Excitation of Hybrid Waveguide-Bloch Surface States with Bi2Se3 Plasmonic Material in the Near-Infrared Range
Abstract
:1. Introduction
2. Materials and Methods
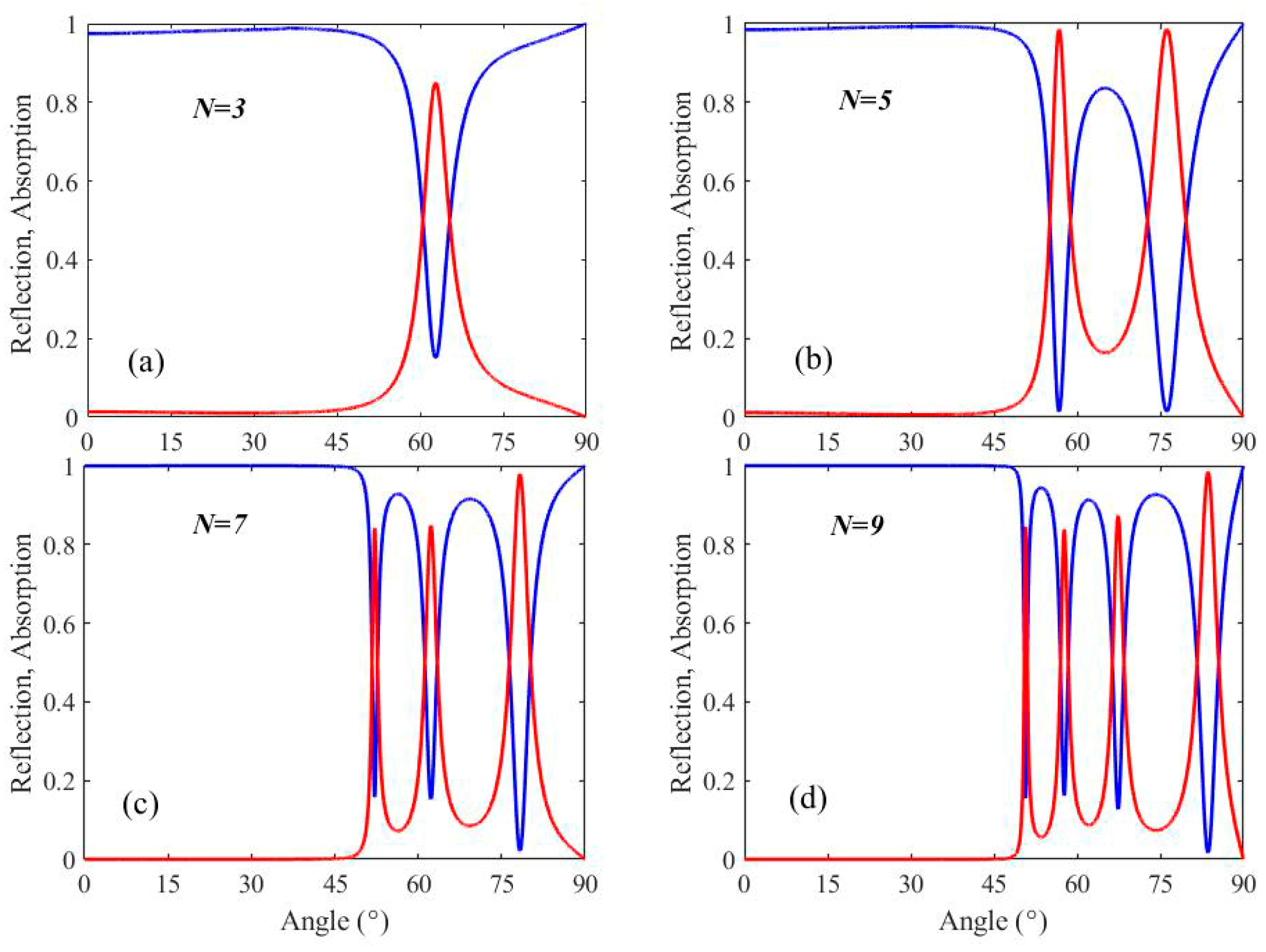
3. Results and Analysis
4. Conclusions
Author Contributions
Funding
Conflicts of Interest
References
- Cong, J.; Liu, W.; Zhou, Z.; Ren, N.; Ding, G.; Chen, M.; Yao, H. Sub-nanometer linewidth perfect absorption in visible band induced by Bloch surface wave. Opt. Mater. 2016, 62, 261–266. [Google Scholar] [CrossRef]
- Hlubina, P.; Gryga, M.; Ciprian, D.; Pokorny, P.; Gembalova, L.; Sobota, J. High performance liquid analyte sensing based on Bloch surface wave resonances in the spectral domain. Opt. Laser Technol. 2022, 145, 107492. [Google Scholar] [CrossRef]
- Gryga, M.; Vala, D.; Kolejak, P.; Gembalova, L.; Ciprian, D.; Hlubina, P. One-dimensional photonic crystal for Bloch surface waves and radiation modes-based sensing. Opt. Mater. Express 2019, 9, 4009–4022. [Google Scholar] [CrossRef]
- Bashiri, J.; Rezaei, B. Controlled switching of the optical surface waves in one-dimensional photonic crystals containing left-handed materials in the presence of a chiral metamaterial as a cap layer. Photonic Nanostruct. 2021, 43, 100891. [Google Scholar] [CrossRef]
- Sinibaldi, A.; Danz, N.; Descrovi, E.; Munzert, P.; Schulz, U.; Sonntag, F.; Dominici, L.; Michelotti, F. Direct comparison of the performance of Bloch surface wave and surface plasmon polariton sensors. Sens. Actuators B Chem. 2012, 174, 292–298. [Google Scholar] [CrossRef]
- Lereu, A.L.; Zerrad, M.; Passian, A.; Amra, C. Surface plasmons and Bloch surface waves: Towards optimized ultra-sensitive optical sensors. Appl. Phys. Lett. 2017, 111, 011107. [Google Scholar] [CrossRef]
- Gryga, M.; Ciprian, D.; Gembalova, L.; Hlubina, P. Sensing based on Bloch surface wave and self-referenced guided mode resonances employing a one-dimensional photonic crystal. Opt. Express 2021, 29, 12996–13010. [Google Scholar] [CrossRef]
- Baghbadorani, H.K.; Barvestani, J.; Entezar, S.R. Biosensors based on Bloch surface waves in one-dimensional photonic crystal with graphene nanolayers. Appl. Opt. 2017, 56, 462–469. [Google Scholar] [CrossRef]
- Gonzalez-Valencia, E.; Villar, I.D.; Torres, P. Bloch waves at the surface of a single-layer coating D-shaped photonic crystal fiber. Opt. Lett. 2020, 45, 2547–2550. [Google Scholar] [CrossRef]
- Ma, J.P.; Kang, X.-B.; Wang, Z.-G. Sensing performance optimization of the Bloch surface wave biosensor based on the Bloch impedance-matching method. Opt. Lett. 2018, 43, 5375–5378. [Google Scholar] [CrossRef]
- Zhang, C.; Liu, Q.; Peng, X.; Ouyang, Z.; Shen, S. Sensitive THz sensing based on Fano resonance in all-polymeric Bloch surface wave structure. Nanophotonics 2021, 10, 3879–3888. [Google Scholar] [CrossRef]
- Gan, S.; Wang, H.; Liang, J.; Dai, X.; Xiang, Y. Ultra-Sensitive Refractive Index Sensors Based on Bloch Surface Waves with Transition Metal Dichalcogenides. IEEE Sens. J. 2019, 19, 8675–8680. [Google Scholar] [CrossRef]
- Jia, B. 2D optical materials and the implications for photonics. APL Photonics 2019, 4, 080401. [Google Scholar] [CrossRef] [Green Version]
- Kumar, S. Titanium nitride as a plasmonic material for excitation of Tamm plasmon states in visible and near-infrared region. Photonic Nanostruct. 2021, 46, 100956. [Google Scholar] [CrossRef]
- Liang, G.; Yu, X.; Hu, X.; Qiang, B.; Wang, C.; Wang, Q.J. Mid-infrared photonics and optoelectronics in 2D materials. Mater. Today 2021, 51, 294–316. [Google Scholar] [CrossRef]
- Huang, C.; Zhang, H.; Sun, H. Ultraviolet optoelectronic devices based on AlGaN-SiC platform: Towards monolithic photonics integration system. Nano Energy 2020, 77, 105149. [Google Scholar] [CrossRef]
- Zaky, Z.A.; Singh, M.R.; Aly, A.H. Tamm resonance excited by different metals/graphene. Photonic Nanostruct. 2022, 49, 100995. [Google Scholar] [CrossRef]
- Zhu, J.; Ke, Y.; Dai, J.; You, Q.; Wu, L.; Li, J.; Guo, J.; Xiang, Y.; Dai, X. Topological insulator overlayer to enhance the sensitivity and detection limit of surface plasmon resonance sensor. Nanophotonics 2020, 9, 1941–1951. [Google Scholar] [CrossRef] [Green Version]
- Zhou, Z.Z.; Liu, H.J.; Wang, G.Y.; Wang, R.; Zhou, X.Y. Dual Topological Features of Weyl Semimetallic Phases in Tetradymite BiSbTe3. Chin. Phys. Lett. 2021, 38, 077101. [Google Scholar] [CrossRef]
- Parbatani, A.; Song, E.S.; Claypoole, J.; Yu, B. High performance broadband bismuth telluride tetradymite topological insulator photodiode. Nanotechnology 2019, 30, 165201. [Google Scholar] [CrossRef]
- Esslinger, M.; Vogelgesang, R.; Talebi, N.; Khunsin, W.; Gehring, P.; Zuani, S.; Gompf, B.; Kern, K. Tetradymites as Natural Hyperbolic Materials for the Near-Infrared to Visible. ACS Photonics 2014, 1, 1285–1289. [Google Scholar] [CrossRef]
- Savariraj, A.D.; Vinoth, V.; Mangalaraja, R.V.; Arun, T.; Contreras, D.; Akbari-Fakhrabadi, A.; Valdés, H.; Banat, F. Microwave-assisted synthesis of localized surface plasmon resonance enhanced bismuth selenide (Bi2Se3) layers for non-enzymatic glucose sensing. J. Electroanal. Chem. 2020, 856, 113629. [Google Scholar] [CrossRef]
- Zhang, H.; Liu, C.X.; Qi, X.L.; Dai, X.; Fang, Z.; Zhang, S.C. Topological insulators in Bi2Se3, Bi2Te3 and Sb2Te3 with a single Dirac cone on the surface. Nature Phys. 2009, 5, 438–442. [Google Scholar] [CrossRef]
- Kim, D.-K.; Hong, S.-B.; Kim, J.; Cho, M.-H. Topological insulator bismuth selenide grown on black phosphorus for sensitive broadband photodetection. J. Mater. Chem. C 2021, 9, 15150–15157. [Google Scholar] [CrossRef]
- Shan, Y.; Li, Z.; Ruan, B.; Zhu, J.; Xiang, Y.; Dai, X. Two-dimensional Bi2S3-based all-optical photonic devices with strong nonlinearity due to spatial self-phase modulation. Nanophotonics 2019, 8, 2225–2234. [Google Scholar] [CrossRef]
- Devore, J.R. Refractive indices of Rutile and Sphalerite. J. Opt. Soc. Am. 1951, 41, 416. [Google Scholar] [CrossRef]
- Malitson, I.H. Interspecimen comparison of the refractive index of Fused Silica. J. Opt. Soc. Am. 1965, 55, 1205. [Google Scholar] [CrossRef]
- Zou, X.J.; Zheng, G.G.; Chen, Y.Y. Confinement of Bloch surface waves in a graphene-based one-dimensional photonic crystal and sensing applications. Chin. Phys. B 2018, 27, 054102. [Google Scholar] [CrossRef]
- Darinskii, A.N.; Shuvalov, A. Surface electromagnetic waves in anisotropic superlattices. Phys. Rev. A 2020, 102, 033515. [Google Scholar] [CrossRef]
- Niu, D.; Zerrad, M.; Lereu, A.; Moreau, A.; Lumeau, J.; Zapien, J.A.; Passian, A.; Aubry, V.; Amra, C. Excitation of Bloch Surface Waves in Zero-Admittance Multilayers for High-Sensitivity Sensor Applications. Phys. Rev. Appl. 2020, 13, 054064. [Google Scholar] [CrossRef]
- Occhicone, A.; Pea, M.; Polito, R.; Giliberti, V.; Sinibaldi, A.; Mattioli, F.; Cibella, S.; Notargiacomo, A.; Nucara, A.; Biagioni, P.; et al. Spectral Characterization of Mid-Infrared Bloch Surface Waves Excited on a Truncated 1D Photonic Crystal. ACS Photonics 2021, 8, 350–359. [Google Scholar] [CrossRef] [PubMed]








Publisher’s Note: MDPI stays neutral with regard to jurisdictional claims in published maps and institutional affiliations. |
© 2022 by the authors. Licensee MDPI, Basel, Switzerland. This article is an open access article distributed under the terms and conditions of the Creative Commons Attribution (CC BY) license (https://creativecommons.org/licenses/by/4.0/).
Share and Cite
Li, H.; Zheng, G. Excitation of Hybrid Waveguide-Bloch Surface States with Bi2Se3 Plasmonic Material in the Near-Infrared Range. Micromachines 2022, 13, 1020. https://doi.org/10.3390/mi13071020
Li H, Zheng G. Excitation of Hybrid Waveguide-Bloch Surface States with Bi2Se3 Plasmonic Material in the Near-Infrared Range. Micromachines. 2022; 13(7):1020. https://doi.org/10.3390/mi13071020
Chicago/Turabian StyleLi, Hongjing, and Gaige Zheng. 2022. "Excitation of Hybrid Waveguide-Bloch Surface States with Bi2Se3 Plasmonic Material in the Near-Infrared Range" Micromachines 13, no. 7: 1020. https://doi.org/10.3390/mi13071020
APA StyleLi, H., & Zheng, G. (2022). Excitation of Hybrid Waveguide-Bloch Surface States with Bi2Se3 Plasmonic Material in the Near-Infrared Range. Micromachines, 13(7), 1020. https://doi.org/10.3390/mi13071020
