Determination of the Efficiency of Hot Nano-Grinding of Mono-Crystalline Fcc Metals Using Molecular Dynamics Method
Abstract
:1. Introduction
2. Materials and Methods
3. Results and Discussion
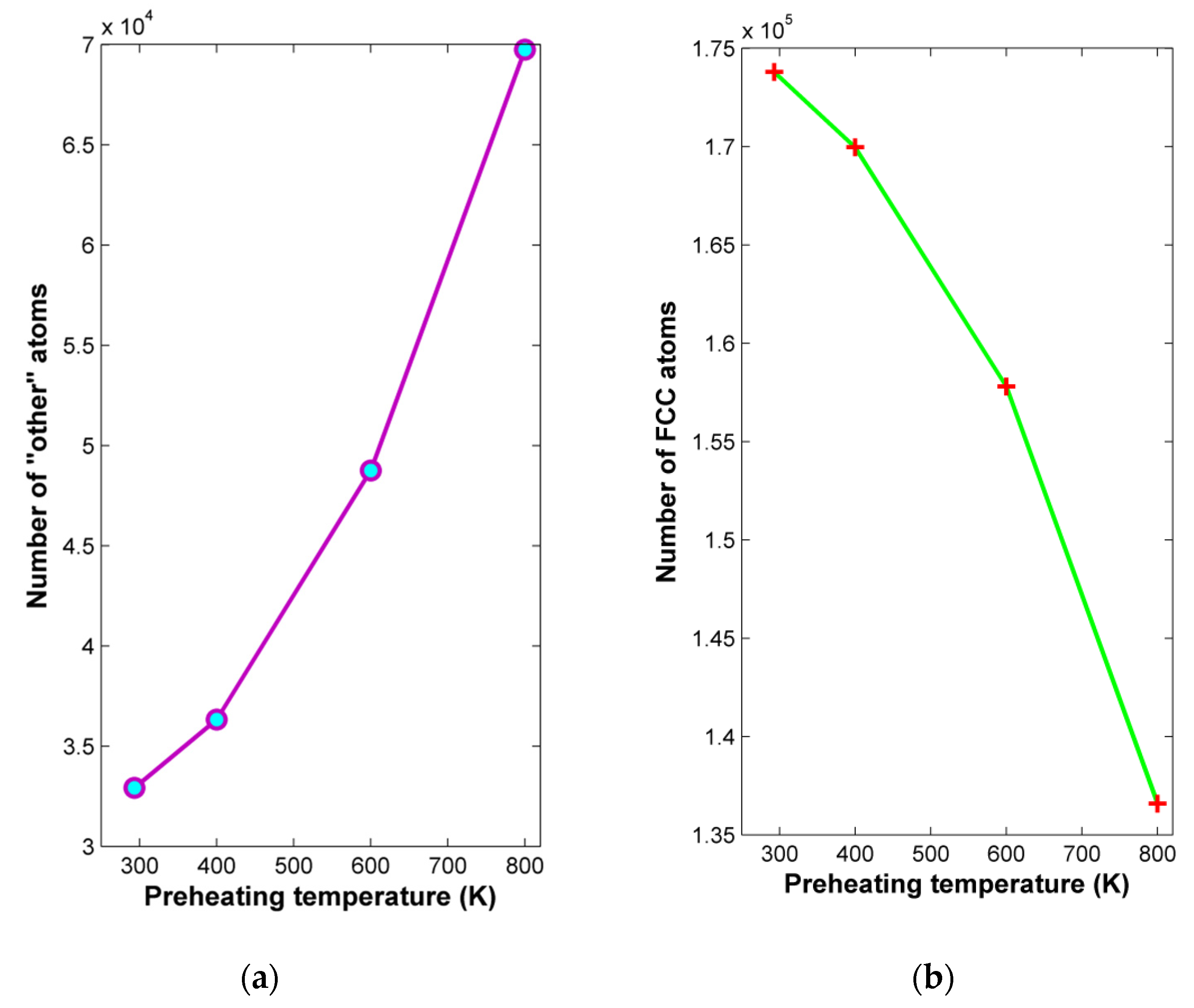
3.1. Hot Nano-Grinding of Copper Workpiece
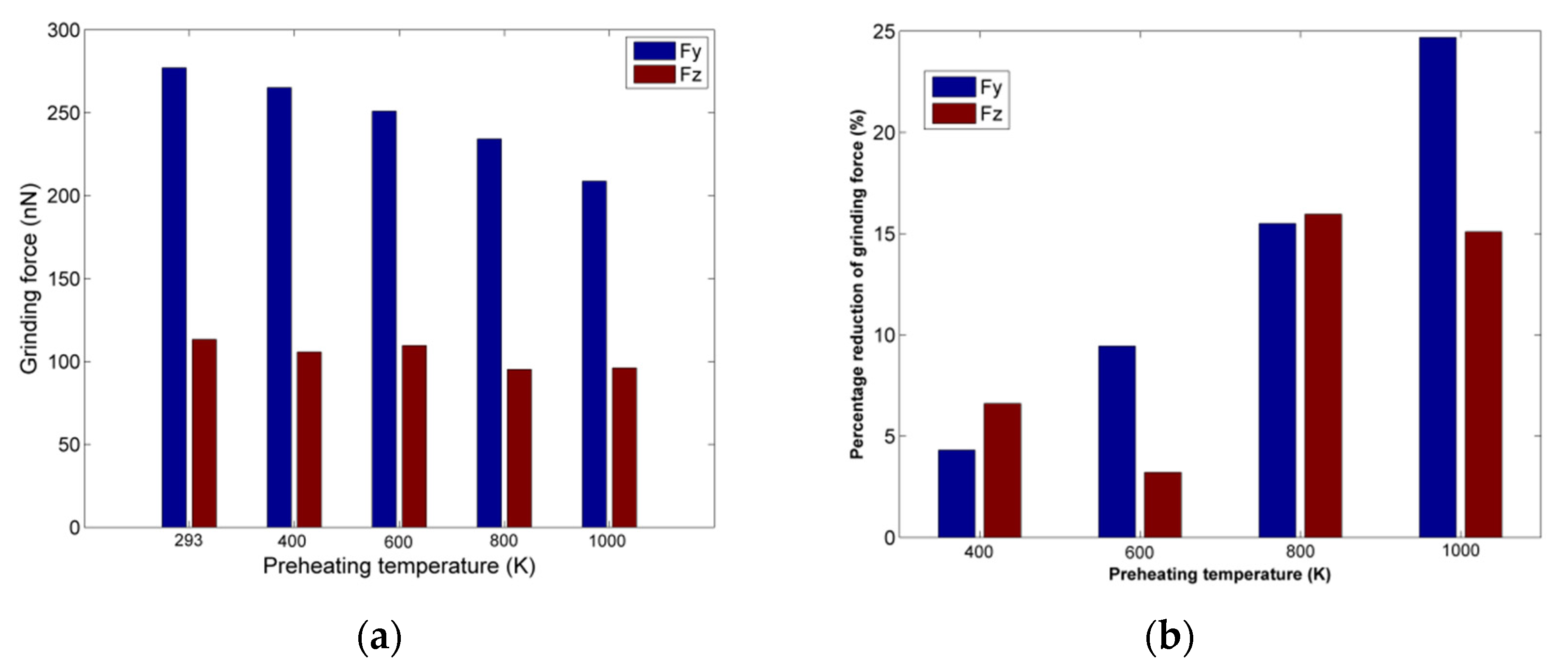
3.2. Hot Nano-Grinding of Nickel Workpiece
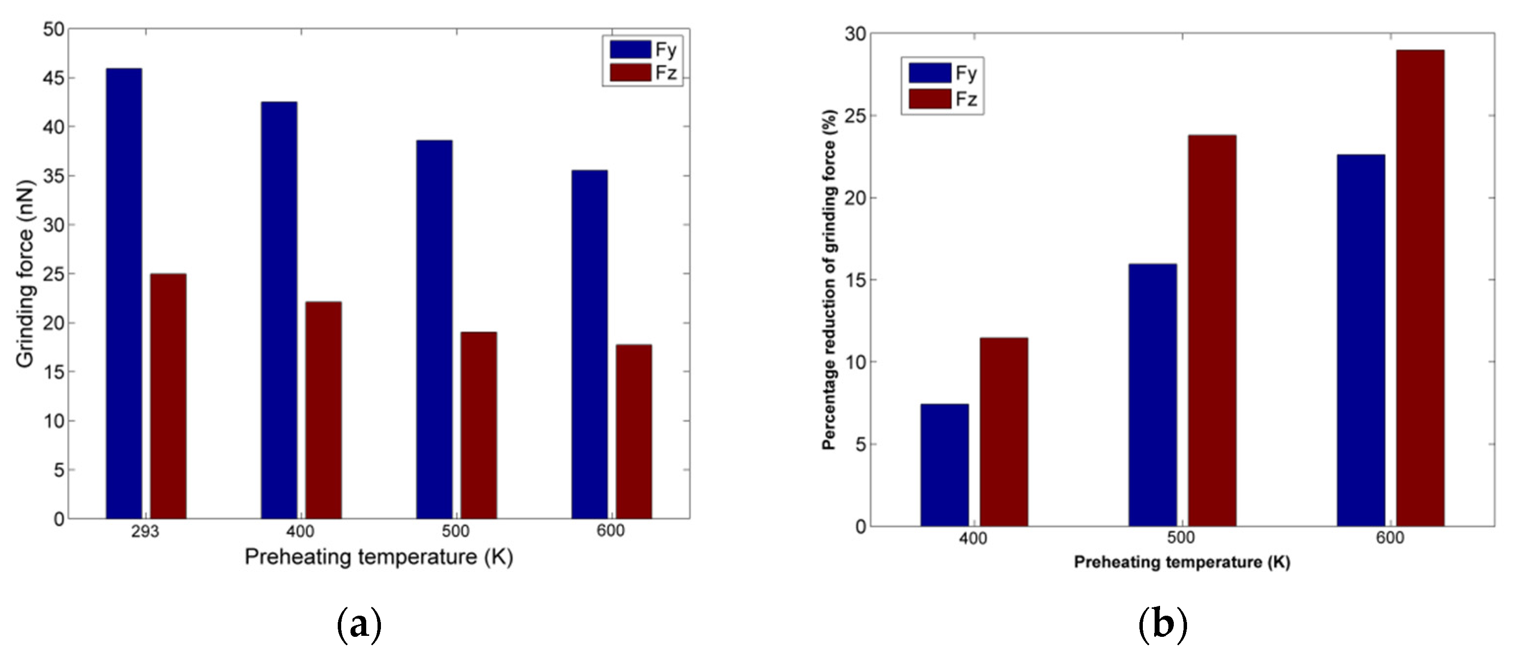
3.3. Hot Nano-Grinding of Aluminum Workpiece
3.4. Comparison of the Effect of Preheating Temperature on Different Materials
4. Conclusions
Author Contributions
Funding
Institutional Review Board Statement
Informed Consent Statement
Data Availability Statement
Conflicts of Interest
References
- Cui, D.D.; Zhang, L.C. Nano-machining of materials: Understanding the process through molecular dynamics simulation. Adv. Manuf. 2017, 5, 20–34. [Google Scholar] [CrossRef]
- Goel, S. The current understanding on the diamond machining of silicon carbide. J. Phys. D Appl. Phys. 2014, 47, 243001. [Google Scholar] [CrossRef] [Green Version]
- Alder, B.; Wainwright, T. Studies in molecular dynamics. I. General method. J. Chem. Phys. 1959, 31, 459–466. [Google Scholar]
- Alder, B.; Wainwright, T. Studies in molecular dynamics. II. Behavior of a small number of elastic spheres. J. Chem. Phys. 1960, 33, 1439–1451. [Google Scholar] [CrossRef]
- Belak, J.; Stowers, I.F. A molecular dynamics model of the orthogonal cutting process. In Proceedings of the ASPE Annual Conference, Rochester, New York, NY, USA, 1 January 1990; Lawrence Livermore National Lab.: New York, NY, USA, 1990; p. 76. [Google Scholar]
- Shimada, S.; Ikawa, N.; Ohmori, G.; Tanaka, H.; Uchokoshi, J. Feasibility study on ultimate accuracy in microcutting using molecular dynamics simulation. Ann. CIRP 1993, 42, 91–94. [Google Scholar] [CrossRef]
- Rentsch, R.; Inasaki, I. Molecular Dynamics Simulation for Abrasive processes. CIRP Ann. 1994, 43, 327–330. [Google Scholar] [CrossRef]
- Komanduri, R.; Chandrasekaran, N.; Raff, L.M. Some aspects of machining with negative-rake tools simulating grinding: A molecular dynamics simulation approach. Philos. Mag. Part B 1999, 79, 955–968. [Google Scholar] [CrossRef]
- Li, J.; Fang, Q.; Liu, Y.; Zhang, L. A molecular dynamics investigation into the mechanisms of subsurface damage and material removal of monocrystalline copper subjected to nanoscale high speed grinding. Appl. Surf. Sci. 2014, 303, 331–343. [Google Scholar] [CrossRef]
- Ren, J.; Hao, M.; Lv, M.; Wang, S.; Zhu, B. Molecular dynamics research on ultra-high-speed grinding mechanism of monocrystalline nickel. Appl. Surf. Sci. 2018, 455, 629–634. [Google Scholar] [CrossRef]
- Liu, Y.; Zheng, Y.; Li, B. Investigation of high-speed nanogrinding mechanism based on molecular dynamics. In Proceedings of the ASME 2018 13th International Manufacturing Science and Engineering Conference MSEC2018, College Station, TX, USA, 18–22 June 2018; p. V004T03A024. [Google Scholar]
- Ren, J.; Hao, M.; Liang, G.; Wang, S.; Lv, M. Study of subsurface damage of monocrystalline nickel in nanometric grinding with spherical abrasive grain. Phys. B Condens. Matter 2019, 560, 60–66. [Google Scholar] [CrossRef]
- Zhang, Z.; Chen, P.; Qin, F.; An, T.; Yu, H. Mechanical properties of silicon in subsurface damage layer from nano-grinding studied by atomistic simulation. AIP Adv. 2018, 8, 055223. [Google Scholar] [CrossRef] [Green Version]
- Fang, X.; Kang, Q.; Ding, J.; Sun, L.; Maeda, R.; Jiang, Z. Stress distribution in silicon subjected to atomic scale grinding with a curved tool path. Materials 2020, 13, 1710. [Google Scholar] [CrossRef] [PubMed] [Green Version]
- Eder, S.J.; Bianchi, D.; Cihak-Bayr, U.; Vernes, A.; Betz, G. An analysis method for atomistic abrasion simulations featuring rough surfaces and multiple abrasive particles. Comput. Phys. Commun. 2014, 185, 2456–2466. [Google Scholar] [CrossRef]
- Eder, S.J.; Cihak-Bayr, U.; Pauschitz, A. Nanotribological simulations of multi-grit polishing and grinding. Wear 2015, 340–341, 25–30. [Google Scholar] [CrossRef]
- Eder, S.J.; Leroch, S.; Grützmacher, P.G.; Spenger, T.; Heckes, H. A multiscale simulation approach to grinding ferrous surfaces for process optimization. Int. J. Mech. Sci. 2021, 194, 106186. [Google Scholar] [CrossRef]
- Wu, Z.; Zhang, L.; Yang, S. Effect of abrasive grain position patterns on the deformation of 6H-silicon carbide subjected to nano-grinding. Int. J. Mech. Sci. 2021, 211, 106779. [Google Scholar] [CrossRef]
- Karkalos, N.E.; Markopoulos, A.P. Molecular dynamics study of the effect of abrasive grains orientation and spacing during Nanogrinding. Micromachines 2020, 11, 712. [Google Scholar] [CrossRef]
- Chavoshi, S.Z.; Xu, S.; Luo, X. Dislocation-mediated plasticity in silicon during nanometric cutting: A molecular dynamics simulation study. Mater. Sci. Semicond Process. 2016, 51, 60–70. [Google Scholar] [CrossRef] [Green Version]
- Chavoshi, S.Z.; Goel, S.; Luo, X. Influence of temperature on the anisotropic cutting behaviour of single crystal silicon: A molecular dynamics simulation investigation. J. Manuf. Process. 2016, 23, 201–210. [Google Scholar] [CrossRef] [Green Version]
- Fan, P.; Goel, S.; Luo, X.; Yan, Y.; Geng, Y.; He, Y.; Wang, Y. Molecular dynamics simulation of AFM tip-based hot scratching of nanocrystalline GaAs. Mater. Sci. Semicond. Process. 2021, 130, 105832. [Google Scholar] [CrossRef]
- Goel, S.; Rashid, W.B.; Luo, X.; Agrawal, A.; Jain, V.K. A theoretical assessment of surface defect machining and hot machining of nanocrystalline silicon carbide. J. Manuf. Sci. Eng. 2014, 136, 021015. [Google Scholar] [CrossRef]
- Chavoshi, S.Z.; Luo, X. Atomic-scale characterization of occurring phenomena during hot nanometric cutting of single crystal 3C-SiC. RSC Adv. 2016, 6, 71409. [Google Scholar] [CrossRef] [Green Version]
- Chavoshi, S.Z.; Luo, X. An atomistic simulation investigation on chip related phenomena in nanometric cutting of single crystal silicon at elevated temperatures. Comput. Mater. Sci 2016, 113, 1–10. [Google Scholar] [CrossRef] [Green Version]
- Chavoshi, S.Z.; Luo, X. Molecular dynamics simulation investigation of hot nanometric cutting of single crystal silicon. In Proceedings of the 16th Euspen International Conference, Nottingham, UK, 30th May–3rd June 2016; pp. 249–250. [Google Scholar]
- Chavoshi, S.Z.; Luo, X. Molecular dynamics simulation study of deformation mechanisms in 3C-SiC during nanometric cutting at elevated temperatures. Mater. Sci. Eng. A 2016, 654, 400–417. [Google Scholar] [CrossRef] [Green Version]
- Chavoshi, S.Z.; Goel, S.; Luo, X. Molecular dynamics simulation investigation on the plastic flow behaviour of silicon during nanometric cutting. Model. Simul. Mater. Sci. Eng. 2016, 24, 015002. [Google Scholar] [CrossRef] [Green Version]
- Liu, C.; Chen, X.; Ke, J.; She, Z.; Zhang, J.; Xiao, J.; Xu, J. Numerical investigation on subsurface damage in nanometric cutting of single-crystal silicon at elevated temperatures. J. Manuf. Process. 2021, 68, 1060–1071. [Google Scholar] [CrossRef]
- Liu, C.; Chu, J.; Chen, X.; Xiao, J.; Xu, J. Molecular dynamics simulation on structure evolution of silica glass in nano-cutting at high temperature. Mol. Simul. 2020, 46, 957–965. [Google Scholar] [CrossRef]
- Niu, Y.; Zhao, D.; Wang, S.; Li, S.; Wang, Z.; Zhao, H. Investigations on thermal effects on scratch behavior of monocrystalline silicon via molecular dynamics simulation. Mater. Today Commun. 2021, 26, 102042. [Google Scholar] [CrossRef]
- Liu, C.; He, W.; Chu, J.; Zhang, J.; Chen, X.; Xiao, J.; Xu, J. Molecular dynamics simulation on cutting mechanism in the hybrid machining process of single-crystal silicon. Nanoscale Res. Lett. 2021, 16, 66. [Google Scholar] [CrossRef]
- Xie, H.; Ma, Z.; Zhao, H.; Ren, L. Temperature induced nano-scratch responses of γ-TiAl alloys revealed via molecular dynamics simulation. Mater. Today Commun. 2022, 30, 103072. [Google Scholar] [CrossRef]
- Kong, X.; Wang, W.; Wang, M.; Yang, L. Influence of temperature on the cutting performance of single-crystal beryllium: A molecular dynamics simulation investigation. Appl. Phys. A 2021, 127, 801. [Google Scholar] [CrossRef]
- Cverna, F. ASM Ready Reference: Thermal Properties of Metals, 1st ed.; ASM International: Materials Park, OH, USA, 2002. [Google Scholar]
- Uezaki, K.; Shimizu, J.; Zhou, L. Development of metal cutting process accompanied by a localized compressive hydrostatic stress field formation: Examination by molecular dynamics simulation. Precis. Eng. 2014, 38, 371–378. [Google Scholar] [CrossRef]















| Material | Lattice Constant (Å) | Density (kg/m3) | Thermal Conductivity (W/mK) | Specific Heat (J/kgK) | Melting Temperature (K) |
|---|---|---|---|---|---|
| Copper | 3.615 | 8.954 | 386 | 380 | 1357.16 |
| Nickel | 3.520 | 8.906 | 99 | 445.9 | 1726.16 |
| Aluminum | 4.041 | 2.707 | 220 | 896 | 933.16 |
Publisher’s Note: MDPI stays neutral with regard to jurisdictional claims in published maps and institutional affiliations. |
© 2022 by the authors. Licensee MDPI, Basel, Switzerland. This article is an open access article distributed under the terms and conditions of the Creative Commons Attribution (CC BY) license (https://creativecommons.org/licenses/by/4.0/).
Share and Cite
Karkalos, N.E.; Markopoulos, A.P. Determination of the Efficiency of Hot Nano-Grinding of Mono-Crystalline Fcc Metals Using Molecular Dynamics Method. Micromachines 2022, 13, 415. https://doi.org/10.3390/mi13030415
Karkalos NE, Markopoulos AP. Determination of the Efficiency of Hot Nano-Grinding of Mono-Crystalline Fcc Metals Using Molecular Dynamics Method. Micromachines. 2022; 13(3):415. https://doi.org/10.3390/mi13030415
Chicago/Turabian StyleKarkalos, Nikolaos E., and Angelos P. Markopoulos. 2022. "Determination of the Efficiency of Hot Nano-Grinding of Mono-Crystalline Fcc Metals Using Molecular Dynamics Method" Micromachines 13, no. 3: 415. https://doi.org/10.3390/mi13030415
APA StyleKarkalos, N. E., & Markopoulos, A. P. (2022). Determination of the Efficiency of Hot Nano-Grinding of Mono-Crystalline Fcc Metals Using Molecular Dynamics Method. Micromachines, 13(3), 415. https://doi.org/10.3390/mi13030415
