Agreement and Reliability Between Urine Reagent Strips and Refractometry for Field Assessment of Hydration in Ultra-Trail Runners
Abstract
1. Introduction
2. Materials and Methods
2.1. Design
2.2. Participants
2.3. Urine Collection and Analysis
2.4. Statistical Analysis
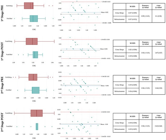
3. Results
4. Discussion
5. Conclusions
Author Contributions
Funding
Institutional Review Board Statement
Informed Consent Statement
Data Availability Statement
Acknowledgments
Conflicts of Interest
References
- Scheer, V. Participation Trends of Ultra Endurance Events. Sports Med. Arthrosc. Rev. 2019, 27, 3–7. [Google Scholar] [CrossRef]
- Rosenkrantz, L.; Schuurman, N.; Lear, S.A. Environmental Preferences and Concerns of Recreational Trail Runners. Int. J. Environ. Res. Public Health 2024, 21, 97. [Google Scholar] [CrossRef]
- Scheer, V.; Di Gangi, S.; Villiger, E.; Rosemann, T.; Nikolaidis, P.T.; Knechtle, B. Participation and Performance Analysis in Children and Adolescents Competing in Time-Limited Ultra-Endurance Running Events. Int. J. Environ. Res. Public Health 2020, 17, 1628. [Google Scholar] [CrossRef]
- Zingg, M.; Rüst, C.A.; Lepers, R.; Rosemann, T.; Knechtle, B. Master Runners Dominate 24-h Ultramarathons Worldwide—A Retrospective Data Analysis from 1998 to 2011. Extrem. Physiol. Med. 2013, 2, 21. [Google Scholar] [CrossRef] [PubMed]
- Lepers, R.; Stapley, P.J. Master Athletes Are Extending the Limits of Human Endurance. Front. Physiol. 2016, 7, 613. [Google Scholar] [CrossRef] [PubMed]
- Scheer, V.; Tiller, N.B.; Doutreleau, S.; Khodaee, M.; Knechtle, B.; Pasternak, A.; Rojas-Valverde, D. Potential Long-Term Health Problems Associated with Ultra-Endurance Running: A Narrative Review. Sports Med. 2022, 52, 725–740. [Google Scholar] [CrossRef]
- Berger, N.J.A.; Best, R.; Best, A.W.; Lane, A.M.; Millet, G.Y.; Barwood, M.; Marcora, S.; Wilson, P.; Bearden, S. Limits of Ultra: Towards an Interdisciplinary Understanding of Ultra-Endurance Running Performance. Sports Med. 2023, 54, 73–93. [Google Scholar] [CrossRef] [PubMed]
- Rojas-Valverde, D.; Sánchez-Ureña, B.; Pino-Ortega, J.; Gómez-Carmona, C.; Gutiérrez-Vargas, R.; Timón, R.; Olcina, G. External Workload Indicators of Muscle and Kidney Mechanical Injury in Endurance Trail Running. Int. J. Environ. Res. Public Health 2019, 16, 3909. [Google Scholar] [CrossRef]
- Rojas-Valverde, D.; Sánchez-Ureña, B.; Crowe, J.; Timón, R.; Olcina, G.J. Exertional Rhabdomyolysis and Acute Kidney Injury in Endurance Sports: A Systematic Review. Eur. J. Sport Sci. 2021, 21, 261–274. [Google Scholar] [CrossRef]
- Rojas-Valverde, D.; Martínez-Guardado, I.; Sánchez-Ureña, B.; Timón, R.; Scheer, V.; Pino-Ortega, J.; Olcina, G. Outpatient Assessment of Mechanical Load, Heat Strain and Dehydration as Causes of Transitional Acute Kidney Injury in Endurance Trail Runners. Int. J. Environ. Res. Public Health 2021, 18, 10217. [Google Scholar] [CrossRef]
- Arnaoutis, G.; Anastasiou, C.A.; Suh, H.; Maraki, M.; Tsekouras, Y.; Dimitroulis, E.; Echegaray, M.; Papamichalopoulou, D.; Methenitis, S.; Sidossis, L.S.; et al. Exercise-Associated Hyponatremia during the Olympus Marathon Ultra-Endurance Trail Run. Nutrients 2020, 12, 997. [Google Scholar] [CrossRef]
- Seal, A.D.; Anastasiou, C.A.; Skenderi, K.P.; Echegaray, M.; Yiannakouris, N.; Tsekouras, Y.E.; Matalas, A.L.; Yannakoulia, M.; Pechlivani, F.; Kavouras, S.A. Incidence of Hyponatremia During a Continuous 246-Km Ultramarathon Running Race. Front. Nutr. 2019, 6, 161. [Google Scholar] [CrossRef]
- Lecina, M.; Castellar-Otín, C.; López-Laval, I.; Páez, L.C.; Pradas, F. Acute Kidney Injury and Hyponatremia in Ultra-Trail Racing: A Systematic Review. Medicina 2022, 58, 569. [Google Scholar] [CrossRef]
- Armstrong, L.E. Assessing Hydration Status: The Elusive Gold Standard. J. Am. Coll. Nutr. 2007, 26, 575S–584S. [Google Scholar] [CrossRef]
- Armstrong, L.E.; Maughan, R.J.; Senay, L.C.; Shirreffs, S.M. Limitations to the Use of Plasma Osmolality as a Hydration Biomarker. Am. J. Clin. Nutr. 2013, 98, 503–504. [Google Scholar] [CrossRef] [PubMed]
- Oppliger, R.A.; Magnes, S.A.; Popowski, L.R.A.; Gisolfi, C.V. Accuracy of Urine Specific Gravity and Osmolality as Indicators of Hydration Status. Int. J. Sport Nutr. Exerc. Metab. 2005, 15, 236–251. [Google Scholar] [CrossRef]
- Sommerfield, L.M.; McAnulty, S.R.; McBride, J.M.; Zwetsloot, J.J.; Austin, M.D.; Mehlhorn, J.D.; Calhoun, M.C.; Young, J.O.; Haines, T.L.; Utter, A.C. Validity of Urine Specific Gravity When Compared with Plasma Osmolality as a Measure of Hydration Status in Male and Female NCAA Collegiate Athletes. J. Strength Cond. Res. 2016, 30, 2219–2225. [Google Scholar] [CrossRef]
- Tahar, A.; Zrour, H.; Dupont, S.; Pozdzik, A. Non-Invasive Approaches to Hydration Assessment: A Literature Review. Urolithiasis 2024, 52, 132. [Google Scholar] [CrossRef]
- Abbey, B.M.; Heelan, K.A.; Brown, G.A.; Bartee, R.T. Validity of HydraTrend Reagent Strips for the Assessment of Hydration Status. J. Strength Cond. Res. 2014, 28, 2634–2639. [Google Scholar] [CrossRef] [PubMed]
- Adams, J.D.; Capitan-Jiménez, C.; Huggins, R.A.; Casa, D.J.; Mauromoustakos, A.; Kavouras, S.A. Urine Reagent Strips Are Inaccurate for Assessing Hypohydration: A Brief Report. Clin. J. Sport Med. 2019, 29, 506–508. [Google Scholar] [CrossRef]
- Vuljanić, D.; Dojder, A.; Špoljarić, V.; Saračević, A.; Dukić, L.; Krleža, J.L.; Tanasković, J.V.; Maradin, I.; Grzunov, A.; Vogrinc, Ž.; et al. Analytical Verification of 12 Most Commonly Used Urine Dipsticks in Croatia: Comparability, Repeatability and Accuracy. Biochem. Med. 2019, 29, 123–132. [Google Scholar] [CrossRef]
- Rojas-Valverde, D.; Olcina, G.; Sánchez-Ureña, B.; Pino-Ortega, J.; Martínez-Guardado, I.; Timón, R. Proteinuria and Bilirubinuria as Potential Risk Indicators of Acute Kidney Injury during Running in Outpatient Settings. Medicina 2020, 56, 562. [Google Scholar] [CrossRef]
- Hoffman, M.D.; Stuempfle, K.J.; Fogard, K.; Hew-Butler, T.; Winger, J.; Weiss, R.H. Urine Dipstick Analysis for Identification of Runners Susceptible to Acute Kidney Injury Following an Ultramarathon. J. Sports Sci. 2013, 31, 20–31. [Google Scholar] [CrossRef]
- Faul, F.; Erdfelder, E.; Lang, A.G.; Buchner, A. G*Power 3: A Flexible Statistical Power Analysis Program for the Social, Behavioral, and Biomedical Sciences. Behav. Res. Methods 2007, 39, 175–191. [Google Scholar] [CrossRef]
- Rojas-Valverde, D.; Castro, C.; Bonilla, D.A.; Cardozo, L.A.; Gomez-Carmona, C.D. Proteinuria and Significant Dehydration in a Short-Steep Triathlon: Preliminary Observational Report. Physiologia 2024, 4, 393–403. [Google Scholar] [CrossRef]
- Wyness, S.P.; Hunsaker, J.J.H.; Snow, T.M.; Genzen, J.R. Evaluation and Analytical Validation of a Handheld Digital Refractometer for Urine Specific Gravity Measurement. Pract. Lab. Med. 2016, 5, 65–74. [Google Scholar] [CrossRef]
- McDermott, B.P.; Anderson, S.A.; Armstrong, L.E.; Casa, D.J.; Cheuvront, S.N.; Cooper, L.; Larry Kenney, W.; O’Connor, F.G.; Roberts, W.O. National Athletic Trainers’ Association Position Statement: Fluid Replacement for the Physically Active. J. Athl. Train. 2017, 52, 877–895. [Google Scholar] [CrossRef]
- Bland, J.M.; Altman, D.G. Statistical Methods for Assessing Agreement between Two Methods of Clinical Measurement. The Lancet 1986, 327, 307–310. [Google Scholar] [CrossRef]
- Costa, R.J.S.; Hoffman, M.D.; Stellingwerff, T. Considerations for Ultra-Endurance Activities: Part 1- Nutrition. Res. Sports Med. 2019, 27, 166–181. [Google Scholar] [CrossRef]
- Périard, J.D.; Eijsvogels, T.M.H.; Daanen, H.A.M. Exercise under Heat Stress: Thermoregulation, Hydration, Performance Implications, and Mitigation Strategies. Physiol. Rev. 2021, 101, 1873–1979. [Google Scholar] [CrossRef]
- Armstrong, L.E.; Stearns, R.L.; Huggins, R.A.; Sekiguchi, Y.; Mershon, A.J.; Casa, D.J. Reference Values for Hydration Biomarkers: Optimizing Athletic Performance and Recovery. Open Access J. Sports Med. 2025, 16, 31–50. [Google Scholar] [CrossRef]
- Von Duvillard, S.P.; Braun, W.A.; Markofski, M.; Beneke, R.; Leithäuser, R. Fluids and Hydration in Prolonged Endurance Performance. Nutrition 2004, 20, 651–656. [Google Scholar] [CrossRef]
- Armstrong, L.E. Rehydration during Endurance Exercise: Challenges, Research, Options, Methods. Nutrients 2021, 13, 887. [Google Scholar] [CrossRef]
- Hoffman, M.D.; Stuempfle, K.J. Hydration Strategies, Weight Change and Performance in a 161 Km Ultramarathon. Res. Sports Med. 2014, 22, 213–225. [Google Scholar] [CrossRef]
- Cheuvront, S.N.; Ely, B.R.; Kenefick, R.W.; Sawka, M.N. Biological Variation and Diagnostic Accuracy of Dehydration Assessment Markers. Am. J. Clin. Nutr. 2010, 92, 565–573. [Google Scholar] [CrossRef]
- Shirreffs, S.M.; Sawka, M.N. Fluid and Electrolyte Needs for Training, Competition, and Recovery. J. Sports Sci. 2011, 29, S39–S46. [Google Scholar] [CrossRef]
- Cheuvront, S.N.; Kenefick, R.W. Am I Drinking Enough? Yes, No, and Maybe. J. Am. Coll. Nutr. 2016, 35, 185–192. [Google Scholar] [CrossRef]
- Keefe, M.S.; Luk, H.Y.; Rolloque, J.J.S.; Jiwan, N.C.; McCollum, T.B.; Sekiguchi, Y. The Weight, Urine Colour and Thirst Venn Diagram Is an Accurate Tool Compared with Urinary and Blood Markers for Hydration Assessment at Morning and Afternoon Timepoints in Euhydrated and Free-Living Individuals. Br. J. Nutr. 2024, 131, 1181–1188. [Google Scholar] [CrossRef]
- Adams, W.M.; Anderson, T.; Zaplatosch, M.E.; Cheuvront, S.N.; Kenefick, R.W.; Yates, B.A.; Morrissey-Basler, M.C.; Casa, D.J.; Wideman, L. Utility of Body Weight, Urine Color, and Thirst Perception (WUT) in Determining Hydration in Young Adults. Med. Sci. Sports Exerc. 2024, 56, 2404–2412. [Google Scholar] [CrossRef]
- Sekiguchi, Y.; Benjamin, C.L.; Butler, C.R.; Morrissey, M.C.; Filep, E.M.; Stearns, R.L.; Lee, E.C.; Casa, D.J. Relationships Between WUT (Body Weight, Urine Color, and Thirst Level) Criteria and Urine Indices of Hydration Status. Sports Health 2022, 14, 566–574. [Google Scholar] [CrossRef]
- Keefe, M.S.; Luk, H.Y.; Rolloque, J.J.; Jiwan, N.C.; Sekiguchi, Y. Hydration Assessment in Males and Females Using the WUT (Weight, Urine Color, and Thirst) Venn Diagram Compared to Blood and Urinary Indices. Nutrients 2025, 17, 689. [Google Scholar] [CrossRef]


Disclaimer/Publisher’s Note: The statements, opinions and data contained in all publications are solely those of the individual author(s) and contributor(s) and not of MDPI and/or the editor(s). MDPI and/or the editor(s) disclaim responsibility for any injury to people or property resulting from any ideas, methods, instructions or products referred to in the content. |
© 2026 by the authors. Licensee MDPI, Basel, Switzerland. This article is an open access article distributed under the terms and conditions of the Creative Commons Attribution (CC BY) license.
Share and Cite
Rojas-Valverde, D.; Scheer, V.; Tuesta, M.; Gómez-Carmona, C.D. Agreement and Reliability Between Urine Reagent Strips and Refractometry for Field Assessment of Hydration in Ultra-Trail Runners. Nutrients 2026, 18, 466. https://doi.org/10.3390/nu18030466
Rojas-Valverde D, Scheer V, Tuesta M, Gómez-Carmona CD. Agreement and Reliability Between Urine Reagent Strips and Refractometry for Field Assessment of Hydration in Ultra-Trail Runners. Nutrients. 2026; 18(3):466. https://doi.org/10.3390/nu18030466
Chicago/Turabian StyleRojas-Valverde, Daniel, Volker Scheer, Marcelo Tuesta, and Carlos D. Gómez-Carmona. 2026. "Agreement and Reliability Between Urine Reagent Strips and Refractometry for Field Assessment of Hydration in Ultra-Trail Runners" Nutrients 18, no. 3: 466. https://doi.org/10.3390/nu18030466
APA StyleRojas-Valverde, D., Scheer, V., Tuesta, M., & Gómez-Carmona, C. D. (2026). Agreement and Reliability Between Urine Reagent Strips and Refractometry for Field Assessment of Hydration in Ultra-Trail Runners. Nutrients, 18(3), 466. https://doi.org/10.3390/nu18030466

