Dual Demodulation of Temperature and Refractive Index Using Ring Core Fiber Based Mach-Zehnder Interferometer
Abstract
1. Introduction
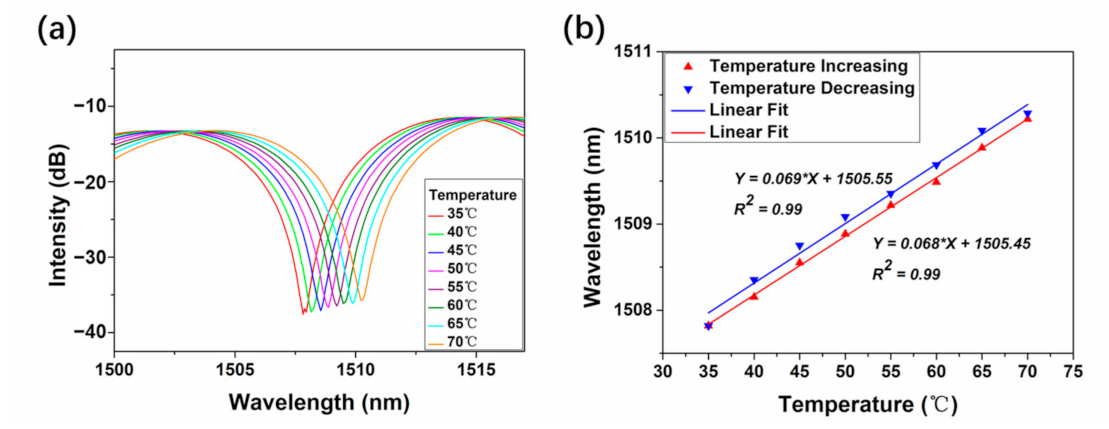
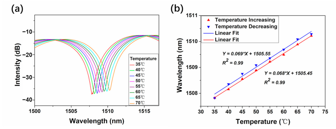
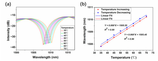
2. Experiment and Analysis
3. Discussion
4. Conclusions
Author Contributions
Funding
Institutional Review Board Statement
Informed Consent Statement
Data Availability Statement
Acknowledgments
Conflicts of Interest
References
- Culshaw, B. Optical Fiber Sensor Technologies: Opportunities and—Perhaps—Pitfalls. J. Lightw. Technol. 2004, 22, 39–50. [Google Scholar] [CrossRef]
- Li, E.; Wang, X.; Zhang, C. Fiber-optic temperature sensor based on interference of selective higher-order modes. Appl. Phys. Lett. 2006, 89, 091119. [Google Scholar] [CrossRef]
- Wen, X.; Ning, T.; Bai, Y.; Li, C.; Li, J.; Zhang, C. Ultrasensitive temperature fiber sensor based on Fabry-Perot interferometer assisted with iron V-groove. Opt. Express 2015, 23, 11526–11536. [Google Scholar] [CrossRef] [PubMed]
- Zhang, F.; Xu, X.; He, J.; Du, B.; Wang, Y. Highly sensitive temperature sensor based on a polymer-infiltrated Mach-Zehnder interferometer created in graded index fiber. Opt. Lett. 2019, 44, 2466–2469. [Google Scholar] [CrossRef]
- Hernaez, M.; Acevedo, B.; Mayes, A.G.; Melendi-Espina, S. High-performance optical fiber humidity sensor based on lossy mode resonance using a nanostructured polyethylenimine and graphene oxide coating. Sens. Actuators B Chem. 2019, 286, 408–414. [Google Scholar] [CrossRef]
- Yuan, W.-H.; Qian, H.; Liu, Y.; Wang, Z.; Yu, C. Highly Sensitive Temperature and Humidity Sensor Based on Carbon Nanotube-Assisted Mismatched Single-Mode Fiber Structure. Micromachines 2019, 10, 521. [Google Scholar]
- Liang, W.; Huang, Y.; Xu, Y.; Lee, R.K.; Yariv, A. Highly sensitive fiber Bragg grating refractive index sensors. Appl. Phys. Lett. 2005, 86, 151122. [Google Scholar] [CrossRef]
- Quan, M.; Tian, J.; Yao, Y. Ultra-high sensitivity Fabry-Perot interferometer gas refractive index fiber sensor based on photonic crystal fiber and Vernier effect. Opt. Lett. 2015, 40, 4891–4894. [Google Scholar] [CrossRef]
- Ahsani, V.; Ahmed, F.; Jun, M.B.G.; Bradley, C. Tapered Fiber-Optic Mach-Zehnder Interferometer for Ultra-High Sensitivity Measurement of Refractive Index. Sensors 2019, 19, 1652. [Google Scholar] [CrossRef] [PubMed]
- Paixao, T.; Araujo, F.; Antunes, P. Highly sensitive fiber optic temperature and strain sensor based on an intrinsic Fabry-Perot interferometer fabricated by a femtosecond laser. Opt. Lett. 2019, 44, 4833–4836. [Google Scholar] [CrossRef]
- Yi, L.; Changyuan, Y. Highly stretchable hybrid silica/polymer optical fiber sensors for large-strain and high-temperature application. Opt. Express 2019, 27, 20107–20116. [Google Scholar] [CrossRef]
- Dong, S.; Dong, B.; Yu, C.; Guo, Y. High Sensitivity Optical Fiber Curvature Sensor Based on Cascaded Fiber Interferometer. J. Lightw. Technol. 2018, 36, 1125–1130. [Google Scholar] [CrossRef]
- Marrujo-Garcia, S.; Hernandez-Romano, I.; Torres-Cisneros, M.; May-Arrioja, D.A.; Minkovich, V.P.; Monzon-Hernandez, D. Temperature-independent curvature sensor based on in-fiber Mach-Zehnder interferometer using hollow-core fiber. J. Lightw. Technol. 2020, 38, 4166–4173. [Google Scholar] [CrossRef]
- Zhao, Q.; Qian, J.; An, Q.; Du, B. Speedy fabrication of free-standing layer-by-layer multilayer films by using polyelectrolyte complex particles as building blocks. J. Mater. Chem. 2009, 19, 8448–8455. [Google Scholar] [CrossRef]
- Semwal, V.; Gupta, B.D. Highly sensitive surface plasmon resonance based fiber optic pH sensor utilizing rGO-Pani nanocomposite prepared by in situ method. Sens. Actuators B Chem. 2019, 283, 632–642. [Google Scholar] [CrossRef]
- Wang, T.; Yasukochi, W.; Korposh, S.; James, S.W.; Tatam, R.P.; Lee, S.-W. A long period grating optical fiber sensor with nano-assembled porphyrin layers for detecting ammonia gas. Sens. Actuators B Chem. 2016, 228, 573–580. [Google Scholar] [CrossRef]
- Xu, B.; Huang, J.; Xu, X.; Zhou, A.; Ding, L. Ultrasensitive NO Gas Sensor Based on the Graphene Oxide-Coated Long-Period Fiber Grating. ACS Appl. Mater. Interfaces 2019, 11, 40868–40874. [Google Scholar] [CrossRef]
- Yao, Q.; Ren, G.; Xu, K.; Zhu, L.; Khan, H.; Mohiuddin, M.; Khan, M.W.; Zhang, B.Y.; Jannat, A.; Haque, F.; et al. 2D Plasmonic Tungsten Oxide Enabled Ultrasensitive Fiber Optics Gas Sensor. Adv. Opt. Mater. 2019, 7, 1901383. [Google Scholar] [CrossRef]
- Meng, H.; Shen, W.; Zhang, G.; Tan, C.; Huang, X. Fiber Bragg grating-based fiber sensor for simultaneous measurement of refractive index and temperature. Sens. Actuators B Chem. 2010, 150, 226–229. [Google Scholar] [CrossRef]
- Madrigal, J.; Barrera, D.; Sales, S. Refractive Index and Temperature Sensing Using Inter-Core Crosstalk in Multicore Fibers. J. Lightw. Technol. 2019, 37, 4703–4709. [Google Scholar] [CrossRef]
- Liao, C.R.; Chen, H.F.; Wang, D.N. Ultracompact Optical Fiber Sensor for Refractive Index and High-Temperature Measurement. J. Lightw. Technol. 2014, 32, 2531–2535. [Google Scholar] [CrossRef]
- Fan, R.; Ma, Q.; Li, L.; Zhuo, Y.; Shen, J.; Ren, Z.; Chen, H.; Peng, B. Liquid Level and Refractive Index Double-Parameter Sensor Based on Tapered Photonic Crystal Fiber. J. Lightw. Technol. 2020, 38, 3717–3722. [Google Scholar] [CrossRef]
- Zhang, X.-Y.; Yu, Y.-S.; Zhu, C.-C.; Chen, C.; Yang, R.; Xue, Y.; Chen, Q.-D.; Sun, H.-B. Miniature End-Capped Fiber Sensor for Refractive Index and Temperature Measurement. IEEE Photon. Technol. Lett. 2014, 26, 7–10. [Google Scholar] [CrossRef]
- Wang, X.; Wang, S.; Jiang, J.; Liu, K.; Zhang, P.; Wu, W.; Liu, T. High-accuracy hybrid fiber-optic Fabry-Perot sensor based on MEMS for simultaneous gas refractive-index and temperature sensing. Opt. Express 2019, 27, 4204–4215. [Google Scholar] [CrossRef] [PubMed]
- Lu, H.; Yue, Y.; Du, J.; Shao, L.; Wu, T.; Pan, J.; Hu, J. Temperature and liquid refractive index sensor using P-D fiber structure-based Sagnac loop. Opt. Express 2018, 26, 18920–18927. [Google Scholar] [CrossRef]
- Yin, B.; Wu, S.; Wang, M.; Liu, W.; Li, H.; Wu, B.; Wang, Q. High-sensitivity refractive index and temperature sensor based on cascaded dual-wavelength fiber laser and SNHNS interferometer. Opt. Express 2019, 27, 252–264. [Google Scholar] [CrossRef]
- Dong, Y.; Xiao, S.; Wu, B.; Xiao, H.; Jian, S. Refractive Index and Temperature Sensor Based on D-Shaped Fiber Combined With a Fiber Bragg Grating. IEEE Sens. J. 2019, 19, 1362–1367. [Google Scholar] [CrossRef]
- Lu, P.; Men, L.; Sooley, K.; Chen, Q. Tapered fiber Mach–Zehnder interferometer for simultaneous measurement of refractive index and temperature. Appl. Phys. Lett. 2009, 94, 131110. [Google Scholar] [CrossRef]
- Li, X.; Chen, N.K.; Xi, L.; Zhang, H.; Zhang, X.; Zhang, W.; Tang, X. Micro-fiber Mach-Zehnder interferometer based on ring-core fiber. Opt. Express 2019, 27, 34603–34610. [Google Scholar] [CrossRef] [PubMed]








Publisher’s Note: MDPI stays neutral with regard to jurisdictional claims in published maps and institutional affiliations. |
© 2021 by the authors. Licensee MDPI, Basel, Switzerland. This article is an open access article distributed under the terms and conditions of the Creative Commons Attribution (CC BY) license (http://creativecommons.org/licenses/by/4.0/).
Share and Cite
Yuan, W.; Yu, C. Dual Demodulation of Temperature and Refractive Index Using Ring Core Fiber Based Mach-Zehnder Interferometer. Micromachines 2021, 12, 258. https://doi.org/10.3390/mi12030258
Yuan W, Yu C. Dual Demodulation of Temperature and Refractive Index Using Ring Core Fiber Based Mach-Zehnder Interferometer. Micromachines. 2021; 12(3):258. https://doi.org/10.3390/mi12030258
Chicago/Turabian StyleYuan, Weihao, and Changyuan Yu. 2021. "Dual Demodulation of Temperature and Refractive Index Using Ring Core Fiber Based Mach-Zehnder Interferometer" Micromachines 12, no. 3: 258. https://doi.org/10.3390/mi12030258
APA StyleYuan, W., & Yu, C. (2021). Dual Demodulation of Temperature and Refractive Index Using Ring Core Fiber Based Mach-Zehnder Interferometer. Micromachines, 12(3), 258. https://doi.org/10.3390/mi12030258

