Combined Ammonia and Electron Processing of a Carbon-Rich Ruthenium Nanomaterial Fabricated by Electron-Induced Deposition
Abstract
1. Introduction
2. Materials and Methods
3. Results
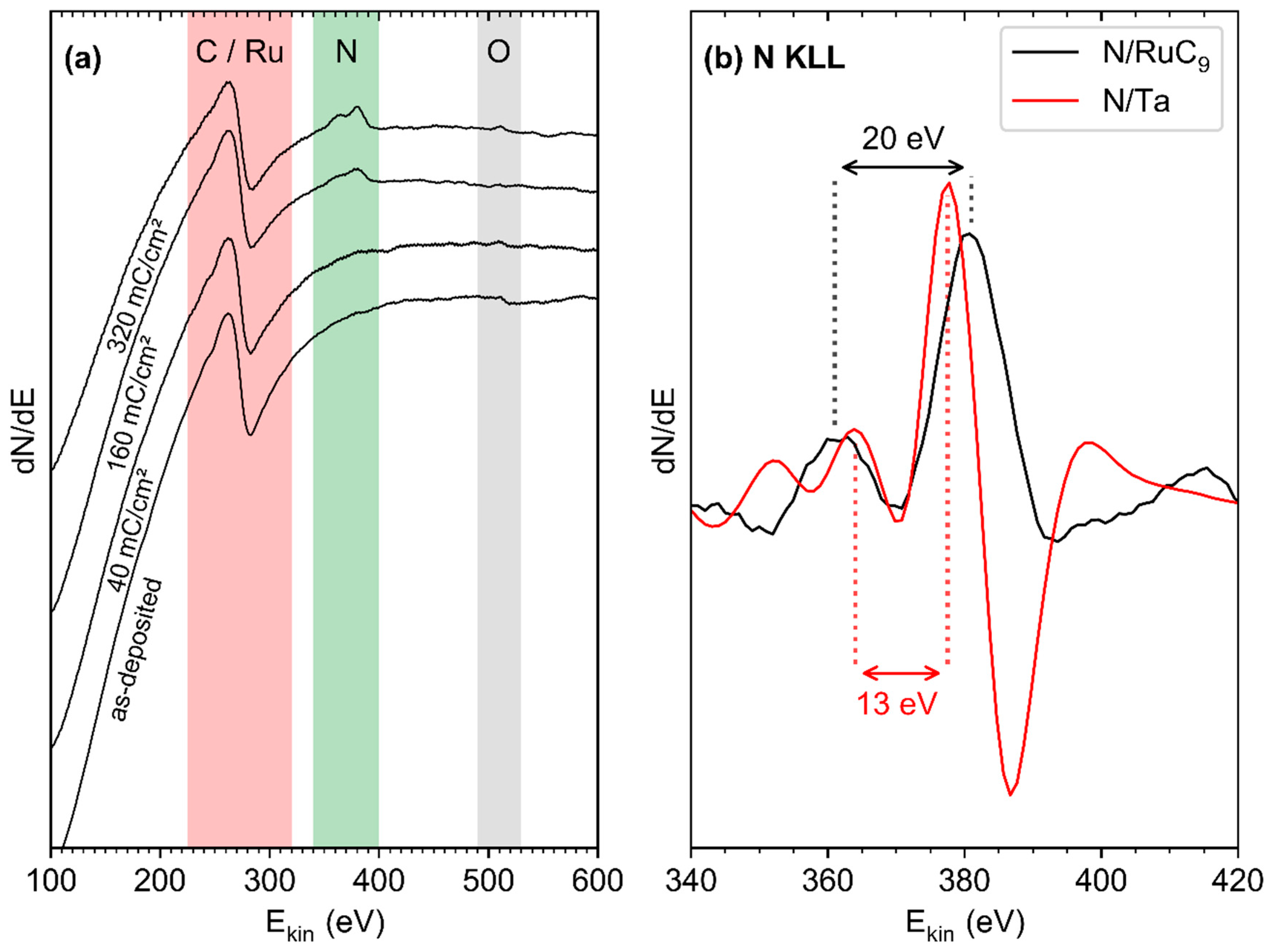
3.1. Deposit Formation, Combined Electron and NH3 Processing, and Post-Processing Analysis
3.2. Surface Science Study
3.2.1. Formation of Model Deposits
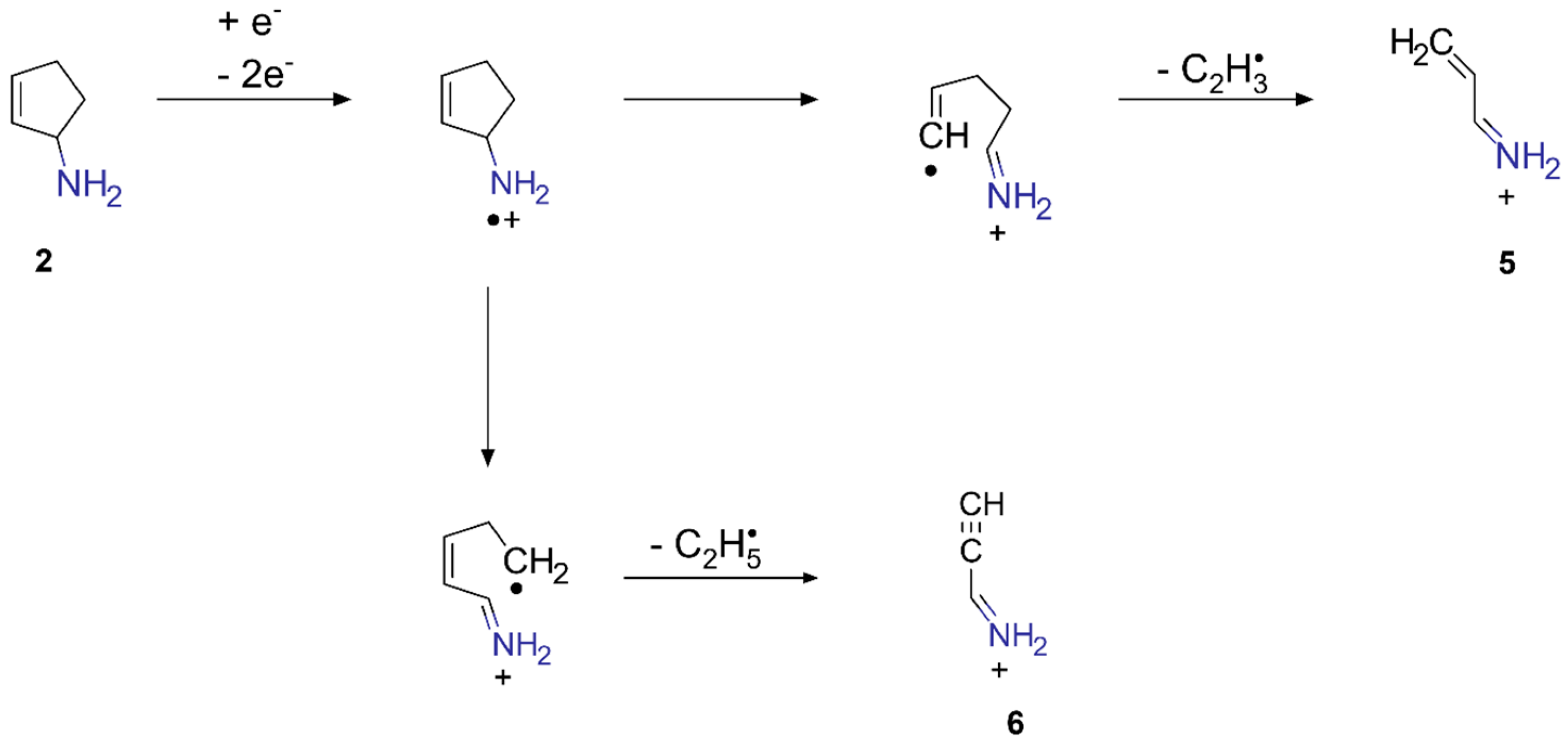
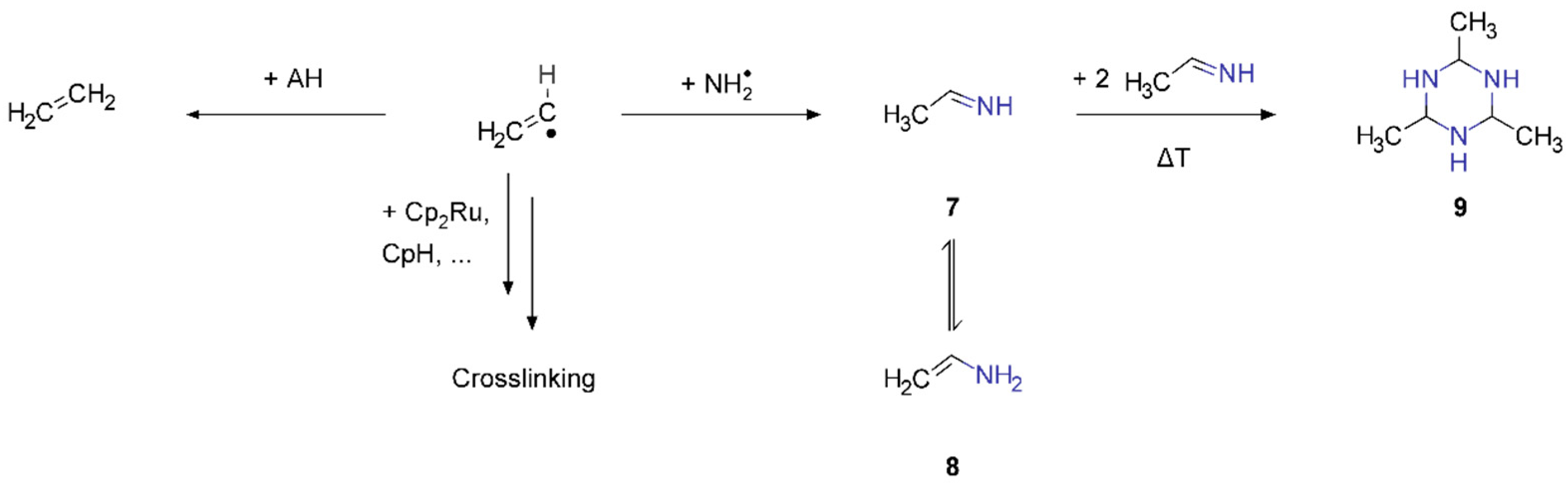
3.2.2. First Cycle of Electron Exposure in Presence of NH3
3.2.3. Effect of Repeated Processing Cycles of Electron Exposure in Presence of NH3
4. Discussion
5. Conclusions
Supplementary Materials
Author Contributions
Funding
Conflicts of Interest
References
- Huth, M.; Porrati, F.; Dobrovolskiy, O.V. Focused electron beam induced deposition meets materials science. Microelectron. Eng. 2018, 185, 9–28. [Google Scholar] [CrossRef]
- De Teresa, J.M.; Fernández-Pacheco, A.; Córdoba, R.; Serrano-Ramón, L.; Sangiao, S.; Ibarra, M.R. Review of magnetic nanostructures grown by focused electron beam induced deposition (FEBID). J. Phys. D Appl. Phys. 2016, 49, 243003. [Google Scholar] [CrossRef]
- Plank, H.; Winkler, R.; Schwalb, C.H.; Hütner, J.; Fowlkes, J.D.; Rack, P.D.; Utke, I.; Huth, M. Focused Electron Beam-Based 3D Nanoprinting for Scanning Probe Microscopy: A Review. Micromachines 2019, 11, 48. [Google Scholar] [CrossRef] [PubMed]
- Botman, A.; Mulders, J.J.L.; Hagen, C.W. Creating pure nanostructures from electron-beam-induced deposition using purification techniques: A technology perspective. Nanotechnology 2009, 20, 372001. [Google Scholar] [CrossRef] [PubMed]
- Thorman, R.M.; Kumar, T.P.R.; Fairbrother, D.H.; Ingólfsson, O. The role of low-energy electrons in focused electron beam induced deposition: Four case studies of representative precursors. Beilstein J. Nanotechnol. 2015, 6, 1904–1926. [Google Scholar] [CrossRef]
- Geier, B.; Gspan, C.; Winkler, R.; Schmied, R.; Fowlkes, J.D.; Fitzek, H.; Rauch, S.; Rattenberger, J.; Rack, P.D.; Plank, H. Rapid and Highly Compact Purification for Focused Electron Beam Induced Deposits: A Low Temperature Approach Using Electron Stimulated H2O Reactions. J. Phys. Chem. C 2014, 118, 14009–14016. [Google Scholar] [CrossRef]
- Elbadawi, C.; Toth, M.; Lobo, C.J. Pure Platinum Nanostructures Grown by Electron Beam Induced Deposition. ACS Appl. Mater. Interfaces 2013, 5, 9372–9376. [Google Scholar] [CrossRef][Green Version]
- Winkler, R.; Schmidt, F.-P.; Haselmann, U.; Fowlkes, J.D.; Lewis, B.B.; Kothleitner, G.; Rack, P.D.; Plank, H. Direct-Write 3D Nanoprinting of Plasmonic Structures. ACS Appl. Mater. Interfaces 2017, 9, 8233–8240. [Google Scholar] [CrossRef]
- Rohdenburg, M.; Winkler, R.; Kuhness, D.; Plank, H.; Swiderek, P. Water-Assisted Process for Purification of Ruthenium Nanomaterial Fabricated by Electron Beam-Induced Deposition (EBID). ACS Appl. Nano Mater. 2020. [Google Scholar] [CrossRef]
- Shawrav, M.M.; Taus, P.; Wanzenboeck, H.D.; Schinnerl, M.; Stöger-Pollach, M.; Schwarz, S.; Steiger-Thirsfeld, A.; Bertagnolli, E. Highly conductive and pure gold nanostructures grown by electron beam induced deposition. Sci. Rep. 2016, 6, 34003. [Google Scholar] [CrossRef]
- Elbadawi, C.; Fröch, J.E.; Aharonovich, I.; Toth, M.; Lobo, C.J. One-Step Nanoscale Patterning of Silver Nanowire–Nitride Heterostructures Using Substrate-Assisted Chemical Etching. J. Phys. Chem. C 2019, 123, 945–949. [Google Scholar] [CrossRef]
- Schwalb, C.H.; Grimm, C.; Baranowski, M.; Sachser, R.; Porrati, F.; Reith, H.; Das, P.; Müller, J.; Völklein, F.; Kaya, A.; et al. A Tunable Strain Sensor Using Nanogranular Metals. Sensors 2010, 10, 9847–9856. [Google Scholar] [CrossRef]
- Kolb, F.; Schmoltner, K.; Huth, M.; Hohenau, A.; Krenn, J.; Klug, A.; List, E.J.W.; Plank, H. Variable tunneling barriers in FEBID based PtC metal-matrix nanocomposites as a transducing element for humidity sensing. Nanotechnology 2013, 24, 305501. [Google Scholar] [CrossRef]
- Dukic, M.; Winhold, M.; Schwalb, C.H.; Adams, J.D.; Stavrov, V.; Huth, M.; Fantner, G.E. Direct-write nanoscale printing of nanogranular tunnelling strain sensors for sub-micrometre cantilevers. Nat. Commun. 2016, 7, 12487. [Google Scholar] [CrossRef] [PubMed]
- Tamura, N.; Aono, M.; Abe, H.; Kitazawa, N.; Watanabe, Y. Electrical resistivity response of amorphous carbon nitride thin films in various gas atmospheres. Jpn. J. Appl. Phys. 2015, 54, 41401. [Google Scholar] [CrossRef]
- Miller, T.S.; Jorge, A.B.; Suter, T.M.; Sella, A.; Corà, F.; McMillan, P.F. Carbon nitrides: Synthesis and characterization of a new class of functional materials. Phys. Chem. Chem. Phys. 2017, 19, 15613–15638. [Google Scholar] [CrossRef]
- Kong, L.; Wang, J.; Ma, F.; Sun, M.; Quan, J. Graphitic carbon nitride nanostructures: Catalysis. Appl. Mater. Today 2019, 16, 388–424. [Google Scholar] [CrossRef]
- Bai, X.; Yan, S.; Wang, J.; Wang, L.; Jiang, W.; Wu, S.; Sun, C.; Zhu, Y. A simple and efficient strategy for the synthesis of a chemically tailored g-C3N4 material. J. Mater. Chem. A 2014, 2, 17521–17529. [Google Scholar] [CrossRef]
- Wnuk, J.D.; Gorham, J.M.; Fairbrother, D.H. Growth and Microstructure of Nanoscale Amorphous Carbon Nitride Films Deposited by Electron Beam Irradiation of 1,2-Diaminopropane. J. Phys. Chem. C 2009, 113, 12345–12354. [Google Scholar] [CrossRef]
- Rohdenburg, M.; Boeckers, H.; Brewer, C.R.; McElwee-White, L.; Swiderek, P. Efficient NH3-based process to remove chlorine from electron beam deposited ruthenium produced from (η3-C3H5)Ru(CO)3Cl. Sci. Rep. 2020, 10, 10901. [Google Scholar] [CrossRef]
- Warneke, J.; Rohdenburg, M.; Zhang, Y.; Orszagh, J.; Vaz, A.; Utke, I.; De Hosson, J.T.M.; van Dorp, W.F.; Swiderek, P. Role of NH3 in the Electron-Induced Reactions of Adsorbed and Solid Cisplatin. J. Phys. Chem. C 2016, 120, 4112–4120. [Google Scholar] [CrossRef]
- Rohdenburg, M.; Martinović, P.; Ahlenhoff, K.; Koch, S.; Emmrich, D.; Gölzhäuser, A.; Swiderek, P. Cisplatin as a Potential Platinum Focused Electron Beam Induced Deposition Precursor: NH3 Ligands Enhance the Electron-Induced Removal of Chlorine. J. Phys. Chem. C 2019, 123, 21774–21787. [Google Scholar] [CrossRef]
- Hamann, T.; Böhler, E.; Swiderek, P. Low-Energy-Electron-Induced Hydroamination of an Alkene. Angew. Chem. Int. Ed. 2009, 48, 4643–4645. [Google Scholar] [CrossRef] [PubMed]
- Hamann, T.; Kankate, L.; Böhler, E.; Bredehöft, J.H.; Zhang, F.M.; Gölzhäuser, A.; Swiderek, P. Functionalization of a Self-Assembled Monolayer Driven by Low-Energy Electron Exposure. Langmuir 2012, 28, 367–376. [Google Scholar] [CrossRef]
- Böhler, E.; Bredehöft, J.H.; Swiderek, P. Low-Energy Electron-Induced Hydroamination Reactions between Different Amines and Olefins. J. Phys. Chem. C 2014, 118, 6922–6933. [Google Scholar] [CrossRef]
- Warneke, Z.; Rohdenburg, M.; Warneke, J.; Kopyra, J.; Swiderek, P. Electron-driven and thermal chemistry during water-assisted purification of platinum nanomaterials generated by electron beam induced deposition. Beilstein J. Nanotechnol. 2018, 9, 77–90. [Google Scholar] [CrossRef]
- Noh, J.H.; Stanford, M.G.; Lewis, B.B.; Fowlkes, J.D.; Plank, H.; Rack, P.D. Nanoscale electron beam-induced deposition and purification of ruthenium for extreme ultraviolet lithography mask repair. Appl. Phys. A 2014, 117, 1705–1713. [Google Scholar] [CrossRef]
- Campbell, J.H.; Bater, C.; Durrer, W.G.; Craig, J.H. Observation of a novel electron beam effect: Electron-stimulated associative desorption. Thin Solid Films 1997, 295, 8–10. [Google Scholar] [CrossRef]
- Khabashesku, V.N.; Zimmerman, J.L.; Margrave, J.L. Powder Synthesis and Characterization of Amorphous Carbon Nitride. Chem. Mater. 2000, 12, 3264–3270. [Google Scholar] [CrossRef]
- Lide, D.R. CRC Handbook of Chemistry and Physics 2005–2006, 86th ed.; CRC Press: Boca Raton, FL, USA, 2005; ISBN 0849304792. [Google Scholar]
- Tian, H.-Y.; Chan, H.-L.-W.; Choy, C.-L.; Choi, J.-W.; No, K.-S. Metallorganic chemical vapor deposition of metallic Ru thin films on biaxially textured Ni substrates using a Ru(EtCp)2 precursor. Mater. Chem. Phys. 2005, 93, 142–148. [Google Scholar] [CrossRef]
- Wallace, W.E. NIST Chemistry Webbook: NIST Standard Reference Database Number 69. Available online: https://webbook.nist.gov (accessed on 11 August 2020).
- Shulenberger, K.E.; Zhu, J.L.; Tran, K.; Abdullahi, S.; Belvin, C.; Lukens, J.; Peeler, Z.; Mullikin, E.; Cumberbatch, H.M.; Huang, J.; et al. Electron-Induced Radiolysis of Astrochemically Relevant Ammonia Ices. ACS Earth Space Chem. 2019, 3, 800–810. [Google Scholar] [CrossRef]
- Bolina, A.S.; Brown, W.A. Studies of physisorbed ammonia overlayers adsorbed on graphite. Surf. Sci. 2005, 598, 45–56. [Google Scholar] [CrossRef]
- Maté, B.; Medialdea, A.; Moreno, M.A.; Escribano, R.; Herrero, V.J. Experimental Studies of Amorphous and Polycrystalline Ice Films Using FT-RAIRS. J. Phys. Chem. B 2003, 107, 11098–11108. [Google Scholar] [CrossRef]
- Wolff, H.; Ludwig, H. Raman Spectra of Gaseous CH3ND2, C2H5ND2, and n-C3H7ND2. The Raman and Infrared Spectra of Gaseous CH3NHD. J. Chem. Phys. 1972, 56, 5278–5283. [Google Scholar] [CrossRef]
- Durig, J.R.; Zheng, C. Infrared spectra of krypton solutions of methylamine. Struct. Chem. 2001, 12, 137–148. [Google Scholar] [CrossRef]
- Smith, B. Infrared Spectral Interpretation: A Systematic Approach; CRC Press: Boca Raton, FL, USA, 1999; ISBN 9780203750841. [Google Scholar]
- Briggs, D.; Grant, J.T. (Eds.) Surface Analysis by Auger and X-ray Photoelectron Spectroscopy; SurfaceSpectra: Manchester, UK, 2003; ISBN 1901019047. [Google Scholar]
- Soto, G.; de la Cruz, W.; Farías, M. XPS, AES, and EELS characterization of nitrogen-containing thin films. J. Electron Spectrosc. Relat. Phenom. 2004, 135, 27–39. [Google Scholar] [CrossRef]
- Chalabala, J.; Slavíček, P. Nonadiabatic dynamics of floppy hydrogen bonded complexes: The case of the ionized ammonia dimer. Phys. Chem. Chem. Phys. 2016, 18, 20422–20432. [Google Scholar] [CrossRef]
- Buck, U.; Lauenstein, C. Electron bombardment fragmentation of size selected NH3 clusters. J. Chem. Phys. 1990, 92, 4250–4255. [Google Scholar] [CrossRef]
- Maitlis, P.M. Tilden Lecture. η5-Cyclopentadienyl and η6-arene as protecting ligands towards platinum metal complexes. Chem. Soc. Rev. 1981, 10, 1–48. [Google Scholar] [CrossRef]
- Shaver, A. Preparation of some cyclopentadienyl platinum (IV) complexes. Can. J. Chem. 1978, 56, 2281–2285. [Google Scholar] [CrossRef]
- Schmittel, M.; Burghart, A. Understanding Reactivity Patterns of Radical Cations. Angew. Chem. Int. Ed. Engl. 1997, 36, 2550–2589. [Google Scholar] [CrossRef]
- Sun, Y.-M.; Sloan, D.; Ihm, H.; White, J.M. Electron-induced surface chemistry: Production and characterization of NH2 and NH species on Pt(111). J. Vac. Sci. Technol. A 1996, 14, 1516–1521. [Google Scholar] [CrossRef]
- Mollova, N.; Longevialle, P. Electron ionization induced fragmentation of macrocyclic amines CnH2n-1NH2: Evidence for the rearrangement of aminocarbene radical cations and a comparison with long-chain esters. J. Am. Soc. Mass Spectrom. 1990, 1, 238–248. [Google Scholar] [CrossRef]
- Moioli, E.; Schmid, L.; Wasserscheid, P.; Freund, H. PH effects in the acetaldehyde-ammonia reaction. React. Chem. Eng. 2017, 2, 382–389. [Google Scholar] [CrossRef]
- Warneke, J.; Wang, Z.; Swiderek, P.; Bredehöft, J.H. Electron-Induced Hydration of an Alkene: Alternative Reaction Pathways. Angew. Chem. Int. Ed. 2015, 54, 4397–4400. [Google Scholar] [CrossRef] [PubMed]
- Ram, N.B.; Krishnakumar, E. Dissociative Electron Attachment to Polyatomic Molecules—V: Formic Acid and Propyl Amine. arXiv 2010, arXiv:1007.5169. (accessed on 11 August 2020). [Google Scholar]
- Prabhudesai, V.S.; Nandi, D.; Kelkar, A.H.; Krishnakumar, E. Functional group dependent dissociative electron attachment to simple organic molecules. J. Chem. Phys. 2008, 128, 154309. [Google Scholar] [CrossRef]
- Kretschmer, R.; Schlangen, M.; Schwarz, H. C-N and C-C Bond Formations in the Thermal Reactions of “Bare” Ni(NH2)+ with C2H4: Mechanistic Insight on the Metal-Mediated Hydroamination of an Unactivated Olefin. Angew. Chem. Int. Ed. 2012, 51, 3483–3488. [Google Scholar] [CrossRef]
- Ibănescu, B.C.; Allan, M. Selectivity in bond cleavage in amines and thiols by dissociative electron attachment. J. Phys. Conf. Ser. 2009, 194, 012030. [Google Scholar] [CrossRef]
- Sharp, T.E.; Dowell, J.T. Dissociative Attachment of Electrons in Ammonia and Ammonia-d3. J. Chem. Phys. 1969, 50, 3024–3035. [Google Scholar] [CrossRef]
- Compton, R.N.; Stockdale, J.A.; Reinhardt, P.W. Electron-Impact Excitation and Negative-Ion Formation in NH3 and ND3. Phys. Rev. 1969, 180, 111–120. [Google Scholar] [CrossRef]
- Rawat, P.; Prabhudesai, V.S.; Rahman, M.A.; Ram, N.B.; Krishnakumar, E. Absolute cross sections for dissociative electron attachment to NH3 and CH4. Int. J. Mass Spectrom. 2008, 277, 96–102. [Google Scholar] [CrossRef]
- Lobo, C.J.; Martin, A.; Phillips, M.R.; Toth, M. Electron beam induced chemical dry etching and imaging in gaseous NH3 environments. Nanotechnology 2012, 23, 375302. [Google Scholar] [CrossRef] [PubMed]










© 2020 by the authors. Licensee MDPI, Basel, Switzerland. This article is an open access article distributed under the terms and conditions of the Creative Commons Attribution (CC BY) license (http://creativecommons.org/licenses/by/4.0/).
Share and Cite
Rohdenburg, M.; Fröch, J.E.; Martinović, P.; Lobo, C.J.; Swiderek, P. Combined Ammonia and Electron Processing of a Carbon-Rich Ruthenium Nanomaterial Fabricated by Electron-Induced Deposition. Micromachines 2020, 11, 769. https://doi.org/10.3390/mi11080769
Rohdenburg M, Fröch JE, Martinović P, Lobo CJ, Swiderek P. Combined Ammonia and Electron Processing of a Carbon-Rich Ruthenium Nanomaterial Fabricated by Electron-Induced Deposition. Micromachines. 2020; 11(8):769. https://doi.org/10.3390/mi11080769
Chicago/Turabian StyleRohdenburg, Markus, Johannes E. Fröch, Petra Martinović, Charlene J. Lobo, and Petra Swiderek. 2020. "Combined Ammonia and Electron Processing of a Carbon-Rich Ruthenium Nanomaterial Fabricated by Electron-Induced Deposition" Micromachines 11, no. 8: 769. https://doi.org/10.3390/mi11080769
APA StyleRohdenburg, M., Fröch, J. E., Martinović, P., Lobo, C. J., & Swiderek, P. (2020). Combined Ammonia and Electron Processing of a Carbon-Rich Ruthenium Nanomaterial Fabricated by Electron-Induced Deposition. Micromachines, 11(8), 769. https://doi.org/10.3390/mi11080769

