A Novel Dye-Sensitized Solar Cell Structure Based on Metal Photoanode without FTO/ITO
Abstract
:1. Introduction
2. Experiments
2.1. Experimental Materials
2.2. Preparation of Photoanode
2.3. Preparation of Counter Electrode
2.4. Photosensitizer and Electrolyte Preparation
2.5. Device Assembly
2.6. Characterization
3. Results and Discussion
3.1. Design of Holes on Photoanode
3.2. Influence of Heating Rate
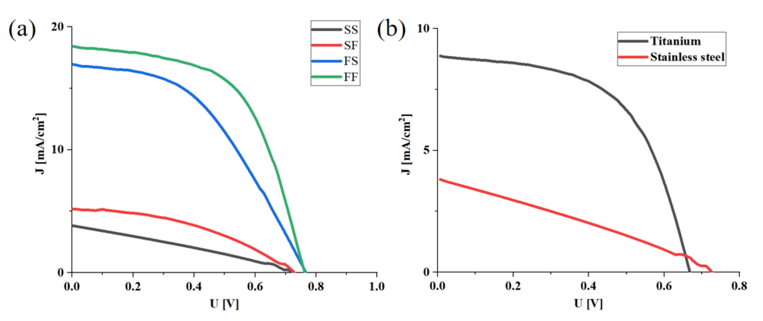
3.3. Comparison between Metal Photoanode Battery and FTO Electrode Batteries
3.4. Influence of Different Metal Electrodes
4. Conclusions
Author Contributions
Funding
Conflicts of Interest
References
- Grätzel, M. Photovoltaic performance and long-term stability of dye-sensitized meosocopic solar cells. Comptes Rendus Chim. 2006, 9, 578–583. [Google Scholar] [CrossRef]
- Liao, J.Y.; Lei, B.X.; Chen, H.Y.; Kuang, D.B.; Su, C.Y. Oriented hierarchical single crystalline anatase TiO2 nanowire arrays on Ti-foil substrate for efficient flexible dye-sensitized solar cells. Energy Environ. Sci. 2012, 5, 5750–5757. [Google Scholar] [CrossRef]
- Kang, M.G.; Park, N.G.; Ryu, K.S.; Chang, S.H.; Kim, K.J. A 4.2% efficient flexible dye-sensitized TiO2 solar cells using stainless steel substrate. Sol. Energy Mater. Sol. Cells 2006, 90, 574–581. [Google Scholar] [CrossRef]
- Orhan, E.; Gokcen, M.; Taran, S. Effect of the photoanode fabrication condition, electrolyte type and illumination type on dye-sensitized solar cells performance. Bull. Mater. Sci. 2021, 44, 60. [Google Scholar] [CrossRef]
- Cha, H.L.; Seok, S.; Kim, H.J. Towards achieving improved efficiency using newly designed dye-sensitized solar cell devices engineered with dye-anchored counter electrodes. J. Ind. Eng. Chem. 2021, 99, 117–125. [Google Scholar] [CrossRef]
- Baby, R.; Nixon, P.D.; Kumar, N.M. A comprehensive review of dye-sensitized solar cell optimal fabrication conditions, natural dye selection, and application-based future perspectives. Environ. Sci. Pollut. Res. 2021, 29, 371–404. [Google Scholar] [CrossRef] [PubMed]
- Rozman, M.; Sygkridou, D.; Godec, R.F.; Stathatos, E.; Bren, U. Novel geometric approach for photosensor construction based on dye-sensitization of TiO2 nanoparticles on stainless steel. Sens. Actuators A Phys. 2019, 295, 51–58. [Google Scholar] [CrossRef]
- Dissanayake, M.A.K.L.; Kumari, J.M.K.W.; Senadeera, G.K.R.; Weerasinghe, T.J.; Anawar, H. A low-cost, vein graphite/tin oxide nanoparticles based composite counter electrode for efficient dye-sensitized solar cells. Mater. Sci. Eng. 2021, 273, 115440. [Google Scholar] [CrossRef]
- Chai, Z.S.; Gu, J.W.; Khan, J.; Yuan, Y.F.; Du, L.H.; Yu, X.; Wu, M.M.; Mai, W.J. High-performance flexible dye-sensitized solar cells by using hierarchical anatase TiO2 nanowire arrays. RSC Adv. 2015, 5, 88052–88058. [Google Scholar] [CrossRef]
- Liu, W.W.; Lu, H.; Zhang, M.; Guo, M. Controllable preparation of TiO2 nanowire arrays on titanium mesh for flexible dye-sensitized solar cells. Appl. Surf. Sci. 2015, 347, 214–223. [Google Scholar] [CrossRef]
- Agrawal, A.; Siddiqui, S.A.; Soni, A.; Khandelwal, K.; Sharma, G.D. Performance analysis of TiO2 based dye sensitized solar cell prepared by screen printing and doctor blade deposition techniques. Sol. Energy 2021, 226, 9–19. [Google Scholar] [CrossRef]
- Ooyama, Y.; Harima, Y. Molecular Designs and Syntheses of Organic Dyes for Dye-Sensitized Solar Cells. Eur. J. Org. Chem. 2009, 2009, 2903–2934. [Google Scholar] [CrossRef]
- Hamidian, K.; Rahimi, R.; Hosseini-Kharat, M. Development of the molecular engineering of disazo dye sensitizers and TiO2 semiconductor surface to improve the power conversion efficiency of dye-sensitized solar cells. J. Photochem. Photobiol. A Chem. 2021, 418, 113408. [Google Scholar] [CrossRef]
- Acchutharaman, K.R.; Santhosh, N.; Daniel, R.I. Enhanced electron harvesting in next generation solar cells by employing TiO2 nanoparticles prepared through hydrolysis catalytic process. Ceram. Int. 2021, 47, 21263–21270. [Google Scholar] [CrossRef]
- Yamaguchi, T.; Tobe, N.; Matsumoto, D.; Arakawa, H. Highly efficient plastic substrate dye-sensitized solar cells using a compression method for preparation of TiO2 photoelectrodes. Chem. Commun. 2007, 45, 4767–4769. [Google Scholar] [CrossRef]
- Raguram, T.; Rajni, K.S. Effect of Ni doping on the characterization of TiO2 nanoparticles for DSSC applications. J. Mater. Sci. Mater. Electron. 2021, 32, 18264–18281. [Google Scholar] [CrossRef]
- Mustafa, M.N.; Azhari, N.A.; Sulaiman, Y.R. Reduced graphene oxide-titanium dioxide compact layer prepared via electrodeposition for enhanced performance of dye-sensitized solar cells. Opt. Mater. 2021, 120, 111475. [Google Scholar] [CrossRef]
- Baiju, K.G.; Murali, B.; Rao, R.S.; Jayanarayanan, K.; Kumaresan, D. Heat sink assisted elevated temperature sintering process of TiO2 on polymer substrates for producing high performance flexible dye-sensitized solar cells. Chem. Eng. Process. Process. Intensif. 2020, 149, 107817. [Google Scholar] [CrossRef]
- Huang, G.L.; Qiao, X.D.; Liu, Y.Y.; Lei, B.X.; Sun, W.; Sun, Z.F. Facile synthesis of three-dimensional interweaved titania nanotape networks as dye-sensitized solar cell photoanode. Thin Solid Film. 2016, 615, 97–102. [Google Scholar] [CrossRef]
- Muqoyyanah, A.B.S.; Mohamed, A. Effects of TiO2 phase and nanostructures as photoanode on the performance of dye-sensitized solar cells. Bull. Mater. Sci. 2021, 44, 10. [Google Scholar] [CrossRef]
- Han, H.G.; Weerasinghe, H.C.; Kim, K.M.; Kim, J.S.; Cheng, Y.B.; Jones, D.J.; Holmes, A.B.; Kwon, T.H. Ultrafast Fabrication of Flexible Dye-Sensitized Solar Cells by Ultrasonic Spray-Coating Technology. Sci. Rep. 2015, 5, 14645. [Google Scholar] [CrossRef]
- Wang, Y.L.; Cheng, P.F.; Feng, C.H.; Zhang, H.; Zhao, W.B. High performance flexible dye-sensitized solar cells base on multiple functional optimizations. Sol. Energy 2019, 180, 423–428. [Google Scholar] [CrossRef]
- Min, K.W.; Chao, S.M.; Yu, M.T.; Ho, C.T.; Chen, P.R.; Wu, T.L. Graphene-TiO2 for scattering layer in photoanodes of dye-sensitized solar cell. Mod. Phys. Lett. B 2021, 35, 2141005. [Google Scholar] [CrossRef]
- Zhu, K.; Neale, N.R.; Miedaner, A.; Frank, A.J. Enhanced charge-collection efficiencies and light scattering in dye-sensitized solar cells using oriented TiO2 nanotubes arrays. Nano Lett. 2007, 7, 69–74. [Google Scholar] [CrossRef] [PubMed]
- Roy, P.; Kim, D.; Lee, K.; Spiecker, E.; Schmuki, P. TiO2 nanotubes and their application in dye-sensitized solar cells. Nanoscale 2010, 3, 45–59. [Google Scholar] [CrossRef] [PubMed]
- Muhammad, S.A.; Pandey, A.K.; Nasrudin, A.R. Effect of Nanodiamonds on the Optoelectronic Properties of TiO2 Photoanode in Dye-Sensitized Solar Cell. Arab. J. Sci. Eng. 2018, 43, 3515–3519. [Google Scholar] [CrossRef]
- Pandey, A.K.; Muhammad, S.A.; Mahdi, A.; Nasrudin, A.R. Improved electron density through hetero-junction binary sensitized TiO2/CdTe / D719 system as photoanode for dye sensitized solar cell. Phys. E Low. Dimens. Syst. Nanostruct. 2018, 101, 139–143. [Google Scholar] [CrossRef]
- Wei, D. Dye Sensitized Solar Cells. Int. J. Mol. Sci. 2010, 11, 1103–1113. [Google Scholar] [CrossRef]
- Huang, K.C.; Wang, Y.C.; Chen, P.Y.; Lai, Y.H.; Huang, J.H.; Chen, Y.H.; Dong, R.X.; Chu, C.W.; Lin, J.J.; Ho, K.C. High performance dye-sensitized solar cells based on platinum nanoparticle/multi-wall carbon nanotube counter electrodes: The role of annealing. J. Power Sources 2012, 203, 274–281. [Google Scholar] [CrossRef]
- Martinson, A.B.F.; Elam, J.W.; Hupp, J.T.; Pellin, M.J. Radial electron collection in dye-sensitized solar cells. Nano Lett. 2008, 8, 2183–2187. [Google Scholar] [CrossRef] [Green Version]
- Mishra, A.; Fischer, M.R.; Buerle, P. Metal-Free Organic Dyes for Dye-Sensitized Solar Cells: From Structure: Property Relationships to Design Rules. Angew. Chem. Int. Ed. 2009, 48, 2474–2499. [Google Scholar] [CrossRef] [PubMed]
- Robertson, N. Optimizing dyes for dye-sensitized solar cells. Angew. Chem. Int. Ed. 2006, 45, 2338–2345. [Google Scholar] [CrossRef] [PubMed]
- Ramli, M.A.; Mawarnis, E.R.; Umar, M.I.A. Charge transfer uplift in dye-sensitized solar cells using fibrous nanocrystals of platinum-based bimetallic counter electrodes. Surf. Interfaces 2021, 26, 101311. [Google Scholar] [CrossRef]
- Fayaza, H.; Muhammad, S.A.; Pandeyc, A.K.; Nasrudin, A.R.; Tyagi, V.V. A Novel nanodiamond/Zinc nanocomposite as potential counter electrode for flexible dye sensitized solar cell. Sol. Energy 2020, 197, 1–5. [Google Scholar] [CrossRef]
- Lee, C.H.; Lu, M.D.; Guan, Q.Z.; Tung, Y.L.; Tsai, S.Y.; Lin, F.M. Thickness-controllable textured TiO2 underlayer for a flexible dye-sensitized solar cell sub-module. Mater. Res. Express 2014, 1, 025503. [Google Scholar] [CrossRef]
- Sabet, M.; Jahangiri, H. Growth of TiO2 nanotubes on the Ti foil by anodizing method used in the flexible dye-sensitized solar cell in presence of three counter electrodes. J. Mater. Sci. Mater. Electron. 2017, 28, 6566–6571. [Google Scholar] [CrossRef]
- Li, Z.D.; Yang, H.; Zhang, L.F.; Liu, R.H.; Zhou, Y. Stainless steel mesh-supported three-dimensional hierarchical SnO2/Zn2SnO4 composite for the applications in solar cell, gas sensor, and photocatalysis. Appl. Surf. Sci. 2020, 502, 144113. [Google Scholar] [CrossRef]
- Siti, M.M.Y.; Wan, Z.N.Y. Binary Ionic Liquid Electrolyte for Dye-Sensitized Solar Cells. Procedia Eng. 2016, 148, 100–105. [Google Scholar] [CrossRef] [Green Version]









| Experiment Group | Photoanode Base Material | Counter Electrode Base Material |
|---|---|---|
| A (Steel/Steel, SS) | Stainless steel | Stainless steel |
| B (Steel/FTO, SF) | Stainless steel | FTO |
| C (FTO/Steel, FS) | FTO | Stainless steel |
| D (FTO/FTO, FF) | FTO | FTO |
| Electrode Combination | Jsc (mA/cm2) | Voc (V) | FF (%) | η (%) |
|---|---|---|---|---|
| A (Steel/Steel) | 3.8 | 0.73 | 30.1 | 0.83 |
| B (Steel/FTO) | 5.2 | 0.73 | 35.0 | 1.32 |
| C (FTO/Steel) | 17.0 | 0.76 | 55.0 | 7.11 |
| D (FTO/FTO) | 18.2 | 0.76 | 59.7 | 8.26 |
Publisher’s Note: MDPI stays neutral with regard to jurisdictional claims in published maps and institutional affiliations. |
© 2022 by the authors. Licensee MDPI, Basel, Switzerland. This article is an open access article distributed under the terms and conditions of the Creative Commons Attribution (CC BY) license (https://creativecommons.org/licenses/by/4.0/).
Share and Cite
Yang, J.; Yu, X.; Li, Y.; Cheng, G.; Yi, Z.; Zhang, Z.; Chi, F.; Liu, L. A Novel Dye-Sensitized Solar Cell Structure Based on Metal Photoanode without FTO/ITO. Micromachines 2022, 13, 122. https://doi.org/10.3390/mi13010122
Yang J, Yu X, Li Y, Cheng G, Yi Z, Zhang Z, Chi F, Liu L. A Novel Dye-Sensitized Solar Cell Structure Based on Metal Photoanode without FTO/ITO. Micromachines. 2022; 13(1):122. https://doi.org/10.3390/mi13010122
Chicago/Turabian StyleYang, Jianjun, Xiaobao Yu, Yaxin Li, Guilin Cheng, Zichuan Yi, Zhi Zhang, Feng Chi, and Liming Liu. 2022. "A Novel Dye-Sensitized Solar Cell Structure Based on Metal Photoanode without FTO/ITO" Micromachines 13, no. 1: 122. https://doi.org/10.3390/mi13010122
APA StyleYang, J., Yu, X., Li, Y., Cheng, G., Yi, Z., Zhang, Z., Chi, F., & Liu, L. (2022). A Novel Dye-Sensitized Solar Cell Structure Based on Metal Photoanode without FTO/ITO. Micromachines, 13(1), 122. https://doi.org/10.3390/mi13010122

