Statin Use and the Risk of Hepatocellular Carcinoma: A Meta-Analysis of Observational Studies
Abstract
1. Introduction
2. Results
2.1. Literature Screening
2.2. Study Characteristics
2.3. Study Quality
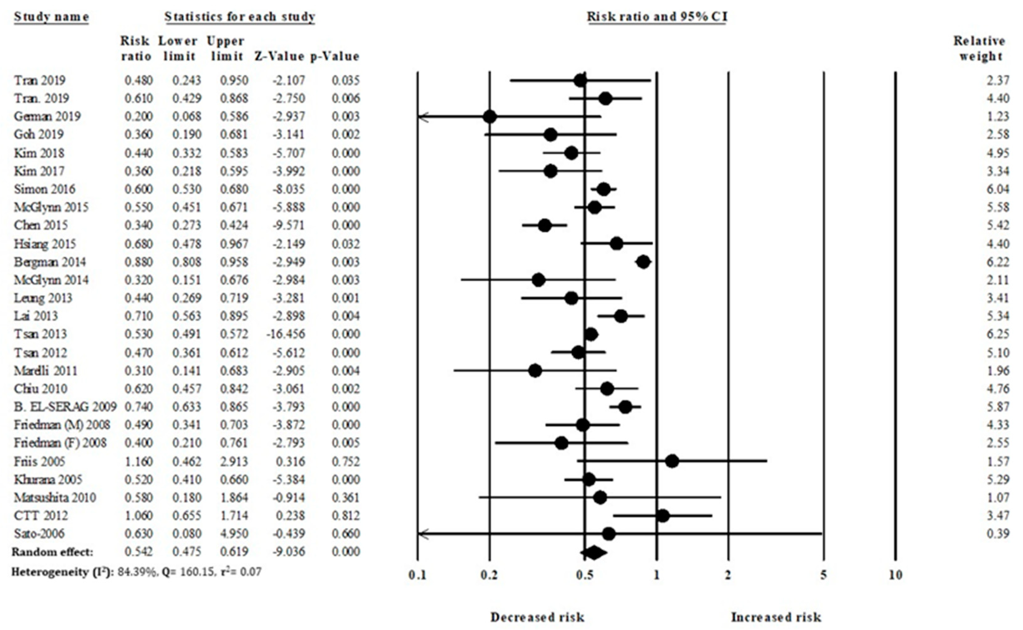
2.4. Meta-Analysis
2.4.1. Primary Analysis
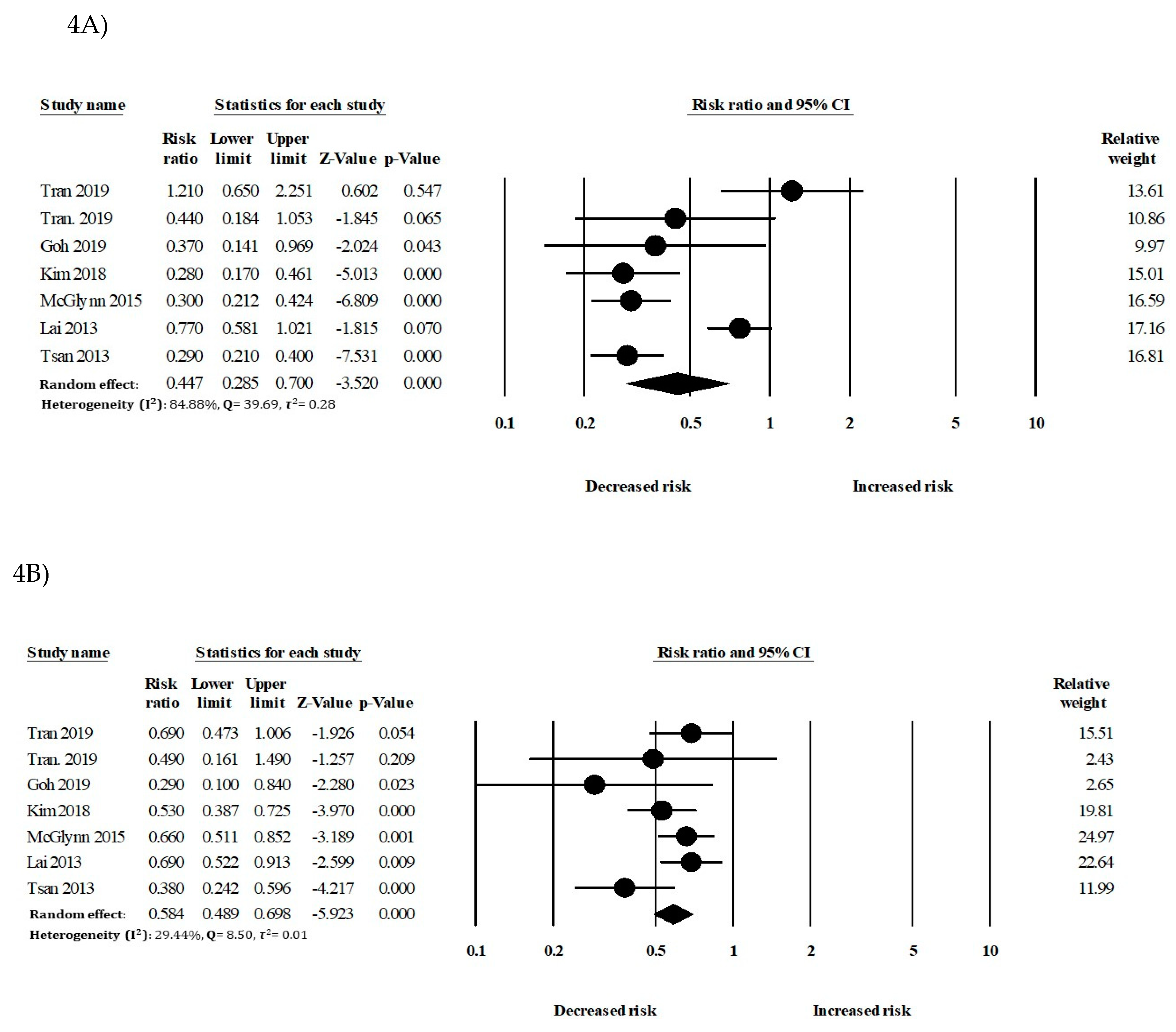
2.4.2. Secondary Analysis
2.5. Subgroup Analysis
2.6. Publication Bias
3. Discussion
3.1. Major Findings
3.2. Comparison with Other Studies
3.3. Biological Plausibility
3.4. Quality of the Evidence
3.5. Study Limitations
3.6. Research and Clinical Implications
4. Methods
4.1. Meta-Analytic Guidelines
4.2. Databases and Search Strategy
4.3. Eligibility Criteria
4.4. Selection Process
4.5. Data Extraction
4.6. Assessment of Bias Risk
4.7. Statistical Analysis
5. Conclusions
Supplementary Materials
Author Contributions
Funding
Acknowledgments
Conflicts of Interest
References
- Rawla, P.; Sunkara, T.; Muralidharan, P.; Raj, J.P. Update in global trends and aetiology of hepatocellular carcinoma. Contemp. Oncol. 2018, 22, 141. [Google Scholar] [CrossRef] [PubMed]
- Chan, A.W.; Zhong, J.; Berhane, S.; Toyoda, H.; Cucchetti, A.; Shi, K.; Tada, T.; Chong, C.C.; Xiang, B.D.; Li, L.Q. Development of pre and post-operative models to predict early recurrence of hepatocellular carcinoma after surgical resection. J. Hepatol. 2018, 69, 1284–1293. [Google Scholar] [CrossRef] [PubMed]
- Ghouri, Y.A.; Mian, I.; Rowe, J.H. Review of hepatocellular carcinoma: Epidemiology, etiology, and carcinogenesis. J. Carcinog. 2017, 16, 1. [Google Scholar] [PubMed]
- El-serag, H.B.; Tran, T.; Everhart, J.E. Diabetes increases the risk of chronic liver disease and hepatocellular carcinoma. Gastroenterology 2004, 126, 460–468. [Google Scholar] [CrossRef]
- Perz, J.F.; Armstrong, G.L.; Farrington, L.A.; Hutin, Y.J.; Bell, B.P. The contributions of hepatitis B virus and hepatitis C virus infections to cirrhosis and primary liver cancer worldwide. J. Hepatol. 2006, 45, 529–538. [Google Scholar] [CrossRef]
- Preda, C.; Popescu, C.; Baicus, C.; Constantinescu, I.; Oproiu, A.; Voiosu, T.; Diculescu, M.; Negreanu, L.; Gheorghe, L.; Sporea, I. Risk of hepatitis B virus reactivation in hepatitis B virus+ hepatitis C virus-co-infected patients with compensated liver cirrhosis treated with ombitasvir, paritaprevir/r+ dasabuvir+ ribavirin. J. Viral. Hepat. 2018, 25, 834–841. [Google Scholar] [CrossRef]
- Lee, M.H.; Yang, H.I.; Liu, J.; Batrla-Utermann, R.; Jen, C.L.; Iloeje, U.H.; Lu, S.N.; You, S.L.; Wang, L.Y.; Chen, C.J. Prediction models of long-term cirrhosis and hepatocellular carcinoma risk in chronic hepatitis B patients: Risk scores integrating host and virus profiles. Hepatology 2013, 58, 546–554. [Google Scholar] [CrossRef]
- Fattovich, G.; Stroffolini, T.; Zagni, I.; Donato, F. Hepatocellular carcinoma in cirrhosis: Incidence and risk factors. Gastroenterology 2004, 127, 35–50. [Google Scholar] [CrossRef]
- Davila, J.; Morgan, R.; Shaib, Y.; McGlynn, K.; El-Serag, H. Diabetes increases the risk of hepatocellular carcinoma in the United States: A population based case control study. Gut 2005, 54, 533–539. [Google Scholar] [CrossRef]
- Simon, T.G.; King, L.Y.; Zheng, H.; Chung, R.T. Statin use is associated with a reduced risk of fibrosis progression in chronic hepatitis C. J. Hepatol. 2015, 62, 18–23. [Google Scholar] [CrossRef]
- Yang, Y.H.; Chen, W.C.; Tsan, Y.T.; Chen, M.J.; Shih, W.T.; Tsai, Y.H.; Chen, P.C. Statin use and the risk of cirrhosis development in patients with hepatitis C virus infection. J. Hepatol. 2015, 63, 1111–1117. [Google Scholar] [CrossRef] [PubMed]
- Undela, K.; Shah, C.S.; Mothe, R.K. Statin use and risk of cancer: An overview of meta-analyses. World J. Meta-Anal. 2017, 26, 41–53. [Google Scholar] [CrossRef]
- Baigent, C.; Blackwell, L.; Emberson, J.; Holland, L.; Reith, C.; Bhala, N.; Peto, R.; Barnes, E.; Keech, A.; Simes, J. Efficacy and Safety of More Intensive Lowering of LDL Cholesterol: A Meta-Analysis of Data from 170,000 Participants in 26 Randomised Trials. Lancet 2010, 376, 1670–1681. [Google Scholar] [PubMed]
- Singh, S.; Singh, P.P.; Singh, A.G.; Murad, M.H.; Sanchez, W. Statins are associated with a reduced risk of hepatocellular cancer: A systematic review and meta-analysis. Gastroenterology 2013, 144, 323–332. [Google Scholar] [CrossRef] [PubMed]
- Souk, K.; Al-Badri, M.; Azar, S. The safety and benefit of statins in liver cirrhosis: A review. Exp. Clin. Endocrinol. Diabetes 2015, 123, 577–580. [Google Scholar] [CrossRef]
- Kubatka, P.; Kruzliak, P.; Rotrekl, V.; Jelinkova, S.; Mladosievicova, B. Statins in oncological research: From experimental studies to clinical practice. Crit. Rev. Oncol. Hematol. 2014, 92, 296–311. [Google Scholar] [CrossRef]
- Inano, H.; Suzuki, K.; Onoda, M.; Wakabayashi, K. Anti-carcinogenic activity of simvastatin during the promotion phase of radiation-induced mammary tumorigenesis of rats. Carcinogenesis 1997, 18, 1723–1727. [Google Scholar] [CrossRef]
- Björkhem-Bergman, L.; Acimovic, J.; Torndal, U.B.; Parini, P.; Eriksson, L.C. Lovastatin prevents carcinogenesis in a rat model for liver cancer. Effects of ubiquinone supplementation. Anticancer Res. 2010, 30, 1105–1112. [Google Scholar]
- Relja, B.; Meder, F.; Wang, M.; Blaheta, R.; Henrich, D.; Marzi, I.; Lehnert, M. Simvastatin modulates the adhesion and growth of hepatocellular carcinoma cells via decrease of integrin expression and ROCK. Int. J. Oncol. 2011, 38, 879–885. [Google Scholar] [CrossRef]
- Wang, J.; Tokoro, T.; Higa, S.; Kitajima, I. Anti-inflammatory effect of pitavastatin on NF-κB activated by TNF-α in hepatocellular carcinoma cells. Biol. Pharm. Bull. 2006, 29, 634–639. [Google Scholar] [CrossRef]
- Ghalali, A.; Martin-Renedo, J.; Högberg, J.; Stenius, U. Atorvastatin decreases HBx-induced phospho-Akt in hepatocytes via P2X receptors. Mol. Cancer Res. 2017, 15, 714–722. [Google Scholar] [CrossRef] [PubMed]
- Cao, Z.; Fan-Minogue, H.; Bellovin, D.I.; Yevtodiyenko, A.; Arzeno, J.; Yang, Q.; Gambhir, S.S.; Felsher, D.W. MYC phosphorylation, activation, and tumorigenic potential in hepatocellular carcinoma are regulated by HMG-CoA reductase. Cancer Res. 2011, 71, 2286–2297. [Google Scholar] [CrossRef] [PubMed]
- Tran, K.T.; McMenamin, Ú.C.; Coleman, H.G.; Cardwell, C.R.; Murchie, P.; Iversen, L.; Lee, A.J.; Thrift, A.P. Statin use and risk of liver cancer: Evidence from two population-based studies. Int. J. Cancer 2019, 146, 1250–1260. [Google Scholar] [CrossRef] [PubMed]
- German, M.N.; Lutz, M.K.; Pickhardt, P.J.; Bruce, R.J.; Said, A. Statin use is protective against hepatocellular carcinoma in patients with nonalcoholic fatty liver disease: A case-control study. J. Clin. Gastroenterol. 2019. [Google Scholar] [CrossRef]
- Goh, M.J.; Sinn, D.H.; Kim, S.; Woo, S.Y.; Cho, H.; Kang, W.; Gwak, G.Y.; Paik, Y.H.; Choi, M.S.; Lee, J.; et al. Statin use and the risk of hepatocellular carcinoma in patients with chronic hepatitis B. Hepatology 2019. [Google Scholar] [CrossRef] [PubMed]
- Kim, G.; Jang, S.Y.; Nam, C.M.; Kang, E.S. Statin use and the risk of hepatocellular carcinoma in patients at high risk: A nationwide nested case-control study. J. Hepatol. 2018, 68, 476–484. [Google Scholar] [CrossRef]
- Kim, G.; Jang, S.Y.; Han, E.; Lee, Y.h.; Park, S.y.; Nam, C.M.; Kang, E.S. Effect of statin on hepatocellular carcinoma in patients with type 2 diabetes: A nationwide nested case-control study. Int. J. Cancer 2017, 140, 798–806. [Google Scholar] [CrossRef]
- Simon, T.G.; Bonilla, H.; Yan, P.; Chung, R.T.; Butt, A.A. Atorvastatin and fluvastatin are associated with dose-dependent reductions in cirrhosis and hepatocellular carcinoma, among patients with hepatitis C virus: Results from ERCHIVES. Hepatology 2016, 64, 47–57. [Google Scholar] [CrossRef]
- Hsiang, J.C.; Wong, G.L.H.; Tse, Y.K.; Wong, V.W.S.; Yip, T.C.F.; Chan, H.L.Y. Statin and the risk of hepatocellular carcinoma and death in a hospital-based hepatitis B-infected population: A propensity score landmark analysis. J. Hepatol. 2015, 63, 1190–1197. [Google Scholar] [CrossRef]
- Björkhem-Bergman, L.; Backheden, M.; Söderberg Löfdal, K. Safety d: Statin treatment reduces the risk of hepatocellular carcinoma but not colon cancer—results from a nationwide case-control study in Sweden. Pharmacoepidemiol. Drug Saf. 2014, 23, 1101–1106. [Google Scholar] [CrossRef]
- Chen, C.I.; Kuan, C.F.; Fang, Y.A.; Liu, S.H.; Liu, J.C.; Wu, L.L.; Chang, C.J.; Yang, H.C.; Hwang, J.; Miser, J.S.; et al. Cancer risk in HBV patients with statin and metformin use: A population-based cohort study. Medicine 2015, 94, 462. [Google Scholar] [CrossRef] [PubMed]
- McGlynn, K.A.; Hagberg, K.; Chen, J.; Graubard, B.I.; London, W.T.; Jick, S.; Sahasrabuddhe, V.V. Statin use and risk for primary liver cancer in the clinical practice research datalink. J. Natl. Cancer Inst. 2015, 107. [Google Scholar] [CrossRef] [PubMed]
- McGlynn, K.A.; Divine, G.W.; Sahasrabuddhe, V.V.; Engel, L.S.; VanSlooten, A.; Wells, K.; Yood, M.U.; Alford, S.H. Statin use and risk of hepatocellular carcinoma in a US population. Cancer Epidemiol. 2014, 38, 523–527. [Google Scholar] [CrossRef] [PubMed]
- Lai, S.W.; Liao, K.F.; Lai, H.C.; Muo, C.H.; Sung, F.C.; Chen, P.-C. Statin use and risk of hepatocellular carcinoma. Cancer Epidemiol. 2013, 28, 485–492. [Google Scholar]
- Leung, H.W.; Chan, A.L.; Lo, D.; Leung, J.H.; Chen, H.L. Common cancer risk and statins: A population-based case–control study in a Chinese population. Expert Opin. Drug Saf. 2013, 12, 19–27. [Google Scholar] [CrossRef]
- Tsan, Y.T.; Lee, C.H.; Ho, W.C.; Lin, M.H.; Wang, J.D.; Chen, P.C. Statins and the risk of hepatocellular carcinoma in patients with hepatitis C virus infection. J. Clin. Oncol. 2013, 31, 1514–1521. [Google Scholar] [CrossRef]
- Tsan, Y.T.; Lee, C.H.; Wang, J.D.; Chen, P.C. Statins and the risk of hepatocellular carcinoma in patients with hepatitis B virus infection. J. Clin. Oncol. 2012, 30, 623–630. [Google Scholar] [CrossRef]
- Marelli, C.; Gunnarsson, C.; Ross, S.; Haas, S.; Stroup, D.F.; Cload, P.; Clopton, P.; DeMaria, A.N. Statins and risk of cancer: A retrospective cohort analysis of 45,857 matched pairs from an electronic medical records database of 11 million adult Americans. J. Am. Coll. Cardiol. 2011, 58, 530–537. [Google Scholar] [CrossRef]
- Chiu, H.F.; Ho, S.C.; Chen, C.C.; Yang, C.Y. Statin use and the risk of liver cancer: A population-based case–control study. Am. J. Gastroenterol. 2011, 106, 894. [Google Scholar] [CrossRef]
- El–Serag, H.B.; Johnson, M.L.; Hachem, C.; Morgana, R.O. Statins are associated with a reduced risk of hepatocellular carcinoma in a large cohort of patients with diabetes. Am. J. Gastroenterol. 2009, 136, 1601–1608. [Google Scholar] [CrossRef]
- Friedman, G.D.; Flick, E.D.; Udaltsova, N.; Chan Pharm, D.J.; Quesenberry, C.P., Jr.; Habel, L.A. Screening statins for possible carcinogenic risk: Up to 9 years of follow-up of 361 859 recipients. Pharmacoepidemiol. Drug Saf. 2008, 17, 27–36. [Google Scholar] [CrossRef] [PubMed]
- Friis, S.; Poulsen, A.H.; Johnsen, S.P.; McLaughlin, J.K.; Fryzek, J.P.; Dalton, S.O.; Sørensen, H.T.; Olsen, J.H. Cancer risk among statin users: A population-based cohort study. J. Cancer 2005, 114, 643–647. [Google Scholar] [CrossRef] [PubMed]
- Khurana, V.; Saluja, A.; Caldito, G.; Fort, C.; Schiff, E. Statins are protective against hepatocellular cancer in patients with hepatitis C virus infection: Half a million US veterans’ study. Gastroenterology 2005, 128, 714. [Google Scholar]
- Matsushita, Y.; Sugihara, M.; Kaburagi, J.; Ozawa, M.; Iwashita, M.; Yoshida, S.; Saito, H.; Hattori, Y.J.P. Pravastatin use and cancer risk: A meta-analysis of individual patient data from long-term prospective controlled trials in Japan. Pharmacoepidemiol. Drug Saf. 2010, 19, 196–202. [Google Scholar] [CrossRef]
- Sato, S.; Ajiki, W.; Kobayashi, T.; Awata, N. Pravastatin use and the five-year incidence of cancer in coronary heart disease patients: From the prevention of coronary sclerosis study. J. Epidemiol. 2006, 16, 201–206. [Google Scholar] [CrossRef][Green Version]
- Trialists, C.T. Lack of effect of lowering LDL cholesterol on cancer: Meta-analysis of individual data from 175,000 people in 27 randomised trials of statin therapy. PLoS ONE 2012, 7, e29849. [Google Scholar]
- Stang, A. Critical evaluation of the Newcastle-Ottawa scale for the assessment of the quality of nonrandomized studies in meta-analyses. Eur. J. Epidemiol. 2010, 25, 603–605. [Google Scholar] [CrossRef]
- Higgins, J.P.; Altman, D.G.; Gøtzsche, P.C.; Jüni, P.; Moher, D.; Oxman, A.D.; Savović, J.; Schulz, K.F.; Weeks, L.; Sterne, J.A. The Cochrane Collaboration’s tool for assessing risk of bias in randomised trials. BMJ 2011, 343, 5928. [Google Scholar] [CrossRef]
- Shi, M.; Zheng, H.; Nie, B.; Gong, W.; Cui, X. Statin use and risk of liver cancer: An update meta-analysis. BMJ Open 2014, 4, e005399. [Google Scholar] [CrossRef]
- Zhou, Y.Y.; Zhu, G.Q.; Wang, Y.; Zheng, J.N.; Ruan, L.Y.; Cheng, Z.; Hu, B.; Fu, S.W.; Zheng, M.H. Systematic review with network meta-analysis: Statins and risk of hepatocellular carcinoma. Oncotarget 2016, 7, 21753. [Google Scholar] [CrossRef]
- Iannelli, F.; Lombardi, R.; Milone, M.R.; Pucci, B.; De Rienzo, S.; Budillon, A.; Bruzzese, F. Targeting mevalonate pathway in cancer treatment: Repurposing of statins. Recent Pat. AntiCancer Drug Discov. 2018, 13, 184–200. [Google Scholar] [CrossRef] [PubMed]
- Gazzerro, P.; Proto, M.C.; Gangemi, G.; Malfitano, A.M.; Ciaglia, E.; Pisanti, S.; Santoro, A.; Laezza, C.; Bifulco, M. Pharmacological actions of statins: A critical appraisal in the management of cancer. Pharmacol. Rev. 2012, 64, 102–146. [Google Scholar] [CrossRef] [PubMed]
- Chong, L.W.; Hsu, Y.C.; Lee, T.F.; Lin, Y.; Chiu, Y.T.; Yang, K.C.; Wu, J.C.; Huang, Y.T. Fluvastatin attenuates hepatic steatosis-induced fibrogenesis in rats through inhibiting paracrine effect of hepatocyte on hepatic stellate cells. BMC Gastroenterol. 2015, 15, 22. [Google Scholar] [CrossRef] [PubMed]
- Hoshida, Y.; Fuchs, B.; Tanabe, K. Prevention of hepatocellular carcinoma: Potential targets, experimental models, and clinical challenges. Curr. Cancer Drug Targets 2012, 12, 1129–1159. [Google Scholar]
- Higashi, T.; Friedman, S.L.; Hoshida, Y. Hepatic stellate cells as key target in liver fibrosis. Adv. Drug Deliv. Rev. 2017, 121, 27–42. [Google Scholar] [CrossRef]
- Kwak, B.; Mulhaupt, F.; Myit, S.; Mach, F. Statins as a newly recognized type of immunomodulator. Nat. Med. 2000, 6, 1399. [Google Scholar] [CrossRef]
- Herrero, J.I.; Sangro, B.; Quiroga, J.; Pardo, F.; Herraiz, M.; Cienfuegos, J.A.; Prieto, J. Influence of tumor characteristics on the outcome of liver transplantation among patients with liver cirrhosis and hepatocellular carcinoma. Liver Transplant. 2001, 7, 631–636. [Google Scholar] [CrossRef]
- Jamal-Hanjani, M.; Wilson, G.A.; McGranahan, N.; Birkbak, N.J.; Watkins, T.B.; Veeriah, S.; Shafi, S.; Johnson, D.H.; Mitter, R.; Rosenthal, R. Tracking the evolution of non–small-cell lung cancer. N. Engl. J. Med. 2017, 376, 2109–2121. [Google Scholar] [CrossRef]
- Grootveld, M.; Percival, B.; Gibson, M.; Osman, Y.; Edgar, M.; Molinari, M.; Mather, M.L.; Casanova, F.; Wilson, P.B. Progress in low-field benchtop NMR spectroscopy in chemical and biochemical analysis. Anal. Chim. Acta 2019, 1067, 11–30. [Google Scholar] [CrossRef]
- Dongiovanni, P.; Petta, S.; Mannisto, V.; Mancina, R.M.; Pipitone, R.; Karja, V.; Maggioni, M.; Kakela, P.; Wiklund, O.; Mozzi, E. Statin use and non-alcoholic steatohepatitis in at risk individuals. J. Hepatol. 2015, 63, 705–712. [Google Scholar] [CrossRef]
- Montero, J.; Morales, A.; Llacuna, L.; Lluis, J.M.; Terrones, O.; Basanez, G.; Antonsson, B.; Prieto, J.; García-Ruiz, C.; Colell, A. Mitochondrial cholesterol contributes to chemotherapy resistance in hepatocellular carcinoma. Cancer Res. 2008, 68, 5246–5256. [Google Scholar] [CrossRef] [PubMed]
- Docrat, T.F.; Nagiah, S.; Krishnan, A.; Naidoo, D.B.; Chuturgoon, A.A. Atorvastatin induces MicroRNA-145 expression in HEPG2 cells via regulation of the PI3K/AKT signalling pathway. Chem. Biol. Interact. 2018, 287, 32–40. [Google Scholar] [CrossRef] [PubMed]
- Moctezuma-Velázquez, C.; Abraldes, J.G.; Montano-Loza, A.J. The use of statins in patients with chronic liver disease and cirrhosis. Curr. Treat. Options Gastroenterol. 2018, 16, 226–240. [Google Scholar] [CrossRef] [PubMed]
- Abraldes, J.G.; Albillos, A.; Bañares, R.; Turnes, J.; González, R.; García–Pagán, J.C.; Bosch, J. Simvastatin lowers portal pressure in patients with cirrhosis and portal hypertension: A randomized controlled trial. Gastroenterology 2009, 136, 1651–1658. [Google Scholar] [CrossRef]
- Moher, D.; Liberati, A.; Tetzlaff, J.; Altman, D.G. Preferred reporting items for systematic reviews and meta-analyses: The PRISMA statement. Ann. Intern. Med. 2009, 151, 264–269. [Google Scholar] [CrossRef]







| Author | Year | Country | Study Design | Study Duration | % Male | Total Pts | Total HCC | Inclusion Criteria | Exclusion Criteria | Outcome | Adjusted with DM |
|---|---|---|---|---|---|---|---|---|---|---|---|
| Tran | 2019 | UK | Nested CC | 2000–2011 | 67.3 | 2537 | 434 | Having the first diagnosis of primary liver cancer, including HCC and IBDC) | Participants with a cancer diagnosis prior to baseline or in the year after baseline | OR = 0.61 (95% CI: 0.42–0.86) | Yes |
| UK | Prospective Cohort | 2006–2010 | 62.6 | 471,851 | 182 | ICD-10 code C22 | Participants with a cancer diagnosis prior to baseline or in the year after baseline | HR: 0.48 (95% CI: 0.24–0.94) | Yes | ||
| German | 2019 | USA | CC | 2002–2016 | 102 | 34 | ICD-9 | Index cases, liver masses other than HCC, and etiologies of liver diseases other than NAFLD | OR = 0.20 (95% CI: 0.07–0.60) | Yes | |
| Goh | 2019 | South Korea | Retrospective cohort | 2008–2012 | 67.6 | 7713 | 702 | ICD-9 | Follow-up less than 6 months, missing data on cholesterol, age < 18, and history of HCC before the index date | HR: 0.36 (95%: 0.19–0.68) | Yes |
| Kim | 2018 | S Korea | Nested CC | 2002–2013 | 83.6 | 514,866 | 8210 | ICD-10 | Pts without supporting clinical codes, indicating the presence of HCC including any liver diagnostic tests (biopsy or arteriography of hepatic artery) and any treatments of the liver (hepatectomy, liver transplantation, radiofrequency ablation, arterial embolization, radiotherapy, or chemotherapy). | OR = 0.44 (95% CI: 0.33–0.58) | Yes |
| Kim | 2017 | South Korea | Nested CC | 2002–2013 | 81.4 | 1374 | 229 | ICD-10 | Pts whose first antidiabetic drug was insulin and patients aged <40 years during first antidiabetic prescription | OR: 0.36 (95% CI: 0.22–0.60) | Yes |
| Simon | 2016 | USA | Cohort | 2001–2014 | 95.2 | 9135 | 239 | ICD-9 | Pts with human immunodeficiency virus (HIV) and those who had a positive hepatitis B surface antigen (HBsAg), baseline cirrhosis, or HCC | HR = 0.60 (95% CI: 0.53–0.68) | Yes |
| Hsiang | 2015 | China | Retrospective cohort | 2000–2012 | 67.9 | 53,513 | 6,883 | ICD-9 | Pts with HCV or HIV coinfections, missing statin prescriptions, interferon exposure, HBsAg seroclearance within 6 months of the baseline, and age < 18 | HR: 0.68 (95%0.48–0.97) | Yes |
| Björkhem-Bergman | 2014 | Sweden | CC | 2006–2010 | 52 | 23,964 | 3994 | ICD-9 | NR | OR = 0.88 (95%0.81–0.96) | Yes |
| Chen | 2015 | Taiwan | Cohort | 2000–2008 | 54.9 | 71,824 | 1735 | ICD-9 | Gender not clear, age < 20, patients diagnosed with cancer prior to the diagnosis of HBV | HR = 0.34 (95% 0.27–0.42) | Yes |
| McGlynn | 2014 | USA | CC | 1999–2010 | 74.4 | 562 | 94 | ICD-9 | Pts with HCC or any cancer before the index date | OR = 0.32 (95% CI: 0.15–0.67) | Yes |
| McGlynn | 2015 | USA | CC | 1998–2011 | 71.6 | 5835 | 1195 | ICD-9 | Pts with HCC or any cancer before the index date | OR: 0.55 (95% CI: 0.45–0.69) | Yes |
| Lai | 2013 | Taiwan | CC | 2000–2009 | 72.6 | 17,400 | 3480 | ICD-9 | Pts with HCC or any cancer before the index date | OR = 0.72 (95% 0.59–0.88) | Yes |
| Leung | 2013 | Taiwan | CC | 2000–2008 | 46.3 | 34,205 | 27,364 | ICD-9 | Pts diagnosed with cancer before index date, follow-up less than 6 months, and having any prior record of mastectomy | HR: 0.44 (95% CI: 0.296–0.72) | Yes |
| Tsan | 2012 | Taiwan | Cohort | 1997–2008 | 58.2 | 33,413 | 1,021 | ICD-9 | Previously diagnosed HCC | HR = 0.47 (95% CI: 0.36–0.61) | No |
| Tsan | 2013 | Taiwan | Cohort | 1999–2010 | 49.2 | 295,887 | 27,883 | ICD-9 | Previously diagnosed HCC | HR = 0.53 (95% CI: 0.49–0.57) | Yes |
| Marelli | 2011 | USA | Cohort | 1990–2009 | ~52.2 | 91,714 | 105 | ICD-9 | Pts had insufficient history in the database | HR: 0.87 (95% CI: 0.60–1.26) | Yes |
| Chiu | 2010 | Taiwan | CC | 2005–2008 | 68.8 | 2332 | 1166 | ICD-9 | Pts with wrist and hip fractures and previous history of HCC | OR = 0.62 (95% CI: 0.41–0.91) | Yes |
| B. EL–SERAG | 2009 | USA | CC | 1997–2002 | 99.0 | 6515 | 1303 | ICD-9 | Previous history of liver disease | OR = 0.74 (95% CI: 0.64–0.78) | Yes |
| Friedman | 2008 | USA | Cohort | 1994–2003 | NR | 361,859 | 42 | ICD-9 | NR | HRmale = 0.49 (95% CI: 0.33–0.70) HRfemale = 0.40 (95% CI: 0.21–0.75) | No |
| Friis | 2005 | Denmark | Cohort | 1989–2002 | 56.6 | 334,754 | 171 | ICD-9 | Pts with a history of cancer before study entry | HR = 1.16 (95% CI: 0.46–2.92) | No |
| Khurana | 2005 | USA | CC | 1997–2002 | NR | 480,306 | 409 | ICD-9 | NR | OR = 0.52 (95% CI: 0.41–0.66) | No |
| Matsushita | 2010 | Japan | RCT | 2010 | 31.5 | 13,724 | 12 | ICD-9 | Pts with previous history of cancer | HR: 0.58 (95% CI: 0.18–1.86) | Yes |
| CTT | 2012 | Europe, Australia, North America | RCT | 2012 | NR | 134,537 | 68 | ICD-9 | Pts with nonfatal nonmelanoma skin cancers and benign neoplasm | HR: 1.06 (95% CI: 0.65–1.70) | No |
| Sato | 2006 | Japan | RCT | 1991–1995 | NR | 263 | 1 | Osaka Cancer Registry | Pts who resided outside the Osaka prefecture at entry were excluded | HR: 0.63 (95% CI: 0.11–3.54) | No |
| Subgroup Analysis | No. of Studies | Adjusted RR | 95% CI | p-Value | Test of Heterogeneity | |||
|---|---|---|---|---|---|---|---|---|
| Q | I2 (%) | Tau2 | p-Value | |||||
| Study design | ||||||||
| Observational | 21 | 0.52 | 0.46–0.60 | <0.001 | 155.14 | 85.82 | 0.07 | <0.05 |
| Case-control | 12 * | 0.56 | 0.46–0.67 | <0.001 | 70.44 | 84.38 | 0.07 | <0.001 |
| Cohort | 10 * | 0.49 | 0.42–0.57 | <0.001 | 28.87 | 65.36 | 0.02 | 0.001 |
| RCT | 3 | 0.95 | 0.61–1.47 | 0.82 | 1.03 | 0 | 0 | 0.59 |
| Study location | ||||||||
| Asian | 12 | 0.49 | 0.42–0.57 | <0.001 | 30.61 | 64.06 | 0.03 | 0.001 |
| Western | 12 | 0.59 | 0.49–0.70 | <0.001 | 71.47 | 81.81 | 0.06 | <0.001 |
| Dose | ||||||||
| ≤365 cDDD | 8 | 0.55 | 0.46–0.65 | <0.001 | 5.84 | 0 | 0 | 0.55 |
| >365 cDDD | 6 | 0.47 | 0.36–0.61 | <0.001 | 4.51 | 0 | 0 | 0.47 |
| Type of statin | ||||||||
| Atorvastatin | 6 | 0.55 | 0.43–0.69 | <0.001 | 6.74 | 25.84 | 0.02 | 0.24 |
| Lovastatin | 3 | 0.43 | 0.21–0.86 | 0.01 | 3.03 | 34.18 | 0.14 | 0.21 |
| Cerivastatin | 2 | 0.61 | 0.26–1.42 | 0.25 | 0.89 | 0 | 0 | 0.34 |
| Fluvastatin | 4 | 0.41 | 0.25–0.66 | <0.001 | 1.61 | 0 | 0 | 0.65 |
| Pravastatin | 5 | 0.76 | 0.56–1.03 | 0.08 | 2.48 | 0 | 0 | 0.64 |
| Rosuvastatin | 5 | 0.47 | 0.26–0.84 | 0.01 | 5.09 | 21.44 | 0.09 | 0.27 |
| Simvastatin | 7 | 0.54 | 0.46–0.63 | <0.001 | 0.85 | 0 | 0 | 0.99 |
© 2020 by the authors. Licensee MDPI, Basel, Switzerland. This article is an open access article distributed under the terms and conditions of the Creative Commons Attribution (CC BY) license (http://creativecommons.org/licenses/by/4.0/).
Share and Cite
Islam, M.M.; Poly, T.N.; Walther, B.A.; Yang, H.-C.; Li, Y.-C. Statin Use and the Risk of Hepatocellular Carcinoma: A Meta-Analysis of Observational Studies. Cancers 2020, 12, 671. https://doi.org/10.3390/cancers12030671
Islam MM, Poly TN, Walther BA, Yang H-C, Li Y-C. Statin Use and the Risk of Hepatocellular Carcinoma: A Meta-Analysis of Observational Studies. Cancers. 2020; 12(3):671. https://doi.org/10.3390/cancers12030671
Chicago/Turabian StyleIslam, Md. Mohaimenul, Tahmina Nasrin Poly, Bruno Andreas Walther, Hsuan-Chia Yang, and Yu-Chuan (Jack) Li. 2020. "Statin Use and the Risk of Hepatocellular Carcinoma: A Meta-Analysis of Observational Studies" Cancers 12, no. 3: 671. https://doi.org/10.3390/cancers12030671
APA StyleIslam, M. M., Poly, T. N., Walther, B. A., Yang, H.-C., & Li, Y.-C. (2020). Statin Use and the Risk of Hepatocellular Carcinoma: A Meta-Analysis of Observational Studies. Cancers, 12(3), 671. https://doi.org/10.3390/cancers12030671

