Comprehensive Schottky Barrier Height Behavior and Reliability Instability with Ni/Au and Pt/Ti/Pt/Au on AlGaN/GaN High-Electron-Mobility Transistors
Abstract
:1. Introduction
2. Materials and Methods
3. Results and Discussion
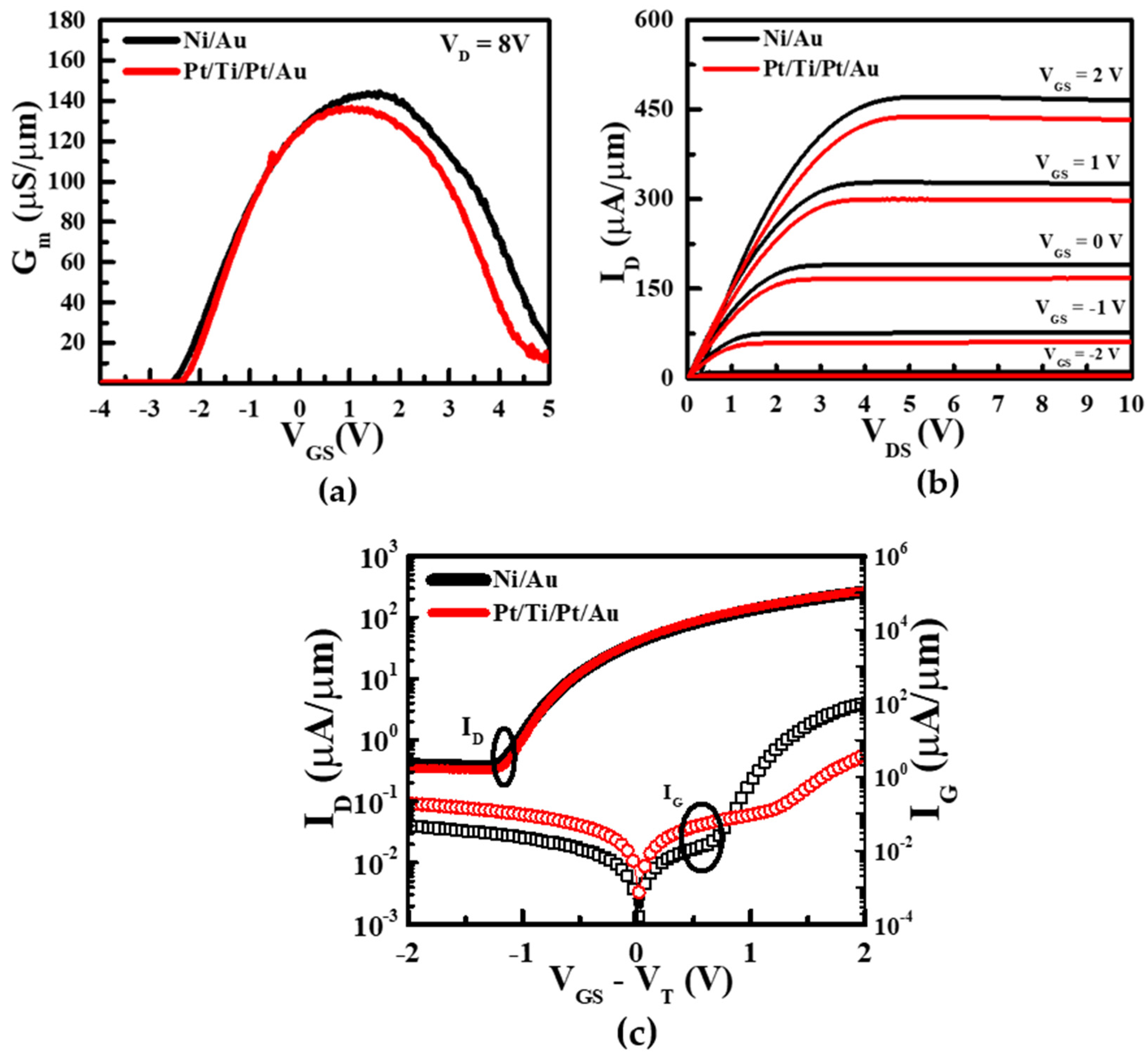
3.1. Impact of Schottky Contact Electrodes on Electrical Properties
3.2. Reliability Instability Based on Temperature
4. Conclusions
Author Contributions
Funding
Data Availability Statement
Conflicts of Interest
References
- del Alamo, J.A.; Joh, J. GaN HEMT reliability. Microelectron. Reliab. 2009, 49, 1200–1206. [Google Scholar] [CrossRef]
- Nguyen, C. MODFETs MBE. Electron. Lett. 2000, 36, 468–469. [Google Scholar] [CrossRef]
- Sun, H.; Alt, A.R.; Member, S.; Benedickter, H.; Feltin, E.; Carlin, J.; Gonschorek, M.; Grandjean, N.; Bolognesi, C.R.; We, A.; et al. 205-GHz (Al,In)N/GaN HEMTs. IEEE Electron Device Lett. 2010, 31, 957–959. [Google Scholar] [CrossRef]
- Wang, W.; Derluyn, J.; Germain, M.; Leys, M.; Degroote, S.; Schreurs, D.; Borghs, G. Effect of surface passivation on two-dimensional electron gas carrier density in AlGaN/GaN structures. Jpn. J. Appl. Phys. Part 2 Lett. 2006, 45, 43–46. [Google Scholar] [CrossRef]
- Feng, Z.; Zhou, Y.; Cai, S.; Lau, K.M. Doping concentration and structural dependences of the thermal stability of the 2DEG in GaN-based high-electron-mobility transistor structures. Jpn. J. Appl. Phys. Part 2 Lett. 2005, 44, 2–5. [Google Scholar] [CrossRef] [Green Version]
- Ambacher, O.; Foutz, B.; Smart, J.; Shealy, J.R.; Weimann, N.G.; Chu, K.; Murphy, M.; Sierakowski, A.J.; Schaff, W.J.; Eastman, L.F.; et al. Two dimensional electron gases induced by spontaneous and piezoelectric polarization in undoped and doped AlGaN/GaN heterostructures. J. Appl. Phys. 2000, 87, 334–344. [Google Scholar] [CrossRef]
- Visvkarma, A.K.; Sharma, C.; Laishram, R.; Kapoor, S.; Rawal, D.S.; Vinayak, S.; Saxena, M. Comparative study of Au and Ni/Au gated AlGaN/GaN high electron mobility transistors. AIP Adv. 2019, 9, 125231. [Google Scholar] [CrossRef]
- Mimouni, A.; Fernández, T.; Rodriguez-Tellez, J.; Tazon, A.; Baudrand, H.; Boussuis, M. Gate Leakage Current in GaN HEMT’s: A Degradation Modeling Approach. Electr. Electron. Eng. 2013, 2, 397–402. [Google Scholar] [CrossRef] [Green Version]
- Zhu, J.; Hou, B.; Chen, L.; Zhu, Q.; Yang, L.; Zhou, X.; Zhang, P.; Ma, X.; Hao, Y. Threshold Voltage Shift and Interface/Border Trapping Mechanism in Al2O3/AlGaN/GaN MOS-HEMTs. In Proceedings of the 2018 IEEE International Reliability Physics Symposium (IRPS), Burlingame, CA, USA, 11–15 March 2018; pp. 2018–2021. [Google Scholar]
- Jimenez, J.L.; Chowdhury, U. X-band GaN fet reliability. IEEE Int. Reliab. Phys. Symp. 2008, 429–435. [Google Scholar] [CrossRef]
- Besendörfer, S.; Meissner, E.; Medjdoub, F.; Derluyn, J.; Friedrich, J.; Erlbacher, T. The impact of dislocations on AlGaN/GaN Schottky diodes and on gate failure of high electron mobility transistors. Sci. Rep. 2020, 10, 1–12. [Google Scholar] [CrossRef]
- Chowdhury, U.; Jimenez, J.L.; Lee, C.; Beam, E.; Saunier, P.; Balistreri, T.; Park, S.Y.; Lee, T.; Wang, J.; Kim, M.J.; et al. TEM observation of crack- and pit-shaped defects in electrically degraded GaN HEMTs. IEEE Electron Device Lett. 2008, 29, 1098–1100. [Google Scholar] [CrossRef]
- Jungwoo, J.; Del Alamo, J.A. Mechanisms for electrical degradation of GaN high-electron mobility transistors. In Proceedings of the 2006 International Electron Devices Meeting, San Francisco, CA, USA, 11–13 December 2006; pp. 5–8. [Google Scholar] [CrossRef]
- Astre, G.; Tartarin, J.G.; Lambert, B. Trapping related degradation effects in AlGaN/GaN HEMT. In Proceedings of the The 5th European Microwave Integrated Circuits Conference, Paris, France, 27–28 September 2010; pp. 298–301. [Google Scholar]
- Meneghesso, G.; Verzellesi, G.; Danesin, F.; Rampazzo, F.; Zanon, F.; Tazzoli, A.; Meneghini, M.; Zanoni, E. Reliability of GaN high-electron-mobility transistors: State of the art and perspectives. IEEE Trans. Device Mater. Reliab. 2008, 8, 332–343. [Google Scholar] [CrossRef]
- Hoon Shin, J.; Je Jo, Y.; Kim, K.C.; Jang, T.; Sang Kim, K. Gate metal induced reduction of surface donor states of AlGaN/GaN heterostructure on Si-substrate investigated by electroreflectance spectroscopy. Appl. Phys. Lett. 2012, 100, 111908. [Google Scholar] [CrossRef]
- Yu, C.H.; Luo, Q.Z.; Luo, X.D.; Liu, P.S. Donor-like surface traps on two-dimensional electron gas and current collapse of AlGaN/GaN HEMTs. Sci. World J. 2013, 2013, 931980. [Google Scholar] [CrossRef] [Green Version]
- Shin, J.H.; Park, J.; Jang, S.; Jang, T.; Sang Kim, K. Metal induced inhomogeneous Schottky barrier height in AlGaN/GaN Schottky diode. Appl. Phys. Lett. 2013, 102, 1–6. [Google Scholar] [CrossRef]
- Suzuki, A.; Akira, K.; Asubar, J.T.; Tokuda, H.; Kuzuhara, M. Improved current collapse in AlGaN/GaN HEMTs with 3-dimensional field plate structure. IMFEDK 2015–2015 Int. Meet. Futur. Electron Devices Kansai 2015, 31, 36–37. [Google Scholar] [CrossRef]
- Long, W.; Ou, H.; Kuo, J.; Chin, K.K. Dual-Material Gate (DMG) Field Effect Transistor. IEEE Electron Device Lett. 1999, 46, 865–870. [Google Scholar] [CrossRef]
- Green, R.T.; Luxmoore, I.J.; Lee, K.B.; Houston, P.A.; Ranalli, F.; Wang, T.; Parbrook, P.J.; Uren, M.J.; Wallis, D.J.; Martin, T. Characterization of gate recessed GaN/AlGaN/GaN high electron mobility transistors fabricated using a SiCl4/SF6 dry etch recipe. J. Appl. Phys. 2010, 108, 013711. [Google Scholar] [CrossRef]
- Laurent, M.A.; Gupta, G.; Suntrup, D.J.; DenBaars, S.P.; Mishra, U.K. Barrier height inhomogeneity and its impact on (Al,In,Ga)N Schottky diodes. J. Appl. Phys. 2016, 119, 064501. [Google Scholar] [CrossRef]
- Meneghesso, G.; Meneghini, M.; Stocco, A.; Bisi, D.; de Santi, C.; Rossetto, I.; Zanandrea, A.; Rampazzo, F.; Zanoni, E. Degradation of AlGaN/GaN HEMT devices: Role of reverse-bias and hot electron stress. Microelectron. Eng. 2013, 109, 257–261. [Google Scholar] [CrossRef]
- Mishra, U.K.; Shen, L.; Kazior, T.E.; Wu, Y.F. GaN-based RF power devices and amplifiers. Proc. IEEE 2008, 96, 287–305. [Google Scholar] [CrossRef]
- Mukherjee, S.; Puzyrev, Y.; Chen, J.; Fleetwood, D.M.; Schrimpf, R.D.; Pantelides, S.T. Hot-Carrier Degradation in GaN HEMTs Due to Substitutional Iron and Its Complexes. IEEE Trans. Electron Devices 2016, 63, 1486–1494. [Google Scholar] [CrossRef]
- Zhang, T.; Wang, Y.; Zhang, Y.; Lv, Y.; Ning, J.; Zhang, Y.; Zhou, H.; Duan, X.; Zhang, J.; Hao, Y. Comprehensive Annealing Effects on AlGaN/GaN Schottky Barrier Diodes with Different Work-Function Metals. IEEE Trans. Electron Devices 2021, 68, 2661–2666. [Google Scholar] [CrossRef]
- Schmitz, A.C.; Ping, A.T.; Asif Khan, M.; Chen, Q.; Yang, J.W.; Adesida, I. Metal contacts to n-type GaN. J. Electron. Mater. 1998, 27, 255–260. [Google Scholar] [CrossRef]
- Hashizume, T.; Hasegawa, H. Effects of nitrogen deficiency on electronic properties of AlGaN surfaces subjected to thermal and plasma processes. Appl. Surf. Sci. 2004, 234, 387–394. [Google Scholar] [CrossRef] [Green Version]
- Hasegawa, H.; Inagaki, T.; Ootomo, S.; Hashizume, T. Mechanisms of current collapse and gate leakage currents in AlGaN/GaN heterostructure field effect transistors. J. Vac. Sci. Technol. B Microelectron. Nanom. Struct. 2003, 21, 1844. [Google Scholar] [CrossRef] [Green Version]
- Iucolano, F.; Roccaforte, F.; Giannazzo, F.; Raineri, V. Barrier inhomogeneity and electrical properties of PtGaN Schottky contacts. J. Appl. Phys. 2007, 102, 113701. [Google Scholar] [CrossRef]
- Hashizume, T.; Kotani, J.; Hasegawa, H. Leakage mechanism in GaN and AlGaN Schottky interfaces. Appl. Phys. Lett. 2004, 84, 4884–4886. [Google Scholar] [CrossRef] [Green Version]
- Ahn, W.; Seok, O.; Ha, M.-W.; Kim, Y.-S.; Han, M.-K. Various Schottky Contacts of AlGaN/GaN Schottky Barrier Diodes. In Proceedings of the ECS Meeting, San Francisco, CA, USA, 27 October–1 November 2013. [Google Scholar]
- Sze, S.M. Physics of Semiconductor Devices; Wiely: New York, NY, USA, 2006; ISBN 9780471143239. [Google Scholar]
- Potthast, S. Growth and Characterization of Cubic AlGaN/GaN Based Devices; der Universitat Paderborn: Paderborn, Germany, 2006. [Google Scholar]
- Bhattacharyya, A.; Ranga, P.; Saleh, M.; Roy, S.; Scarpulla, M.A.; Lynn, K.G.; Krishnamoorthy, S. Schottky Barrier Height Engineering in β-Ga2O3 Using SiO2 Interlayer Dielectric. IEEE J. Electron Devices Soc. 2020, 8, 286–294. [Google Scholar] [CrossRef]
- Zhang, H.; Miller, E.J.; Yu, E.T. Analysis of leakage current mechanisms in Schottky contacts to GaN and Al 0.25Ga 0.75N/GaN grown by molecular-beam epitaxy. J. Appl. Phys. 2006, 99. [Google Scholar] [CrossRef] [Green Version]
- Joh, J.; Xia, L.; del Alamo, J.A. Gate current degradation Mechanisms of GaN High Electron Mobility Transistors. In Proceedings of the IEEE Electron Device Meeting, Washington, DC, USA, 10–12 December 2007; pp. 385–388. [Google Scholar] [CrossRef]
- Lo, C.-F.; Liu, L.; Kang, T.-S.; Davies, R.; Gila, B.P.; Pearton, S.J.; Kravchenko, I.I.; Laboutin, O.; Cao, Y.; Johnson, W.; et al. Improved Off-State Stress Critical Voltage on AlGaN/GaN High Electron Mobility Transistors Utilizing Pt/Ti/Au Based Gate Metallization. ECS Trans. 2019, 41, 63–70. [Google Scholar] [CrossRef]
- Heremans, P.; Van Den Bosch, G.; Bellens, R.; Groeseneken, G.; Maes, H.E. Temperature Dependence of the Channel Hot-Carrier Degradation of n-Channel MOSFET’s. IEEE Trans. Electron Devices 1990, 37, 980–993. [Google Scholar] [CrossRef]
- Ravinandan, M.; Rao, P.K.; Rajagopal Reddy, V. Analysis of the current-voltage characteristics of the Pd/Au Schottky structure on n-type GaN in a wide temperature range. Semicond. Sci. Technol. 2009, 24, 035004. [Google Scholar] [CrossRef]
- Karboyan, S.; Tartarin, J.; Lambert, B.; Karboyan, S.; Tartarin, J.; Analysis, B.L.; Gan, A.; Karboyan, S.; Tartarin, J.G.; Lambert, B. Analysis of Barrier Inhomogeneities in AlGaN/GaN HEMTs’ Schottky Diodes by I-V-T measurements To cite this version: HAL Id: Hal-01343345 Analysis of Barrier Inhomogeneities in AlGaN/GaN HEMTs’ Schottky Diodes by I-V-T measurements. In Proceedings of the 2013 European Microwave Integrated Circuit Conference, Nuremberg, Germany, 6–8 October 2013. [Google Scholar]
- Garg, M.; Kumar, A.; Nagarajan, S.; Sopanen, M.; Singh, R. Investigation of significantly high barrier height in Cu/GaN Schottky diode. AIP Adv. 2016, 6, 015206. [Google Scholar] [CrossRef]
- Arehart, A.R.; Moran, B.; Speck, J.S.; Mishra, U.K.; DenBaars, S.P.; Ringel, S.A. Effect of threading dislocation density on Ni/n-GaN Schottky diode I-V characteristics. J. Appl. Phys. 2006, 100, 1–8. [Google Scholar] [CrossRef]
- Lee, K.B.; Parbrook, P.J.; Wang, T.; Bai, J.; Ranalli, F.; Airey, R.J.; Hill, G. The origin of the high ideality factor in AlGaN-based quantum well ultraviolet light emitting diodes. Phys. Status Solidi Basic Res. 2010, 247, 1761–1763. [Google Scholar] [CrossRef]
- Shah, J.M.; Li, Y.L.; Gessmann, T.; Schubert, E.F. Experimental analysis and theoretical model for anomalously high ideality factors (n ≫ 2.0) in AlGaN/GaN p-n junction diodes. J. Appl. Phys. 2003, 94, 2627–2630. [Google Scholar] [CrossRef] [Green Version]
- Cheney, D.J.; Douglas, E.A.; Liu, L.; Lo, C.F.; Xi, Y.Y.; Gila, B.P.; Ren, F.; Horton, D.; Law, M.E.; Smith, D.J.; et al. Reliability studies of AlGaN/GaN high electron mobility transistors. Semicond. Sci. Technol. 2013, 28, 074019. [Google Scholar] [CrossRef]








| Schottky Barrier Height (ϕb) (eV) | I–V Method | C–V Method |
|---|---|---|
| Ni/Au | 0.55 | 0.59 |
| Pt/Ti/Pt/Au | 0.45 | 0.48 |
Publisher’s Note: MDPI stays neutral with regard to jurisdictional claims in published maps and institutional affiliations. |
© 2022 by the authors. Licensee MDPI, Basel, Switzerland. This article is an open access article distributed under the terms and conditions of the Creative Commons Attribution (CC BY) license (https://creativecommons.org/licenses/by/4.0/).
Share and Cite
Chakraborty, S.; Kim, T.-W. Comprehensive Schottky Barrier Height Behavior and Reliability Instability with Ni/Au and Pt/Ti/Pt/Au on AlGaN/GaN High-Electron-Mobility Transistors. Micromachines 2022, 13, 84. https://doi.org/10.3390/mi13010084
Chakraborty S, Kim T-W. Comprehensive Schottky Barrier Height Behavior and Reliability Instability with Ni/Au and Pt/Ti/Pt/Au on AlGaN/GaN High-Electron-Mobility Transistors. Micromachines. 2022; 13(1):84. https://doi.org/10.3390/mi13010084
Chicago/Turabian StyleChakraborty, Surajit, and Tae-Woo Kim. 2022. "Comprehensive Schottky Barrier Height Behavior and Reliability Instability with Ni/Au and Pt/Ti/Pt/Au on AlGaN/GaN High-Electron-Mobility Transistors" Micromachines 13, no. 1: 84. https://doi.org/10.3390/mi13010084
APA StyleChakraborty, S., & Kim, T.-W. (2022). Comprehensive Schottky Barrier Height Behavior and Reliability Instability with Ni/Au and Pt/Ti/Pt/Au on AlGaN/GaN High-Electron-Mobility Transistors. Micromachines, 13(1), 84. https://doi.org/10.3390/mi13010084

