Analysis of Shape Memory Behavior and Mechanical Properties of Shape Memory Polymer Composites Using Thermal Conductive Fillers
Abstract
:1. Introduction
2. Experimental Procedure
2.1. Materials and Preparation
2.2. Methods
2.2.1. Differential Scanning Calorimetry (DSC)
2.2.2. Tensile Test
2.2.3. Shape Memory Test
2.2.4. Thermal Conductivity
3. Results and Discussion
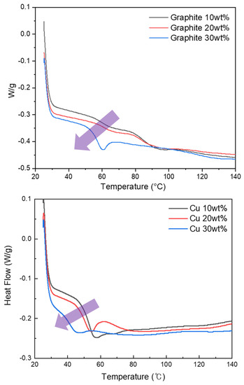
3.1. Differential Scanning Calorimetry (DSC)
3.2. Tensile Strength Test
3.3. Shape Memory Test and Behavior
3.3.1. Shape Fixation Ratio
3.3.2. Evaluation of Shape Recovery Rate
3.4. Thermal Conductivity of SMP Composites
4. Conclusions
Author Contributions
Funding
Conflicts of Interest
References
- Lendlein, A.; Langer, R. Biodegradable, Elastic Shapememory Polymers for Potential Biomedical Applications. Science 2002, 296, 1673–1676. [Google Scholar] [CrossRef] [PubMed]
- Ji, F.L.; Zhu, Y.; Hu, J.L.; Liu, Y.; Yeung, L.Y.; Ye, G.D. Smart Polymer Fibers with shape Memory Effect. Smart Mater. Struct. 2006, 15, 1547. [Google Scholar] [CrossRef]
- Mohr, R.; Kratz, T.; Weigel, M.; Lucka-Gabor, M.; Moneke, M.; Lendlein, A. Initiation of Shape-Memory Effect by Inductive Heating of Magnetic Nanoparticles in Thermoplastic Polymers. Proc. Natl. Acad. Sci. USA 2006, 103, 3540–3545. [Google Scholar] [CrossRef] [PubMed] [Green Version]
- Schmidt, A.M. Electromagnetic Activation of Shape Memory Polymer Networks Containing Magnetic Nanoparticles. Macromol. Rapid Commun. 2006, 27, 1168–1172. [Google Scholar] [CrossRef]
- Cho, J.W.; Kim, J.W.; Jung, Y.C.; Goo, N.S. Electroactive Shape-Memory Polyurethane Composites Incorporating Carbon Nanotubes. Macromol. Rapid Commun. 2005, 26, 412–416. [Google Scholar] [CrossRef]
- Sahoo, N.G.; Jung, Y.C.; Cho, J.W. Electroactive Shape Memory Effect of Polyurethane Composites Filled with Carbon Nanotubes and Conducting Polymer. Mater. Manuf. Process. 2007, 22, 419–423. [Google Scholar] [CrossRef]
- Lendlein, A.; Jiang, H.; Junger, O.; Langer, R. Light-Induced Shape-Memory Polymers. Nature 2005, 434, 879–882. [Google Scholar] [CrossRef] [PubMed]
- Xie, T. Recent Advances in Polymer Shape Memory. Polymer 2011, 52, 4985–5000. [Google Scholar] [CrossRef] [Green Version]
- Mather, P.T.; Luo, X.; Rousseau, I.A. Shape Memory Polymer Research. Annu. Rev. Mater. Res. 2009, 39, 445–471. [Google Scholar] [CrossRef]
- Lendlein, A.; Kelch, S. Shape-Memory Polymers. Angew. Chem. Int. Ed. 2002, 41, 2034–2057. [Google Scholar] [CrossRef]
- Kusy, R.P.; Whitley, J.Q. Thermal Characterization of Shape Memory Polymer Blends for Bio-Medical Inplantation. Thermochim. Acta 1994, 243, 253–263. [Google Scholar] [CrossRef]
- Liang, C.; Rogers, C.A.; Malafeew, E. Investigation of Shape Memory Polymers and Their Hybrid Composites. J. Intell. Mater. Syst. Struct. 1997, 8, 380–386. [Google Scholar] [CrossRef]
- Behl, M.; Lendlein, A. Shape-Memory Polymers. Mater. Today 2007, 10, 20–28. [Google Scholar] [CrossRef]
- Gall, K.; Dunn, M.L.; Liu, Y.; Finch, D.; Lake, M.; Munshi, N.A. Shape Memory Polymer Nanocomposites. Acta Mater. 2002, 50, 5115–5126. [Google Scholar] [CrossRef]













| No. | Epoxy/Hardener | Graphite Amount | Cu Amount |
|---|---|---|---|
| 1 | 8/1 (12%) | - | - |
| 2 | 9/1 (11%) | - | - |
| 3 | 10/1 (10%) | - | - |
| 4 | 10/1 | 10 wt% | - |
| 5 | 10/1 | 20 wt% | - |
| 6 | 10/1 | 30 wt% | - |
| 7 | 10/1 | - | 10 wt% |
| 8 | 10/1 | - | 20 wt% |
| 9 | 10/1 | - | 30 wt% |
| Hardener Amount | 10% | 11% | 12% |
|---|---|---|---|
| Tg (°C) | 72.04 | 62.87 | 59.91 |
| Sample | Graphite | Cu | ||||
|---|---|---|---|---|---|---|
| 10 wt% | 20 wt% | 30 wt% | 10 wt% | 20 wt% | 30 wt% | |
| Tg (°C) | 55.50 | 58.37 | 53.51 | 56.88 | 54.10 | 46.41 |
| Shape Fixation Ratio | Epoxy | Graphite | Cu | |||||
|---|---|---|---|---|---|---|---|---|
| 8/1 | 10/1 | 10 wt% | 20 wt% | 30 wt% | 10 wt% | 20 wt% | 30 wt% | |
| Rate (%) | 94.30 | 95.52 | 86.66 | 85.0 | 82.22 | 100 | 96.97 | 98.33 |
| Shape Recovery Ratio | Epoxy | Graphite | Cu | |||||
|---|---|---|---|---|---|---|---|---|
| 8/1 | 10/1 | 10 wt% | 20 wt% | 30 wt% | 10 wt% | 20 wt% | 30 wt% | |
| Rate (%) | 27.75 | 55.66 | 58.88 | 66.11 | 74.52 | 34.17 | 34.22 | 35.22 |
| Shape Recovery Ratio | Epoxy | Graphite | Cu | |||||
|---|---|---|---|---|---|---|---|---|
| 8/1 | 10/1 | 10 wt% | 20 wt% | 30 wt% | 10 wt% | 20 wt% | 30 wt% | |
| Time (sec) | 76 | 57 | 55 | 51 | 45 | 69 | 64 | 68 |
Publisher’s Note: MDPI stays neutral with regard to jurisdictional claims in published maps and institutional affiliations. |
© 2021 by the authors. Licensee MDPI, Basel, Switzerland. This article is an open access article distributed under the terms and conditions of the Creative Commons Attribution (CC BY) license (https://creativecommons.org/licenses/by/4.0/).
Share and Cite
Kim, M.; Jang, S.; Choi, S.; Yang, J.; Kim, J.; Choi, D. Analysis of Shape Memory Behavior and Mechanical Properties of Shape Memory Polymer Composites Using Thermal Conductive Fillers. Micromachines 2021, 12, 1107. https://doi.org/10.3390/mi12091107
Kim M, Jang S, Choi S, Yang J, Kim J, Choi D. Analysis of Shape Memory Behavior and Mechanical Properties of Shape Memory Polymer Composites Using Thermal Conductive Fillers. Micromachines. 2021; 12(9):1107. https://doi.org/10.3390/mi12091107
Chicago/Turabian StyleKim, Mijeong, Seongeun Jang, Sungwoong Choi, Junghoon Yang, Jungpil Kim, and Duyoung Choi. 2021. "Analysis of Shape Memory Behavior and Mechanical Properties of Shape Memory Polymer Composites Using Thermal Conductive Fillers" Micromachines 12, no. 9: 1107. https://doi.org/10.3390/mi12091107
APA StyleKim, M., Jang, S., Choi, S., Yang, J., Kim, J., & Choi, D. (2021). Analysis of Shape Memory Behavior and Mechanical Properties of Shape Memory Polymer Composites Using Thermal Conductive Fillers. Micromachines, 12(9), 1107. https://doi.org/10.3390/mi12091107

