Demonstration of Fully Integrable Long-Range Microposition Detection with Wafer-Level Embedded Micromagnets
Abstract
:1. Introduction
2. Theory
3. Experimental Setup
3.1. Powder-Based Wafer-Level Integrated Micromagnets
3.2. Setup of One-Dimensional (1D) Measurement
3.3. Setup of Three-Dimensional (3D) Measurement
4. Results and Discussion
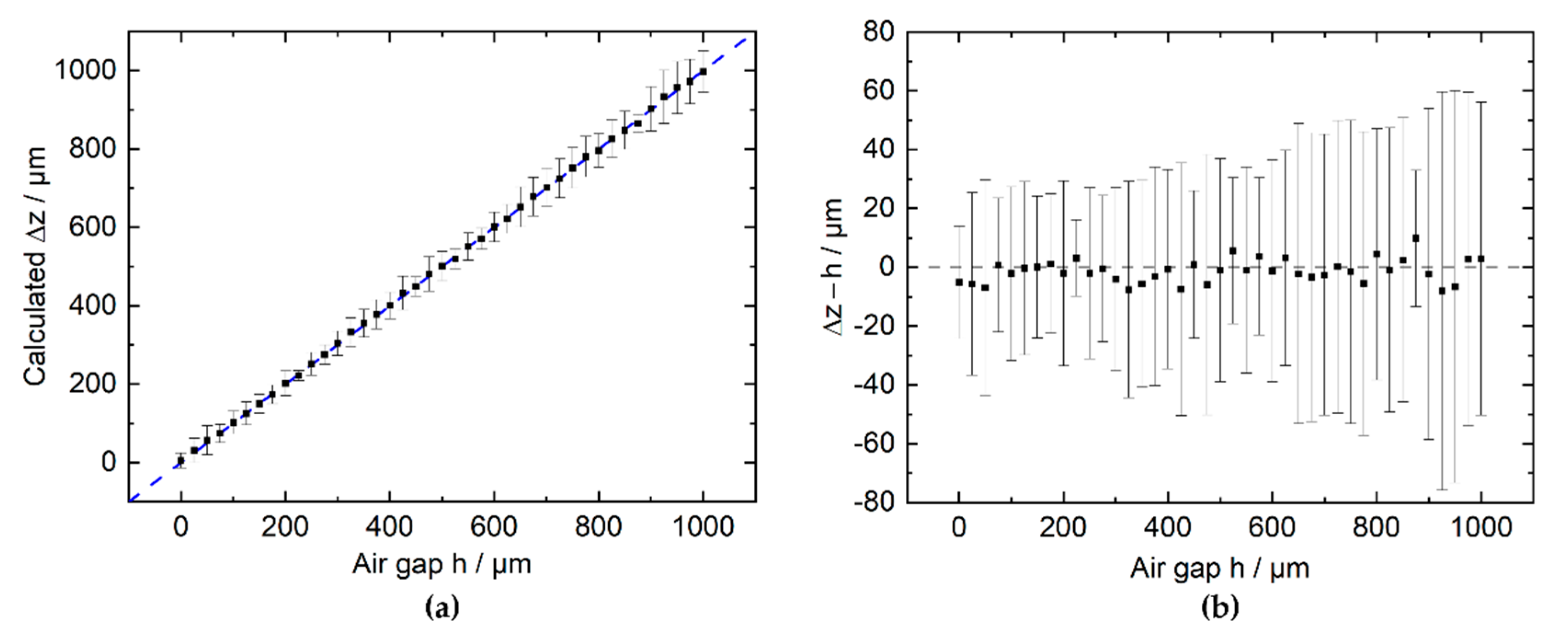
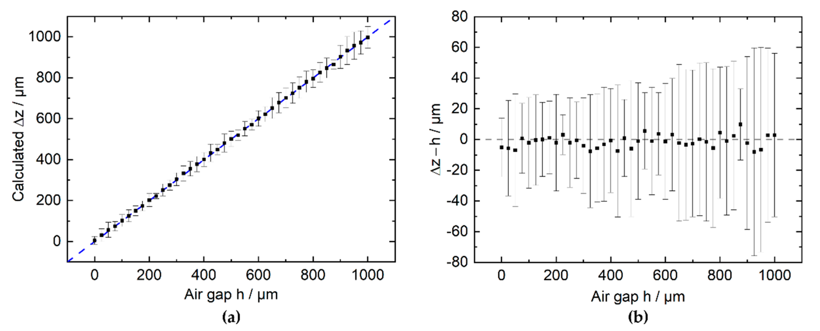
4.1. One-Dimensional (1D) Measurement
4.2. Three-Dimensional (3D) Measurements
5. Conclusions and Outlook
6. Patents
Supplementary Materials
Author Contributions
Funding
Informed Consent Statement
Acknowledgments
Conflicts of Interest
References
- Wang, D.; Watkins, C.; Xie, H. MEMS Mirrors for LiDAR: A review. Micromachines 2020, 11, 456. [Google Scholar] [CrossRef] [PubMed]
- Chi, C.; Sun, X.; Xue, N.; Li, T.; Liu, C. Recent Progress in Technologies for Tactile Sensors. Sensors 2018, 18, 948. [Google Scholar] [CrossRef] [PubMed] [Green Version]
- Wang, H.; de Boer, G.; Kow, J.; Alazmani, A.; Ghajari, M.; Hewson, R.; Culmer, P. Design Methodology for Magnetic Field-Based Soft Tri-Axis Tactile Sensors. Sensors 2016, 16, 1356. [Google Scholar] [CrossRef] [PubMed] [Green Version]
- Yang, P.; Mechefske, C.; Lai, Y. Micro thermal actuator with integrated capacitive position sensor. In Proceedings of the 2009 2nd Microsystems and Nanoelectronics Research Conference (MNRC 2009), Ottawa, ON, Canada, 13–14 October 2009; pp. 25–28, ISBN 978-1-4244-4751-0. [Google Scholar]
- Ye, Y.; Zhang, C.; He, C.; Wang, X.; Huang, J.; Deng, J. A Review on Applications of Capacitive Displacement Sensing for Capacitive Proximity Sensor. IEEE Access 2020, 8, 45325–45342. [Google Scholar] [CrossRef]
- Fiorillo, A.S.; Critello, C.D.; Pullano, S.A. Theory, technology and applications of piezoresistive sensors: A review. Sens. Actuators A Phys. 2018, 281, 156–175. [Google Scholar] [CrossRef]
- Schott, C.; Racz, R.; Huber, S. CMOS three axis hall sensor and joystick application. In Proceedings of the IEEE Sensors, 2004, Vienna, Austria, 24–27 October 2004; pp. 977–980, ISBN 0-7803-8692-2. [Google Scholar]
- Cichon, D.; Psiuk, R.; Brauer, H.; Topfer, H. A Hall-Sensor-Based Localization Method With Six Degrees of Freedom Using Unscented Kalman Filter. IEEE Sens. J. 2019, 19, 2509–2516. [Google Scholar] [CrossRef]
- Ortner, M.; Ribeiro, M.; Spitzer, D. Absolute Long-Range Linear Position System With a Single 3-D Magnetic Field Sensor. IEEE Trans. Magn. 2019, 55, 1–4. [Google Scholar] [CrossRef]
- Lenz, J.; Edelstein, S. Magnetic sensors and their applications. IEEE Sens. J. 2006, 6, 631–649. [Google Scholar] [CrossRef]
- Lisec, T.; Behrmann, O.; Gojdka, B. PowderMEMS—A generic microfabrication technology for integrated three-dimensional functional microstructures. Micromachines. under review.
- Lisec, T.; Bodduluri, M.T.; Schulz-Walsemann, A.-V.; Blohm, L.; Pieper, I.; Gu-Stoppel, S.; Niekiel, F.; Lofink, F.; Wagner, B. Integrated High Power Micro Magnets for MEMS Sensors and Actuators. In Proceedings of the 2019 20th International Conference on Solid-State Sensors, Actuators and Microsystems & Eurosensors XXXIII (Transducers & Eurosensors XXXIII); IEEE: Piscataway, NJ, USA, 2019; ISBN 9781538681046. [Google Scholar]
- Gu-Stoppel, S.; Lisec, T.; Claus, M.; Funck, N.; Fichtner, S.; Schröder, S.; Wagner, B.; Lofink, F. A triple-wafer-bonded AlScN driven quasi-static MEMS mirror with high linearity and large tilt angles. In MOEMS and Miniaturized Systems XIX. MOEMS and Miniaturized Systems XIX, San Francisco, United States, 2/1/2020–2/6/2020; Piyawattanametha, W., Park, Y.-H., Zappe, H., Eds.; SPIE: Bellingham, WA, USA, 2020; p. 3. ISBN 9781510633490. [Google Scholar]
- Lisec, T.; Reimer, T.; Knez, M.; Chemnitz, S.; Schulz-Walsemann, A.V.; Kulkarni, A. A Novel Fabrication Technique for MEMS Based on Agglomeration of Powder by ALD. J. Microelectromech. Syst. 2017, 26, 1093–1098. [Google Scholar] [CrossRef]
- Kostmann, C.; Lisec, T.; Bodduluri, M.T.; Andersen, O. Automated Filling of Dry Micron-Sized Particles into Micro Mold Pattern within Planar Substrates for the Fabrication of Powder-Based 3D Microstructures. Micromachines 2021, 12, 1176. [Google Scholar] [CrossRef] [PubMed]
- Hall Sensor FH3D02. Available online: https://shop.lze-innovation.de/en/products/dual-3d-hall-sensor-mit-integriertem-eeprom-hallsensor-fh3d02 (accessed on 15 December 2021).
- Derby, N.; Olbert, S. Cylindrical magnets and ideal solenoids. Am. J. Phys. 2010, 78, 229–235. [Google Scholar] [CrossRef] [Green Version]
- Furlani, E.P.; Reznik, S.; Janson, W. A three-dimensional field solution for bipolar cylinders. IEEE Trans. Magn. 1994, 30, 2916–2919. [Google Scholar] [CrossRef]










Publisher’s Note: MDPI stays neutral with regard to jurisdictional claims in published maps and institutional affiliations. |
© 2022 by the authors. Licensee MDPI, Basel, Switzerland. This article is an open access article distributed under the terms and conditions of the Creative Commons Attribution (CC BY) license (https://creativecommons.org/licenses/by/4.0/).
Share and Cite
Gojdka, B.; Cichon, D.; Lembrecht, Y.; Bodduluri, M.T.; Lisec, T.; Stahl-Offergeld, M.; Hohe, H.-P.; Niekiel, F. Demonstration of Fully Integrable Long-Range Microposition Detection with Wafer-Level Embedded Micromagnets. Micromachines 2022, 13, 235. https://doi.org/10.3390/mi13020235
Gojdka B, Cichon D, Lembrecht Y, Bodduluri MT, Lisec T, Stahl-Offergeld M, Hohe H-P, Niekiel F. Demonstration of Fully Integrable Long-Range Microposition Detection with Wafer-Level Embedded Micromagnets. Micromachines. 2022; 13(2):235. https://doi.org/10.3390/mi13020235
Chicago/Turabian StyleGojdka, Björn, Daniel Cichon, Yannik Lembrecht, Mani Teja Bodduluri, Thomas Lisec, Markus Stahl-Offergeld, Hans-Peter Hohe, and Florian Niekiel. 2022. "Demonstration of Fully Integrable Long-Range Microposition Detection with Wafer-Level Embedded Micromagnets" Micromachines 13, no. 2: 235. https://doi.org/10.3390/mi13020235
APA StyleGojdka, B., Cichon, D., Lembrecht, Y., Bodduluri, M. T., Lisec, T., Stahl-Offergeld, M., Hohe, H.-P., & Niekiel, F. (2022). Demonstration of Fully Integrable Long-Range Microposition Detection with Wafer-Level Embedded Micromagnets. Micromachines, 13(2), 235. https://doi.org/10.3390/mi13020235

