A Circularly Polarized Implantable Rectenna for Microwave Wireless Power Transfer
Abstract
:1. Introduction
2. Antenna Design and Discussion
2.1. Antenna Design
2.2. Operating Mechanism
2.3. Parametric Analysis
- Variations in the dimension (w4) of the diagonally truncated rectangular slot: The effects of the dimension w4 of the rectangular slot truncated diagonally on the impedance matching and AR are shown in Figure 8. The CP purity of the proposed antenna is improved by the rectangular slot truncated diagonally, and the change of w4 is mainly related to the phase differences between the orthogonal degenerate modes TM01 and TM10, which have a great effect on fAR1. The w4 also has little effect on the S11 of the proposed antenna. According to Figure 8, to make the AR less than 3 dB in the desired band, the dimension w4 of the rectangular slot truncated diagonally is selected as 0.55 mm.
- 2.
- Variations in the width (w1) of C-shaped slots: The frequencies of three resonant modes are tuned by the width w1 of C-shaped slots in Figure 9. The introduction of four C-shaped slots enables the antenna to excite multiple resonant modes and achieve wide impedance bandwidth. With reference to Figure 9, the increase in the width w1 can extend the current path on the radiation patch; therefore, the resonant frequencies and AR can be shifted to the lower band. To make the bandwidth of the proposed antenna cover the desired band and maintain good AR performance, the width w1 is selected as 0.28 mm.
- 3.
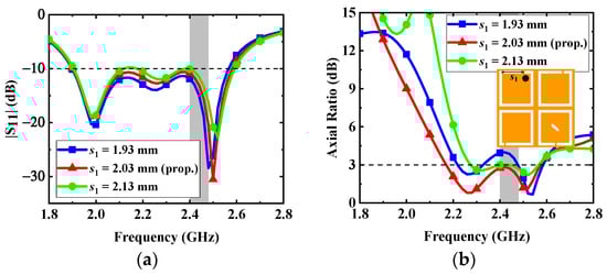
- Variations in the opening position s1 of the upper left C-shaped slots: Since the opening position s1 of the upper left C-shaped slots is close to the coaxial feed, the variation of s1 can have an impact on the performance of the proposed antenna. The effects of the opening position s1 on the impedance matching and AR are shown in Figure 10. As seen in the figure, in order to make the AR bandwidth have good polarization purity, the opening position s1 is selected as 2.03 mm.
2.4. Safety Consideration
2.5. Antenna Measurement
3. Rectenna Design
3.1. Rectifier Design
3.2. Wireless Power Transfer
4. Conclusions
Author Contributions
Funding
Data Availability Statement
Acknowledgments
Conflicts of Interest
References
- Panescu, D. Emerging technologies: Wireless communication systems for implantable medical devices. IEEE Eng. Med. Biol. Mag. 2008, 27, 96–101. [Google Scholar] [CrossRef]
- Acha, M.R.; Soifer, E.; Hasin, T. Cardiac Implantable Electronic Miniaturized and Micro Devices. Micromachines 2020, 11, 902. [Google Scholar] [CrossRef]
- Charthad, J.; Chang, T.C.; Liu, Z.; Sawaby, A.; Weber, M.J.; Baker, S.; Gore, F.; Felt, S.A.; Arbabian, A. A mm-Sized Wireless Implantable Device for Electrical Stimulation of Peripheral Nerves. IEEE Trans. Biomed. Circuits Syst. 2018, 12, 257–270. [Google Scholar] [CrossRef]
- Benken, A.; Gianchandani, Y. Passive Wireless Pressure Sensing for Gastric Manometry. Micromachines 2019, 10, 868. [Google Scholar] [CrossRef] [PubMed] [Green Version]
- Ben Amar, A.; Kouki, A.B.; Cao, H. Power Approaches for Implantable Medical Devices. Sensors 2015, 15, 28889–28914. [Google Scholar] [CrossRef] [PubMed]
- Rasouli, M.; Phee, L.S.J. Energy sources and their development for application in medical devices. Expert Rev. Med. Devices 2010, 7, 693–709. [Google Scholar] [CrossRef]
- Agarwal, K.; Jegadeesan, R.; Guo, Y.-X.; Thakor, N.V. Wireless Power Transfer Strategies for Implantable Bioelectronics. IEEE Rev. Biomed. Eng. 2017, 10, 136–161. [Google Scholar] [CrossRef]
- Khan, M.W.A.; Bjorninen, T.; Sydänheimo, L.; Ukkonen, L. Characterization of Two-Turns External Loop Antenna with Magnetic Core for Efficient Wireless Powering of Cortical Implants. IEEE Antennas Wirel. Propag. Lett. 2015, 15, 1410–1413. [Google Scholar] [CrossRef]
- Liu, Z.; Zhong, Z.; Guo, Y.-X. In vivo high-efficiency wireless power transfer with multi-sine excitation. IEEE Trans. Microw. Theory Tech. 2017, 65, 3530–3540. [Google Scholar] [CrossRef]
- Machnoor, M.; Rodríguez, E.S.G.; Kosta, P.; Stang, J.; Lazzi, G. Analysis and design of a 3-coil wireless power transmission system for biomedical applications. IEEE Trans. Antennas Propag. 2019, 67, 5012–5024. [Google Scholar] [CrossRef]
- Huang, F.-J.; Lee, C.-M.; Chang, C.-L.; Chen, L.-K.; Yo, T.-C.; Luo, C.-H. Rectenna Application of Miniaturized Implantable Antenna Design for Triple-Band Biotelemetry Communication. IEEE Trans. Antennas Propag. 2011, 59, 2646–2653. [Google Scholar] [CrossRef]
- Liu, C.; Guo, Y.X.; Sun, H.; Xiao, S. Design and Safety Considerations of an Implantable Rectenna for Far-Field Wireless Power Transfer. IEEE Trans. Antennas Propag. 2014, 62, 5798–5806. [Google Scholar] [CrossRef]
- Bakogianni, S.; Koulouridis, S. A dual-band implantable rectenna for wireless data and power support at sub-GHz region. IEEE Trans. Antennas Propag. 2019, 67, 6800–6810. [Google Scholar] [CrossRef]
- DeLong, B.J.; Kiourti, A.; Volakis, J.L. A radiating near-field patch rectenna for wireless power transfer to medical implants at 2.4 GHz. IEEE J. Electromag. RF Microw. Med. Bio. 2018, 2, 64–69. [Google Scholar] [CrossRef]
- Shaw, T.; Mitra, D. Metasurface-based radiative near-field wireless power transfer system for implantable medical devices. IET Microw. Antennas Propag. 2019, 13, 1974–1982. [Google Scholar] [CrossRef]
- Liu, C.; Guo, Y.-X.; Xiao, S. Capacitively loaded circularly polarized implantable patch antenna for ISM band biomedical applications. IEEE Trans. Antennas Propag. 2014, 62, 2407–2417. [Google Scholar] [CrossRef]
- Xu, L.-J.; Guo, Y.-X.; Wu, W. Miniaturized Circularly Polarized Loop Antenna for Biomedical Applications. IEEE Trans. Antennas Propag. 2015, 63, 922–930. [Google Scholar] [CrossRef]
- Liu, X.Y.; Wu, Z.T.; Fan, Y.; Tentzeris, E.M. A Miniaturized CSRR Loaded Wide-Beamwidth Circularly Polarized Implantable Antenna for Subcutaneous Real-Time Glucose Monitoring. IEEE Antennas Wirel. Propag. Lett. 2016, 16, 577–580. [Google Scholar] [CrossRef]
- Yang, Z.-J.; Zhu, L.; Xiao, S. An Implantable Wideband Circularly Polarized Microstrip Patch Antenna via Two Pairs of Degenerate Modes. IEEE Access 2018, 7, 4239–4247. [Google Scholar] [CrossRef]
- Liu, C.; Zhang, Y.; Liu, X. Circularly Polarized Implantable Antenna for 915 MHz ISM-Band Far-Field Wireless Power Transmission. IEEE Antennas Wirel. Propag. Lett. 2018, 17, 373–376. [Google Scholar] [CrossRef]
- Gabriel, S.; Lau, R.W.; Gabriel, C. The dielectric properties of biological tissues: II. Measurements in the frequency range 10 Hz to 20 GHz. Phys. Med. Biol. 1996, 41, 2251–2269. [Google Scholar] [CrossRef] [PubMed] [Green Version]
- IEEE Standard C95.1-2005; IEEE Standard for Safety Levels with Respect to Human Exposure to Radiofrequency Electromagnetic Fields, 3 kHz to 300 GHz. IEEE: Piscataway Township, NJ, USA, 2005.
- Bercich, R.A.; Duffy, D.R.; Irazoqui, P.P. Far-Field RF Powering of Implantable Devices: Safety Considerations. IEEE Trans. Biomed. Eng. 2013, 60, 2107–2112. [Google Scholar] [CrossRef] [PubMed]
- Yang, Z.-J.; Zhu, L.; Xiao, S. An Implantable Circularly Polarized Patch Antenna Design for Pacemaker Monitoring Based on Quality Factor Analysis. IEEE Trans. Antennas Propag. 2018, 66, 5180–5192. [Google Scholar] [CrossRef]
- Xia, Z.; Li, H.; Lee, Z.; Xiao, S.; Shao, W.; Ding, X.; Yang, X. A wideband circularly polarized implantable patch antenna for ISM band biomedical applications. IEEE Trans. Antennas Propag. 2020, 68, 2399–2404. [Google Scholar] [CrossRef]



















| Parameter | Value | Parameter | Value | Parameter | Value |
|---|---|---|---|---|---|
| L | 7.5 | w1 | 0.28 | w2 | 0.15 |
| w3 | 0.7 | w4 | 0.55 | l1 | 2.87 |
| l2 | 2.74 | s1 | 2.03 | s2 | 0.56 |
| s3 | 0.2 | s4 | 1.22 | h | 0.635 |
Publisher’s Note: MDPI stays neutral with regard to jurisdictional claims in published maps and institutional affiliations. |
© 2022 by the authors. Licensee MDPI, Basel, Switzerland. This article is an open access article distributed under the terms and conditions of the Creative Commons Attribution (CC BY) license (https://creativecommons.org/licenses/by/4.0/).
Share and Cite
Xu, C.; Fan, Y.; Liu, X. A Circularly Polarized Implantable Rectenna for Microwave Wireless Power Transfer. Micromachines 2022, 13, 121. https://doi.org/10.3390/mi13010121
Xu C, Fan Y, Liu X. A Circularly Polarized Implantable Rectenna for Microwave Wireless Power Transfer. Micromachines. 2022; 13(1):121. https://doi.org/10.3390/mi13010121
Chicago/Turabian StyleXu, Chao, Yi Fan, and Xiongying Liu. 2022. "A Circularly Polarized Implantable Rectenna for Microwave Wireless Power Transfer" Micromachines 13, no. 1: 121. https://doi.org/10.3390/mi13010121
APA StyleXu, C., Fan, Y., & Liu, X. (2022). A Circularly Polarized Implantable Rectenna for Microwave Wireless Power Transfer. Micromachines, 13(1), 121. https://doi.org/10.3390/mi13010121

