Clinical Characteristics and Outcomes of Pediatric Vitamin C Deficiency
Abstract
1. Introduction
2. Materials and Methods
2.1. Diagnostic Criteria
2.2. Data Collection
2.3. Biochemical Assessment
2.4. Statistical Analysis
3. Results
3.1. Patient Characteristic
3.2. Dietary Review
3.3. Clinical Presentations
3.4. Radiological Study
3.5. Laboratory Findings
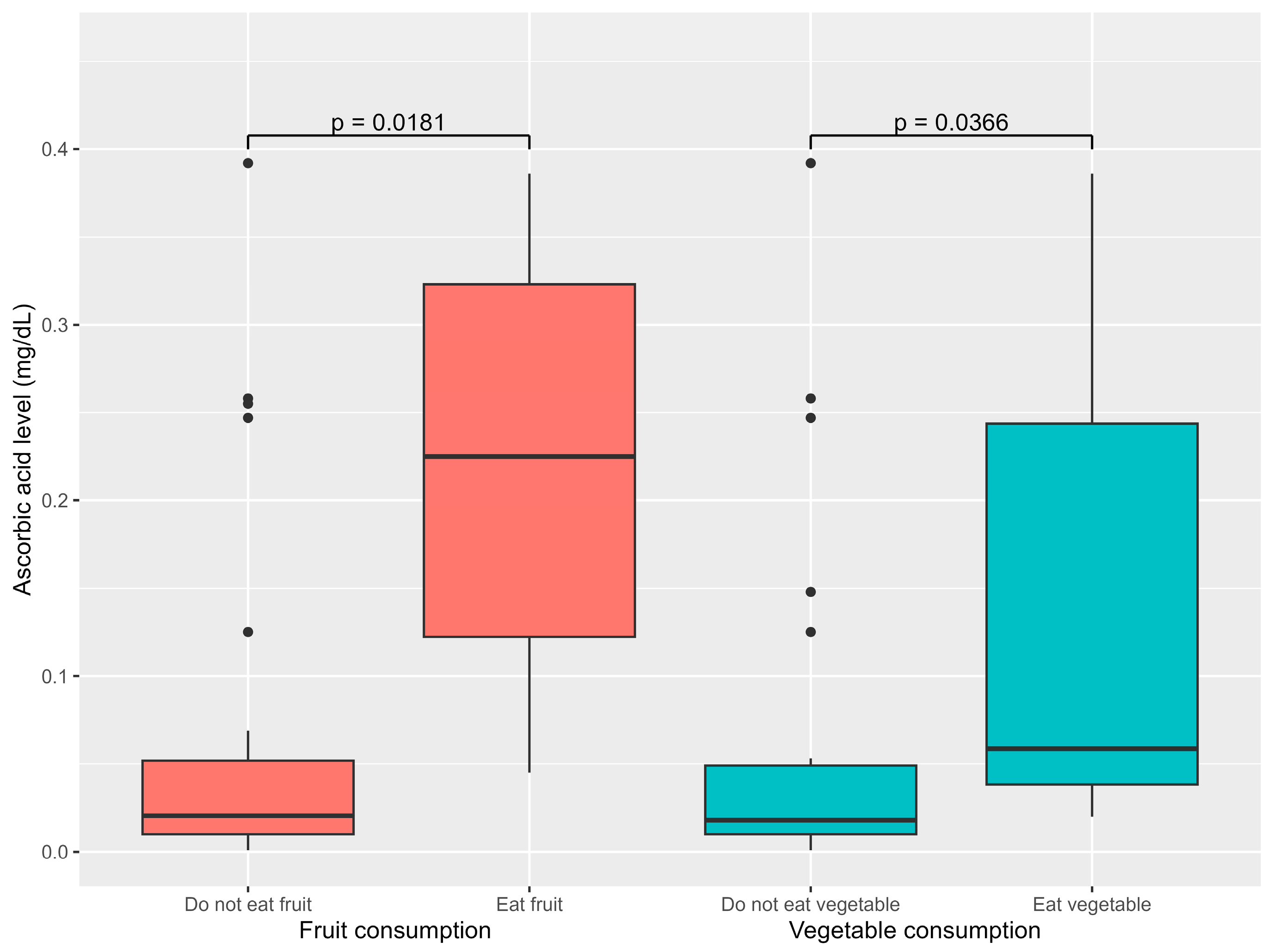
3.6. Factors Associated with Serum Ascorbic Acid Levels
3.7. Treatment and Treatment Outcomes
4. Discussion
5. Conclusions
Author Contributions
Funding
Institutional Review Board Statement
Informed Consent Statement
Data Availability Statement
Acknowledgments
Conflicts of Interest
References
- Levine, M.; Katz, A.; Padayatty, S.J. Vitamin C. In Modern Nutrition in Health and Disease, 11th ed.; Catherine Ross, A., Caballero, B., Cousins, R.J., Tucker, K.L., Ziegler, T.R., Eds.; Jones & Bartlett Learning: Burlington, MA, USA, 2014; pp. 399–413. [Google Scholar]
- Gropper, S.S.; Smith, J.L.; Carr, T.P. Water-Soluble Vitamins. In Advanced Nutrition and Human Metabolism, 8th ed.; Cengage Learning: Boston, MA, USA, 2020; pp. 326–338. [Google Scholar]
- Schleicher, R.L.; Carroll, M.D.; Ford, E.S.; Lacher, D.A. Serum vitamin C and the prevalence of vitamin C deficiency in the United States: 2003-2004 National Health and Nutrition Examination Survey (NHANES). Am. J. Clin. Nutr. 2009, 90, 1252–1263. [Google Scholar] [CrossRef] [PubMed]
- Reikersdorfer, K.N.; Singh, A.; Young, J.D.; Batty, M.B.; Steele, A.E.; Yuen, L.C.; Momtaz, D.A.; Weissert, J.N.; Liu, D.S.; Hogue, G.D. The Troubling Rise of Scurvy: A Review and National Analysis of Incidence, Associated Risk Factors, and Clinical Manifestations. JAAOS Glob. Res. Rev. 2024, 8, e2400162. [Google Scholar] [CrossRef]
- García, O.P.; Ronquillo, D.; del Carmen Caamaño, M.; Martínez, G.; Camacho, M.; López, V.; Rosado, J.L. Zinc, iron and vitamins A, C and e are associated with obesity, inflammation, lipid profile and insulin resistance in Mexican school-aged children. Nutrients 2013, 5, 5012–5030. [Google Scholar] [CrossRef]
- Pongcharoen, T.; Rojroongwasinkul, N.; Tuntipopipat, S.; Winichagoon, P.; Vongvimetee, N.; Phanyotha, T.; Sukboon, P.; Muangnoi, C.; Praengam, K.; Khouw, I. South East Asian Nutrition Surveys II (SEANUTS II) Thailand: Triple burden of malnutrition among Thai children aged 6 months to 12 years. Public Health Nutr. 2024, 27, e152. [Google Scholar] [CrossRef]
- Gilley, S.P.; Ta, A.; Pryor, W., III; Roper, B.; Erickson, M.; Fenton, L.Z.; Tchou, M.J.; Cotter, J.M.; Moore, J.M. What Do We C in Children with Scurvy? A Case Series Focused on Musculoskeletal Symptoms. Hosp. Pediatr. 2024, 14, e98–e103. [Google Scholar] [CrossRef]
- Sakamornchai, W.; Dumrongwongsiri, O.; Siwarom, S. Case Report: Vitamin C combined with multiple micronutrient deficiencies is associated with pulmonary arterial hypertension in children with autistic spectrum disorder. Front. Nutr. 2022, 9, 928026. [Google Scholar] [CrossRef]
- Dean, T.; Kaushik, N.; Williams, S.; Zinter, M.; Kim, P. Cardiac arrest and pulmonary hypertension in scurvy: A case report. Pulm. Circ. 2019, 9, 2045894018812052. [Google Scholar] [CrossRef]
- Carr, A.C.; Rowe, S. Factors Affecting Vitamin C Status and Prevalence of Deficiency: A Global Health Perspective. Nutrients 2020, 12, 1963. [Google Scholar] [CrossRef]
- Trapani, S.; Rubino, C.; Indolfi, G.; Lionetti, P. A Narrative Review on Pediatric Scurvy: The Last Twenty Years. Nutrients 2022, 14, 684. [Google Scholar] [CrossRef] [PubMed]
- Alqanatish, J.T.; Alqahtani, F.; Alsewairi, W.M.; Al-kenaizan, S. Childhood scurvy: An unusual cause of refusal to walk in a child. Pediatr. Rheumatol. Online J. 2015, 13, 23. [Google Scholar] [CrossRef] [PubMed]
- Lim, P.P.; Juanna, B. Scurvy: A Case Report on a Child with Autism. Int. J. Clin. Pediatr. 2018, 7, 59–62. [Google Scholar] [CrossRef]
- Ma, N.S.; Thompson, C.; Weston, S. Brief Report: Scurvy as a Manifestation of Food Selectivity in Children with Autism. J. Autism Dev. Disord. 2016, 46, 1464–1470. [Google Scholar] [CrossRef]
- Musa, H.; Ismail, I.I.; Abdul Rashid, N.H. Paediatric scurvy: Frequently misdiagnosed. Paediatr. Int. Child Health 2021, 41, 158–161. [Google Scholar] [CrossRef]
- Oamen, E.E.; Hansen, A.P.; Swartzel, K.R. Effect of Ultra-High Temperature Steam Injection Processing and Aseptic Storage on Labile Water-Soluble Vitamins in Milk. J. Dairy Sci. 1989, 72, 614–619. [Google Scholar] [CrossRef]
- Carr, A.C.; Lykkesfeldt, J. Vitamin C: From Bench to Bedside. Nutrients 2021, 13, 1102. [Google Scholar] [CrossRef] [PubMed]
- Dunleavy, K.A.; Ungaro, R.C.; Manning, L.; Gold, S.; Novak, J.; Colombel, J.F. Vitamin C Deficiency in Inflammatory Bowel Disease: The Forgotten Micronutrient. Crohns Colitis 360 2021, 3, otab009. [Google Scholar] [CrossRef] [PubMed]
- Kittisakmontri, K.; Swangtrakul, N.; Padungmaneesub, W.; Charoenkwan, P. Gingival Bleeding and Bloody Dialysate: A Case Report of Scurvy in a Child with End-Stage Renal Disease Receiving Peritoneal Dialysis. J. Ren. Nutr. 2016, 26, 407–411. [Google Scholar] [CrossRef] [PubMed]
- Kim, M.J.; Kim, Y.H.; Kim, S.Y.; Kim, J.D.; Park, M.; Kim, H.; Sohn, M.H.; Kim, K.W. Low vitamin C concentrations and prognosis in critically ill children. Acute Crit. Care 2025, 40, 482–490. [Google Scholar] [CrossRef]
- Choi, D.H.; Basu, S.; Levine, M.; Steinhorn, D. Plasma Ascorbic Acid Levels in Critically Ill Pediatric Patients. J. Pediatr. Intensive Care 2024, 13, 119–126. [Google Scholar] [CrossRef]
- Gallizzi, R.; Valenzise, M.; Passanisi, S.; Pajno, G.B.; De Luca, F.; Zirilli, G. Scurvy may occur even in children with no underlying risk factors: A case report. J. Med. Case Rep. 2020, 14, 18. [Google Scholar] [CrossRef]
- Kleinman, R.E.; Greer, F.R. Assessment of Nutritional Status; American Academy of Pediatrics: Itasca, IL, USA, 2019. [Google Scholar]
- Iamopas, O.; Ratanachu-Ek, S.; Kaewnimee, S. Scurvy in children—A neglected disease? Pediatr. Int. 2022, 64, e15324. [Google Scholar] [CrossRef]
- Miraj, F.; Abdullah, A. Scurvy: Forgotten diagnosis, but still exist. Int. J. Surg. Case Rep. 2020, 68, 263–266. [Google Scholar] [CrossRef]
- Subhash, S.; Santosh, S.T. Scurvy in Children: The Silent Masquerader. J. Trop. Pediatr. 2022, 68, fmac029. [Google Scholar] [CrossRef]
- Agarwal, A.; Shaharyar, A.; Kumar, A.; Bhat, M.S.; Mishra, M. Scurvy in pediatric age group—A disease often forgotten? J. Clin. Orthop. Trauma 2015, 6, 101–107. [Google Scholar] [CrossRef] [PubMed]
- Andrew, M.J.; Sullivan, P.B. Feeding difficulties in disabled children. Paediatr. Child Health 2010, 20, 321–326. [Google Scholar] [CrossRef]
- Department of Health, Ministry of Public Health. Nutrition Recommedation for Pregnancy Woman, Lactating Mom, Infant and Young Child Age 0–5 Years Old. Available online: https://nutrition2.anamai.moph.go.th/th/women-childhood/215954 (accessed on 10 February 2025).
- Department of Health, Ministry of Public Health. Nutrition Recommendation. Available online: https://nutrition2.anamai.moph.go.th/th/cms-of-10 (accessed on 10 February 2025).
- Duggan, C.; Watkins, J.B.; Koletzho, B.; Walker, W.A. Laboratory Assessment of Nutrition Status. In Nutrition in Pediatrics, 5th ed; People’s Medical Publishing House: New Haven, CT, USA, 2016; p. 96. [Google Scholar]
- Soldin, S.J.; Brugnara, C.; Wong, E.C. Pediatric Reference Ranges; American Association for Clinical Chemistry: Washington, DC, USA, 2011. [Google Scholar]
- Taylor, C.M.; Emmett, P.M. Picky eating in children: Causes and consequences. Proc. Nutr. Soc. 2019, 78, 161–169. [Google Scholar] [CrossRef] [PubMed]
- Joshi, R.; Gustas-French, C.N.; Fanburg-Smith, J.C.; Helm, K.F.; Flemming, D. Scurvy: A rare case in an adult. Skeletal Radiol. 2019, 48, 977–984. [Google Scholar] [CrossRef]
- Carter, D.M.; Le, H.N.; Phung, H. The Community Prevalence of Vitamin C Deficiency and Inadequacy-How Does Australia Compare with Other Nations? A Scoping Review. Health Sci. Rep. 2025, 8, e70943. [Google Scholar] [CrossRef] [PubMed]
- Fortenberry, M.; Rucker, H.; Gaines, K. Pediatric Scurvy: How an Old Disease Is Becoming a New Problem. J. Pediatr. Pharmacol. Ther. 2020, 25, 735–741. [Google Scholar] [CrossRef]
- van Heerden, C.; Cheng, D.R.; McNab, S.; Burgess, R.; Russell, A.; Wang, Y.; Bleathman, F.; Maharaj, I.; Zhang, J.; Easterbrook, M.; et al. Scurvy and vitamin C deficiency in an Australian tertiary children’s hospital. J. Paediatr. Child Health 2024, 60, 409–414. [Google Scholar] [CrossRef]
- Masci, D.; Rubino, C.; Basile, M.; Indolfi, G.; Trapani, S. When the limp has a dietary cause: A retrospective study on scurvy in a tertiary Italian pediatric hospital. Front. Pediatr. 2022, 10, 981908. [Google Scholar] [CrossRef]
- Jungert, A.; Neuhäuser-Berthold, M. The lower vitamin C plasma concentrations in elderly men compared with elderly women can partly be attributed to a volumetric dilution effect due to differences in fat-free mass. Br. J. Nutr. 2015, 113, 859–864. [Google Scholar] [CrossRef] [PubMed]
- Nastro, A.; Rosenwasser, N.; Daniels, S.P.; Magnani, J.; Endo, Y.; Hampton, E.; Pan, N.; Kovanlikaya, A. Scurvy Due to Selective Diet in a Seemingly Healthy 4-Year-Old Boy. Pediatrics 2019, 144, e20182824. [Google Scholar] [CrossRef] [PubMed]
- Zhu, Y.; Mao, Z.; Wu, X.; Li, G.; Wei, H.; Su, L.; Sun, B. Effect of four organic acids on iron uptake from iron-binding proteins derived from Tegillarca granosa using an in vitro digestion/Caco-2 cell culture model. Food Chem. 2025, 492, 145512. [Google Scholar] [CrossRef] [PubMed]



| Total (%) N = 46 | Group | ||||
|---|---|---|---|---|---|
| Normal Development (%) N = 21 | Neurological Impairment (%) N = 14 | Behavioral Problem (%) N = 11 | p-Value | ||
| Age (y), median (IQR) | 4.8 (2.6, 8.4) | 2.9 (2.3, 5.9) | 8.1 (5.7, 9.9) | 3.8 (3.0, 7.8) | 0.018 |
| Age (y), No (%) | 0.011 | ||||
| <5 years old | 23 (50) | 15 (71.4) | 2 (14.3) | 6 (54.5) | |
| 5–10 years old | 16 (34.8) | 5 (23.8) | 8 (57.1) | 3 (27.3) | |
| >10 years old | 7 (15.2) | 1 (4.8) | 4 (28.6) | 2 (18.2) | |
| Gender, No (%) | 0.241 | ||||
| Male | 28 (60.9) | 12 (57.1) | 7 (50) | 9 (81.8) | |
| Female | 18 (39.1) | 9 (39.1) | 7 (50) | 2 (18.2) | |
| N = 42 | N = 21 | N = 10 | N = 11 | ||
| Baseline nutritional status, No (%) | <0.001 | ||||
| Normal | 23 (54.8) | 16 (76.2) | 0 (0) | 7 (63.6) | |
| Wasting | 13 (31.0) | 2 (9.5) | 9 (90.0) | 2 (18.2) | |
| Overweight or obesity | 6 (14.2) | 3 (14.3) | 1 (10.0) | 2 (18.2) | |
| Total (%) N = 46 | Group | ||||
|---|---|---|---|---|---|
| Normal Development (%) N = 21 | Neurological Impairment (%) N = 14 | Behavioral Problem (%) N = 11 | p-Value | ||
| Inappropriate food texture for age | 15 (32.6) | 6 (28.6) | 8 (57.1) | 1 (9.1) | 0.042 |
| Inadequate consumption of rice (N = 45) | 36 (80) | 18 (85.7) | 13 (92.9) | 5 (50.0) | 0.037 |
| Inadequate consumption of meat (N = 42) | 31 (73.8) | 17 (89.5) | 9 (75) | 5 (45.4) | 0.04 |
| No consumption of vegetables (N = 43) | 33 (76.7) | 16 (84.2) | 8 (57.1) | 9 (90.0) | 0.139 |
| Frequency of vegetable consumption (days/week) | 3.2 (2.6, 6.1) 1 | 4.8 (3.6, 5.9) 1 | 3.5 (3.2, 5.2) 1 | 1.5 (1.5, 1.5) 1 | NA |
| No consumption of fruits (N = 45) | 33 (73.3) | 14 (66.7) | 10 (76.9) | 9 (81.8) | 0.687 |
| Frequency of fruit consumption (days/week) | 2.2 (1.9, 3.3) 1 | 3 (2.5, 4) 1 | 2 (2, 2) 1 | 1.2 (1.1, 1.4) 1 | NA |
| Consumption of non-nutritive snack (N = 21) | 18 (85.7) | 7 (100) | 6 (85.7) | 5 (71.4) | 0.742 |
| Consumption of juice (N = 15) | 5 (33.3) | 4 (57.1) | 0 (0) | 1 (25.0) | 0.254 |
| Consumption of milk | 38 (82.6) | 18 (85.7) | 12 (85.7) | 8 (72.7) | 0.613 |
| Median of milk consumption (mL/day) | 1040 (360, 1619) 1 | 1225 (520, 1812.5) 1 | 490 (350, 927.5) 1 | 1012.5 (592.5, 1350) 1 | 0.304 |
| Median of milk consumption relative to recommendation | 2.6 (0.9, 4) 1 | 3.1 (1.3, 4.5) 1 | 1.2 (0.9, 2.3) 1 | 2.5 (1.5, 3.2) 1 | 0.297 |
Disclaimer/Publisher’s Note: The statements, opinions and data contained in all publications are solely those of the individual author(s) and contributor(s) and not of MDPI and/or the editor(s). MDPI and/or the editor(s) disclaim responsibility for any injury to people or property resulting from any ideas, methods, instructions or products referred to in the content. |
© 2025 by the authors. Licensee MDPI, Basel, Switzerland. This article is an open access article distributed under the terms and conditions of the Creative Commons Attribution (CC BY) license (https://creativecommons.org/licenses/by/4.0/).
Share and Cite
Trangkanont, T.; Puwanant, M.; Chotsampancharoen, T. Clinical Characteristics and Outcomes of Pediatric Vitamin C Deficiency. Nutrients 2025, 17, 3755. https://doi.org/10.3390/nu17233755
Trangkanont T, Puwanant M, Chotsampancharoen T. Clinical Characteristics and Outcomes of Pediatric Vitamin C Deficiency. Nutrients. 2025; 17(23):3755. https://doi.org/10.3390/nu17233755
Chicago/Turabian StyleTrangkanont, Thanaporn, Maneerat Puwanant, and Thirachit Chotsampancharoen. 2025. "Clinical Characteristics and Outcomes of Pediatric Vitamin C Deficiency" Nutrients 17, no. 23: 3755. https://doi.org/10.3390/nu17233755
APA StyleTrangkanont, T., Puwanant, M., & Chotsampancharoen, T. (2025). Clinical Characteristics and Outcomes of Pediatric Vitamin C Deficiency. Nutrients, 17(23), 3755. https://doi.org/10.3390/nu17233755

