Design and Optimization of Tool-Embedded Thin-Film Strain Sensor Substrate Structure
Abstract
1. Introduction
2. Design Theory
3. Substrate Function Area Structural Design
3.1. Statics Design
3.1.1. Rectangular Substrate
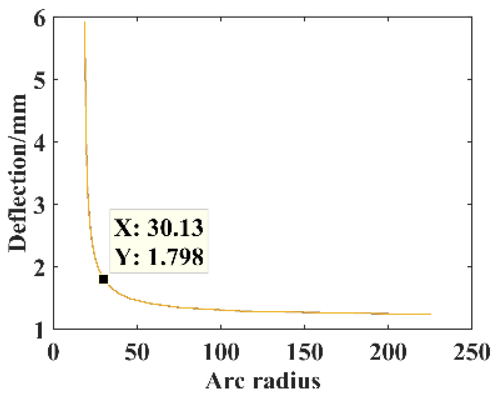
3.1.2. Circular Arc Substrate
3.1.3. Parabolic Curve Substrate
3.1.4. Three-Segment Stepped Substrate
3.1.5. Five-Segment Stepped Substrate
3.1.6. Opening Hole Substrate
3.2. Dynamics Design
3.2.1. Rectangular Substrate
3.2.2. Circular Arc Substrate
3.2.3. Parabolic Curve Substrate
3.2.4. Three-Segment Stepped Substrate
3.2.5. Five-Segment Stepped Substrate
3.2.6. Opening Hole Substrate
3.3. Comprehensive Analysis of Substrate Structure
4. Substrate Connection Area Structural Design
4.1. Statics Structural Analysis
4.2. Dynamics Structural Analysis
4.3. Comprehensive Analysis and Optimization of the Substrate Structure
5. Conclusions
Author Contributions
Funding
Data Availability Statement
Conflicts of Interest
References
- Xu, L.; Huang, C.; Li, C.; Wang, J.; Liu, H.; Wang, X. Estimation of tool wear and optimization of cutting parameters based on novel ANFIS-PSO method toward intelligent machining. J. Intell. Manuf. 2021, 32, 77–90. [Google Scholar] [CrossRef]
- Xu, L.; Huang, C.; Li, C.; Wang, J.; Liu, H.; Wang, X. An improved case based reasoning method and its application in estimation of surface quality toward intelligent machining. J. Intell. Manuf. 2021, 32, 313–327. [Google Scholar] [CrossRef]
- Li, B.H.; Hou, B.C.; Yu, W.T.; Lu, X.B.; Yang, C.W. Applications of artificial intelligence in intelligent manufacturing: A review. Front. Inf. Technol. Electron. Eng. 2017, 181, 86–96. [Google Scholar] [CrossRef]
- Nasir, V.; Cool, J.; Sassani, F. Intelligent machining monitoring using sound signal processed with the wavelet method and a self-organizing neural network. IEEE Robot. Autom. Lett. 2019, 4, 3449–3456. [Google Scholar] [CrossRef]
- Shi, X.; Wang, X.; Jiao, L.; Wang, Z.; Yan, P.; Gao, S. A real-time tool failure monitoring system based on cutting force analysis. Int. J. Adv. Manuf. Technol. 2018, 95, 2567–2583. [Google Scholar] [CrossRef]
- Terrazas, G.; Martínez-Arellano, G.; Benardos, P.; Ratchev, S. Online tool wear classification during dry machining using real time cutting force measurements and a CNN approach. J. Manuf. Mater. Process. 2018, 2, 72. [Google Scholar] [CrossRef]
- Altintas, Y.; Aslan, D. Integration of virtual and on-line machining process control and monitoring. CIRP Ann. 2017, 66, 349–352. [Google Scholar] [CrossRef]
- Zhu, H.; Ni, S.; Chen, W. Research and development on intelligent cutting tools with capability of on-line monitoring and prediction. J. Phys. Conf. Ser. 2020, 1650, 032143. [Google Scholar] [CrossRef]
- Xie, Z.; Lu, Y.; Li, J. Development and testing of an integrated smart tool holder for four-component cutting force measurement. Mech. Syst. Signal Process. 2017, 93, 225–240. [Google Scholar] [CrossRef]
- Uquillas DA, R.; Yeh, S.S. Tool holder sensor design for measuring the cutting force in CNC turning machines. In Proceedings of the 2015 IEEE International Conference on Advanced Intelligent Mechatronics (AIM), Busan, Republic of Korea, 7–11 July 2015; pp. 1218–1223. [Google Scholar]
- Zhang, Y.; Wu, W.; Han, Y.; Wen, H.; Cheng, Y.; Liu, L. Design and analysis of a turning dynamometer embedded in thin-film sensor. Micromachines 2019, 10, 210. [Google Scholar] [CrossRef]
- Cheng, Y.; Wu, W.; Zhao, Y.; Han, Y.; Song, D. Study of the Pattern Preparation and Performance of the Resistance Grid of Thin-Film Strain Sensors. Micromachines 2022, 13, 892. [Google Scholar] [CrossRef] [PubMed]
- Cheng, Y.; Wu, W.; Liu, L.; Zhang, Y.; He, Z.; Song, D. Fabrication, Performance, Characterization and Experimental Calibration of Embedded Thin-Film Sensor for Tool Cutting Force Measurement. Micromachines 2022, 13, 310. [Google Scholar] [CrossRef] [PubMed]
- Gupta, A.; Ahmed, A. Microsensors based on MEMS technology. Def. Sci. J.-New Delhi. 2007, 57, 225. [Google Scholar] [CrossRef]
- Heckmann, U.; Bandorf, R.; Gerdes, H.; Lübke, M.; Schnabel, S.; Bräuer, G. New materials for sputtered strain gauges. Procedia Chem. 2009, 1, 64–67. [Google Scholar] [CrossRef]
- Li, X.; Wu, W.; Cheng, Y.; Liu, L. Structure design and optimization for a cutting force measurement tool with embedded nickel–chromium film sensor. Adv. Mech. Eng. 2018, 10, 1687814018759887. [Google Scholar] [CrossRef]
- Cheng, Y.; Wu, W.; Liu, L.; He, Z.; Song, D. Structural design and optimization of a turning tool embedded with thin-film strain sensors for in-process cutting force measurement. AIP Adv. 2022, 12, 015126. [Google Scholar] [CrossRef]
- Xiao, C.; Ding, H.; Cheng, K.; Chen, S. Design of an innovative smart turning tool with application to real-time cutting force measurement. Proc. Inst. Mech. Eng. Part B J. Eng. Manuf. 2015, 229, 563–568. [Google Scholar] [CrossRef]
- Saadon, S.; Sidek, O. A review of vibration-based MEMS piezoelectric energy harvesters. Energy Convers. Manag. 2011, 52, 500–504. [Google Scholar] [CrossRef]
- Andersson, M.; Ek, J.; Hedman, L.; Johansson, F.; Sehlstedt, V.; Stocklassa, J.; Snögren, P.; Pettersson, V.; Larsson, J.; Vizuete, O.; et al. Thin film metal sensors in fusion bonded glass chips for high-pressure microfluidics. J. Micromech. Microeng. 2016, 27, 015018. [Google Scholar] [CrossRef]
- Li, C.; Xie, J.; Cordovilla, F.; Zhou, J.; Jagdheesh, R.; Ocaña, J.L. Design, fabrication and characterization of an annularly grooved membrane combined with rood beam piezoresistive pressure sensor for low pressure measurements. Sens. Actuators A Phys. 2018, 279, 525–536. [Google Scholar] [CrossRef]
- Yaldız, S.; Ünsaçar, F. Design, development and testing of a turning dynamometer for cutting force measurement. Mater. Des. 2006, 27, 839–846. [Google Scholar] [CrossRef]
- Yu, Z.; Zhao, Y.; Sun, L.; Tian, B.; Jiang, Z. Incorporation of beams into bossed diaphragm for a high sensitivity and overload micro pressure sensor. Rev. Sci. Instrum. 2013, 84, 015004. [Google Scholar] [CrossRef] [PubMed]
- Bauchau, O.A.; Craig, J.I. Euler-Bernoulli beam theory. Struct. Anal. 2009, 163, 173–221. [Google Scholar]
- Stolarski, T.; Nakasone, Y.; Yoshimoto, S. Engineering Analysis with ANSYS Software; Butterworth-Heinemann: Oxford, UK, 2018. [Google Scholar]
- Zhang, Y.; Wu, W.; Han, Y.; Wu, X.; Cheng, Y.; Liu, L. Adhesion analysis of silicon nitride film deposited on stainless steel surface by adding transition layer. Nanotechnology 2020, 31, 215711. [Google Scholar] [CrossRef] [PubMed]
- Ma, R.; Wu, W.; He, Z.; Cheng, Y.; Liu, L.; Zhao, Y. Construction and Characterization of TiN/Si3N4 Composite Insulation Layer in TiN/Si3N4/Ni80Cr20 Thin Film Cutting Force Sensor. Micromachines 2021, 12, 1476. [Google Scholar] [CrossRef]




































Disclaimer/Publisher’s Note: The statements, opinions and data contained in all publications are solely those of the individual author(s) and contributor(s) and not of MDPI and/or the editor(s). MDPI and/or the editor(s) disclaim responsibility for any injury to people or property resulting from any ideas, methods, instructions or products referred to in the content. |
© 2023 by the authors. Licensee MDPI, Basel, Switzerland. This article is an open access article distributed under the terms and conditions of the Creative Commons Attribution (CC BY) license (https://creativecommons.org/licenses/by/4.0/).
Share and Cite
He, Z.; Wu, W.; Cheng, Y.; Liu, L. Design and Optimization of Tool-Embedded Thin-Film Strain Sensor Substrate Structure. Micromachines 2023, 14, 355. https://doi.org/10.3390/mi14020355
He Z, Wu W, Cheng Y, Liu L. Design and Optimization of Tool-Embedded Thin-Film Strain Sensor Substrate Structure. Micromachines. 2023; 14(2):355. https://doi.org/10.3390/mi14020355
Chicago/Turabian StyleHe, Zhenyu, Wenge Wu, Yunping Cheng, and Lijuan Liu. 2023. "Design and Optimization of Tool-Embedded Thin-Film Strain Sensor Substrate Structure" Micromachines 14, no. 2: 355. https://doi.org/10.3390/mi14020355
APA StyleHe, Z., Wu, W., Cheng, Y., & Liu, L. (2023). Design and Optimization of Tool-Embedded Thin-Film Strain Sensor Substrate Structure. Micromachines, 14(2), 355. https://doi.org/10.3390/mi14020355
