The Cross-Sectional Association between Consumption of the Recommended Five Food Group “Grain (Cereal)”, Dietary Fibre and Anthropometric Measures among Australian Adults
Abstract
:1. Introduction
2. Materials and Methods
2.1. Study Population
2.2. Discretionary Foods
2.3. Grain Definition and Serves Calculation
2.4. Exposure Variables
2.5. Under-Reporters
2.6. Statistical Analysis
3. Results
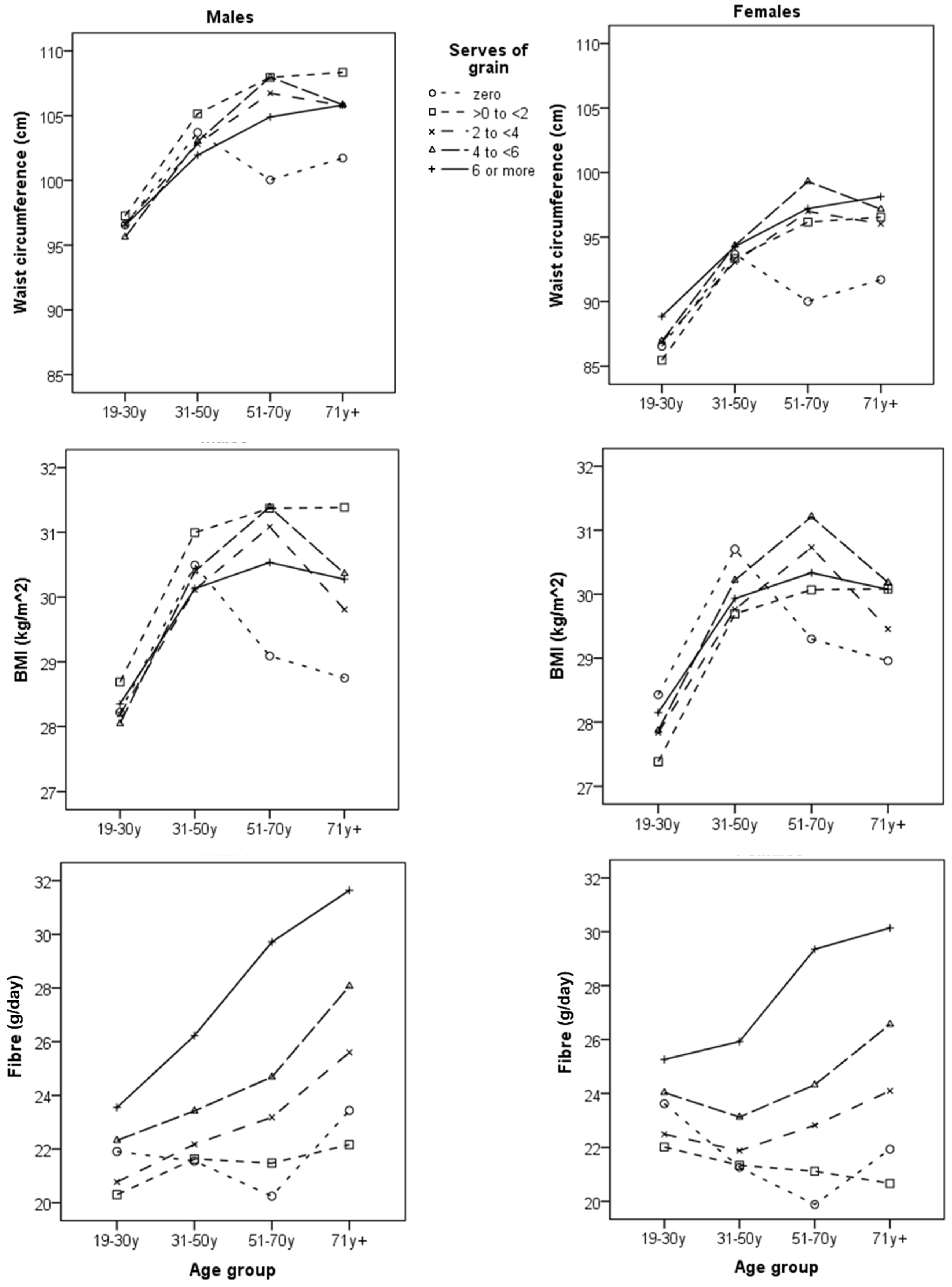
3.1. Descriptive
3.2. Modelling Results
4. Discussion
4.1. Core Grain Foods and Fibre
4.2. Core Grain Foods and Anthropometric Measures
5. Conclusions
Acknowledgments
Author Contributions
Conflicts of Interest
References
- World Health Organisation. Obesity and Overweight. Available online: http://www.who.int/mediacentre/factsheets/fs311/en/ (accessed on 30 November 2015).
- National Health and Medical Research Council. Australian Dietary Guidelines; National Health and Medical Research Council: Canberra, Australia, 2013.
- Australian Bureau of Statistics. Australian Health Survey: Nutrition First Results-Foods and Nutrients, 2011–2012; Australian Bureau of Statistics: Canberra, Australia, 2014.
- Harland, J.I.; Garton, L.E. Whole-grain intake as a marker of healthy body weight and adiposity. Public Health Nutr. 2008, 11, 554–563. [Google Scholar] [CrossRef] [PubMed]
- Mozaffarian, D.; Hao, T.; Rimm, E.B.; Willett, W.C.; Hu, F.B. Changes in diet and lifestyle and long-term weight gain in women and men. N. Engl. J. Med. 2011, 364, 2392–2404. [Google Scholar] [CrossRef] [PubMed]
- Williams, P.G.; Grafenauer, S.J.; O’Shea, J.E. Cereal grains, legumes, and weight management: A comprehensive review of the scientific evidence. Nutr. Rev. 2008, 66, 171–182. [Google Scholar] [CrossRef] [PubMed]
- Du, H.; van der, A.D.; Boshuizen, H.C.; Forouhi, N.G.; Wareham, N.J.; Halkjaer, J.; Tjonneland, A.; Overvad, K.; Jakobsen, M.U.; Boeing, H.; et al. Dietary fiber and subsequent changes in body weight and waist circumference in European men and women. Am. J. Clin. Nutr. 2010, 91, 329–336. [Google Scholar] [CrossRef] [PubMed]
- Koh-Banerjee, P.; Franz, M.; Sampson, L.; Liu, S.; Jacobs, D.R., Jr.; Spiegelman, D.; Willett, W.; Rimm, E. Changes in whole-grain, bran, and cereal fiber consumption in relation to 8-y weight gain among men. Am. J. Clin. Nutr. 2004, 80, 1237–1245. [Google Scholar] [PubMed]
- Liu, S.; Willett, W.C.; Manson, J.E.; Hu, F.B.; Rosner, B.; Colditz, G. Relation between changes in intakes of dietary fiber and grain products and changes in weight and development of obesity among middle-aged women. Am. J. Clin. Nutr. 2003, 78, 920–927. [Google Scholar] [PubMed]
- McKeown, N.M.; Troy, L.M.; Jacques, P.F.; Hoffmann, U.; O’Donnell, C.J.; Fox, C.S. Whole- and refined-grain intakes are differentially associated with abdominal visceral and subcutaneous adiposity in healthy adults: The Framingham Heart Study. Am. J. Clin. Nutr. 2010, 92, 1165–1171. [Google Scholar] [CrossRef] [PubMed]
- O’Neil, C.E.; Zanovec, M.; Cho, S.S.; Nicklas, T.A. Whole grain and fiber consumption are associated with lower body weight measures in US adults: National Health and Nutrition Examination Survey 1999–2004. Nutr. Res. 2010, 30, 815–822. [Google Scholar] [CrossRef] [PubMed]
- Mann, K.D.; Pearce, M.S.; McKevith, B.; Thielecke, F.; Seal, C.J. Whole grain intake and its association with intakes of other foods, nutrients and markers of health in the National Diet and Nutrition Survey rolling programme 2008–11. Br. J. Nutr. 2015, 113, 1595–1602. [Google Scholar] [CrossRef] [PubMed]
- Liu, S.; Stampfer, M.J.; Hu, F.B.; Giovannucci, E.; Rimm, E.; Manson, J.E.; Hennekens, C.H.; Willett, W.C. Whole-grain consumption and risk of coronary heart disease: Results from the Nurses’ Health Study. Am. J. Clin. Nutr. 1999, 70, 412–419. [Google Scholar] [PubMed]
- Livesey, G.; Taylor, R.; Hulshof, T.; Howlett, J. Glycemic response and health—A systematic review and meta-analysis: Relations between dietary glycemic properties and health outcomes. Am. J. Clin. Nutr. 2008, 87, 258S–268S. [Google Scholar] [PubMed]
- Van de Vijver, L.P.; van den Bosch, L.M.; van den Brandt, P.A.; Goldbohm, R.A. Whole-grain consumption, dietary fibre intake and body mass index in the Netherlands cohort study. Eur. J. Clin. Nutr. 2009, 63, 31–38. [Google Scholar] [CrossRef] [PubMed]
- Wu, H.; Flint, A.J.; Qi, Q.; van Dam, R.M.; Sampson, L.A.; Rimm, E.B.; Holmes, M.D.; Willett, W.C.; Hu, F.B.; Sun, Q. Association between dietary whole grain intake and risk of mortality: Two large prospective studies in US men and women. JAMA Intern. Med. 2015, 175, 373–384. [Google Scholar] [CrossRef] [PubMed]
- Liese, A.D.; Roach, A.K.; Sparks, K.C.; Marquart, L.; D’Agostino, R.B., Jr.; Mayer-Davis, E.J. Whole-grain intake and insulin sensitivity: The Insulin Resistance Atherosclerosis Study. Am. J. Clin. Nutr. 2003, 78, 965–971. [Google Scholar] [PubMed]
- Hallfrisch, J.; Facn; Behall, K.M. Mechanisms of the effects of grains on insulin and glucose responses. J. Am. Coll. Nutr. 2000, 19, 320S–325S. [Google Scholar] [CrossRef] [PubMed]
- Ferruzzi, M.G.; Jonnalagadda, S.S.; Liu, S.; Marquart, L.; McKeown, N.; Reicks, M.; Riccardi, G.; Seal, C.; Slavin, J.; Thielecke, F.; et al. Developing a standard definition of whole-grain foods for dietary recommendations: Summary report of a multidisciplinary expert roundtable discussion. Adv. Nutr. 2014, 5, 164–176. [Google Scholar] [CrossRef] [PubMed]
- Korczak, R.; Marquart, L.; Slavin, J.L.; Ringling, K.; Chu, Y.; O’Shea, M.; Harriman, C.; Toups, K.; de Vries, J.; Jacques, P.; et al. Thinking critically about whole-grain definitions: Summary report of an interdisciplinary roundtable discussion at the 2015 Whole Grains Summit. Am. J. Clin. Nutr. 2016, 104, 1508–1514. [Google Scholar] [CrossRef] [PubMed]
- O’Neil, C.E.; Nicklas, T.A.; Zanovec, M.; Cho, S. Whole-grain consumption is associated with diet quality and nutrient intake in adults: The National Health and Nutrition Examination Survey, 1999–2004. J. Am. Diet. Assoc. 2010, 110, 1461–1468. [Google Scholar] [CrossRef] [PubMed]
- Food Standards Australia New Zealand. AUSNUT 2011–13-Australian Food, Supplement and Nutrient Database for Estimation of Population Nutrient Intakes; Food Standards Australia New Zealand: Canberra, Australia, 2014.
- Australian Bureau of Statistics. Australian Health Survey: User’s Guide, 2011–13. Available online: http://www.abs.gov.au/ausstats/abs@.nsf/Latestproducts/4363.0.55.001Main%20Features12011-13?opendocument&tabname=Summary&prodno=4363.0.55.001&issue=2011-13&num=&view= (accessed on 15 October 2015).
- World Health Organisation. Obesity: Preventing and Managing the Global Epidemic. Report of a WHO Consultation. Available online: http://www.who.int/nutrition/publications/obesity/WHO_TRS_894/en/ (accessed on 15 October 2015).
- World Health Organisation. Obesity: Preventing and Managing the Global Epidemic; WHO Technical Report Series No. 894; World Health Organization: Geneva, Switserland, 2000. [Google Scholar]
- Goldberg, G.R.; Black, A.E.; Jebb, S.A.; Cole, T.J.; Murgatroyd, P.R.; Coward, W.A.; Prentice, A.M. Critical evaluation of energy intake data using fundamental principles of energy physiology: 1. Derivation of cut-off limits to identify under-recording. Eur. J. Clin. Nutr. 1991, 45, 569–581. [Google Scholar] [PubMed]
- Ministry of Health. NZ Food: NZ People. Key Results of the 1997 National Nutrition Survey; Ministry of Health: Wellington, New Zealand, 1999.
- King, D.E.; Mainous, A.G., 3rd; Lambourne, C.A. Trends in dietary fiber intake in the United States, 1999–2008. J. Acad. Nutr. Diet. 2012, 112, 642–648. [Google Scholar] [CrossRef] [PubMed]
- O’Neil, C.E.; Keast, D.R.; Fulgoni, V.L.; Nicklas, T.A. Food sources of energy and nutrients among adults in the US: NHANES 2003–2006. Nutrients 2012, 4, 2097–2120. [Google Scholar] [CrossRef] [PubMed]
- Mishra, G.D.; Schoenaker, D.A.; Mihrshahi, S.; Dobson, A.J. How do women’s diets compare with the new Australian dietary guidelines? Public Health Nutr. 2015, 18, 218–225. [Google Scholar] [CrossRef] [PubMed]
- Golley, S.; Corsini, N.; Topping, D.; Morell, M.; Mohr, P. Motivations for avoiding wheat consumption in Australia: Results from a population survey. Public Health Nutr. 2015, 18, 490–499. [Google Scholar] [CrossRef] [PubMed]
- Biesiekierski, J.R.; Newnham, E.D.; Shepherd, S.J. Self-diagnosis of non-coeliac gluten intolerance by Australian adults: Failure to exclude coeliac disease or benefit from a gluten-free diet. J. Gastroenterol. Hepatol. 2011, 26, 70. [Google Scholar]
- Shepherd, S.J.; Gibson, P.R. Nutritional inadequacies of the gluten-free diet in both recently-diagnosed and long-term patients with coeliac disease. J. Hum. Nutr. Diet. 2013, 26, 349–358. [Google Scholar] [CrossRef] [PubMed]
- Wild, D.; Robins, G.G.; Burley, V.J.; Howdle, P.D. Evidence of high sugar intake, and low fibre and mineral intake, in the gluten-free diet. Aliment. Pharmacol. Ther. 2010, 32, 573–581. [Google Scholar] [CrossRef] [PubMed]
- Albertson, A.M.; Reicks, M.; Joshi, N.; Gugger, C.K. Whole grain consumption trends and associations with body weight measures in the United States: Results from the cross sectional National Health and Nutrition Examination Survey 2001–2012. Nutr. J. 2016, 15, 8. [Google Scholar] [CrossRef] [PubMed]
- Giacco, R.; Della Pepa, G.; Luongo, D.; Riccardi, G. Whole grain intake in relation to body weight: From epidemiological evidence to clinical trials. Nutr. Metab. Cardiovasc. Dis. 2011, 21, 901–908. [Google Scholar] [CrossRef] [PubMed]
- Newby, P.K.; Maras, J.; Bakun, P.; Muller, D.; Ferrucci, L.; Tucker, K.L. Intake of whole grains, refined grains, and cereal fiber measured with 7-d diet records and associations with risk factors for chronic disease. Am. J. Clin. Nutr. 2007, 86, 1745–1753. [Google Scholar] [PubMed]
- Bazzano, L.A.; Song, Y.; Bubes, V.; Good, C.K.; Manson, J.E.; Liu, S. Dietary intake of whole and refined grain breakfast cereals and weight gain in men. Obes. Res. 2005, 13, 1952–1960. [Google Scholar] [CrossRef] [PubMed]
- Steffen, L.M.; Jacobs, D.R., Jr.; Stevens, J.; Shahar, E.; Carithers, T.; Folsom, A.R. Associations of whole-grain, refined-grain, and fruit and vegetable consumption with risks of all-cause mortality and incident coronary artery disease and ischemic stroke: The Atherosclerosis Risk in Communities (ARIC) Study. Am. J. Clin. Nutr. 2003, 78, 383–390. [Google Scholar] [PubMed]
- Pol, K.; Christensen, R.; Bartels, E.M.; Raben, A.; Tetens, I.; Kristensen, M. Whole grain and body weight changes in apparently healthy adults: A systematic review and meta-analysis of randomized controlled studies. Am. J. Clin. Nutr. 2013, 98, 872–884. [Google Scholar] [CrossRef] [PubMed]
- Seal, C.J.; Brownlee, I.A. Whole-grain foods and chronic disease: Evidence from epidemiological and intervention studies. Proc. Nutr. Soc. 2015, 74, 313–319. [Google Scholar] [CrossRef]
- Ross, A.B.; Kristensen, M.; Seal, C.J.; Jacques, P.; McKeown, N.M. Recommendations for reporting whole-grain intake in observational and intervention studies. Am. J. Clin. Nutr. 2015, 101, 903–907. [Google Scholar] [CrossRef] [PubMed]
- Williams, P.G. Evaluation of the evidence between consumption of refined grains and health outcomes. Nutr. Rev. 2012, 70, 80–99. [Google Scholar] [CrossRef] [PubMed]
- Howarth, N.C.; Saltzman, E.; Roberts, S.B. Dietary fiber and weight regulation. Nutr. Rev. 2001, 59, 129–139. [Google Scholar] [CrossRef] [PubMed]
- Pereira, M.A.; Ludwig, D.S. Dietary fiber and body-weight regulation. Observations and mechanisms. Pediatr. Clin. N. Am. 2001, 48, 969–980. [Google Scholar] [CrossRef]
- Slavin, J.L. Dietary fiber and body weight. Nutrition 2005, 21, 411–418. [Google Scholar] [CrossRef] [PubMed]
- McKeown, N.M.; Yoshida, M.; Shea, M.K.; Jacques, P.F.; Lichtenstein, A.H.; Rogers, G.; Booth, S.L.; Saltzman, E. Whole-grain intake and cereal fiber are associated with lower abdominal adiposity in older adults. J. Nutr. 2009, 139, 1950–1955. [Google Scholar] [CrossRef] [PubMed]
- Lairon, D.; Arnault, N.; Bertrais, S.; Planells, R.; Clero, E.; Hercberg, S.; Boutron-Ruault, M.C. Dietary fiber intake and risk factors for cardiovascular disease in French adults. Am. J. Clin. Nutr. 2005, 82, 1185–1194. [Google Scholar] [PubMed]
- Rosenheck, R. Fast food consumption and increased caloric intake: A systematic review of a trajectory towards weight gain and obesity risk. Obes. Rev. 2008, 9, 535–547. [Google Scholar] [CrossRef] [PubMed]
- Wang, L.; Gaziano, J.M.; Liu, S.; Manson, J.E.; Buring, J.E.; Sesso, H.D. Whole- and refined-grain intakes and the risk of hypertension in women. Am. J. Clin. Nutr. 2007, 86, 472–479. [Google Scholar] [PubMed]
- Lichtman, S.W.; Pisarska, K.; Berman, E.R.; Pestone, M.; Dowling, H.; Offenbacher, E.; Weisel, H.; Heshka, S.; Matthews, D.E.; Heymsfield, S.B. Discrepancy between self-reported and actual caloric intake and exercise in obese subjects. N. Engl. J. Med. 1992, 327, 1893–1898. [Google Scholar] [CrossRef] [PubMed]
- Jessri, M.; Lou, W.Y.; L’Abbe, M.R. Evaluation of different methods to handle misreporting in obesity research: Evidence from the Canadian National Nutrition Survey. Br. J. Nutr. 2016, 115, 147–159. [Google Scholar] [CrossRef] [PubMed]
- Galea, L.M.; Dalton, S.M.C.; Beck, E.J.; Cashman, C.J.; Probst, Y.C. Update of a database for estimation of whole grain content of foods in Australia. J. Food Compos. Anal. 2016, 50, 23–29. [Google Scholar] [CrossRef]

| Core Grain Food Serves | ||||||
|---|---|---|---|---|---|---|
| 0 (Avoiders) n = 535 | >0 to <2 n = 1809 | 2 to <4 n = 3148 | 4 to <6 n = 2052 | 6 or More n = 1798 | p * | |
| Sex (% male) | 46.4% | 37.3% | 42.0% | 55.6% | 68.3% | <0.001 |
| Age (years) | 43.6 ± 15.6 | 45.9 ± 17.2 | 48.6 ± 18.0 | 46.0 ± 17.5 | 43.8 ± 16.9 | <0.001 |
| % overweight or obese | 66.7% | 65.3% | 63.7% | 61.5% | 58.7% | <0.001 |
| % risk of metabolic complications 1 | 37.0% | 44.9% | 43.1% | 38.2% | 31.7% | <0.001 |
| Socio Economic Status (highest quintile) | 20.6% | 20.1% | 22.4% | 22.8% | 23.9% | 0.001 |
| Education (Post graduate or Bachelor) | 18.5% | 26.1% | 23.4% | 27.4% | 29.6% | <0.001 |
| Self-rated health status (excellent) | 15.9% | 16.0% | 15.6% | 16.8% | 21.7% | <0.001 |
| Physical activity level (high) | 16.5% | 13.1% | 13.2% | 14.6% | 20.5% | <0.001 |
| Dieting (for any reason) | 22.0% | 15.0% | 14.6% | 13.5% | 9.1% | <0.001 |
| Total energy intake (MJ/day) | 7.11 ± 4.14 | 7.25 ± 3.32 | 7.81 ± 3.05 | 9.25 ± 3.35 | 11.41 ± 3.63 | <0.001 |
| Discretionary energy intake (MJ) | 3.58 ± 3.12 | 3.04 ± 2.76 | 2.85 ± 2.34 | 3.12 ± 2.68 | 2.93 ± 2.53 | <0.001 |
| % of energy discretionary | 46.2 ± 28.1 | 37.5 ± 23.3 | 33.5 ± 19.7 | 30.5 ± 18.4 | 24.0 ± 16.0 | <0.001 |
| Fibre | 15.0 ± 10.5 | 17.5 ± 9.5 | 20.4 ± 9.9 | 24.9 ± 10.9 | 32.9 ± 13.8 | <0.001 |
| Core Grain Food serves | 0 | 1.35 ± 0.46 | 3.01 ± 0.56 | 4.92 ± 0.57 | 8.35 ± 2.41 | <0.001 |
| Usual fruit serves | 1.4 ± 1.2 | 1.6 ± 1.1 | 1.6 ± 1.1 | 1.6 ± 1.1 | 1.7 ± 1.2 | <0.001 |
| Usual vegetable serves | 2.2 ± 1.4 | 2.3 ± 1.4 | 2.4 ± 1.3 | 2.4 ± 1.3 | 2.4 ± 1.4 | 0.002 |
| Under-reporters | 44.3% | 35.0% | 25.7% | 12.8% | 4.4% | <0.001 |
| Core Grain Food Serves | p-Value * | p-Value for Trend ** | |||||
|---|---|---|---|---|---|---|---|
| 0 (Avoiders) n = 535 | >0 to <2 n = 1809 | 2 to <4 n = 3148 | 4 to <6 n = 2052 | 6 or More n = 1798 | |||
| Waist circumference (cm) | |||||||
| –Model 1 | 92.1 ± 0.9 | 94.4 ± 0.4 | 93.1 ± 0.3 | 92.9 ± 0.4 | 91.8 ± 0.4 | 0.001 | <0.001 |
| –Model 2 | 94.9 ± 0.9 | 97.6 ± 0.5 | 96.3 ± 0.4 | 96.6 ± 0.5 | 96.3 ± 0.5 | 0.022 | 0.30 |
| –Model 3 | 95.5 ± 0.9 | 98.8 ± 0.5 | 98.1 ± 0.4 | 98.8 ± 0.5 | 98.5 ± 0.5 | 0.006 | 0.53 |
| BMI (kg/m2) | |||||||
| –Model 1 | 27.4 ± 0.4 | 27.8 ± 0.2 | 27.2 ± 0.1 | 27.2 ± 0.1 | 26.7 ± 0.2 | <0.001 | <0.001 |
| –Model 2 | 28.8 ± 0.4 | 29.3 ± 0.2 | 28.7 ± 0.2 | 28.8 ± 0.2 | 28.6 ± 0.2 | 0.016 | 0.12 |
| –Model 3 | 29.2 ± 0.4 | 30.0 ± 0.2 | 29.6 ± 0.2 | 30.0 ± 0.2 | 29.7 ± 0.2 | 0.11 | 0.49 |
| Fibre (g) | |||||||
| –Model 1 | 17.2 ± 0.6 | 19.5 ± 0.3 | 21.8 ± 0.2 | 24.5 ± 0.2 | 29.8 ± 0.3 | <0.001 | <0.001 |
| –Model 2 | 21.4 ± 0.6 | 21.6 ± 0.3 | 23.1 ± 0.3 | 24.9 ± 0.3 | 28.1 ± 0.3 | <0.001 | <0.001 |
| –Model 3 | 21.7 ± 0.6 | 21.3 ± 0.4 | 22.9 ± 0.3 | 24.6 ± 0.3 | 27.7 ± 0.4 | <0.001 | <0.001 |
© 2017 by the authors. Licensee MDPI, Basel, Switzerland. This article is an open access article distributed under the terms and conditions of the Creative Commons Attribution (CC BY) license ( http://creativecommons.org/licenses/by/4.0/).
Share and Cite
Fayet-Moore, F.; Petocz, P.; McConnell, A.; Tuck, K.; Mansour, M. The Cross-Sectional Association between Consumption of the Recommended Five Food Group “Grain (Cereal)”, Dietary Fibre and Anthropometric Measures among Australian Adults. Nutrients 2017, 9, 157. https://doi.org/10.3390/nu9020157
Fayet-Moore F, Petocz P, McConnell A, Tuck K, Mansour M. The Cross-Sectional Association between Consumption of the Recommended Five Food Group “Grain (Cereal)”, Dietary Fibre and Anthropometric Measures among Australian Adults. Nutrients. 2017; 9(2):157. https://doi.org/10.3390/nu9020157
Chicago/Turabian StyleFayet-Moore, Flavia, Peter Petocz, Andrew McConnell, Kate Tuck, and Marie Mansour. 2017. "The Cross-Sectional Association between Consumption of the Recommended Five Food Group “Grain (Cereal)”, Dietary Fibre and Anthropometric Measures among Australian Adults" Nutrients 9, no. 2: 157. https://doi.org/10.3390/nu9020157
APA StyleFayet-Moore, F., Petocz, P., McConnell, A., Tuck, K., & Mansour, M. (2017). The Cross-Sectional Association between Consumption of the Recommended Five Food Group “Grain (Cereal)”, Dietary Fibre and Anthropometric Measures among Australian Adults. Nutrients, 9(2), 157. https://doi.org/10.3390/nu9020157
