bone | 856 (67.7) | 135 (73.8) | 0.100 |
| Lung | 562 (44.5) | 44 (24.0) | <0.001 |
| Liver | 416 (32.9) | 40 (21.9) | 0.003 |
| Lymph nodes | 262 (20.7) | 32 (17.5) | 0.308 |
| Cutaneous | 177 (14.0) | 34 (18.6) | 0.101 |
| Brain | 157 (12.4) | 12 (6.7) | 0.021 |
| Peritoneal/GI | 72 (5.7) | 24 (13.1) | <0.001 |
| Other (adrenal glands, ovary) | 187 (14.8) | 43 (23.5) | 0.003 |
Publisher’s Note: MDPI stays neutral with regard to jurisdictional claims in published maps and institutional affiliations. |
© 2021 by the authors. Licensee MDPI, Basel, Switzerland. This article is an open access article distributed under the terms and conditions of the Creative Commons Attribution (CC BY) license (https://creativecommons.org/licenses/by/4.0/).
Share and Cite
Timbres, J.; Moss, C.; Mera, A.; Haire, A.; Gillett, C.; Van Hemelrijck, M.; Sawyer, E. Survival Outcomes in Invasive Lobular Carcinoma Compared to Oestrogen Receptor-Positive Invasive Ductal Carcinoma. Cancers 2021, 13, 3036. https://doi.org/10.3390/cancers13123036
Timbres J, Moss C, Mera A, Haire A, Gillett C, Van Hemelrijck M, Sawyer E. Survival Outcomes in Invasive Lobular Carcinoma Compared to Oestrogen Receptor-Positive Invasive Ductal Carcinoma. Cancers. 2021; 13(12):3036. https://doi.org/10.3390/cancers13123036
Chicago/Turabian StyleTimbres, Jasmine, Charlotte Moss, Anca Mera, Anna Haire, Cheryl Gillett, Mieke Van Hemelrijck, and Elinor Sawyer. 2021. "Survival Outcomes in Invasive Lobular Carcinoma Compared to Oestrogen Receptor-Positive Invasive Ductal Carcinoma" Cancers 13, no. 12: 3036. https://doi.org/10.3390/cancers13123036
APA StyleTimbres, J., Moss, C., Mera, A., Haire, A., Gillett, C., Van Hemelrijck, M., & Sawyer, E. (2021). Survival Outcomes in Invasive Lobular Carcinoma Compared to Oestrogen Receptor-Positive Invasive Ductal Carcinoma. Cancers, 13(12), 3036. https://doi.org/10.3390/cancers13123036
