Electrical Characterizations of Planar Ga2O3 Schottky Barrier Diodes
Abstract
1. Introduction
2. Experimental Section
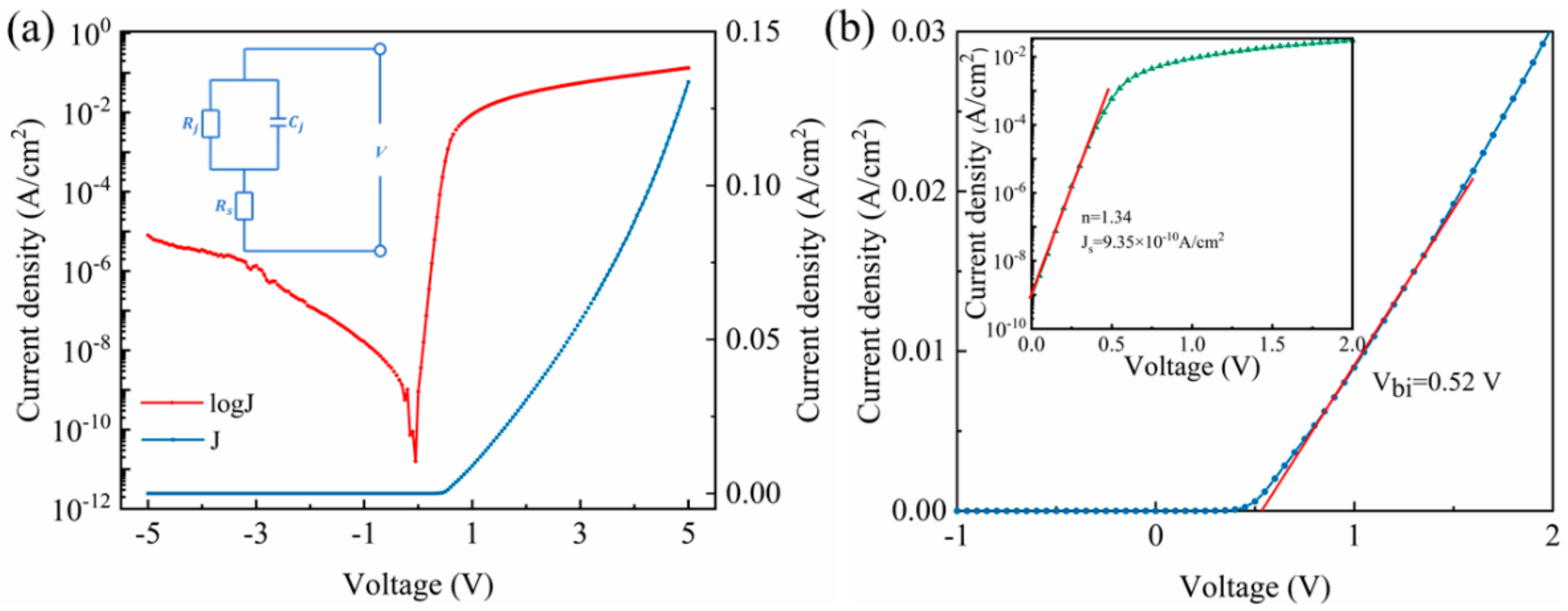
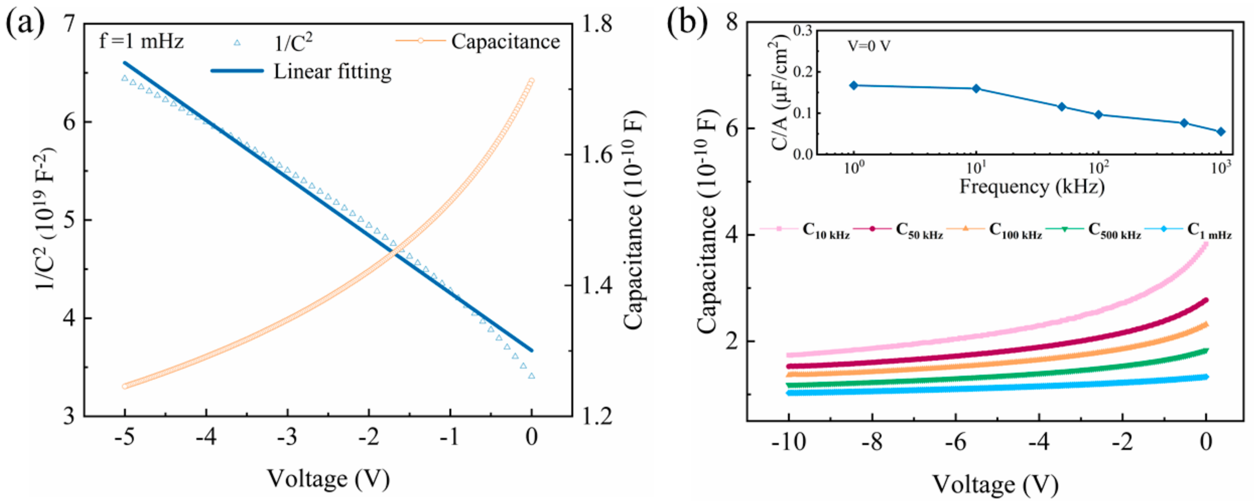
3. Results and Discussion
4. Conclusions
Author Contributions
Funding
Conflicts of Interest
References
- Liu, Z.; Li, P.; Zhi, Y.; Wang, X.; Chu, X.; Tang, W. Review of gallium oxide based field-effect transistors and Schottky barrier diodes. Chin. Phys. B 2019, 28, 017105. [Google Scholar] [CrossRef]
- Zhang, H.; Yuan, L.; Tang, X.; Hu, J.; Sun, J.; Zhang, Y.; Zhang, Y.; Jia, R. Progress of ultra-wide band-gap Ga2O3 semiconductor materials in power MOSFETs. IEEE Trans. Power Electron. 2020, 35, 5157. [Google Scholar] [CrossRef]
- Qin, Y.; Long, S.; Dong, H.; He, Q.; Jian, G.; Zhang, Y.; Hou, X.; Tan, P.; Zhang, Z.; Lv, B.; et al. Review of deep ultraviolet photodetector based on gallium oxide. Chin. Phys. B 2019, 28, 018501. [Google Scholar] [CrossRef]
- Yang, J.; Ren, F.; Tadjer, M.; Pearton, S.J.; Kuramata, A. 2300 V Reverse Breakdown Voltage Ga2O3 Schottky Rectifiers. ECS J. Solid State Sci. Technol. 2018, 7, Q92. [Google Scholar] [CrossRef]
- Hu, Z.; Zhou, H.; Feng, Q.; Zhang, J.; Zhang, C.; Dang, K.; Cai, Y.; Feng, Z.; Gao, Y.; Kang, X.; et al. Field-Plated Lateral β-Ga2O3 Schottky Barrier Diode With High Reverse Blocking Voltage of More Than 3 kV and High DC Power Figure-of-Merit of 500 MW/cm2. IEEE Electron Device Lett. 2018, 39, 1564. [Google Scholar] [CrossRef]
- Liang, S.; Sheng, H.; Liu, Y.; Huo, Z.; Lu, Y.; Shen, H. ZnO Schottky ultraviolet photodetectors. J. Cryst. Growth 2001, 225, 110. [Google Scholar] [CrossRef]
- Liu, Z.; Wang, X.; Liu, Y.; Guo, D.; Li, S.; Yan, Z.; Tan, C.-K.; Li, W.; Li, P.; Tang, W. A high-performance ultraviolet solar-blind photodetector based on a β-Ga2O3 Schottky photodiode. J. Mater. Chem. C 2019, 7, 13920. [Google Scholar] [CrossRef]
- Qin, Y.; Sun, H.; Long, S.; Tompa, G.S.; Salagaj, T.; Dong, H.; He, Q.; Jian, G.; Liu, Q.; Lv, H.; et al. High-Performance Metal-Organic Chemical Vapor Deposition Grown ε-Ga2O3 Solar-Blind Photodetector With Asymmetric Schottky Electrodes. IEEE Electron Device Lett. 2019, 40, 1475. [Google Scholar] [CrossRef]
- Chen, N.; Ma, J.; Li, P.; Xu, H.; Liu, Y. Zero-biased deep ultraviolet photodetectors based on graphene/cleaved (100) Ga2O3 heterojunction. Opt. Express 2019, 27, 8717. [Google Scholar] [CrossRef]
- Chen, Y.; Zhang, K.; Yang, X.; Chen, X.; Sun, J.; Zhao, Q.; Li, K.; Shan, C. Solar-blind photodetectors based on MXenes–β-Ga2O3 Schottky junctions. J. Phys. D Appl. Phys. 2020, 53, 48400. [Google Scholar] [CrossRef]
- Alema, F.; Hertog, B.; Mukhopadhyay, P.; Zhang, Y.; Mauze, A.; Osinsky, A.; Schoenfeld, W.V.; Speck, J.S.; Vogt, T. Solar blind Schottky photodiode based on an MOCVD-grown homoepitaxial β-Ga2O3 thin film. APL Mater. 2019, 7, 022527. [Google Scholar] [CrossRef]
- Ma, N.; Tanen, N.; Verma, A.; Guo, Z.; Luo, T.; Xing, H.G.; Jena, D. Intrinsic electron mobility limits in β-Ga2O3. Appl. Phys. Lett. 2016, 109, 212101. [Google Scholar] [CrossRef]
- Zhang, F.; Arita, M.; Wang, X.; Chen, Z.; Saito, K.; Tanaka, T.; Nishio, M.; Motooka, T.; Guo, Q. Toward controlling the carrier density of Si doped Ga2O3 films by pulsed laser deposition. Appl. Phys. Lett. 2016, 109, 102105. [Google Scholar] [CrossRef]
- Kang, Y.; Krishnaswamy, K.; Peelaers, H.; Van de Walle, G. Fundamental limits on the electron mobility of β-Ga2O3. J. Phys. Condens. Matter 2017, 29, 234001. [Google Scholar] [CrossRef] [PubMed]
- Yadav, M.K.; Mondal, A.; Das, S.; Sharma, S.K.; Bag, A. Impact of Annealing Temperature on Band-alignment of PLD Grown Ga2O3/Si (100) Heterointerface. J. Alloys Compd. 2019, 819, 153502. [Google Scholar] [CrossRef]
- Yang, H.; Qian, Y.D.; Zhang, C.; Wuu, D.S.; Talwar, D.N.; Lin, H.H.; Lee, J.F.; Wan, L.Y.; He, K.Y.; Feng, Z.C. Surface/structural characteristics and band alignments of thin Ga2O3 films grown on sapphire by pulse laser deposition. Appl. Surf. Sci. 2019, 479, 1246. [Google Scholar] [CrossRef]
- Winkler, N.; Wibowo, R.A.; Kautek, W.; Ligorio, G.; List-Kratochvil, E.J.; Dimopoulos, T. Nanocrystalline Ga2O3 films deposited by spray pyrolysis from water-based solutions on glass and TCO substrates. J. Mater. Chem. C 2019, 7, 69. [Google Scholar] [CrossRef]
- Tung, R.T. The physics and chemistry of the Schottky barrier height. Appl. Phys. Rev. 2014, 1, 011304. [Google Scholar]
- He, H.; Orlando, R.; Blanco, M.A.; Pandey, R.; Amzallag, E.; Baraille, I.; Rerat, M. First-principles study of the structural, electronic, and optical properties of Ga2O3 in its monoclinic and hexagonal phases. Phys. Rev. B 2006, 74, 195123. [Google Scholar] [CrossRef]
- Eastman, D.E. Photoelectric Work Functions of Transition, Rare-Earth, and Noble Metals. Phys. Rev. B 1970, 2, 1. [Google Scholar] [CrossRef]
- Mohamed, M.; Irmscher, K.; Janowitz, C.; Galazka, Z.; Manzke, R.; Fornari, R. Schottky barrier height of Au on the transparent semiconducting oxide β-Ga2O3. Appl. Phys. Lett. 2012, 101, 132106. [Google Scholar] [CrossRef]
- Schottky, W.Z. Halbleitertheorie der Sperrschicht- und Spitzengleichrichter. Eur. Phys. J. A 1939, 113, 367. [Google Scholar] [CrossRef]
- Mott, N.F. The Theory of crystal rectifiers. Proc. R. Soc. A 1939, 171, 27. [Google Scholar]
- Cheung, S.K.; Cheung, N.W. Extraction of Schottky diode parameters from forward current-voltage characteristics. Appl. Phys. Lett. 1986, 49, 85. [Google Scholar] [CrossRef]
- Pierret, R.F. Semiconductor Device Fundamentals; Publishing House of Electronics Industry: Beijing, China, 1996. [Google Scholar]
- Norde, H. A modified forward IV plot for Schottky diodes with high series resistance. J. Appl. Phys. 1979, 50, 5052. [Google Scholar] [CrossRef]
- Ji, M.; Taylor, N.R.; Kravchenko, I.; Joshi, P.; Aytug, T.; Cao, L.R.; Paranthaman, M.P. Demonstration of Large-Size Vertical Ga2O3 Schottky Barrier Diodes. IEEE Trans. Power Electron. 2021, 36, 41. [Google Scholar] [CrossRef]
- Xu, Y.; Chen, X.; Cheng, L.; Ren, F.F.; Zhou, J.J.; Bai, S.; Lu, H.; Gu, S.L.; Zhang, R.; Zheng, Y.D.; et al. High performance lateral Schottky diodes based on quasi-degenerated Ga2O3. Chin. Phys. B 2019, 28, 038503. [Google Scholar] [CrossRef]
- Yuan, H.; Su, J.; Guo, R.; Tian, K.; Lin, Z.H.; Zhang, J.C.; Chang, J.J.; Hao, Y. Contact barriers modulation of graphene/β- Ga2O3 interface for high-performance Ga2O3 devices. Appl. Surf. Sci. 2020, 527, 146740. [Google Scholar] [CrossRef]
- Li, W.S.; Saraswat, D.; Long, Y.; Kazuki, N.; Jena, D.; Xing, H.G. Near-ideal reverse leakage current and practical maximum electric field in β- Ga2O3 Schottky barrier diodes. Appl. Phys. Lett. 2020, 116, 192101. [Google Scholar] [CrossRef]
- Reddy, P.S.; Janardhanam, V.; Shim, K.H.; Reddy, V.R.; Lee, S.N.; Park, S.J.; Choi, C.J. Temperature-dependent Schottky barrier parameters of Ni/Au on n-type (001) β-Ga2O3 Schottky barrier diode. Vacuum 2020, 171, 109012. [Google Scholar] [CrossRef]






| Ga 2p1/2 (eV) | Ga 2p3/2 (eV) | O 1s (eV) | Reference |
|---|---|---|---|
| 1144.7 | 1117.9 | 530.6 | This work |
| 1145.18 | 1118.28 | 531.18 | [15] |
| 1145 | 1120 | 530.7 | [16] |
| 1145.5 | 1118.5 | 531.4 | [17] |
| Substrate | Anode Metal | n | Ref | |||||||
|---|---|---|---|---|---|---|---|---|---|---|
| Wafer (100) | Ni | - | 2.44 105 | 1.34 | 0.52 | 0.93 | 51.5 | 45.5 | This work | |
| Epi layer (001) | Ni | 261 | - | 1.21 | 0.74 | - | 77.3 | - | [27] | |
| Wafer | Ni | 23 | 1.21 | 1.31–1.64 | 1.54 | - | [28] | |||
| Film (100) | Mo | 260 | - | - | - | 1.55 | - | - | [29] | |
| Wafer | Ni/Pt | - | - | 1.14 | 1.3 | 1.37 | - | - | [30] | |
| Epi layer (001) | Ni | - | 1.17 | - | 1.02 | 40 | - | [31] |
Publisher’s Note: MDPI stays neutral with regard to jurisdictional claims in published maps and institutional affiliations. |
© 2021 by the authors. Licensee MDPI, Basel, Switzerland. This article is an open access article distributed under the terms and conditions of the Creative Commons Attribution (CC BY) license (http://creativecommons.org/licenses/by/4.0/).
Share and Cite
Zhang, S.; Liu, Z.; Liu, Y.; Zhi, Y.; Li, P.; Wu, Z.; Tang, W. Electrical Characterizations of Planar Ga2O3 Schottky Barrier Diodes. Micromachines 2021, 12, 259. https://doi.org/10.3390/mi12030259
Zhang S, Liu Z, Liu Y, Zhi Y, Li P, Wu Z, Tang W. Electrical Characterizations of Planar Ga2O3 Schottky Barrier Diodes. Micromachines. 2021; 12(3):259. https://doi.org/10.3390/mi12030259
Chicago/Turabian StyleZhang, Shiyu, Zeng Liu, Yuanyuan Liu, Yusong Zhi, Peigang Li, Zhenping Wu, and Weihua Tang. 2021. "Electrical Characterizations of Planar Ga2O3 Schottky Barrier Diodes" Micromachines 12, no. 3: 259. https://doi.org/10.3390/mi12030259
APA StyleZhang, S., Liu, Z., Liu, Y., Zhi, Y., Li, P., Wu, Z., & Tang, W. (2021). Electrical Characterizations of Planar Ga2O3 Schottky Barrier Diodes. Micromachines, 12(3), 259. https://doi.org/10.3390/mi12030259

