Abstract
During aging, bone mass declines increasing osteoporosis and fracture risks. Oxidative stress has been related to this bone loss, making dietary compounds with antioxidant properties a promising weapon. Male Wistar rats were maintained for 6 or 24 months on diets with fish oil as unique fat source, supplemented or not with coenzyme Q10 (CoQ10), to evaluate the potential of adding this molecule to the n-3 polyunsaturated fatty acid (n-3 PUFA)-based diet for bone mineral density (BMD) preservation. BMD was evaluated in the femur. Serum osteocalcin, osteopontin, receptor activator of nuclear factor-κB ligand, ostroprotegerin, parathyroid hormone, urinary F2-isoprostanes, and lymphocytes DNA strand breaks were also measured. BMD was lower in aged rats fed a diet without CoQ10 respect than their younger counterparts, whereas older animals receiving CoQ10 showed the highest BMD. F2-isoprostanes and DNA strand breaks showed that oxidative stress was higher during aging. Supplementation with CoQ10 prevented oxidative damage to lipid and DNA, in young and old animals, respectively. Reduced oxidative stress associated to CoQ10 supplementation of this n-3 PUFA-rich diet might explain the higher BMD found in aged rats in this group of animals.
1. Introduction
Bone is continuously remodeled by two groups of cells with opposite activities, osteoblasts implicated in bone formation and osteoclasts implicated in bone resorption. Maturation processes and function of both kinds of cells can be altered during aging. When bone resorption rate exceeds osteoblasts rate of new bone formation by osteoclasts, calcium, collagen, and protein depletions will occur [1]. It is known that, regardless of sex, bone mass declines progressively with advancing age in humans [2]. Moreover, such decline is coupled with modifications of bone architecture and bone components organization [3]. All these age-associated changes [2,3,4] would explain the increased prevalence of osteoporosis reported in the elderly [5]. Osteoporosis has been defined as “a skeletal disorder characterized by compromised bone strength and predisposing to an increased risk of fracture” [6]. The former fact is particularly important since fractures are responsible for a significant mortality and morbidity in older people [7,8]. Osteoporosis is a disease that mostly affects elderly women, but it is also a major health problem for aged men [9], in whom this pathology shows an important association with substantial morbidity, mortality, and health care costs [10]. Because osteoporotic fractures involve considerable economic and healthcare burdens [11], promotion of effective prevention and treatment strategies to counterbalance them is imperative [12].
Amongst others, different nutritional factors have an important role in skeletal health during aging. Traditionally, calcium, vitamin D, and proteins have received special attention since they contribute to skeletal health by supporting bone matrix production and mineralization [13,14,15]. However, other dietary factors might influence bone and mineral homeostasis and could be important for long-term bone health [12]. In that sense, there is a growing body of evidence emphasizing the importance of dietary fat in bone aging and osteoporosis. Overall, high-fat diets, particularly those rich in saturated fats have been negatively associated with bone health [16,17], whereas polyunsaturated fatty acids (PUFA) seem to have some positive effects [18,19,20,21]. Notwithstanding, PUFA may also have important implications due to a wide range of possible mechanisms [22,23,24,25]. In relation to n-3 PUFA intake, there is evidence of a positive role of this type of fatty acid on bone mineral density (BMD), bone mineral content (BMC), or bone calcium levels [26,27,28,29,30,31,32,33,34,35]. This role of n-3 PUFA has been particularly notable when their effects are compared with those from n-6 PUFA in both humans [27] and animals [29,30,31,32,33,36]. However, some experiments with rats have suggested that this effect is dose-dependent [36] andthe positive role of n-3 PUFA could be conditioned by a ceiling [32,37]. In that sense, there are studies indicating some detrimental effects of a diet with a very high proportion of n-3 PUFA on other tissues and organs [38]. This is not entirely surprising since detrimental effects of diets rich in n-3 PUFA have been previously shown in other tissues [38]. Moreover, results from some in vitro studies have suggested possible negative effects on bone formation for some particular n-3 PUFA [39,40].
Along with dietary conditions and changes in several hormones levels, oxidative stress has also been shown to be implicated in the pathogenesis of osteoporosis or has been related to high bone loss during aging [41,42,43]. It is known that PUFA is highly susceptible to reactive oxygen species (ROS) attack, subsequently increasing the oxidative damage in the organism, especially during aging [44]. PUFA susceptibility to lipid peroxidation would also involve n-3 PUFA. In fact, it has been suggested that dietary compounds with antioxidant and anti-inflammatory properties could have promising bone protective effects [45,46]. Supplementation with antioxidants would preserve the advantages of PUFA on bone while preventing their deleterious effects and, in addition, modulate the effects of free radicals on bone health. In relation to aging, several studies in preclinical models have reported positive effects of dietary coenzyme Q (CoQ) [47,48,49]. CoQ is a key electron carrier in mitochondrial respiratory chain [6,23,26,27,28,29], and constitutes an important lipid-soluble antioxidant present in all biological membranes [50]. It has been shown to efficiently prevent oxidation of proteins, lipids, and DNA [51,52,53,54]. Likewise, other interesting physiological roles in cells related to these activities have been suggested for this molecule [50,55,56]. Based on these properties, the use of CoQ supplements under certain nutritional conditions associated with high oxidative stress levels could prove to be particularly interesting. In that sense, the effect of dietary CoQ has been investigated in the aging of some tissues and organs from rats fed with “pro-oxidant” PUFA-rich diets offering promising results [40,44,57,58,59,60,61]. However, knowledge about the effect of dietary CoQ on bone health is limited, and there are no studies on the effect of the combination of this antioxidant and n-3 PUFA-rich diet on bone health. On the other hand, research on diet and bone health have been mainly performed on postmenopausal rodent models (i.e., ovarectomized) using very young animals or directly on postmenopausal women with osteoporosis. However, rats reach skeletal maturity at the age of approximately 12 months [11], so results from many studies are not based on a good senile osteoporosis model. In addition, little research addressed male subjects. However, an age-dependent decline of bone mass and strength in sex steroid-sufficient female or male mice has been also reported [41]. In this context, the present study was designed to evaluate the potential of adding coenzyme Q10 (CoQ10) to a normocaloric and normolipidic diet with fish oil as a unique dietary fat source (rich in n-3 PUFA) for whole-life on bone aging and health in a male rat model of aging.
2. Materials and Methods
2.1. Experimental Design
Twenty-four male Wistar rats (Rattus norvegicus) weighing 80–90 g were housed three per cage and maintained in a 12-h light/12-h darkness cycle, with free access to food and water. The rats were randomly assigned into two experimental groups and fed from weaning until 24 months of age on a semi-synthetic and isoenergetic diet according to the AIN93 criteria [62] with the exception of dietary fat consisting only in fish oil. Diet composition was the following (in % weight/weight): 14% casein, 46.57% starch, 10% sucrose, 4% fish oil, 15.5% dextrose, 5% cellulose, 0.25% choline, 0.185 l-cystine, 1% vitamin mixture, and 3.5% mineral mixture. In addition, a supplemented version of each diet was prepared to reach 2.5 mg/kg per day of CoQ10. Two experimental groups were established: animals fed a fish oil-based diet without added CoQ10 (only the fish oil group) and those on the same diet but supplemented with CoQ10 (fish oil + CoQ). The rats were killed by cervical dislocation followed by decapitation, at the same time of the day, to avoid any circadian fluctuation. From each group, half of the rats were killed at 6 months of age and the other half at 24 months of age. Such ages were chosen because rats are respectively considered as young adults and elderly subjects, but not too old [63]. Blood was collected for plasma and serum isolation. Femur bones were isolated, physically cleaned from remaining soft tissues, weighted, and preserved in 70% ethanol until analysis. The animals were treated in accordance with the guidelines of the Spanish Society for Laboratory Animals, and the experiment was approved by the Ethical Committee of the University of Granada (permit number 20-CEA-2004).
2.2. Plasma Fatty Acid Profile and Total Coenzyme Q10 Levels Determination
Plasma fatty acid profile in rats was determined by following Lepage and Roy’s method [64] with previously described modifications [65]. Plasma levels of CoQ10 were assayed by high-performance liquid chromatography (HPLC) with electrochemical detection according to MacCrehan [66] as previously described [67]. A Spherisorb S5 ODS1 (Merck, Darmnstadt, Germany) column was used and ethanol/purified water 97:3 (v/v) acted as mobile phase. Retention times of individual standards were predetermined to identify CoQ10.
2.3. Determination of Bone Mineral Density
BMD and area were measured in the proximal half of the isolated femur bones by dual energy X-ray absorptiometry (DXA) using a Hologic QDR-4500 Elite densitometer (Hologic, Inc., Bedford, MA, USA). BMD was then calculated as bone mineral content (BMC)/area.
2.4. Determination of Bone Metabolism Markers, RANKL, Osteoprotegerin, and Hormones Circulating Levels
Serum levels of osteoprotegerin (OPG), receptor activator of nuclear factor kappa-B ligand (RANKL), osteocalcin, osteopontin, parathyroid hormone (PTH), and adenocorticotropin (ACTH) were measured simultaneously using a high sensitivity human cytokine multiplex immunoassay (Milliplex™ MAP, Merck Millipore, Billerica, MA, USA) according to the kit manufacturer’s instructions. Kits contained biotinylated antibodies, phycoerythrin-conjugated streptavidin, and different types of antibody-coated microspheres (Mixed Beads) with a specific antibody for each analyzed molecule. First, serum samples (25 µL) were incubated overnight at 4 °C with 25 µL of Mixed Beads. Then, the microsphere–protein complexes formed were washed and incubated at room temperature for 1 h with 50 µL of biotinylated antibodies, which specifically bind to proteins present on the microspheres. Finally, a final incubation with 50 µL of phycoerythrin-labeled streptavidin was carried out at room temperature for 30 min. After phycoerythrin-labeled streptavidin bind the biotinylated antibodies, the microspheres were loaded into a Luminex® X-MAP Bio-Plex 200 System Bioanalyzer (Luminex Corp., Austin, TX, USA) where the assays were run. The bioanalyzer quantifies the amount of phycoerythrin fluorescence present in each of the distinct microsphere groups. Assays were calibrated using duplicate 8-point standard curves and at least 50 individual microspheres were counted for each analyte using the median fluorescence intensity for subsequent calculations. Machine performance was verified using quality control samples at low, medium, and high levels for each analyte. All standard and quality control samples were analyzed in a complex matrix to match the sample background. Serum samples were analyzed at optimized dilutions. RANKL/OPG ratio was calculated for each subject using the values of RANKL and OPG levels obtained by this method.
2.5. Urinary F2-Isoprostanes Determination
Urine was stored at −80 °C until analyzed for F2-isoprostanes. Total F2-isoprostanes were measured by a competitive enzyme immunoassay (R&D Systems, Minneapolis, MN, USA). Results were normalized to urinary creatinine.
2.6. Determination of DNA Strand Breaks
Single cell gel electrophoresis assay or comet assay was used to measure DNA strand breaks in peripheral blood lymphocytes [68]. For this, collected fresh blood was centrifuged. Then the “buffy coat” was isolated and diluted 1:1 with RPMI-1640 medium, layered onto an equivalent volume of Histopaque®-1077 (Sigma-Aldrich, St. Louis, MO, USA) to obtain peripheral blood lymphocytes. The assay was then carried out as previously described [57,69]. Briefly, isolated lymphocytes were suspended in a warmed 1% low melting point agarose in Phosphate-buffered saline (PBS) (pH 7.4) and pipetted onto microscope slides precoated with a (1% in PBS) high melting point agarose layer. Slides were maintained at 4 °C for 5 min and immersed in a lysis solution (2.5 M NaCl, 100 mM ethylenediaminetetraacetic acid (EDTA), 10 mM Tris at pH, 10, 1% Triton X-100 v/v) at 4 °C for 1 h. After lysis treatment, they were placed in an electrophoresis tank containing 0.3 M NaOH and 1 mM EDTA, pH 10 at 4 °C for 40 min to allow the separation of the two DNA strands. Finally, electrophoresis was performed at 1 V/cm and 300 mA for 30 min, and slides were washed three times for 5 min each with a neutralizing solution (0.4 M Tris, pH 7.5) at 4 °C before staining with 1 mg/mL of 4,6-diamidino-2-phenylindole (DAPI). Individual DAPI-stained nucleoids in each gel were examined under a UV-microscope Leica DM/LS (Leica Microsystems, Wetzlar, Germany) with an excitation filter of 435 nm and a magnification of 400 registered using a CCD camera (Hitachi, Tokyo, Japan) and analyzed with image analysis sofware Komet 5.0 (Kinetic Imaging Ltd., Liverpool, UK). A total of 100 comets per gel were count. The mean percent of DNA in the tail per gel was taken as a measure of DNA break frequency for each sample.
2.7. Statistical Analysis
Results were presented as mean and standard error of mean of six animals. Prior to any statistical analysis, all variables were checked for normal distribution and homogeneity of variances using the Shapiro–Wilk and the Levene tests, respectively. When a variable was found to follow a normal distribution, a Student’s t-test was used to compare different dietary groups at the same age or different age groups fed a same diet. Otherwise, the non-parametric Mann–Whitney U-test was used for the variables that did not follow a normal distribution (Urinary F2-Isoprostanes, DNA strand breaks and RANKL and ACTH levels). Data were analyzed using the IBM SPSS Statistics for Windows Version 22.0 (IBM Corp., Armonk, NY, USA). A p-value under 0.05 was considered significant in all cases.
3. Results
3.1. Animal Weights
During the 24-month follow-up, the fish oil group presented no significant weight differences (604.0 ± 23.3 g) compared to the fish oil + CoQ group (624 ± 20 g). From the observation of body weight evolution and food spillage, no differences concerning food intake were inferred between groups or in relation to age.
3.2. Plasma Fatty Acid Profile and Total Coenzyme Q10 Levels
The sum of plasma monounsaturated fatty acids (MUFA) in 6-month-old animals was 31.6 ± 2.4 g/100 g of total fatty acids. Concerning n-6 PUFA, a total value of 9.4 ± 0.4 g/100 g was found. For n-3 PUFA, 18.3 ± 1.2 g/100 g were noted. Such differences were maintained for old animals that showed values of 30.6 ± 2.1, 8.9 ± 1.1, and 19.5 ± 1.5 g/100 g for MUFA, n-6 PUFA, and n-3 PUFA, respectively; no differences with animals receiving CoQ10-supplementation were observed (data not shown). Concerning plasma CoQ10 content, those animals supplemented with CoQ10 for 6 months showed significantly higher concentrations than their non-supplemented counterparts (Figure 1). At 24 months of age, these differences were maintained.
Figure 1.
Effects of supplementation with coenzyme Q10 (CoQ10) on plasma total CoQ10 levels in 6- and 24-month-old (m) rats fed fish oil as dietary fat. Results are expressed as mean ± standard error of mean of six animals. * Statistically significant differences (p < 0.05) determined by the Student’s t-test.
3.3. Bone Mineral Density
Results from BMD measurement are represented in Figure 2. Concerning aging, BMD was lower in old animals fed non-supplemented fish oil compared to their younger counterparts. However, in animals receiving CoQ10, older subjects displayed higher values. Regarding differences between dietary groups, BMD was lower in animals fed fish oil without CoQ10 but only at 24 months of age.
Figure 2.
Effects of supplementation with coenzyme Q10 (CoQ10) on bone mineral density (BMD) in 6- and 24-month-old (m) rats fed fish oil as dietary fat. Results are expressed as mean ± standard error of mean of six animals. * Statistically significant differences (p < 0.05) determined by the Student’s t-test.
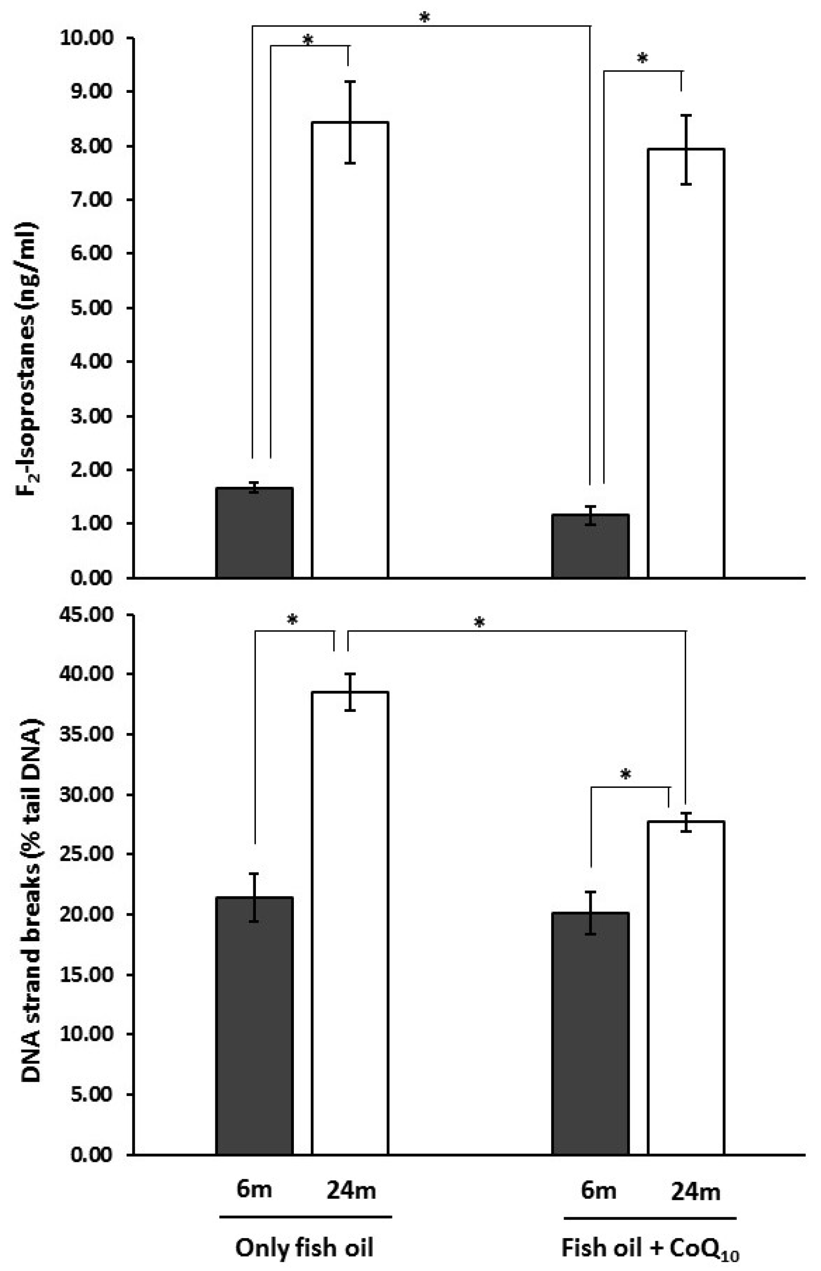
3.4. Urinary F2-Isoprostanes and DNA Strand Breaks
Results from analysis of urinary F2-isoprostanes levels and DNA strand breaks in lymphocytes are shown in Figure 3. Concerning the CoQ10 effect, a lower value was found in CoQ10-supplemented animals at 6 months for F2-isoprostanes, but there were no differences at 24 months. In contrast, no differences were observed for DNA strand break at 6 months but animals receiving CoQ showed lower values at 24 months. Moreover, 24-month-old rats showed higher values than their younger counterparts for both in all cases.
Figure 3.
Effects of supplementation with coenzyme Q10 (CoQ10) on urinary levels of F2-isprostanes and DNA strand breaks in lymphocytes in 6- and 24-month-old (m) rats fed fish oil as dietary fat. Results are expressed as mean ± standard error of mean of six animals. * Statistically significant differences (p < 0.05) determined by the Mann–Whitney U-test.
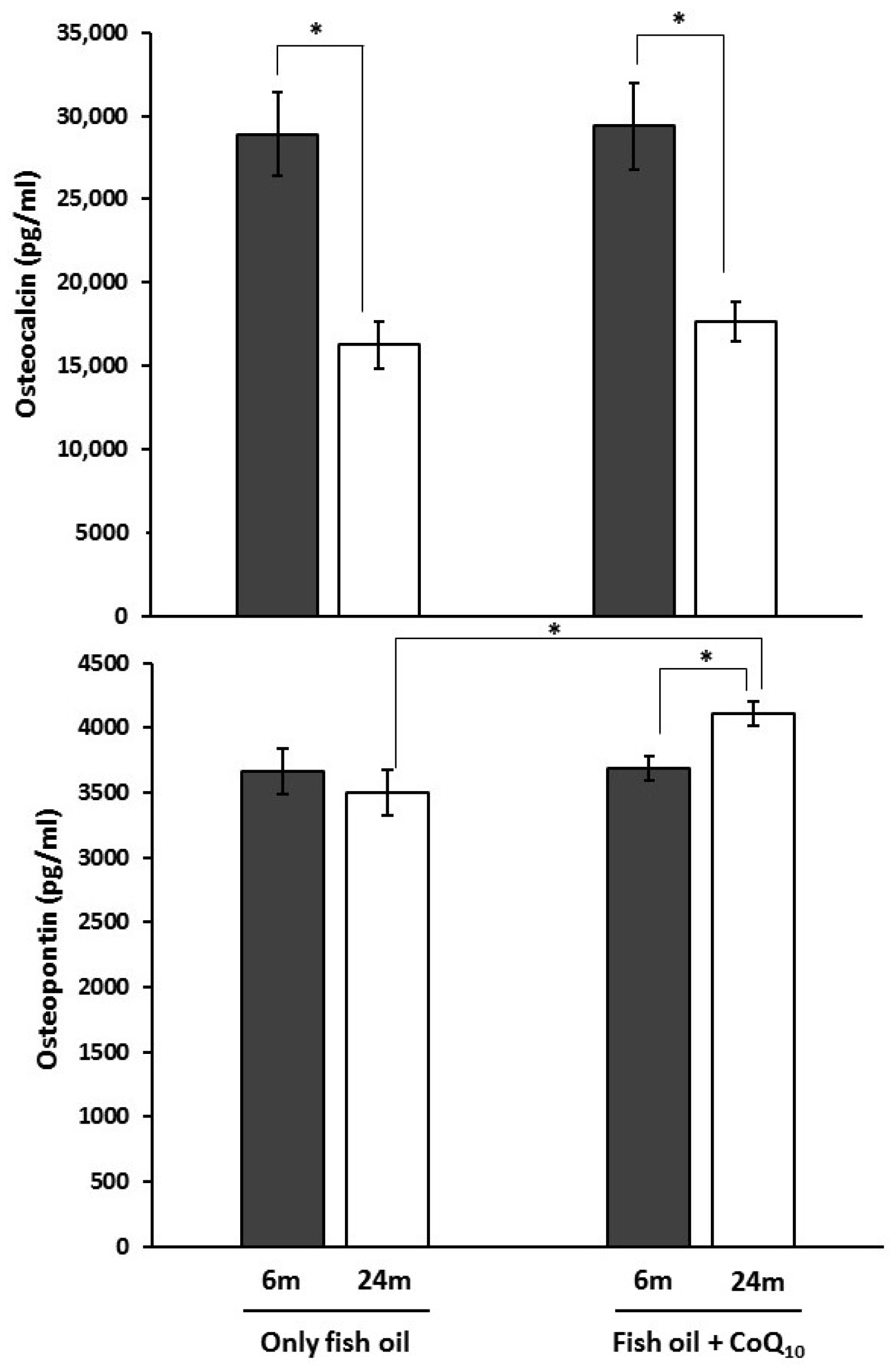
3.5. Circulating Levels of Bone Metabolism Markers, OPG, RANKL, and Serum RANKL/OPG Ratio
Results from analysis of serum levels of osteocalcin and osteopontin are presented in Figure 4. No differences were found between dietary groups for osteocalcin levels in serum at any age, but in the case of osteopontin, a higher level was found in older rats on non-supplemented diets compared to those receiving CoQ10 supplements at the same age. Older animals showed lower levels of osteocalcin than their younger counterparts. However, concerning osteopontin, only supplemented animals showed significant differences between age groups with 24-month-old animals displaying the highest values.
Figure 4.
Effects of supplementation with coenzyme Q10 (CoQ10) on serum levels of bone metabolism markers (osteocalcin and osteopontin) in 6- and 24-month-old (m) rats fed fish oil as dietary fat. Results are expressed as mean ± standard error of mean of six animals. * Statistically significant differences (p < 0.05) determined by the Student’s t-test.
Results from RANKL, OPG serum levels, and serum RANKL/OPG ratio are presented in Table 1. No statistically differences were found between animals kept on different diets at the same age for any of the mentioned parameters. Regarding aging, lower values were found for older animals in both groups for all.
Table 1.
Effects of supplementation with coenzyme Q10 (CoQ10) on serum levels of osteoprotegerin (OPG), receptor activator of the nuclear factor κB ligand (RANKL), and RANKL/OPG ratio in 6- and 24-month-old (m) rats fed fish oil as dietary fat.
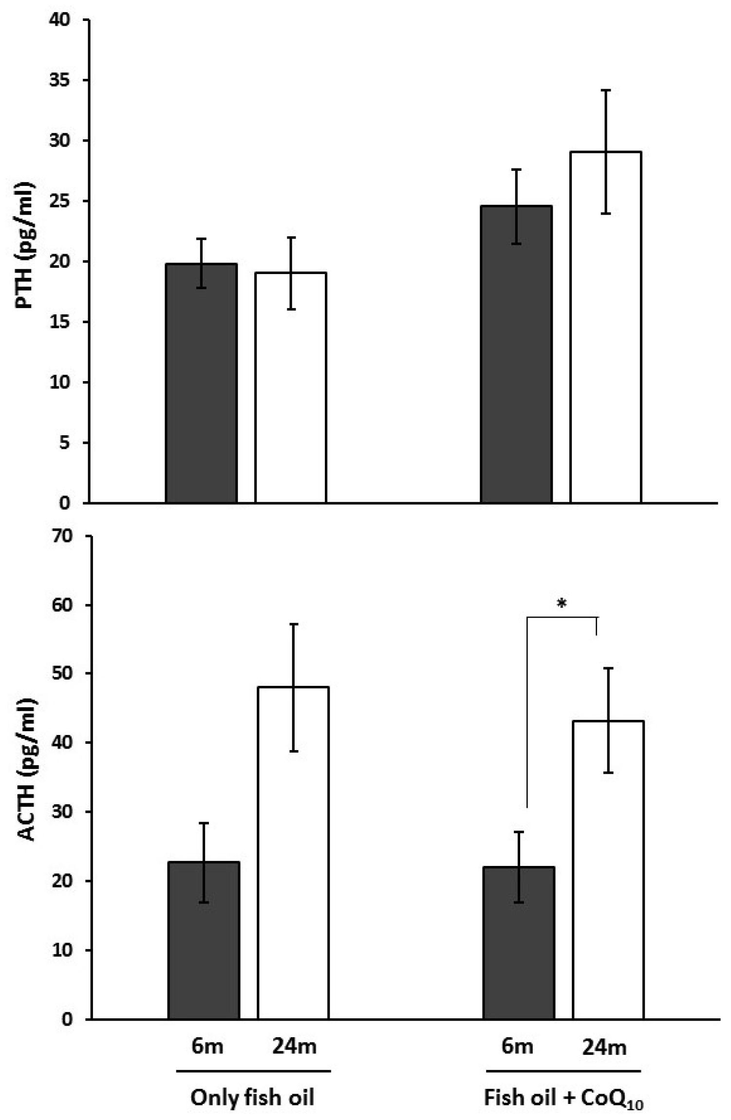
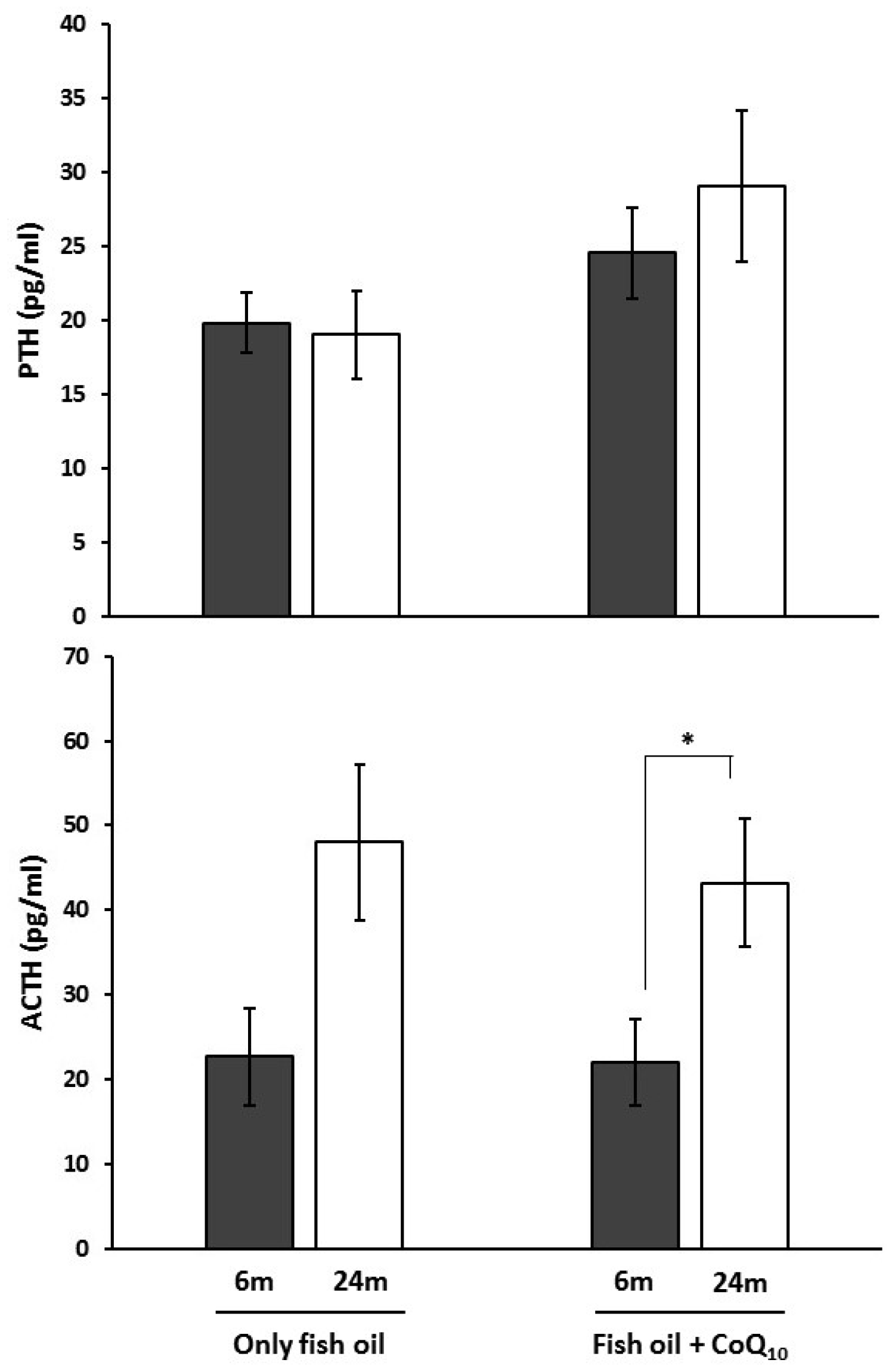
3.6. Circulating Levels of PTH and ACTH
Figure 5 shows collected data about the circulating level of analyzed hormones, PTH, and ACTH. Statistical analysis revealed no significant differences between dietary groups. Regarding age, a higher level was found in older animals but only when they received CoQ10 supplements.
Figure 5.
Effects of supplementation with coenzyme Q10 (CoQ10) on circulating levels of parathyroid hormone and adrenocorticotropin (ACTH) in 6- and 24-month-old (m) rats fed fish oil as dietary fat. Results are expressed as mean ± standard error of mean of six animals. * Statistically significant differences (p < 0.05) determined by the Mann–Whitney U-test.
4. Discussion
Different reports have indicated a positive association between aging and bone loss or risk of osteoporosis with increased probabilities of sustaining fractures [3,4,6]. Amongst other nutritional factors, dietary fat type has been shown to have implications in bone health. In particular, studies on n-3 PUFA effects have shown contradictory results that could be explained by the high susceptibility to lipid peroxidation associated to the different PUFA. With this background, here, rats were life-long fed n-3 PUFA-rich diets (with fish oil as unique dietary fat source) with or without addition of CoQ10, to test if this antioxidant and electron carrier can impose benefits of n-3 PUFA on BMD at different ages. BMD is a major parameter determining bone strength that is used for the diagnosis of osteoporosis and is expected to decrease during aging. Firstly, to attribute any effect on health to the dietary treatments, it was necessary to test if the diets provided were able to modify the lipid composition of body fluids and cellular structures. Results on plasma fatty acid profiles and CoQ10 plasma content confirmed a proper adaptation to the diets consumed since these resembled to those of the diets. This was expected according to previous studies on similar aging models [70,71].
Areal BMD is a major determinant of bone strength usually used to diagnose osteoporosis [72]. Results from the evaluation of BMD in rat proximal femur by DXA suggested an age-associated decrease in animals fed non-supplemented-diets, but when CoQ10 was added, the inverse change was observed, leading to higher values of BMD in old animals compared with their non-supplemented counterparts. Generally, to diagnose osteoporosis in humans, individual BMD values are expressed in relation to a reference population in standard deviation units. This allows reducing the difficulties associated with calibration of the instruments. In particular, when these units are used in relation to the young healthy population, this measurement is referred to as the T-score. Here, if values of young animals belonging to the fish oil group are used as reference to determine T-score, old animals receiving only fish oil would be in the low bone mass (osteopenia) category according to the WHO proposal modified by the International Osteoporosis Foundation for men and women [73,74], whereas BMD in fish oil + CoQ group at 24 months was normal. However, the clinical significance of these categories lies in the fracture risks that arise. A strong gradient of risk has been reported for fracture prediction using DXA, particularly at the proximal femur and lumbar spine. Namely, it was indicated that the risk of hip fracture increased 2.6-fold for each SD decrease in BMD at the femoral neck [75]. In this sense, it has been estimated that women in the threshold for osteopenia have a 50% lifetime risk of fracture [76].
Therefore, life-long supplementation with CoQ10 has an interesting potential for the prevention of osteoporosis and the maintenance of bone strength. The positive effect of CoQ on BMD has also been suggested by a study in rats where short-term treatment with CoQ10 prevented bone and mineral content loss induced by spinal cord injury [77]. According to Jacob and Nair [78] and the U.S. Food and Drug Administration (FDA) proposal for the Human Equivalent Dose (HED), the dose administrated to rats from the present study would be 0.26 mg/kg per day if we assume a weight of 70 kg as male mean value. This implies that a 70 kg man would need to take at least 18.43 mg to note similar effects. In previous interventions with CoQ in humans, doses ranged from 100 to 2400 mg per day [55]. This difference is very important, because although most human studies gave higher doses for limited periods of time when people were older or had a health problem, we verified that maintaining CoQ throughout life at lower doses has an interesting preventive role. In the present study, CoQ10 in its oxidized form (ubiquinone) was used, instead of ubiquinol, given its easy commercial access together with its better stability, as well as lower costs. However, ubiquinol is also available on the market, but at a higher price, and it has been shown to be more efficiently absorbed [79,80,81]. Therefore, ubiquinol might be an interesting alternative to the use of ubiquinone, particularly for short-time periods or at lower doses.
Along with BMD, bone remodeling is also a major determinant of bone strength since it influences bone structure. In this sense, studies reporting the positive effects of n-3 PUFA or fish oil on bone mass or density have shown increases [82], but also decreases in markers of bone formation [83]. On the other hand, there are no data about the role of CoQ on this issue. In the present study, serum levels of osteocalcin and osteopontin were measured to assess changes in bone turnover and resorption. Osteocalcin was lower for the aged groups, irrespective of the treatment. On the other hand, only an age-associated increase in rats receiving CoQ was observed in relation to osteopontin. Osteopontin is a protein from bone extracellular matrix where it controls mineralization, coupling of bone formation, and attachment of osteogenic cells to the bone matrix and resorption [84,85]. However, this protein is also expressed in a variety of tissues different from bone where it is usually expressed only in response to stimulus such as inflammation [86]. These include bone marrow derived gland cells, cartilage, dentine, cementum, kidney, brain, vascular tissues, specialized epithelia found in mammary, salivary, sweat glands, in bile and pancreatic ducts, in distal renal tubules, gut, and activated macrophages and lymphocytes [87]. Likewise, many physiological roles such as calcification, immune system modulation, inflammation, regulation of cell adhesion migration, and cell survival have been attributed to osteopontin [88]. Different evidence suggests that it participates in multiple physiological and pathological processes including pathological calcifications of soft tissues, wound healing, cardiovascular diseases and kidney diseases [87]. In fact, its plasma levels have been found to be associated with various inflammatory diseases, including cardiovascular diseases in clinical studies [86]. Consequently, changes in its blood levels observed here could reflect some physiological changes in other parts of the body and not necessarily the bone resorption rate. On the other hand, osteocalcin is an extracellular matrix protein that is released into blood during both new matrix formation and existing matrix breakdown [89]. Thus, its serum levels can be indicative of the rate of bone turnover. However, according to these results, the CoQ effect was not relevant to it.
As has been stated, bone health, in particular BMD, has been associated with oxidative stress levels in humans [90,91,92,93,94]. Moreover, in male and female mice, an association with age-dependent decline of bone mass and strength in sex steroid-sufficient animals has been also reported [41]. Thus, the effect of dietary CoQ10 on bone found here could be directly or indirectly related to its antioxidant activity. In that sense, it has been previously reported that the addition of this molecule to other PUFA-rich diets, namely n-6 PUFA, attenuated or reduced oxidative stress during aging [57,58,59,61]. To test the possible consequences on oxidative stress of supplementation with CoQ in animals from the present study (all of them fed an n-3 PUFA-rich diet), two markers of oxidative damage were used, each for a different type of macromolecules. These were urinary F2-isoprostanes and DNA strand breaks in lymphocytes estimated by a single cell gel electrophoresis assay (comet assay). These markers could provide a good picture about oxidation in lipids and DNA, respectively. Differences found between age groups for both markers suggest that aged animals had higher oxidative stress. Supplementation with CoQ10 prevented accumulation of DNA damage with aging, in parallel to the prevention of BMD decrease. This could contribute to the lowest loss of BMD found in CoQ10-supplemented animals. Supporting the positive effect of CoQ10 on DNA oxidative damage, it has been shown that CoQ10 addition to Mediterranean diet improved DNA repair systems in humans [95,96], which may also help by preventing DNA damage accumulation. Concerning lipids, oxidative damage was lower in young animals when these received supplementation but not in older subjects. This could indicate that, under conditions of the present study, dietary CoQ reduced oxidative stress from early in life, but this was not enough to lead to differences in lipid damage among older animals. However, it would prevent accumulation of damage to DNA, which would appear later in life.
As is well known, several hormones can influence bone metabolism [97,98]. Here, PTH and ACTH were evaluated. PTH is a hormone with a dual role in relation bone mass. It is known that this hormone induces bone resorption and mobilizes bone calcium into blood to balance low calcium levels in blood. Thus, high levels of PTH have been associated with a higher bone resorption rate. However, it has been reported that moderate levels of PTH maintained during short periods of time could even increase bone mass despite punctual increases in resorption rate [99]. Amongst other mechanisms, it has been previously suggested that n-3 PUFA’s protective effect on aging-induced loss of BMD was due to a modulation of systemic calcitrophic hormones, including PTH, in a study in male rats [83]. In the present study, no relevant effects of dietary CoQ10 were observed on PTH. Concerning ACTH, it has been traditionally considered to produce a negative impact on bone mass as a consequence of its activity stimulating cortisol release [100,101]. However, it has been proposed that cortisol might not have a detrimental effect on bone proliferation or differentiation at physiological levels [102]. An ACTH receptor, MC2R, is expressed in osteoblast and inflammatory cells [101,103]. In vitro experiments have shown anabolic effects for ACTH in osteoblasts at high concentrations, whereas lower concentrations opposed osteoblast differentiation [97]. In addition, MC2R expression is strongest at sites of active bone deposition, and thus ACTH response probably varies with osteoblastic activity or stage of osteoblast differentiation. In relation to CoQ10, it has been shown that pituitary-dependent adrenal diseases with defective activity of pituitary-adrenal axis are associated with low levels of this molecule [104,105]. Here, ACTH serum levels were significantly higher in old animals fed CoQ10 compared with their younger counterparts, but this difference was not significant in animals not receiving CoQ10. However, no significant effect was found for CoQ10, so no clear conclusion can be inferred from the study of these markers. Notwithstanding, isolated osteoclasts synthesize and release ACTH into the culture medium [106], so maybe local concentrations are more important for stimulation of bone formation.
Furthermore, a possible implication of osteoclastogenesis regulation in CoQ10 effect on BMD was also evaluated in the present study by serum RANKL/OPG ratio. RANKL and OPG are two regulatory proteins with antagonist roles. RANKL is a membrane protein presented by osteoblasts and other bone cells, which binds to the RANK receptor on osteoclast precursor cells, activating NF-κβ and promoting osteoclast differentiation [106]. OPG is a soluble decoy receptor for RANKL that competitively antagonizes RANKL–RANK interaction, inhibiting osteoclastogenesis [107]. Therefore, the RANKL/OPG ratio would indicate bone resorption rate [108]. Results from the present study suggest that the serum RANKL/OPG ratio is lower with aging in all groups, which is in agreement with previous studies [109,110]. Nevertheless, in the present study, there is not any statistically significant effect of CoQ10 on the RANKL/OPG ratio for any of the dietary groups. Likewise, when RANKL and OPG levels are observed separately, a similar pattern was observed. This difference associated to age is consistent with results from other studies in similar models of aging [61,111]. Since these diets did not lead to age-associated increases in RANKL, oxidative stress level could influence osteoclasts response to RANKL stimulation. In fact, it has been suggested that intracellular ROS can act as “secondary messengers” in osteoclasts or osteoclast progenitor cells enhancing their differentiation [112,113]. In particular, the RANKL pathway downstream transcription factor NF-κB is also an oxidative stress-responsive and may be activated by free radicals. Therefore, the higher oxidative stress levels observed in aged rats particularly when they were on diets rich in polyunsaturated fat [44,60,68,70,114,115,116] could led to an increase in sensitivity to RANKL-stimulation, explaining, at least in part, the existence of an age-associated increase in osteoclastogenesis and bone resorption despite the decrease in RANKL levels. Thus, the in vivo antioxidant activity shown by CoQ10 in the present study during aging might help to prevent bone loss as a consequence of a reduction of ROS in osteoclasts and osteoclast progenitor cells. In vitro studies support this hypothesis. In fact, in RANKL-stimulated bone marrow-derived monocytes and RAW 264.7 cells, a model of osteoclast, CoQ10 inhibited osteoclastogenesis [112,113]. Evidence suggests that CoQ10 strongly suppressed H2O2-induced IκBα, p38 signaling pathways [110]. Therefore, and considering results from the present study, oxidative stress might help to explain age-associated changes in BMD, as well as the preservation of BMD found in old animals supplemented on CoQ10. Still, oxidative stress can also damage other cells implicated in bone metabolism such as osteoblasts as well as suppress their differentiation [117].
5. Conclusions
Compared with young subjects, a lower BMD was found in old animals maintained on an n-3 PUFA-rich diet based on fish oil. This lower BMD associated to age was prevented by CoQ10 supplementation that even improved this parameter compared to young animals. In parallel, CoQ10 supplementation led to the prevention of oxidative damage to lipids and to DNA in young and old animals, respectively. However, CoQ10 had no clear effect in other factors affecting bone metabolism. Altogether, results from the present study suggest that, under our experimental conditions, oxidative stress might be among the causes of the lower BMD observed during aging. For this reason, it is feasible that CoQ10 could collaborate in the reduction of age-related loss of bone mass due to its antioxidant activity. According to other studies, this could be due, at least in part, to mitigation of osteoclastogenesis or osteoclast activity as consequence of intracellular ROS scavenging. Nevertheless, although such studies suggest that the dietary CoQ10 effect on age-related changes in BMD is mediated by a decrease in resorption rate, this molecule could also influence bone formation but the effect of this molecule, or oxidative stress, on osteoblasts has not been widely studied. Therefore, to clarify this issue, markers for each cell type formation and activity such as collagen breakdown products, TRAP5b, should be performed in the future. In the same way, it is known that many osteogenic progenitor cells turn out to be adipocytes during aging [118]. Since this phenomenon also reduces bone acquisition capacity, it will be interesting also to evaluate the possible effect of dietary fat and antioxidants on it. Therefore, these and other possible mechanisms for explaining CoQ10 effects on age-related BMD preservation need to be further investigated in this type of aging model. Likewise, it is imperative to extend this research to female individuals, although a more complex experimental design which would fit better to what happens in humans would be required.
Acknowledgments
This work was supported by the Spanish Ministry of Education and Science (AGL2008-01057) and the Autonomous Government of Andalusia (AGR832). A.V.-L. is recipient of a grant for doctors from University of Granada’s own plan.
Author Contributions
J.L.Q. and J.J.O.H. conceived and designed the experiments; J.M.L.E., M.L.F., E.P. and M.C.R.T. performed the experiments; C.L.R.T., F.G., M.B., A.V.L. and J.L.Q. analyzed the data; M.B. and J.L.Q. contributed reagents/materials/analysis tools; A.V.L., J.L.Q.M. and M.B. wrote de paper.
Conflicts of Interest
The authors declare no conflict of interest.
References
- Alvioli, L.V.; Lindsay, R. The female osteoporotic syndrome(s). In Metabolic Bone Disease and Clinically Related Disorder; Alvioli, L.V., Krane, S.M., Eds.; WB Saunders Company: Philadelphia, PA, USA, 1990; pp. 397–451. [Google Scholar]
- Sowers, M. Clinical epidemiology and osteoporosis. Measures and their interpretation. Endocrinol. Metab. Clin. N. Am. 1997, 26, 219–231. [Google Scholar] [CrossRef]
- Szulc, P.; Seeman, E.; Duboeuf, F.; Sornay-Rendu, E.; Delmas, P.D. Bone fragility: Failure of periosteal apposition to compensate for increased endocortical resorption in postmenopausal women. J. Bone Miner. Res. Off. J. Am. Soc. Bone Miner. Res. 2006, 21, 1856–1863. [Google Scholar] [CrossRef] [PubMed]
- Lauretani, F.; Bandinelli, S.; Griswold, M.E.; Maggio, M.; Semba, R.; Guralnik, J.M.; Ferrucci, L. Longitudinal changes in BMD and bone geometry in a population-based study. J. Bone Miner. Res. Off. J. Am. Soc. Bone Miner. Res. 2008, 23, 400–408. [Google Scholar] [CrossRef] [PubMed]
- Edwards, M.H.; Dennison, E.M.; Aihie Sayer, A.; Fielding, R.; Cooper, C. Osteoporosis and sarcopenia in older age. Bone 2015, 80, 126–130. [Google Scholar] [CrossRef] [PubMed]
- National Institute of Health. NIH Consensus Development Panel on Osteoporosis Prevention, Diagnosis, and Therapy Osteoporosis prevention, diagnosis, and therapy. JAMA 2001, 285, 785–795. [Google Scholar]
- Bliuc, D.; Nguyen, N.D.; Milch, V.E.; Nguyen, T.V.; Eisman, J.A.; Center, J.R. Mortality risk associated with low-trauma osteoporotic fracture and subsequent fracture in men and women. JAMA 2009, 301, 513–521. [Google Scholar] [CrossRef] [PubMed]
- Willson, T.; Nelson, S.D.; Newbold, J.; Nelson, R.E.; LaFleur, J. The clinical epidemiology of male osteoporosis: A review of the recent literature. Clin. Epidemiol. 2015, 7, 65–76. [Google Scholar] [PubMed]
- Penrod, J.D.; Litke, A.; Hawkes, W.G.; Magaziner, J.; Doucette, J.T.; Koval, K.J.; Silberzweig, S.B.; Egol, K.A.; Siu, A.L. The association of race, gender, and comorbidity with mortality and function after hip fracture. J. Gerontol. A. Biol. Sci. Med. Sci. 2008, 63, 867–872. [Google Scholar] [CrossRef] [PubMed]
- Endo, Y.; Aharonoff, G.B.; Zuckerman, J.D.; Egol, K.A.; Koval, K.J. Gender differences in patients with hip fracture: A greater risk of morbidity and mortality in men. J. Orthop. Trauma 2005, 19, 29–35. [Google Scholar] [CrossRef] [PubMed]
- Chin, K.-Y.; Ima-Nirwana, S. Olives and Bone: A Green Osteoporosis Prevention Option. Int. J. Environ. Res. Public. Health. 2016, 13, 755. [Google Scholar] [CrossRef] [PubMed]
- Sacco, S.M.; Horcajada, M.-N.; Offord, E. Phytonutrients for bone health during ageing. Br. J. Clin. Pharmacol. 2013, 75, 697–707. [Google Scholar] [CrossRef] [PubMed]
- Bonjour, J.-P. Protein intake and bone health. Int. J. Vitam. Nutr. Res. 2011, 81, 134–142. [Google Scholar] [CrossRef] [PubMed]
- Heaney, R.P. Calcium, dairy products and osteoporosis. J. Am. Coll. Nutr. 2000, 19, 83S–99S. [Google Scholar] [CrossRef] [PubMed]
- Heaney, R.P. Skeletal development and maintenance: The role of calcium and vitamin D. Adv. Endocrinol. Metab. 1995, 6, 17–38. [Google Scholar] [PubMed]
- Corwin, R.L.; Hartman, T.J.; Maczuga, S.A.; Graubard, B.I. Dietary saturated fat intake is inversely associated with bone density in humans: Analysis of NHANES III. J. Nutr. 2006, 136, 159–165. [Google Scholar] [PubMed]
- Kato, I.; Toniolo, P.; Zeleniuch-Jacquotte, A.; Shore, R.E.; Koenig, K.L.; Akhmedkhanov, A.; Riboli, E. Diet, smoking and anthropometric indices and postmenopausal bone fractures: A prospective study. Int. J. Epidemiol. 2000, 29, 85–92. [Google Scholar] [CrossRef] [PubMed]
- Järvinen, R.; Tuppurainen, M.; Erkkilä, A.T.; Penttinen, P.; Kärkkäinen, M.; Salovaara, K.; Jurvelin, J.S.; Kröger, H. Associations of dietary polyunsaturated fatty acids with bone mineral density in elderly women. Eur. J. Clin. Nutr. 2012, 66, 496–503. [Google Scholar] [CrossRef] [PubMed]
- Kruger, M.C.; Claassen, N.; Smuts, C.M.; Potgieter, H.C. Correlation between essential fatty acids and parameters of bone formation and degradation. Asia Pac. J. Clin. Nutr. 1997, 6, 235–238. [Google Scholar] [PubMed]
- Kruger, M.C.; Schollum, L.M. Is docosahexaenoic acid more effective than eicosapentaenoic acid for increasing calcium bioavailability? Prostaglandins Leukot. Essent. Fatty Acids 2005, 73, 327–334. [Google Scholar] [CrossRef] [PubMed]
- Macdonald, H.M.; New, S.A.; Golden, M.H.N.; Campbell, M.K.; Reid, D.M. Nutritional associations with bone loss during the menopausal transition: Evidence of a beneficial effect of calcium, alcohol, and fruit and vegetable nutrients and of a detrimental effect of fatty acids. Am. J. Clin. Nutr. 2004, 79, 155–165. [Google Scholar] [PubMed]
- Harris, M.; Farrell, V.; Houtkooper, L.; Going, S.; Lohman, T. Associations of polyunsaturated fatty acid intake with bone mineral density in postmenopausal women. J. Osteoporos. 2015, 2015, 737521. [Google Scholar] [CrossRef] [PubMed]
- Muraki, S.; Yamamoto, S.; Ishibashi, H.; Oka, H.; Yoshimura, N.; Kawaguchi, H.; Nakamura, K. Diet and lifestyle associated with increased bone mineral density: Cross-sectional study of Japanese elderly women at an osteoporosis outpatient clinic. J. Orthop. Sci. Off. J. Jpn. Orthop. Assoc. 2007, 12, 317–320. [Google Scholar] [CrossRef] [PubMed]
- Poulsen, R.C.; Kruger, M.C. Detrimental effect of eicosapentaenoic acid supplementation on bone following ovariectomy in rats. Prostaglandins Leukot. Essent. Fatty Acids 2006, 75, 419–427. [Google Scholar] [CrossRef] [PubMed]
- Virtanen, J.K.; Mozaffarian, D.; Cauley, J.A.; Mukamal, K.J.; Robbins, J.; Siscovick, D.S. Fish consumption, bone mineral density, and risk of hip fracture among older adults: The cardiovascular health study. J. Bone Miner. Res. Off. J. Am. Soc. Bone Miner. Res. 2010, 25, 1972–1979. [Google Scholar] [CrossRef] [PubMed]
- Mangano, K.M.; Kerstetter, J.E.; Kenny, A.M.; Insogna, K.L.; Walsh, S.J. An investigation of the association between omega 3 FA and bone mineral density among older adults: Results from the National Health and Nutrition Examination Survey years 2005–2008. Osteoporos. Int. J. Establ. Result Coop. Eur. Found. Osteoporos. Natl. Osteoporos. Found. USA 2014, 25, 1033–1041. [Google Scholar] [CrossRef] [PubMed]
- Weiss, L.A.; Barrett-Connor, E.; von Mühlen, D. Ratio of n-6 to n-3 fatty acids and bone mineral density in older adults: The Rancho Bernardo Study. Am. J. Clin. Nutr. 2005, 81, 934–938. [Google Scholar] [PubMed]
- Högström, M.; Nordström, P.; Nordström, A. n-3 Fatty acids are positively associated with peak bone mineral density and bone accrual in healthy men: The NO2 Study. Am. J. Clin. Nutr. 2007, 85, 803–807. [Google Scholar] [PubMed]
- Sun, D.; Krishnan, A.; Zaman, K.; Lawrence, R.; Bhattacharya, A.; Fernandes, G. Dietary n-3 fatty acids decrease osteoclastogenesis and loss of bone mass in ovariectomized mice. J. Bone Miner. Res. Off. J. Am. Soc. Bone Miner. Res. 2003, 18, 1206–1216. [Google Scholar] [CrossRef] [PubMed]
- Sun, L.; Tamaki, H.; Ishimaru, T.; Teruya, T.; Ohta, Y.; Katsuyama, N.; Chinen, I. Inhibition of osteoporosis due to restricted food intake by the fish oils DHA and EPA and perilla oil in the rat. Biosci. Biotechnol. Biochem. 2004, 68, 2613–2615. [Google Scholar] [CrossRef] [PubMed]
- Claassen, N.; Potgieter, H.C.; Seppa, M.; Vermaak, W.J.; Coetzer, H.; Van Papendorp, D.H.; Kruger, M.C. Supplemented gamma-linolenic acid and eicosapentaenoic acid influence bone status in young male rats: Effects on free urinary collagen crosslinks, total urinary hydroxyproline, and bone calcium content. Bone 1995, 16, 385S–392S. [Google Scholar] [CrossRef]
- Mollard, R.C.; Kovacs, H.R.; Fitzpatrick-Wong, S.C.; Weiler, H.A. Low levels of dietary arachidonic and docosahexaenoic acids improve bone mass in neonatal piglets, but higher levels provide no benefit. J. Nutr. 2005, 135, 505–512. [Google Scholar] [PubMed]
- Green, K.H.; Wong, S.C.F.; Weiler, H.A. The effect of dietary n-3 long-chain polyunsaturated fatty acids on femur mineral density and biomarkers of bone metabolism in healthy, diabetic and dietary-restricted growing rats. Prostaglandins Leukot. Essent. Fatty Acids 2004, 71, 121–130. [Google Scholar] [CrossRef] [PubMed]
- Liu, D.; Veit, H.P.; Denbow, D.M. Effects of long-term dietary lipids on mature bone mineral content, collagen, crosslinks, and prostaglandin E2 production in Japanese quail. Poult. Sci. 2004, 83, 1876–1883. [Google Scholar] [CrossRef] [PubMed]
- Musacchio, E.; Priante, G.; Budakovic, A.; Baggio, B. Effects of unsaturated free fatty acids on adhesion and on gene expression of extracellular matrix macromolecules in human osteoblast-like cell cultures. Connect. Tissue Res. 2007, 48, 34–38. [Google Scholar] [CrossRef] [PubMed]
- Watkins, B.A.; Li, Y.; Seifert, M.F. Dietary ratio of n-6/n-3 PUFAs and docosahexaenoic acid: Actions on bone mineral and serum biomarkers in ovariectomized rats. J. Nutr. Biochem. 2006, 17, 282–289. [Google Scholar] [CrossRef] [PubMed]
- Watkins, B.A.; Lippman, H.E.; Le Bouteiller, L.; Li, Y.; Seifert, M.F. Bioactive fatty acids: Role in bone biology and bone cell function. Prog. Lipid Res. 2001, 40, 125–148. [Google Scholar] [CrossRef]
- González-Alonso, A.; Ramírez-Tortosa, C.L.; Varela-López, A.; Roche, E.; Arribas, M.I.; Ramírez-Tortosa, M.C.; Giampieri, F.; Ochoa, J.J.; Quiles, J.L. Sunflower Oil but Not Fish Oil Resembles Positive Effects of Virgin Olive Oil on Aged Pancreas after Life-Long Coenzyme Q Addition. Int. J. Mol. Sci. 2015, 16, 23425–23445. [Google Scholar] [CrossRef] [PubMed]
- Coetzee, M.; Haag, M.; Joubert, A.M.; Kruger, M.C. Effects of arachidonic acid, docosahexaenoic acid and prostaglandin E(2) on cell proliferation and morphology of MG-63 and MC3T3-E1 osteoblast-like cells. Prostaglandins Leukot. Essent. Fatty Acids 2007, 76, 35–45. [Google Scholar] [CrossRef] [PubMed]
- Maurin, A.C.; Chavassieux, P.M.; Vericel, E.; Meunier, P.J. Role of polyunsaturated fatty acids in the inhibitory effect of human adipocytes on osteoblastic proliferation. Bone 2002, 31, 260–266. [Google Scholar] [CrossRef]
- Almeida, M.; Han, L.; Martin-Millan, M.; Plotkin, L.I.; Stewart, S.A.; Roberson, P.K.; Kousteni, S.; O’Brien, C.A.; Bellido, T.; Parfitt, A.M.; et al. Skeletal involution by age-associated oxidative stress and its acceleration by loss of sex steroids. J. Biol. Chem. 2007, 282, 27285–27297. [Google Scholar] [CrossRef] [PubMed]
- Callaway, D.A.; Jiang, J.X. Reactive oxygen species and oxidative stress in osteoclastogenesis, skeletal aging and bone diseases. J. Bone Miner. Metab. 2015, 33, 359–370. [Google Scholar] [CrossRef] [PubMed]
- Manolagas, S.C. From estrogen-centric to aging and oxidative stress: A revised perspective of the pathogenesis of osteoporosis. Endocr. Rev. 2010, 31, 266–300. [Google Scholar] [CrossRef] [PubMed]
- Ochoa, J.J.; Quiles, J.L.; Huertas, J.R.; Mataix, J. Coenzyme Q10 protects from aging-related oxidative stress and improves mitochondrial function in heart of rats fed a polyunsaturated fatty acid (PUFA)-rich diet. J. Gerontol. Biol. Sci. Med. Sci. 2005, 60, 970–975. [Google Scholar] [CrossRef]
- Pasco, J.A.; Henry, M.J.; Wilkinson, L.K.; Nicholson, G.C.; Schneider, H.G.; Kotowicz, M.A. Antioxidant vitamin supplements and markers of bone turnover in a community sample of nonsmoking women. J. Womens Health 2006, 15, 295–300. [Google Scholar] [CrossRef] [PubMed]
- Sanders, K.M.; Kotowicz, M.A.; Nicholson, G.C. Potential role of the antioxidant N-acetylcysteine in slowing bone resorption in early post-menopausal women: A pilot study. Transl. Res. J. Lab. Clin. Med. 2007, 150, 215. [Google Scholar] [CrossRef] [PubMed]
- Ayaz, M.; Tuncer, S.; Okudan, N.; Gokbel, H. Coenzyme Q(10) and alpha-lipoic acid supplementation in diabetic rats: Conduction velocity distributions. Methods Find. Exp. Clin. Pharmacol. 2008, 30, 367–374. [Google Scholar] [CrossRef] [PubMed]
- Shetty, K. The role of salivary cytokines in the etiology and progression of periodontal disease. Gen. Dent. 2006, 54, 140–143. [Google Scholar] [PubMed]
- Yan, J.; Fujii, K.; Yao, J.; Kishida, H.; Hosoe, K.; Sawashita, J.; Takeda, T.; Mori, M.; Higuchi, K. Reduced coenzyme Q10 supplementation decelerates senescence in SAMP1 mice. Exp. Gerontol. 2006, 41, 130–140. [Google Scholar] [CrossRef] [PubMed]
- López-Lluch, G.; Rodríguez-Aguilera, J.C.; Santos-Ocaña, C.; Navas, P. Is coenzyme Q a key factor in aging? Mech. Ageing Dev. 2010, 131, 225–235. [Google Scholar] [CrossRef] [PubMed]
- Ernster, L.; Dallner, G. Biochemical, physiological and medical aspects of Ubiquinone function. Biochim. Biophys. Acta 1995, 1271, 195–204. [Google Scholar] [CrossRef]
- Frei, B.; Kim, M.C.; Ames, B.N. Ubiquinol-10 is an effective lipid-soluble antioxidant at physiological concentrations. Proc. Natl. Acad. Sci. USA 1990, 87, 4879–4883. [Google Scholar] [CrossRef] [PubMed]
- Bentinger, M.; Tekle, M.; Dallner, G. Coenzyme Q–biosynthesis and functions. Biochem. Biophys. Res. Commun. 2010, 396, 74–79. [Google Scholar] [CrossRef] [PubMed]
- Mitchell, P. Protonmotive redox mechanism of the cytochrome b-c1 complex in the respiratory chain: Protonmotive ubiquinone cycle. FEBS Lett. 1975, 56, 1–6. [Google Scholar] [CrossRef]
- Varela-López, A.; Giampieri, F.; Battino, M.; Quiles, J.L. Coenzyme Q and Its Role in the Dietary Therapy against Aging. Molecules 2016, 21, 373. [Google Scholar] [CrossRef] [PubMed]
- Genova, M.L.; Lenaz, G. New developments on the functions of coenzyme Q in mitochondria. Biofactors 2011, 37, 330–354. [Google Scholar] [CrossRef] [PubMed]
- Quiles, J.L.; Ochoa, J.J.; Huertas, J.R.; Mataix, J. Coenzyme Q supplementation protects from age-related DNA double-strand breaks and increases lifespan in rats fed on a PUFA-rich diet. Exp. Gerontol. 2004, 39, 189–194. [Google Scholar] [CrossRef] [PubMed]
- Ochoa, J.J.; Quiles, J.L.; López-Frías, M.; Huertas, J.R.; Mataix, J. Effect of lifelong coenzyme Q10 supplementation on age-related oxidative stress and mitochondrial function in liver and skeletal muscle of rats fed on a polyunsaturated fatty acid (PUFA)-rich diet. J. Gerontol. Biol. Sci. Med. Sci. 2007, 62, 1211–1218. [Google Scholar] [CrossRef]
- Quiles, J.L.; Pamplona, R.; Ramirez-Tortosa, M.C.; Naudí, A.; Portero-Otin, M.; Araujo-Nepomuceno, E.; López-Frías, M.; Battino, M.; Ochoa, J.J. Coenzyme Q addition to an n-6 PUFA-rich diet resembles benefits on age-related mitochondrial DNA deletion and oxidative stress of a MUFA-rich diet in rat heart. Mech. Ageing Dev. 2010, 131, 38–47. [Google Scholar] [CrossRef] [PubMed]
- Ochoa, J.J.; Pamplona, R.; Ramirez-Tortosa, M.C.; Granados-Principal, S.; Perez-Lopez, P.; Naudí, A.; Portero-Otin, M.; López-Frías, M.; Battino, M.; Quiles, J.L. Age-related changes in brain mitochondrial DNA deletion and oxidative stress are differentially modulated by dietary fat type and coenzyme Q10. Free Radic. Biol. Med. 2011, 50, 1053–1064. [Google Scholar] [CrossRef] [PubMed]
- Varela-Lopez, A.; Bullon, P.; Battino, M.; Ramirez-Tortosa, M.C.; Ochoa, J.J.; Cordero, M.D.; Ramirez-Tortosa, C.L.; Rubini, C.; Zizzi, A.; Quiles, J.L. Coenzyme Q protects against age-related alveolar bone loss associated to n-6 PUFA rich-diets by modulating mitochondrial mechanisms. J. Gerontol. A Biol. Sci. Med. Sci. 2015, 71, 593–600. [Google Scholar] [CrossRef] [PubMed]
- Reeves, P.G. Components of the AIN-93 diets as improvements in the AIN-76A diet. J. Nutr. 1997, 127, 838S–841S. [Google Scholar] [PubMed]
- Sengupta, P. The Laboratory Rat: Relating Its Age with Human’s. Int. J. Prev. Med. 2013, 4, 624–630. [Google Scholar] [PubMed]
- Lepage, G.; Roy, C.C. Direct transesterification of all classes of lipids in a one-step reaction. J. Lipid Res. 1986, 27, 114–120. [Google Scholar] [PubMed]
- Quiles, J.L.; Huertas, J.R.; Mañas, M.; Ochoa, J.J.; Battino, M.; Mataix, J. Oxidative stress induced by exercise and dietary fat modulates the coenzyme Q and vitamin A balance between plasma and mitochondria. Int. J. Vitam. Nutr. Res. 1999, 69, 243–249. [Google Scholar] [CrossRef] [PubMed]
- MacCrehan, W.A. Determination of retinol, alpha-tocopherol, and beta-carotene in serum by liquid chromatography. Methods Enzymol. 1990, 189, 172–181. [Google Scholar] [PubMed]
- Quiles, J.L.; Ochoa, J.J.; Ramirez-Tortosa, M.C.; Linde, J.; Bompadre, S.; Battino, M.; Narbona, E.; Maldonado, J.; Mataix, J. Coenzyme Q concentration and total antioxidant capacity of human milk at different stages of lactation in mothers of preterm and full-term infants. Free Radic. Res. 2006, 40, 199–206. [Google Scholar] [CrossRef] [PubMed]
- Collins, A.R.; Dusinská, M.; Gedik, C.M.; Stĕtina, R. Oxidative damage to DNA: Do we have a reliable biomarker? Environ. Health Perspect. 1996, 104, 465–469. [Google Scholar] [CrossRef] [PubMed]
- Quiles, J.L.; Ochoa, J.J.; Ramirez-Tortosa, C.; Battino, M.; Huertas, J.R.; Martín, Y.; Mataix, J. Dietary fat type (virgin olive vs. sunflower oils) affects age-related changes in DNA double-strand-breaks, antioxidant capacity and blood lipids in rats. Exp. Gerontol. 2004, 39, 1189–1198. [Google Scholar] [CrossRef] [PubMed]
- Quiles, J.L.; Martínez, E.; Ibáñez, S.; Ochoa, J.J.; Martín, Y.; López-Frías, M.; Huertas, J.R.; Mataix, J. Ageing-related tissue-specific alterations in mitochondrial composition and function are modulated by dietary fat type in the rat. J. Bioenerg. Biomembr. 2002, 34, 517–524. [Google Scholar] [CrossRef] [PubMed]
- Quiles, J.L.; Huertas, J.R.; Mañas, M.; Battino, M.; Mataix, J. Physical exercise affects the lipid profile of mitochondrial membranes in rats fed with virgin olive oil or sunflower oil. Br. J. Nutr. 1999, 81, 21–24. [Google Scholar] [PubMed]
- Kanis, J.A.; Burlet, N.; Cooper, C.; Delmas, P.D.; Reginster, J.-Y.; Borgstrom, F.; Rizzoli, R.; and on behalf of the Scientific Advisory Board of the European Society for Clinical and Economic Aspects of Osteoporosis and Osteoarthritis (ESCEO) and the Committee of Scientific Advisors of the International Osteoporosis Foundation (IOF). European guidance for the diagnosis and management of osteoporosis in postmenopausal women. Osteoporos. Int. 2008, 19, 399–428. [Google Scholar] [CrossRef] [PubMed]
- World Health Organization (WHO). Assessment of osteoporosis at the primary health care level. Summary Report of a WHO Scientific Group 2007; WHO: Geneva, Switzerland.
- Kanis, J.A.; on behalf of the World Health Organization Scientific Group. Assessment of Osteoporosis at the Primary Health-Care Level; WHO Collaborating Centre, University of Sheffield: Sheffield, UK, 2007. [Google Scholar]
- Marshall, D.; Johnell, O.; Wedel, H. Meta-analysis of how well measures of bone mineral density predict occurrence of osteoporotic fractures. Br. Med. J. 1996, 312, 1254–1259. [Google Scholar] [CrossRef]
- Kanis, J.A. Diagnosis of osteoporosis and assessment of fracture risk. Lancet 2002, 359, 1929–1936. [Google Scholar] [CrossRef]
- Zhang, X.-X.; Qian, K.-J.; Zhang, Y.; Wang, Z.-J.; Yu, Y.-B.; Liu, X.-J.; Cao, X.-T.; Liao, Y.-H.; Zhang, D.-Y. Efficacy of coenzyme Q10 in mitigating spinal cord injury-induced osteoporosis. Mol. Med. Rep. 2015, 12, 3909–3915. [Google Scholar] [CrossRef] [PubMed]
- Nair, A.B.; Jacob, S. A simple practice guide for dose conversion between animals and human. J. Basic Clin. Pharm. 2016, 7, 27–31. [Google Scholar] [CrossRef] [PubMed]
- Miles, M.V.; Horn, P.; Miles, L.; Tang, P.; Steele, P.; DeGrauw, T. Bioequivalence of coenzyme Q10 from over the counter supplements. Nutr. Res. 2002, 22, 919–929. [Google Scholar] [CrossRef]
- Hosoe, K.; Kitano, M.; Kishida, H.; Kubo, H.; Fuji, K.; Kitahara, M. Study on safety and bioavailability of ubiquinol (Kaneka QH TM) after single and 4-week multiple oral administration to healthy volunteers. Regul. Toxicol. Pharmacol. 2007, 47, 19–28. [Google Scholar] [CrossRef] [PubMed]
- Evans, M.; Baisley, J.; Barss, S.; Guthrie, N. A randomized, double-blind trial on the bioavailability of two CoQ10 formulations. J. Funct. Food 2009, 1, 65–73. [Google Scholar] [CrossRef]
- Van Papendorp, D.H.; Coetzer, H.; Kruger, M.C. Biochemical profile of osteoporotic patients on essential fatty acid supplementation. Nutr. Res. 1995, 15, 325–334. [Google Scholar] [CrossRef]
- Shen, C.-L.; Yeh, J.K.; Rasty, J.; Li, Y.; Watkins, B.A. Protective effect of dietary long-chain n-3 polyunsaturated fatty acids on bone loss in gonad-intact middle-aged male rats. Br. J. Nutr. 2006, 95, 462–468. [Google Scholar] [CrossRef] [PubMed]
- Subraman, V.; Thiyagarajan, M.; Malathi, N.; Rajan, S.T. OPN–Revisited. J. Clin. Diagn. Res. JCDR 2015, 9, ZE10–ZE13. [Google Scholar] [CrossRef] [PubMed]
- Wang, K.X.; Shi, Y.F.; Ron, Y.; Kazanecki, C.C.; Denhardt, D.T. Plasma osteopontin modulates chronic restraint stress-induced thymus atrophy by regulating stress hormones: Inhibition by an anti-osteopontin monoclonal antibody. J. Immunol. 2009, 182, 2485–2491. [Google Scholar] [CrossRef] [PubMed]
- Scatena, M.; Liaw, L.; Giachelli, C.M. Osteopontin. Arterioscler. Thromb. Vasc. Biol. 2007, 27, 2302–2309. [Google Scholar] [CrossRef] [PubMed]
- Standal, T.; Borset, M.; Sundan, A. Role of osteopontin in adhesion, migration, cell survival and bone remodeling. Exp. Oncol. 2004, 26, 179–184. [Google Scholar] [PubMed]
- Anborgh, P.H.; Mutrie, J.C.; Tuck, A.B.; Chambers, A.F. Pre- and post-translational regulation of osteopontin in cancer. J. Cell Commun. Signal. 2011, 5, 111–122. [Google Scholar] [CrossRef] [PubMed]
- Das, U.N. Essential fatty acids and osteoporosis. Nutrition 2000, 16, 386–390. [Google Scholar] [CrossRef]
- Altindag, O.; Erel, O.; Soran, N.; Celik, H.; Selek, S. Total oxidative/anti-oxidative status and relation to bone mineral density in osteoporosis. Rheumatol. Int. 2008, 28, 317–321. [Google Scholar] [CrossRef] [PubMed]
- Basu, S.; Michaëlsson, K.; Olofsson, H.; Johansson, S.; Melhus, H. Association between oxidative stress and bone mineral density. Biochem. Biophys. Res. Commun. 2001, 288, 275–279. [Google Scholar] [CrossRef] [PubMed]
- Cervellati, C.; Bonaccorsi, G.; Cremonini, E.; Bergamini, C.M.; Patella, A.; Castaldini, C.; Ferrazzini, S.; Capatti, A.; Picarelli, V.; Pansini, F.S.; et al. Bone mass density selectively correlates with serum markers of oxidative damage in post-menopausal women. Clin. Chem. Lab. Med. 2013, 51, 333–338. [Google Scholar] [CrossRef] [PubMed]
- Maggio, D.; Barabani, M.; Pierandrei, M.; Polidori, M.C.; Catani, M.; Mecocci, P.; Senin, U.; Pacifici, R.; Cherubini, A. Marked decrease in plasma antioxidants in aged osteoporotic women: Results of a cross-sectional study. J. Clin. Endocrinol. Metab. 2003, 88, 1523–1527. [Google Scholar] [CrossRef] [PubMed]
- Sharma, T.; Islam, N.; Ahmad, J.; Akhtar, N.; Beg, M. Correlation between bone mineral density and oxidative stress in postmenopausal women. Indian J. Endocrinol. Metab. 2015, 19, 491–497. [Google Scholar] [PubMed]
- Yubero-Serrano, E.M.; Gonzalez-Guardia, L.; Rangel-Zuñiga, O.; Delgado-Lista, J.; Gutierrez-Mariscal, F.M.; Perez-Martinez, P.; Delgado-Casado, N.; Cruz-Teno, C.; Tinahones, F.J.; Villalba, J.M.; et al. Mediterranean Diet Supplemented With Coenzyme Q10 Modifies the Expression of Proinflammatory and Endoplasmic Reticulum Stress–Related Genes in Elderly Men and Women. J. Gerontol. Biol. Sci. Med. Sci. 2012, 67A, 3–10. [Google Scholar] [CrossRef] [PubMed]
- Gutierrez-Mariscal, F.M.; Perez-Martinez, P.; Delgado-Lista, J.; Yubero-Serrano, E.M.; Camargo, A.; Delgado-Casado, N.; Cruz-Teno, C.; Santos-Gonzalez, M.; Rodriguez-Cantalejo, F.; Castaño, J.P.; et al. Mediterranean diet supplemented with coenzyme Q10 induces postprandial changes in p53 in response to oxidative DNA damage in elderly subjects. Age Drodr. 2011, 34, 389–403. [Google Scholar] [CrossRef] [PubMed]
- Isales, C.M.; Zaidi, M.; Blair, H.C. ACTH is a novel regulator of bone mass. Ann. N. Y. Acad. Sci. 2010, 1192, 110–116. [Google Scholar] [CrossRef] [PubMed]
- Jilka, R.L.; Weinstein, R.S.; Bellido, T.; Roberson, P.; Parfitt, A.M.; Manolagas, S.C. Increased bone formation by prevention of osteoblast apoptosis with parathyroid hormone. J. Clin. Investig. 1999, 104, 439–446. [Google Scholar] [CrossRef] [PubMed]
- Chen, A.B.; Minami, K.; Raposo, J.F.; Matsuura, N.; Koizumi, M.; Yokota, H.; Ferreira, H.G. Transient modulation of calcium and parathyroid hormone stimulates bone formation. Endocrine 2016, 54, 232–240. [Google Scholar] [CrossRef] [PubMed]
- Mancini, T.; Doga, M.; Mazziotti, G.; Giustina, A. Cushing’s syndrome and bone. Pituitary 2004, 7, 249–252. [Google Scholar] [CrossRef] [PubMed]
- Silverman, S.L.; Lane, N.E. Glucocorticoid-induced osteoporosis. Curr. Osteoporos. Rep. 2009, 7, 23–26. [Google Scholar] [CrossRef] [PubMed]
- Boden, S.D.; Hair, G.; Titus, L.; Racine, M.; McCuaig, K.; Wozney, J.M.; Nanes, M.S. Glucocorticoid-induced differentiation of fetal rat calvarial osteoblasts is mediated by bone morphogenetic protein-6. Endocrinology 1997, 138, 2820–2828. [Google Scholar] [CrossRef] [PubMed]
- Zhong, Q.; Sridhar, S.; Ruan, L.; Ding, K.-H.; Xie, D.; Insogna, K.; Kang, B.; Xu, J.; Bollag, R.J.; Isales, C.M. Multiple melanocortin receptors are expressed in bone cells. Bone 2005, 36, 820–831. [Google Scholar] [CrossRef] [PubMed]
- Mancini, A.; Leone, E.; Silvestrini, A.; Festa, R.; Di Donna, V.; De Marinis, L.; Pontecorvi, A.; Littarru, G.P.; Meucci, E. Evaluation of antioxidant systems in pituitary-adrenal axis diseases. Pituitary 2010, 13, 138–145. [Google Scholar] [CrossRef] [PubMed]
- Mancini, A.; Bianchi, A.; Fusco, A.; Sacco, E.; Leone, E.; Tilaro, L.; Porcelli, T.; Giampietro, A.; Principi, F.; De Marinis, L.; et al. Coenzyme Q10 evaluation in pituitary-adrenal axis disease: Preliminary data. BioFactors Oxf. Engl. 2005, 25, 197–199. [Google Scholar] [CrossRef]
- Nakagawa, N.; Kinosaki, M.; Yamaguchi, K.; Shima, N.; Yasuda, H.; Yano, K.; Morinaga, T.; Higashio, K. RANK is the essential signaling receptor for osteoclast differentiation factor in osteoclastogenesis. Biochem. Biophys. Res. Commun. 1998, 253, 395–400. [Google Scholar] [CrossRef] [PubMed]
- Yasuda, H.; Shima, N.; Nakagawa, N.; Yamaguchi, K.; Kinosaki, M.; Goto, M.; Mochizuki, S.I.; Tsuda, E.; Morinaga, T.; Udagawa, N.; et al. A novel molecular mechanism modulating osteoclast differentiation and function. Bone 1999, 25, 109–113. [Google Scholar] [CrossRef]
- Raggatt, L.J.; Partridge, N.C. Cellular and molecular mechanisms of bone remodeling. J. Biol. Chem. 2010, 285, 25103–25108. [Google Scholar] [CrossRef] [PubMed]
- Kerschan-Schindl, K.; Wendlova, J.; Kudlacek, S.; Gleiss, A.; Woloszczuk, W.; Pietschmann, P. Serum levels of receptor activator of nuclear factor kappaB ligand (RANKL) in healthy women and men. Exp. Clin. Endocrinol. Diabetes Off. J. Ger. Soc. Endocrinol. Ger. Diabetes Assoc. 2008, 116, 491–495. [Google Scholar] [CrossRef] [PubMed]
- Liu, J.M.; Zhao, H.Y.; Ning, G.; Zhao, Y.J.; Chen, Y.; Zhang, Z.; Sun, L.H.; Xu, M.-Y.; Chen, J.L. Relationships between the changes of serum levels of OPG and RANKL with age, menopause, bone biochemical markers and bone mineral density in Chinese women aged 20–75. Calcif. Tissue Int. 2005, 76, 1–6. [Google Scholar] [CrossRef] [PubMed]
- Bullon, P.; Battino, M.; Varela-Lopez, A.; Perez-Lopez, P.; Granados-Principal, S.; Ramirez-Tortosa, M.C.; Ochoa, J.J.; Cordero, M.D.; Gonzalez-Alonso, A.; Ramirez-Tortosa, C.L.; et al. Diets based on virgin olive oil or fish oil but not on sunflower oil prevent age-related alveolar bone resorption by mitochondrial-related mechanisms. PLoS ONE 2013, 8, e74234. [Google Scholar] [CrossRef] [PubMed]
- Moon, H.-J.; Ko, W.-K.; Han, S.W.; Kim, D.-S.; Hwang, Y.-S.; Park, H.-K.; Kwon, I.K. Antioxidants, like coenzyme Q10, selenite, and curcumin, inhibited osteoclast differentiation by suppressing reactive oxygen species generation. Biochem. Biophys. Res. Commun. 2012, 418, 247–253. [Google Scholar] [CrossRef] [PubMed]
- Moon, H.-J.; Ko, W.-K.; Jung, M.-S.; Kim, J.H.; Lee, W.-J.; Park, K.-S.; Heo, J.-K.; Bang, J.B.; Kwon, I.K. Coenzyme Q10 regulates osteoclast and osteoblast differentiation. J. Food Sci. 2013, 78, H785–H891. [Google Scholar] [CrossRef] [PubMed]
- Huertas, J.R.; Martinez-Velasco, E.; Ibáñez, S.; López-Frias, M.; Ochoa, J.J.; Quiles, J.; Parenti Castelli, G.; Mataix, J.; Lenaz, G. Virgin olive oil and coenzyme Q10 protect heart mitochondria from peroxidative damage during aging. Biofactors 1999, 9, 337–343. [Google Scholar] [CrossRef] [PubMed]
- Ochoa, J.J.; Quiles, J.L.; Ibáñez, S.; Martínez, E.; López-Frías, M.; Huertas, J.R.; Mataix, J. Aging-related oxidative stress depends on dietary lipid source in rat postmitotic tissues. J. Bioenerg. Biomembr. 2003, 35, 267–275. [Google Scholar] [CrossRef] [PubMed]
- Roche, E.; Ramírez-Tortosa, C.L.; Arribas, M.I.; Ochoa, J.J.; Sirvent-Belando, J.E.; Battino, M.; Ramírez-Tortosa, M.C.; González-Alonso, A.; Pérez-López, M.P.; Quiles, J.L. Comparative analysis of pancreatic changes in aged rats fed life long with sunflower, fish, or olive oils. J. Gerontol. A Biol. Sci. Med. Sci. 2014, 69, 934–944. [Google Scholar] [CrossRef] [PubMed]
- Fatokun, A.A.; Stone, T.W.; Smith, R.A. Responses of differentiated MC3T3-E1 osteoblast-like cells to reactive oxygen species. Eur. J. Pharmacol. 2008, 587, 35–41. [Google Scholar] [CrossRef] [PubMed]
- Bethel, M.; Chitteti, B.R.; Srour, E.F.; Kacena, M.A. The changing balance between osteoblastogenesis and adipogenesis in aging and its impact on hematopoiesis. Curr. Osteoporos. Rep. 2013, 11, 99–106. [Google Scholar] [CrossRef] [PubMed]
© 2017 by the authors. Licensee MDPI, Basel, Switzerland. This article is an open access article distributed under the terms and conditions of the Creative Commons Attribution (CC BY) license ( http://creativecommons.org/licenses/by/4.0/).




