Sodium Balance and Quality of Life in People with Chronic Kidney Disease—A Cross-Sectional Study
Abstract
1. Introduction
2. Materials and Methods
2.1. Design
2.2. Participants and Procedures
2.3. Assessment of Quality of Life and Symptoms
2.4. Assessment of Sodium Intake and Excretion
2.5. Outcomes and Statistical Analysis
3. Results
3.1. Baseline Characteristics and Medications
3.2. Associations Between Sodium Measurements and HRQOL
4. Discussion
5. Conclusions
Author Contributions
Funding
Institutional Review Board Statement
Informed Consent Statement
Data Availability Statement
Conflicts of Interest
Correction Statement
References
- Lim, S.S.; Vos, T.; Flaxman, A.D.; Danaei, G.; Shibuya, K.; Adair-Rohani, H.; Amann, M.; Anderson, H.R.; Andrews, K.G.; Aryee, M.; et al. A comparative risk assessment of burden of disease and injury attributable to 67 risk factors and risk factor clusters in 21 regions, 1990–2010: A systematic analysis for the Global Burden of Disease Study 2010. Lancet 2012, 380, 2224–2260. [Google Scholar] [CrossRef]
- Kario, K.; Okura, A.; Hoshide, S.; Mogi, M. The WHO Global report 2023 on hypertension warning the emerging hypertension burden in globe and its treatment strategy. Hypertens. Res. 2024, 47, 1099–1102. [Google Scholar] [CrossRef]
- He, F.J.; Tan, M.; Ma, Y.; MacGregor, G.A. Salt Reduction to Prevent Hypertension and Cardiovascular Disease: JACC State-of-the-Art Review. J. Am. Coll. Cardiol. 2020, 75, 632–647. [Google Scholar] [CrossRef] [PubMed]
- Martin, K.; Tan, S.J.; Toussaint, N.D. Total Body Sodium Balance in Chronic Kidney Disease. Int. J. Nephrol. 2021, 2021, 7562357. [Google Scholar] [CrossRef] [PubMed]
- Martin, K.; Tan, S.J.; Toussaint, N.D. Magnetic resonance imaging determination of tissue sodium in patients with chronic kidney disease. Nephrology 2022, 27, 117–125. [Google Scholar] [CrossRef] [PubMed]
- Shemin, D.; Dworkin, L.D. Sodium balance in renal failure. Curr. Opin. Nephrol. Hypertens. 1997, 6, 128–132. [Google Scholar] [CrossRef]
- Siragy, H.M.; Carey, R.M. Role of the intrarenal renin-angiotensin-aldosterone system in chronic kidney disease. Am. J. Nephrol. 2010, 31, 541–550. [Google Scholar] [CrossRef]
- Wesson, D.E.; Buysse, J.M.; Bushinsky, D.A. Mechanisms of Metabolic Acidosis-Induced Kidney Injury in Chronic Kidney Disease. J. Am. Soc. Nephrol. 2020, 31, 469–482. [Google Scholar] [CrossRef]
- Kitada, K.; Daub, S.; Zhang, Y.; Klein, J.D.; Nakano, D.; Pedchenko, T.; Lantier, L.; LaRocque, L.M.; Marton, A.; Neubert, P.; et al. High salt intake reprioritizes osmolyte and energy metabolism for body fluid conservation. J. Clin. Investig. 2017, 127, 1944–1959. [Google Scholar] [CrossRef]
- Ritz, E.; Dikow, R.; Morath, C.; Schwenger, V. Salt--a potential ‘uremic toxin’? Blood Purif. 2006, 24, 63–66. [Google Scholar] [CrossRef]
- Dekker, M.J.; Marcelli, D.; Canaud, B.; Konings, C.J.; Leunissen, K.M.; Levin, N.W.; Carioni, P.; Maheshwari, V.; Raimann, J.G.; van der Sande, F.M.; et al. Unraveling the relationship between mortality, hyponatremia, inflammation and malnutrition in hemodialysis patients: Results from the international MONDO initiative. Eur. J. Clin. Nutr. 2016, 70, 779–784. [Google Scholar] [CrossRef] [PubMed]
- Srikanthan, P.; Hevener, A.L.; Karlamangla, A.S. Sarcopenia exacerbates obesity-associated insulin resistance and dysglycemia: Findings from the National Health and Nutrition Examination Survey III. PLoS ONE 2010, 5, e10805. [Google Scholar] [CrossRef] [PubMed]
- Hill, N.R.; Fatoba, S.T.; Oke, J.L.; Hirst, J.A.; O’Callaghan, C.A.; Lasserson, D.S.; Hobbs, F.D. Global Prevalence of Chronic Kidney Disease—A Systematic Review and Meta-Analysis. PLoS ONE 2016, 11, e0158765. [Google Scholar] [CrossRef]
- Ikizler, T.A.; Burrowes, J.D.; Byham-Gray, L.D.; Campbell, K.L.; Carrero, J.J.; Chan, W.; Fouque, D.; Friedman, A.N.; Ghaddar, S.; Goldstein-Fuchs, D.J.; et al. KDOQI Clinical Practice Guideline for Nutrition in CKD: 2020 Update. Am. J. Kidney Dis. 2020, 76 (Suppl. S1), S1–S107. [Google Scholar] [CrossRef]
- Cheung, A.K.; Chang, T.I.; Cushman, W.C.; Furth, S.L.; Hou, F.F.; Ix, J.H.; Knoll, G.A.; Muntner, P.; Pecoits-Filho, R.; Sarnak, M.J.; et al. KDIGO 2021 clinical practice guideline for the management of blood pressure in chronic kidney disease. Kidney Int. 2021, 99, S1–S87. [Google Scholar] [CrossRef]
- Mozaffarian, D.; Fahimi, S.; Singh, G.M.; Micha, R.; Khatibzadeh, S.; Engell, R.E.; Lim, S.; Danaei, G.; Ezzati, M.; Powles, J.; et al. Global sodium consumption and death from cardiovascular causes. N. Engl. J. Med. 2014, 371, 624–634. [Google Scholar] [CrossRef]
- Aminde, L.N.; Wanjau, M.N.; Cobiac, L.J.; Veerman, J.L. Estimated Impact of Achieving the Australian National Sodium Reduction Targets on Blood Pressure, Chronic Kidney Disease Burden and Healthcare Costs: A Modelling Study. Nutrients 2023, 15, 318. [Google Scholar] [CrossRef]
- Fletcher, B.R.; Damery, S.; Aiyegbusi, O.L.; Anderson, N.; Calvert, M.; Cockwell, P.; Ferguson, J.; Horton, M.; Paap, M.C.S.; Sidey-Gibbons, C.; et al. Symptom burden and health-related quality of life in chronic kidney disease: A global systematic review and meta-analysis. PLoS Med. 2022, 19, e1003954. [Google Scholar] [CrossRef]
- Tang, E.; Yantsis, A.; Ho, M.; Hussain, J.; Dano, S.; Aiyegbusi, O.L.; Peipert, J.D.; Mucsi, I. Patient-Reported Outcome Measures for Patients with CKD: The Case for Patient-Reported Outcomes Measurement Information System (PROMIS) Tools. Am. J. Kidney Dis. 2024, 83, 508–518. [Google Scholar] [CrossRef]
- Porter, A.; Fischer, M.J.; Wang, X.; Brooks, D.; Bruce, M.; Charleston, J.; Cleveland, W.H.; Dowie, D.; Faulkner, M.; Gassman, J.; et al. Quality of life and outcomes in African Americans with CKD. J. Am. Soc. Nephrol. 2014, 25, 1849–1855. [Google Scholar] [CrossRef]
- Tsai, Y.C.; Hung, C.C.; Hwang, S.J.; Wang, S.L.; Hsiao, S.M.; Lin, M.Y.; Kung, L.F.; Hsiao, P.N.; Chen, H.C. Quality of life predicts risks of end-stage renal disease and mortality in patients with chronic kidney disease. Nephrol. Dial. Transpl. 2010, 25, 1621–1626. [Google Scholar] [CrossRef]
- Porter, A.C.; Lash, J.P.; Xie, D.; Pan, Q.; DeLuca, J.; Kanthety, R.; Kusek, J.W.; Lora, C.M.; Nessel, L.; Ricardo, A.C.; et al. Predictors and Outcomes of Health-Related Quality of Life in Adults with CKD. Clin. J. Am. Soc. Nephrol. 2016, 11, 1154–1162. [Google Scholar] [CrossRef] [PubMed]
- Chang, A.R.; Bailey-Davis, L.; Hetherington, V.; Ziegler, A.; Yule, C.; Kwiecen, S.; Graboski, E.; Melough, M.M.; Collins, C.; Anderson, C. Remote Dietary Counseling Using Smartphone Applications in Patients with Stages 1-3a Chronic Kidney Disease: A Mixed Methods Feasibility Study. J. Ren. Nutr. 2020, 30, 53–60. [Google Scholar] [CrossRef] [PubMed]
- Meuleman, Y.; Hoekstra, T.; Dekker, F.W.; Navis, G.; Vogt, L.; van der Boog, P.J.M.; Bos, W.J.W.; van Montfrans, G.A.; van Dijk, S.; Group, E.S. Sodium Restriction in Patients with CKD: A Randomized Controlled Trial of Self-management Support. Am. J. Kidney Dis. 2017, 69, 576–586. [Google Scholar] [CrossRef] [PubMed]
- Stevens, P.E.; Ahmed, S.B.; Carrero, J.J.; Foster, B.; Francis, A.; Hall, R.K.; Herrington, W.G.; Hill, G.; Inker, L.A.; Kazancıoğlu, R. KDIGO 2024 Clinical Practice Guideline for the Evaluation and Management of Chronic Kidney Disease. Kidney Int. 2024, 105, S117–S314. [Google Scholar] [CrossRef]
- Hays, R.D.; Kallich, J.D.; Mapes, D.L.; Coons, S.J.; Amin, N.; Carter, W.B.; Kamberg, D. Kidney Disease Quality of Life Short Form (KDQOL-SFTM); Rand: Santa Monica, CA, USA, 1997. [Google Scholar]
- Samsa, G.; Edelman, D.; Rothman, M.L.; Williams, G.R.; Lipscomb, J.; Matchar, D. Determining clinically important differences in health status measures: A general approach with illustration to the Health Utilities Index Mark II. Pharmacoeconomics 1999, 15, 141–155. [Google Scholar] [CrossRef]
- Ware, J., Jr.; Kosinski, M.; Keller, S.D. A 12-Item Short-Form Health Survey: Construction of scales and preliminary tests of reliability and validity. Med. Care 1996, 34, 220–233. [Google Scholar] [CrossRef]
- Silva, L.F.; Lopes, G.B.; Cunha, T.O.; Protasio, B.M.; Pisoni, R.L.; James, S.A.; Lopes, A.A. Coping with fluid restriction and the quality of life in hemodialysis patients with very low or no daily urine output. Int. J. Artif. Organs 2014, 37, 427–435. [Google Scholar] [CrossRef]
- Mason, B.; Ross, L.; Gill, E.; Healy, H.; Juffs, P.; Kark, A. Development and validation of a dietary screening tool for high sodium consumption in Australian renal patients. J. Ren. Nutr. 2014, 24, 123–134. [Google Scholar] [CrossRef]
- Foodworks.online, version 2.0. Professional Computer Software, Internet. Xyris Pty Ltd.: Brisbane, Australia, 2024.
- Food Standards Australia New Zealand. AUSNUT 2011–13–Australian Food Composition Database; FSANZ: Canberra, Australia, 2014. Available online: www.foodstandards.gov.au (accessed on 29 November 2024).
- Choi, H.M.; Lee, K.B.; Kim, H.; Hyun, Y.Y. Sodium excretion and health-related quality of life: The results from the Korea National Health and Nutrition Examination Survey 2010–2011. Eur. J. Clin. Nutr. 2018, 72, 1490–1496. [Google Scholar] [CrossRef]
- Tang, J.; Ye, L.; Yan, Q.; Zhang, X.; Wang, L. Effects of Sodium-Glucose Cotransporter 2 Inhibitors on Water and Sodium Metabolism. Front. Pharmacol. 2022, 13, 800490. [Google Scholar] [CrossRef] [PubMed]
- Agarwal, R.; Verma, A.; Georgianos, P.I. Diuretics in patients with chronic kidney disease. Nat. Rev. Nephrol. 2025, 21, 264–278. [Google Scholar] [CrossRef] [PubMed]
- Fan, W.F.; Zhang, Q.; Luo, L.H.; Niu, J.Y.; Gu, Y. Study on the clinical significance and related factors of thirst and xerostomia in maintenance hemodialysis patients. Kidney Blood Press. Res. 2013, 37, 464–474. [Google Scholar] [CrossRef] [PubMed]
- Porcu, M.; Fanton, E.; Zampieron, A. Thirst distress and interdialytic weight gain: A study on a sample of haemodialysis patients. J. Ren. Care 2007, 33, 179–181. [Google Scholar] [CrossRef]
- Bots, C.P.; Brand, H.S.; Veerman, E.C.; Valentijn-Benz, M.; Van Amerongen, B.M.; Valentijn, R.M.; Vos, P.F.; Bijlsma, J.A.; Bezemer, P.D.; Ter Wee, P.M.; et al. Interdialytic weight gain in patients on hemodialysis is associated with dry mouth and thirst. Kidney Int. 2004, 66, 1662–1668. [Google Scholar] [CrossRef]
- Beto, J.A.; Ramirez, W.E.; Bansal, V.K. Medical nutrition therapy in adults with chronic kidney disease: Integrating evidence and consensus into practice for the generalist registered dietitian nutritionist. J. Acad. Nutr. Diet. 2014, 114, 1077–1087. [Google Scholar] [CrossRef]
- Leshem, M. Low dietary sodium is anxiogenic in rats. Physiol. Behav. 2011, 103, 453–458. [Google Scholar] [CrossRef]
- Bjorklund, G.; Dadar, M.; Pen, J.J.; Chirumbolo, S.; Aaseth, J. Chronic fatigue syndrome (CFS): Suggestions for a nutritional treatment in the therapeutic approach. Biomed. Pharmacother. 2019, 109, 1000–1007. [Google Scholar] [CrossRef]
- Tanriover, C.; Ucku, D.; Basile, C.; Tuttle, K.R.; Kanbay, M. On the importance of the interplay of residual renal function with clinical outcomes in end-stage kidney disease. J. Nephrol. 2022, 35, 2191–2204. [Google Scholar] [CrossRef]
- Soi, V.; Yee, J. Sodium Homeostasis in Chronic Kidney Disease. Adv. Chronic Kidney Dis. 2017, 24, 325–331. [Google Scholar] [CrossRef]
- Trigueros-Flores, X.B.; Luna-Hernandez, G.; Santos-Lopez, M.F.; Perez-Galvan, L.; Flores-Camacho, K.J.; Diaz-Canchola, L.M.; Cueto-Manzano, A.M.; Chavez-Chavez, H.E.; Cerrillos-Gutierrez, J.I.; Rojas-Campos, E.; et al. Barriers and Facilitators to Adherence to a Healthy Diet Across the Spectrum of Chronic Kidney Disease. Patient Prefer. Adherence 2025, 19, 123–137. [Google Scholar] [CrossRef] [PubMed]
- Cardol, C.K.; Boslooper-Meulenbelt, K.; van Middendorp, H.; Meuleman, Y.; Evers, A.W.M.; van Dijk, S. Psychosocial barriers and facilitators for adherence to a healthy lifestyle among patients with chronic kidney disease: A focus group study. BMC Nephrol. 2022, 23, 205. [Google Scholar] [CrossRef] [PubMed]
- Palmer, S.C.; Hanson, C.S.; Craig, J.C.; Strippoli, G.F.; Ruospo, M.; Campbell, K.; Johnson, D.W.; Tong, A. Dietary and fluid restrictions in CKD: A thematic synthesis of patient views from qualitative studies. Am. J. Kidney Dis. 2015, 65, 559–573. [Google Scholar] [CrossRef] [PubMed]
- Sharp, J.; Wild, M.R.; Gumley, A.I.; Deighan, C.J. A cognitive behavioral group approach to enhance adherence to hemodialysis fluid restrictions: A randomized controlled trial. Am. J. Kidney Dis. 2005, 45, 1046–1057. [Google Scholar] [CrossRef]
- Cukor, D.; Ver Halen, N.; Asher, D.R.; Coplan, J.D.; Weedon, J.; Wyka, K.E.; Saggi, S.J.; Kimmel, P.L. Psychosocial intervention improves depression, quality of life, and fluid adherence in hemodialysis. J. Am. Soc. Nephrol. 2014, 25, 196–206. [Google Scholar] [CrossRef]
- Hare, J.; Clark-Carter, D.; Forshaw, M. A randomized controlled trial to evaluate the effectiveness of a cognitive behavioural group approach to improve patient adherence to peritoneal dialysis fluid restrictions: A pilot study. Nephrol. Dial. Transpl. 2014, 29, 555–564. [Google Scholar] [CrossRef][Green Version]
- Beer, J.; Lambert, K.; Lim, W.; Keane, C.; Boudville, N. Can Telehealth Improve Access to Dietary Management in Patients Receiving Dialysis? Insights from Consumers. Nutrients 2023, 16, 105. [Google Scholar] [CrossRef]
- Bots, C.P.; Brand, H.S.; Veerman, E.C.; Korevaar, J.C.; Valentijn-Benz, M.; Bezemer, P.D.; Valentijn, R.M.; Vos, P.F.; Bijlsma, J.A.; ter Wee, P.M.; et al. Chewing gum and a saliva substitute alleviate thirst and xerostomia in patients on haemodialysis. Nephrol. Dial. Transpl. 2005, 20, 578–584. [Google Scholar] [CrossRef]
- Lowrie, E.G.; Curtin, R.B.; LePain, N.; Schatell, D. Medical outcomes study short form-36: A consistent and powerful predictor of morbidity and mortality in dialysis patients. Am. J. Kidney Dis. 2003, 41, 1286–1292. [Google Scholar] [CrossRef]
- Mapes, D.L.; Lopes, A.A.; Satayathum, S.; McCullough, K.P.; Goodkin, D.A.; Locatelli, F.; Fukuhara, S.; Young, E.W.; Kurokawa, K.; Saito, A.; et al. Health-related quality of life as a predictor of mortality and hospitalization: The Dialysis Outcomes and Practice Patterns Study (DOPPS). Kidney Int. 2003, 64, 339–349. [Google Scholar] [CrossRef]

| CKD (n = 28) | HD (n = 13) | PD (n = 12) | All (n = 53) | p-Value | |
|---|---|---|---|---|---|
| Age (years), median (IQR) | 56 (46.5–65.5) | 68 (49–78) | 62.5 (46.5–73.5) | 60 (48–68.5) | 0.17 |
| Sex (male), n (%) | 18 (64.29) | 10 (76.92) | 9 (75) | 37 (69.81) | 0.73 |
| Body mass index (kg/m2) | 26.95 (23.4–30.5) | 27.5 (23.9–29.8) | 27.15 (24.6–28.5) | 27.3 (23.9–29.2) | 0.91 |
| eGFR (mL/min/1.73 m2) | 30.14 ± 13.25 | N/A | N/A | ||
| Dialysis vintage (days) | N/A | 596 (426–1411) | 396 (160.5–728.3) | 521(292–867) | 0.06 |
| Etiology of kidney disease n (%) | |||||
| Hypertension | 0 | 2 (15.4) | 2 (16.7) | 4 (7.6) | |
| Type-2 diabetes | 7 (25) | 4 (30.8) | 2 (16.7) | 13 (24.5) | |
| IgA Nephropathy | 7 (25) | 2 (15.4) | 1 (8.3) | 10 (18.9) | |
| Polycystic kidney disease | 4 (14.3) | 0 | 2 (16.6) | 6 (11.3) | |
| Other | 10 (35.7) | 5 (38.5) | 5 (41.7) | 20 (37.7) | |
| Co-morbidities (n, %) | |||||
| Hypertension | 17 (60.7) | 11 (84.6) | 11 (91.7) | 39 (73.6) | 0.09 |
| Diabetes | 7 (25) | 5 (38.5) | 3 (25) | 15 (28.3) | 0.72 |
| Peripheral vascular disease | 0 | 0 | 0 | 0 | |
| Coronary artery disease | 1 (3.6) | 6 (46.2) | 1 (8.3) | 8 (15.1) | 0.003 |
| Congestive heart failure | 0 | 3 (23.1) | 0 | 3 (5.7) | <0.001 |
| Cerebrovascular disease | 1 (3.6) | 1 (7.7) | 2 (16.7) | 4 (7.6) | 0.24 |
| Medications (n, %) | |||||
| ACEi/ARB | 18 (64.3) | 3 (33) | 9 (75) | 30 (56.6) | 0.17 |
| Beta-blocker | 7 (25) | 2 (22) | 3 (25) | 12 (22.6) | 1 |
| Calcium channel blocker | 11 (39.3) | 3 (33) | 3 (25) | 17 (32.1) | 0.75 |
| Diuretic | 8 (28.6) | 4 (44) | 8 (66.7) | 20 (37.7) | 0.08 |
| SGLT2-i | 7 (25) | N/A | N/A | 7 (13.2) | |
| CKD (n = 28) | HD (n = 13) | PD (n = 12) | All (n = 53) | p-Value | |
|---|---|---|---|---|---|
| Scored sodium questionnaire (points), [median (IQR)] a | 84.75 (64.8–99.8) | 59 (53–80) | 54 (29–74.6) | 71.75 (47.4–85.8) | 0.02 |
| 24 h dietary sodium record (mg) b | 1980.57 (1016.1–2906.8) | 1495.5 (1186.2–1684.5) | 2663.23 (1296.4–4197.9) | 1649.58 (1093.1–3094.8) | 0.472 |
| 24 h urine volume (mL) c | 2353 (1810–2830) | 550 (350–1230) | 1300 (820–1730) | 1900 (1330–2600) | <0.001 |
| 24 h urine sodium (mmol/L) d | 60 (40.5–91.3) | 47 (34–87) | 57 (46–73) | 57.5 (43–80.8) | 0.888 |
| 24 h urine sodium excretion (mg/day) d | 3043.59 (2290.5–4564.1) | 912.46 (379.3–1427.7) | 1704.3 (1131.6–2747.5) | 2479.4 (1409.7–3497.1) | <0.001 |
| Random spot urine sodium (mmol/L) e | 56 (40–71.5) | 29 (20–51) | 45 (40.5–80) | 51.5 (36.75–70.5) | 0.151 |
| Serum sodium (mmol/L) | 138 (137–140) | 137 (135–139) | 130 (125–140) | 138 (136–140) | 0.288 |
| Office systolic blood pressure (mmHg) | 125 (120–140) | 135 (116–154.5) | 130 (125–140) | 130 (120–140) | 0.198 |
| KDQOL-36 Component Scores | CKD (n = 28) | HD (n = 13) | PD (n = 12) | All | p-Value |
|---|---|---|---|---|---|
| SF physical composite score a [median (IQR)] | 44.0 (31.4–51.3) | 39.9 (21.7–48.3) | 37.9 (35.1–51.5) | 40.7 (32.1–49.0) | 0.47 |
| SF mental composite score a | 45 (35.5–56.5) | 51.8 (37.1–59.0) | 51.7 (45.7–57.4) | 50.1 (37.3–57.4) | 0.73 |
| Burden of kidney disease | 68.7 (39.1–87.5) | 43.8 (28.1–59.4) | 50 (31.3–60.9) | 50 (31.3–78.1) | 0.03 |
| Symptoms of kidney disease | 75 (68.8–89.8) | 79.2 (66.7–93.5) | 88.5 (71.9–89.6) | 81.8 (70.3–90.3) | 0.67 |
| Effects of kidney disease | 86.6 (71.9–93.8) | 65.6 (29.7–85.9) | 75 (60.2–82.8) | 78.1 (60.9–90.6) | 0.05 |
| (A) | |||
|---|---|---|---|
| Dietary SSQ Points | |||
| Low (<65 Points) | High (≥65 Points) | p-Value | |
| Sodium level–no./total, (%) | 19/44 (43.2) | 25/44 (56.8) | |
| KDQOL-36 component scores | |||
| SF physical composite score, [median (IQR))] | 40.0 (33.7–51) | 40.3 (33.7–49.0) | 0.66 |
| SF mental composite score | 50.0 (37.3–55.3) | 51.7 (43.6–58.5) | 0.43 |
| Burden of kidney disease | 43.8 (31.3–81.3) | 50 (28.1–75) | 0.66 |
| Symptoms of kidney disease | 86.4 (70.8–93.2) | 83.3 (70.5–90.3) | 0.73 |
| Effects of kidney disease | 84.4 (59.4–87.5) | 78.1 (62.5–88.2) | 0.8 |
| (B) | |||
| 24 h Dietary Record | |||
| Low (<2.3 g/Day Sodium Intake) | High (≥2.3 g/Day Sodium Intake) | p-Value | |
| Sodium level–no./total no. (%) | 31/48 (64.6) | 17/48 (35.4) | |
| KDQOL-36 component scores | |||
| SF physical composite score, [median (IQR)] | 40.5 (33.3–48.7) | 41.0 (32.3–47.9) | 0.84 |
| SF mental composite score | 51.74 (41–58.5) | 49.0 (36.7–57.4) | 0.52 |
| Burden of kidney disease | 56.3 (31.3–81.3) | 50 (34.4–87.5) | 0.85 |
| Symptoms of kidney disease | 84.1 (70.5–93.2) | 75 (66.5–92.0) | 0.87 |
| Effects of kidney disease, (mean ± SD) | 73.1 ± 23.1 | 70.4 ± 27.1 | 0.88 |
| (C) | |||
| 24 h Urinary Sodium Excretion | |||
| Low (<2.3 g/Day Urinary Sodium Excretion) | High (≥2.3 g/Day Urinary Sodium Excretion) | p-Value | |
| Sodium level–no./total no. (%) | 17/42 (40.5) | 25/42 (59.5) | |
| KDQOL-36 component scores | |||
| SF physical composite score, [median (IQR)] | 40.2 (37.2–45.4) | 43.9 (31.4–55.0) | 0.49 |
| SF mental composite score | 45.9 (37.3–56.3) | 50.7 (38.4–57.4) | 0.79 |
| Burden of kidney disease | 50 (28.1–65.6) | 68.8 (43.8–87.5) | 0.06 |
| Symptoms of kidney disease | 72.7 (62.5–88.5) | 86.4 (73.9–93.2) | 0.06 |
| Effects of kidney disease | 71.4 (54.7–85.1) | 87.5 (71.9–93.8) | 0.03 |
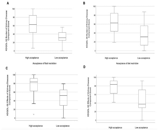
| (A) | |||
|---|---|---|---|
| Acceptance of Diet Restriction | |||
| Higher Acceptance (Classified as Not at All Bothered or Somewhat Bothered) | Lower Acceptance (Classified as Moderately to Extremely Bothered) | p-Value | |
| no./total no. (%) | 40/53 (75.5) | 13/53 (24.5) | |
| Physical composite score | 43.2 (32.5–52.6) | 39.0 (30.8–43.4) | 0.18 |
| Mental composite score | 51.5 (40.9–57.7) | 41.7 (31–54.7) | 0.17 |
| Burden of kidney disease | 62.5 (43.8–85.9) | 31.3 (9.4–56.3) | 0.003 |
| Symptoms of kidney disease | 62.5 (43.8–85.9) | 72.5 (60.8–76.0) | 0.06 |
| Effects of kidney disease a | 83.3 (62.5–91.7) | 37.5 (27.1–75) | <0.001 |
| (B) | |||
| Acceptance of Fluid Restriction | |||
| Higher Acceptance (Classified as Not at All Bothered or Somewhat Bothered) | Lower Acceptance (Classified as Moderately to Extremely Bothered) | p-Value | |
| no./total no. (%) | 43/53 (81.1) | 10/53 (18.9) | |
| Physical composite score | 43.0 [33.7–51.5] | 39.5 [24.2–42.8] | 0.16 |
| Mental composite score | 51.3 [40.6–57.5] | 40.3 [32.5–55.1] | 0.35 |
| Burden of kidney disease | 62.5 [43.8–87.5] | 31.3 [18.8–46.9] | 0.002 |
| Symptoms of kidney disease | 84.1 [70.5–89.6] | 73.9 [65.1–94.3] | 0.67 |
| Effects of kidney disease a | 83.3 [62.5–91.7] | 52.1 [28.1–66.5] | <0.001 |
Disclaimer/Publisher’s Note: The statements, opinions and data contained in all publications are solely those of the individual author(s) and contributor(s) and not of MDPI and/or the editor(s). MDPI and/or the editor(s) disclaim responsibility for any injury to people or property resulting from any ideas, methods, instructions or products referred to in the content. |
© 2025 by the authors. Licensee MDPI, Basel, Switzerland. This article is an open access article distributed under the terms and conditions of the Creative Commons Attribution (CC BY) license (https://creativecommons.org/licenses/by/4.0/).
Share and Cite
Martin, K.; Tan, S.-J.; Hewitson, T.D.; Toussaint, N.D. Sodium Balance and Quality of Life in People with Chronic Kidney Disease—A Cross-Sectional Study. Nutrients 2025, 17, 2634. https://doi.org/10.3390/nu17162634
Martin K, Tan S-J, Hewitson TD, Toussaint ND. Sodium Balance and Quality of Life in People with Chronic Kidney Disease—A Cross-Sectional Study. Nutrients. 2025; 17(16):2634. https://doi.org/10.3390/nu17162634
Chicago/Turabian StyleMartin, Kylie, Sven-Jean Tan, Timothy D. Hewitson, and Nigel D. Toussaint. 2025. "Sodium Balance and Quality of Life in People with Chronic Kidney Disease—A Cross-Sectional Study" Nutrients 17, no. 16: 2634. https://doi.org/10.3390/nu17162634
APA StyleMartin, K., Tan, S.-J., Hewitson, T. D., & Toussaint, N. D. (2025). Sodium Balance and Quality of Life in People with Chronic Kidney Disease—A Cross-Sectional Study. Nutrients, 17(16), 2634. https://doi.org/10.3390/nu17162634

